A Plug and Play IoT Wi-Fi Smart Home System for Human Monitoring
Abstract
:1. Introduction
2. Materials and Methods: The Wi-Fi System
2.1. System Architecture
- Armchair (or Bed) occupancy sensor, to monitor inactivity periods or sleep disorders;
- Passive InfraRed (PIR), to monitor the movements inside the house;
- Toilet sensor, to monitor the toilet accesses;
- Magnetic contact, to detect door and windows opening/closing. The same device can be used to monitor interaction with other meaningful objects (e.g., a cupboard door, to monitor feeding habits, or the medicine cabinet, for monitoring compliance with therapy prescriptions).
2.2. Sensors Prototypes
- Armchair/Bed sensor: In [46], a characterization of three different chair sensor elements is presented: a strain gauge, a mechanical switch, and a vibration sensor. Highest detection accuracy is reported for the mechanical switch, but this kind of sensor is more difficult to integrate in an ordinary home chair/bed since it is not straightforward to cover the whole sitting area. For our application, the strain gauge seems the most indicated choice. Indeed, resistive pressure pads are being commercialized which can be placed under the bed mattress or over the chair seat. These pads have been selected as sensing elements. Resistance change is assessed through a simple voltage divider, which drives a binary threshold comparator. This, in turn, generates an interrupt to wake up the MCU. As mentioned, given the relatively low expected number of events, the HIBERNATE sleep mode is exploited during idle phases.
- Magnetic Contact: The sensing element is a reed switch, coupled to a magnet. When the two components are close to each other, the switch opens. This configuration is particularly convenient when drawers/doors are supposed to stay closed most of the time. Since the reed switch is open when they are closed, the sensor drains no current while in this state. Interrupts are generated to signal both transitions (close to open, open to close). In this case, selection of sleep mode depends on the actual device function. If, for instance, applied to the home main door, the HIBERNATE mode seems to be more effective again.
- Toilet sensor: The sensing element is a distance/proximity sensor. The sensor purpose is to allow for counting toilet visits (which may be relevant to many medical conditions), distinguishing them from generic bathroom presence (due to washing, for instance), which could be assessed though a PIR sensor. A short-enough, personalized reading range is therefore needed to cope with the actual placement of the sensor itself. The device has a reading range from 10 cm to 150 cm. The analog reading is fed to a comparator, which generates an interrupt signal to the system core. In our experiments, we found that calibrating the sensor threshold at 65 cm distance was effective in discriminating toilet actual usage from generic bathroom presence. The nature of this sensor should make it suitable to exploit the benefits of the HIBERNATE mode. However, due to the high current consumption of the sensing element during its on state, the system core needs to power it on only when a distance reading is needed, keeping it in the off state otherwise. In our tests, we found that a period of 3 seconds for power off followed by 0.5 s of power on gives the optimal system reactivity. Since the sensing element duty cycle is driven by the MCU, LPDS mode had to be adopted.
- PIR sensor: the sensing device is a standard passive-infrared motion sensor. It requires a supply voltage in the range of 3.3–5 V. In order to allow the system to be powered by AA batteries (as a common feature of all devices), a boost DC-DC regulator (direct current to direct current power converter that steps up voltage) has been added. The device already has embedded converters and provides a digital output signal, which is used to wake up the system core whenever a movement is detected. To avoid communication overload, PIR data are filtered on board; only status changes are transmitted, besides keep-alive messages. In the envisaged scenario, however, this results in a number of daily messages exceeding the above-mentioned threshold, which makes the adoption of hibernation not suitable and makes the adoption of LPDS mode preferable.
3. Results and Discussion
- Armchair sensor: Sensor pad placed on a lunchroom chair.
- Magnetic contact: On the bedroom door.
- Toilet sensor: Inside the bathroom to sense toilet interactions.
- PIR sensor: Inside the bedroom.
3.1. Power Consumption Analysis
- Sensor unable to connect to the Wi-Fi network: The system, after power on, is configured to search for the previously known network (through the WPS procedure) until connection succeeds; if the network connection is broken (e.g., because of a blackout), the device performs a reboot. The system always experiences an energy-expensive boot-loop until the network is restored;
- Sensor connected to the Wi-Fi network but without an active Internet access (e.g., because of Internet provider issues): This situation arises only after the previous condition is met. After power on, the device searches and connects to the known network; it tries to establish a connection with the online cloud. If the procedure fails (e.g., because the Internet connection is lost), a reboot is performed. The result is the same, with the system always in an energy-expensive boot-loop until the internet connection is restored.
