Performance and Life Degradation Characteristics Analysis of NCM LIB for BESS
Abstract
1. Introduction
2. Oxide-Based Cathode Material (Lithium-Ion Battery)
2.1. Spinel Structure Compound (LiMn2O4)
2.2. Olivine Compound (LiFePO4)
2.3. Layered Compound
2.3.1. LiCoO2
2.3.2. LiNiO2
2.3.3. LiNi1−x−yCoxMnyO2
3. Comparison of Properties According to Ni Content
3.1. Performance Evaluation Experiment
3.1.1. C-Rate Charging/Discharging Test
3.1.2. Hybrid Pulse Power Characterization (HPPC)
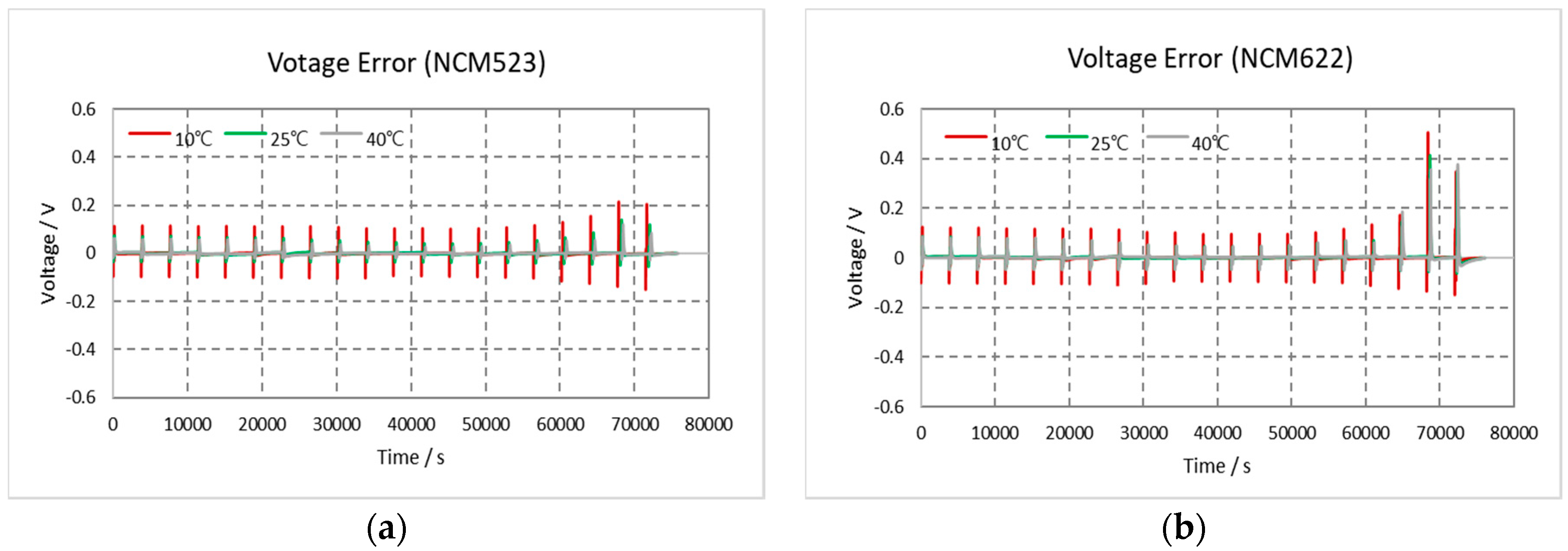
3.2. Comparison of Life Performance (NCM523 vs. NCM622)
3.2.1. Accelerated Deterioration Experiment
3.2.2. dQ/dv
3.3. Electrochemical Impedance Spectroscopy (EIS) and Battery Parameters
3.4. ECM Model and Battery Parameters
4. Conclusions
Author Contributions
Funding
Conflicts of Interest
References
- Choi, J.H. Understanding Electric Energy Storage Devices (Lithium Secondary Battery); Korea Electric Power Corporation Research Institute: Daejeon, Korea, 2014. [Google Scholar]
- SNE Research. Lithium Ion Battery Cathode Technology Trend and Market Forecast; SNE Research: SeongNam, Korea, 2017. [Google Scholar]
- Julien, C.M.; Mauger, A.; Zaghib, K.; Groult, H. Comparative Issues of Cathode Materials for Li-Ion Batteries. Inorganics 2014, 2, 132–154. [Google Scholar] [CrossRef]
- Nitta, N.; Wu, F.; Lee, J.T.; Yushin, G. Li-ion battery materials: Present and future. Mater. Today 2015, 18, 252–264. [Google Scholar] [CrossRef]
- International Electrotechnical Commission. Electric Energy Storage Device; International Electrotechnical Commission: Geneva, Switzerland, 2016. [Google Scholar]
- Gummow, R.J.; Liles, D.C.; Thackeray, M.M. Spinel versus layered structures for lithium cobalt oxide synthesised at 400 °C. Mater. Res. Bull. 1993, 28, 235. [Google Scholar] [CrossRef]
- Gummow, R.J.; Thackeray, M.M.; David, W.I.F.; Hull, S. Structure and electrochemistry of lithium cobalt oxide synthesised at 400 °C. Mater. Res. Bull. 1992, 27, 327. [Google Scholar] [CrossRef]
- Delmas, C.; Saadoune, I. Electrochemical and physical properties of LixNi1−yCoyO2 phases. Solid State Ion. 1992, 53–56, 370–375. [Google Scholar] [CrossRef]
- Rougier, A.; Saadoune, I.; Gravereau, P.; Willmann, P.; Delmas, C. Effect of cobalt substitution on cationic distribution in Li electrode materials. Solid State Ion. 1996, 90, 83–90. [Google Scholar] [CrossRef]