3.2. Behavioral Tests and Results
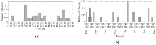
- Daily activity: the distribution of the user-sensor interactions during a 24 h period was analyzed. In Figure 6a, Figure 7a, Figure 8a and Figure 9a the probability of an event in a certain hour of the day is plotted. Values were obtained through the analysis of the activity per hour of every test day. The relative probability was calculated with the equationwhere is the number of events that occurred in the hour, \ and is the total number of events observed during the test.
4. Conclusions
Author Contributions
Funding
Acknowledgments
Conflicts of Interest
References
- Yerrapragada, C.; Fisher, P.S. Voice controlled smart house. In Proceedings of the IEEE 1993 International Conference on Consumer Electronics Digest of Technical, Rosemont, IL, USA, 8–10 June 1993. [Google Scholar] [CrossRef]
- Shih, H.C. Automatic building monitoring and commissioning via human behavior recognition. In Proceedings of the 2016 IEEE 5th Global Conference on Consumer Electronics, Kyoto, Japan, 11–14 October 2016. [Google Scholar]
- Hwang, I.K.; Lee, D.S.; Baek, J.W. Home network configuring scheme for all electric appliances using ZigBee-based integrated remote controller. IEEE Trans. Consum. Electron. 2009, 55, 1300–1307. [Google Scholar] [CrossRef]
- Chen, C.-Y.; Liu, C.-Y.; Kuo, C.-C.; Yang, C.-F.; Chen, C.-Y.; Liu, C.-Y.; Kuo, C.-C.; Yang, C.-F. Web-Based Remote Control of a Building’s Electrical Power, Green Power Generation and Environmental System Using a Distributive Microcontroller. Micromachines 2017, 8, 241. [Google Scholar] [CrossRef]
- Lobaccaro, G.; Carlucci, S.; Löfström, E. A review of systems and technologies for smart homes and smart grids. Energies 2016, 9. [Google Scholar] [CrossRef]
- Brusco, G.; Burgio, A.; Menniti, D.; Pinnarelli, A.; Sorrentino, N.; Scarcello, L.; Brusco, G.; Burgio, A.; Menniti, D.; Pinnarelli, A.; et al. An Energy Box in a Cloud-Based Architecture for Autonomous Demand Response of Prosumers and Prosumages. Electronics 2017, 6, 98. [Google Scholar] [CrossRef]
- Froiz-Míguez, I.; Fernández-Caramés, T.; Fraga-Lamas, P.; Castedo, L.; Froiz-Míguez, I.; Fernández-Caramés, T.M.; Fraga-Lamas, P.; Castedo, L. Design, Implementation and Practical Evaluation of an IoT Home Automation System for Fog Computing Applications Based on MQTT and ZigBee-WiFi Sensor Nodes. Sensors 2018, 18, 2660. [Google Scholar] [CrossRef] [PubMed]
- Ceccacci, S.; Generosi, A.; Giraldi, L.; Mengoni, M. An user-centered approach to design smart systems for people with dementia. In Proceedings of the 2017 IEEE 7th International Conference on Consumer Electronics-Berlin (ICCE-Berlin), Berlin, Germany, 3–6 September 2017. [Google Scholar]
- Pal, D.; Funilkul, S.; Charoenkitkarn, N.; Kanthamanon, P. Internet-of-Things and Smart Homes for Elderly Healthcare: An End User Perspective. IEEE Access 2018, 6, 10483–10496. [Google Scholar] [CrossRef]
- Vechet, S.; Hrbacek, J.; Krejsa, J. Environmental data analysis for learning behavioral patterns in smart homes. In Proceedings of the 2016 17th International Conference on Mechatronics-Mechatronika (ME), Prague, Czech Republic, 7–9 December 2016. [Google Scholar]