- Julien, C.; El-Farh, L.; Rangan, S.; Massot, S. Synthesis of LiNi1−yCoyO2 cathode materials prepared by a citric acid-assisted sol-gel method for lithium batteries. J. Sol-Gel Sci. Technol. 1999, 15, 63–72. [Google Scholar] [CrossRef]
- Li, W.; Curie, J. Morphology effects on the electrochemical performance of LiNi1−xCoxO2. J. Electrochem. Soc. 1997, 144, 2773–2779. [Google Scholar] [CrossRef]
- Kwon, S.J.; Park, E.Y.; Lim, J.H.; Choi, J.H.; Kim, J.H. Performance Analysis and Degradation Characteristics of NCM LIB for ESS. Power Electron. Soc. 2018, 7, 219–221. [Google Scholar]
- Noh, H.J. Comparison of the structural and electrochemical properties of layered Li[NixCoyMnz]O2 (x = 1/3, 0.5, 0.6, 0.7, 0.8 and 0.85) cathode material for lithium-ion batteries. J. Power Sources 2013, 233, 121–130. [Google Scholar] [CrossRef]
- Yun, J.Y.; Yu, G.; Kook, K.S.; Rho, D.H.; Chang, B.H. SOC-based Control Strategy of Battery Energy Storage System for Power System Frequency Regulation. Korean Inst. Electr. Eng. 2014, 5, 622–628. [Google Scholar]
- Jiang, L.; Wang, Q.; Suna, J. Electrochemical performance and thermal stability analysis of LiNixCoyMnzO2 cathode based on a composite safety electrolyte. J. Hazard Mater. 2018, 351, 260–269. [Google Scholar] [CrossRef] [PubMed]
- Sun, Y.K.; Chen, Z.; Noh, H.J.; Lee, D.J.; Jung, H.G.; Ren, Y.; Wang, S.; Yoon, C.S.; Myung, S.T.; Amine, K. Nanostructured high-energy cathode materials for advanced lithium batteries. Nat. Mater. 2012, 11, 942. [Google Scholar] [CrossRef] [PubMed]
- Jung, R.; Metzger, M.; Magli, F.; Stinner, C.; Gasteigera, H.A. Oxygen Release and Its Effect on the Cycling Stability of LiNixMnyCozO2 (NMC) Cathode Materials for Li-Ion Batteries. J. Electrochem. Soc. 2017, 164, A1361–A1377. [Google Scholar] [CrossRef]
- Pan, C. Influences of transition metal on structural and electrochemical properties of Li[NixCoyMnz]O2 (0.6 ≤ x ≤ 0.8) cathode materials for lithium-ion batteries. Trans. Nonferrous Met. Soc. China 2016, 26, 1396–1402. [Google Scholar] [CrossRef]
- Yang, D.; Xu, J.; Jing, X.; Wu, N.; Tian, W. Design of a High Power Battery Based on an Analysis of Data Captured from a Commercial Hybrid Electric Vehicle Running at Operating-Mode Conditions. Int. J. Electrochem. Sci. 2015, 10, 1940–1952. [Google Scholar]
- Stroe, D.I.; Swierczynski, M.; Stroe, A.I.; Knudsen Kær, S. Generalized Characterization Methodology for Performance Modelling of Lithium-Ion Batteries. Batteries 2016, 2, 37. [Google Scholar] [CrossRef]
- Shim, J.; Striebel, K.A. Characterization of High-Power Lithium-Ion Cells During Constant Current Cycling. J. Power Sources 2003, 122, 188–194. [Google Scholar] [CrossRef]