- Thapliyal, H.; Nath, R.K.; Mohanty, S.P. Smart Home Environment for Mild Cognitive Impairment Population: Solutions to Improve Care and Quality of Life. IEEE Consum. Electron. Mag. 2018, 7, 68–76. [Google Scholar] [CrossRef]
- Grossi, F.; Matrella, G.; De Munari, I.; Ciampolini, P. A flexible home automation system applied to elderly care. In Proceedings of the 2007 Digest of Technical Papers IEEE International Conference on Consumer Electronics, Las Vegas, NV, USA, 10–14 January 2007. [Google Scholar]
- Saponara, S.; Donati, M.; Fanucci, L.; Celli, A.; Saponara, S.; Donati, M.; Fanucci, L.; Celli, A. An Embedded Sensing and Communication Platform, and a Healthcare Model for Remote Monitoring of Chronic Diseases. Electronics 2016, 5, 47. [Google Scholar] [CrossRef]
- Sasakawa, D.; Honma, N.; Nakayama, T.; Iizuka, S.; Sasakawa, D.; Honma, N.; Nakayama, T.; Iizuka, S. Human Posture Identification Using a MIMO Array. Electronics 2018, 7, 37. [Google Scholar] [CrossRef]
- Losardo, A.; Grossi, F.; Matrella, G.; De Munari, I.; Ciampolini, P. Exploiting AAL environment for behavioral analysis. Assist. Technol. Res. Ser. 2013, 33, 1121–1125. [Google Scholar] [CrossRef]
- Skubic, M.; Guevara, R.D.; Rantz, M. Automated health alerts using in-home sensor data for embedded health assessment. IEEE J. Transl. Eng. Heal. Med. 2015, 3. [Google Scholar] [CrossRef] [PubMed]
- Nag, A.; Mukhopadhyay, S.C. Occupancy Detection at Smart Home Using Real-Time Dynamic Thresholding of Flexiforce Sensor. IEEE Sens. J. 2015, 15, 4457–4463. [Google Scholar] [CrossRef]
- Li, M.; Lin, H.-J. Design and Implementation of Smart Home Control Systems Based on Wireless Sensor Networks and Power Line Communications. IEEE Trans. Ind. Electron. 2015, 62, 4430–4442. [Google Scholar] [CrossRef]
- Ghayvat, H.; Liu, J.; Mukhopadhyay, S.C.; Gui, X. Wellness Sensor Networks: A Proposal and Implementation for Smart Home for Assisted Living. IEEE Sens. J. 2015, 15, 7341–7348. [Google Scholar] [CrossRef]
- Grossi, F.; Bianchi, V.; Matrella, G.; De Munari, I.; Ciampolini, P. Internet-Based Home Monitoring and Control. In Assisted Technology: From Adapted Equipment to Inclusive Environment; Assistive Technology Research Series; IOS Press: Amsterdam, The Netherlands, 2009; ISBN 9781607500421. [Google Scholar]
- Losardo, A.; Bianchi, V.; Grossi, F.; Matrella, G.; De Munari, I.; Ciampolini, P. Web-Enabled Home Assistive Tools. In Everyday Technology for Independence and Care; Assistive Technology Research Series; IOS Press: Amsterdam, The Netherlands, 2011; Volume 29, pp. 448–455. [Google Scholar] [CrossRef]
- Bianchi, V.; Grossi, F.; De Munari, I.; Ciampolini, P. Multi-Modal Interaction in AAL Systems; Assistive Technology Research Series; IOS Press: Amsterdam, The Netherlands, 2011; ISBN 9781607508137. [Google Scholar]
- Mora, N.; Bianchi, V.; De Munari, I.; Ciampolini, P. Simple and efficient methods for steady state visual evoked potential detection in BCI embedded system. In Proceedings of the 2014 IEEE International Conference on Acoustics, Speech and Signal Processing (ICASSP), Florence, Italy, 4–9 May 2014. [Google Scholar]
- Bianchi, V.; Grossi, F.; Matrella, G.; De Munari, I.; Ciampolini, P. A wireless sensor platform for assistive technology applications. In Proceedings of the 11th EUROMICRO Conference on Digital System Design Architectures, Methods and Tools, Parma, Italy, 3–5 September 2008. [Google Scholar]
- Bianchi, V.; Guerra, C.; De Munari, I.; Ciampolini, P. A wearable sensor for AAL-based continuous monitoring. In International Conference on Smart Homes and Health Telematics; Springer: Cham, Switzerland, 2016; Volume 9677, pp. 383–394. [Google Scholar] [CrossRef]
- Bianchi, V.; Grossi, F.; De Munari, I.; Ciampolini, P. MuSA: A multisensor wearable device for AAL. In Proceedings of the 2011 Federated Conference on Computer Science and Information Systems (FedCSIS), Szczecin, Poland, 18–21 September 2011; pp. 375–380. [Google Scholar]
- Bianchi, V.; Grossi, F.; De Munari, I.; Ciampolini, P. Multi sensor assistant: A multisensor wearable device for ambient assisted living. J. Med. Imaging Heal. Inform. 2012, 2, 70–75. [Google Scholar] [CrossRef]
- Montalto, F.; Guerra, C.; Bianchi, V.; De Munari, I.; Ciampolini, P. MuSA: Wearable multi sensor assistant for human activity recognition and indoor localization. Biosyst. Biorobotics 2015, 11, 81–92. [Google Scholar] [CrossRef]
- Guerra, C.; Bianchi, V.; De Munari, I.; Ciampolini, P. CARDEAGate: Low-cost, ZigBee-based localization and identification for AAL purposes. In Proceedings of the 2015 IEEE International Instrumentation and Measurement Technology Conference (I2MTC) Proceedings, Pisa, Italy, 11–14 May 2015. [Google Scholar]
- Gill, K.; Yang, S.H.; Yao, F.; Lu, X. A ZigBee-based home automation system. IEEE Trans. Consum. Electron. 2009, 55, 422–430. [Google Scholar] [CrossRef] [Green Version]
- Hwang, K.; Choi, B.J.; Kang, S.H. Enhanced self-configuration scheme for a robust zigbee-based home automation. IEEE Trans. Consum. Electron. 2010, 56, 583–590. [Google Scholar] [CrossRef]
- Zualkernan, I.A.; Al-Ali, A.R.; Jabbar, M.A.; Zabalawi, I.; Wasfy, A. InfoPods: Zigbee-based remote information monitoring devices for smart-homes. IEEE Trans. Consum. Electron. 2009, 55, 1221–1226. [Google Scholar] [CrossRef]
- Cho, J.Y.; Kim, K.-B.; Jabbar, H.; Sin Woo, J.; Ahn, J.H.; Hwang, W.S.; Jeong, S.Y.; Cheong, H.; Yoo, H.H.; Sung, T.H. Design of optimized cantilever form of a piezoelectric energy harvesting system for a wireless remote switch. Sens. Actuators A 2018, 280, 340–349. [Google Scholar] [CrossRef]
- Mallick, S.; Bin Habib, A.-Z.S.; Ahmed, A.S.; Alam, S.S. Performance appraisal of Wireless Energy Harvesting in IoT. In Proceedings of the 2017 3rd International Conference on Electrical Information and Communication Technology (EICT), Khulna, Bangladesh, 7–9 December 2017. [Google Scholar]
- Amaro, J.P.; Cortesão, R.; Ferreira, F.J.T.E.; Landeck, J. Device and operation mechanism for non-beacon IEEE802.15.4/Zigbee nodes running on harvested energy. Ad Hoc Networks 2015, 26, 50–68. [Google Scholar] [CrossRef]
- Bianchi, V.; Ciampolini, P.; De Munari, I. RSSI-Based Indoor Localization and Identification for ZigBee Wireless Sensor Networks in Smart Homes. IEEE Trans. Instrum. Meas. 2018, 1–10. [Google Scholar] [CrossRef]
- Al-Sarawi, S.; Anbar, M.; Alieyan, K.; Alzubaidi, M. Internet of Things (IoT) communication protocols: Review. In Proceedings of the 2017 8th International Conference on Information Technology (ICIT), Amman, Jordan, 17–18 May 2017. [Google Scholar]
- QCA4020|Qualcomm. Available online: https://www.qualcomm.com/products/qca4020 (accessed on 12 September 2018).
- Bassoli, M.; Bianchi, V.; De Munari, I.; Ciampolini, P. An IoT approach for an AAL Wi-Fi-based monitoring system. IEEE Trans. Instrum. Meas. 2017, 66, 3200–3209. [Google Scholar] [CrossRef]
- Moraru, S.; Perniu, L.; Kristaly, D.M.; Ungureanu, D.A.; Sandu, F.; Mo, A.A. Proceedings of the 2017 25th Mediterranean Conference on Control and Automation (MED), Valletta, Malta, 3–6 July 2017.
- Kristaly, D.M.; Moraru, S.-A.; Stefan Petre, V.; Parvan, C.A.; Ungureanu, D.E.; Mosoi, A.A. A Solution for Mobile Computing in a Cloud Environment for Ambient Assisted Living. In Proceedings of the 2018 26th Mediterranean Conference on Control and Automation (MED), Zadar, Croatia, 19–22 June 2018. [Google Scholar]
- Lago, P.; Roncancio, C.; Jiménez-Guarín, C. Learning and managing context enriched behavior patterns in smart homes. Futur. Gener. Comput. Syst. 2019, 91, 191–205. [Google Scholar] [CrossRef]
- Bassoli, M.; Bianchi, V.; De Munari, I.; Ciampolini, P. An unobtrusive Wi-Fi system for human monitoring. In Proceedings of the IEEE International Conference on Consumer Electronics, Berlin, Germany, 3–6 September 2017. [Google Scholar]
- Grossi, F.; Bianchi, V.; Matrella, G.; De Munari, I.; Ciampolini, P. Senior-friendly kitchen activity: The FOOD Project. Gerontechnology 2014, 13, 200. [Google Scholar] [CrossRef]
- CC3200 SimpleLink Wi-Fi® and Internet-of-Things solution, a Single-Chip Wireless MCU|TI.com. Available online: http://www.ti.com/product/CC3200# (accessed on 12 September 2018).
- Labeodan, T.; Aduda, K.; Zeiler, W.; Hoving, F. Experimental evaluation of the performance of chair sensors in an office space for occupancy detection and occupancy-driven control. Energy Build. 2016, 111, 195–206. [Google Scholar] [CrossRef]
- Bianchi, V.; Guerra, C.; Bassoli, M.; De Munari, I.; Ciampolini, P. The HELICOPTER project: Wireless sensor network for multi-user behavioral monitoring. In Proceedings of the 2017 International Conference on Engineering, Technology and Innovation: Engineering, Technology and Innovation Management Beyond 2020: New Challenges, New Approaches, Funchal, Portugal, 27–29 June 2017. [Google Scholar]
- Fawcett, T. An introduction to ROC analysis. Pattern Recognit. Lett. 2006, 27, 861–874. [Google Scholar] [CrossRef]









| Symbol | Position of the User | Where the User is Identified |
|---|---|---|
| TP | user seated on the chair | user detected as seated on the chair |
| TN | user not seated on the chair | user not detected as seated on the chair |
| FP | user not seated on the chair | user detected as seated on the chair |
| FN | user seated on the chair | user not detected as seated on the chair |
© 2018 by the authors. Licensee MDPI, Basel, Switzerland. This article is an open access article distributed under the terms and conditions of the Creative Commons Attribution (CC BY) license (http://creativecommons.org/licenses/by/4.0/).
Share and Cite
Bassoli, M.; Bianchi, V.; Munari, I.D. A Plug and Play IoT Wi-Fi Smart Home System for Human Monitoring. Electronics 2018, 7, 200. https://doi.org/10.3390/electronics7090200
Bassoli M, Bianchi V, Munari ID. A Plug and Play IoT Wi-Fi Smart Home System for Human Monitoring. Electronics. 2018; 7(9):200. https://doi.org/10.3390/electronics7090200
Chicago/Turabian StyleBassoli, Marco, Valentina Bianchi, and Ilaria De Munari. 2018. "A Plug and Play IoT Wi-Fi Smart Home System for Human Monitoring" Electronics 7, no. 9: 200. https://doi.org/10.3390/electronics7090200
APA StyleBassoli, M., Bianchi, V., & Munari, I. D. (2018). A Plug and Play IoT Wi-Fi Smart Home System for Human Monitoring. Electronics, 7(9), 200. https://doi.org/10.3390/electronics7090200