- Ma, Z.; Jiang, J.; Shi, W.; Zhang, W.; Mi, C.C. Investigation of path dependence in commercial lithium-ion cells for pure electric bus applications: Aging mechanism identification. J. Power Sources 2015, 274, 29–40. [Google Scholar] [CrossRef]
- Grossi, M.; Riccò, B. Electrical impedance spectroscopy (EIS) for biological analysis and food characterization: A review. J. Sens. Sens. Syst. 2017, 6, 303–325. [Google Scholar] [CrossRef]
- Jiménez Gordon, I.A.; Grugeon, S.; Takenouti, H.; Tribollet, B.; Armand, M.; Davoisne, C.; Débart, A.; Laruelle, S. Electrochemical Impedance Spectroscopy response study of a commercial graphite-based negative electrode for Li-ion batteries as function of the cell state of charge and ageing. Electrochim. Acta 2017, 223, 63–73. [Google Scholar] [CrossRef]
- Schmitt, J.; Maheshwari, A.; Heck, M.; Lux, S.; Vetter, M. Impedance change and capacity fade of lithium nickel manganese cobalt oxide-based batteries during calendar aging. J. Power Sources 2017, 353, 183–194. [Google Scholar] [CrossRef]
- Plett, G.L. Battery Management Systems-Volume1, Battery Modeling; Artech House: Norwood, MA, USA, 2015. [Google Scholar]
- de Hoog, J.; Jaguemont, J.; Nikolian, A.; Van Mierlo, J.; Van Den Bossche, P.; Omar, N. A combined thermo-electric resistance degradation model for nickel manganese cobalt oxide based lithium-ion cells. Appl. Therm. Eng. 2018, 135, 54–65. [Google Scholar] [CrossRef]
- He, Z.; Yang, G.; Lu, L. A Parameter Identification Method for Dynamics of Lithium Iron Phosphate Batteries Based on Step-Change Current Curves and Constant Current Curves. Energies 2016, 9, 444. [Google Scholar] [CrossRef]
- Jackey, R.; Saginaw, M.; Sanghvi, P.; Gazzarri, J. Battery Model Parameter Estimation Using a Layered Technique: An Example Using a Lithium Iron Phosphate Cell; The MathWorks: Natick, MA, USA, 2013. [Google Scholar]
- Rahmoun, A.; Biechl, H. Modelling of Li-ion batteries using equivalent circuit diagrams. Electrotech. Rev. 2012, 88, 152–156. [Google Scholar]






















| LCO | NCM | NCA | LMO | LFP | |
|---|---|---|---|---|---|
| Structure | Layered | Layered | Layered | Spinel | Olivine |
| Specific (mAh/g) | 272 | 272 | 160 | 148 | 170 |
| Operating Voltage (V) | 3.7 | 3.6 | 3.6 | 4 | 3.2 |
| Stability | Good | Rather Good | Poor | Good | Very Good |
| Cycle Life | Good | Medium | Good | Poor | Good |
| Application | Small | Small, Medium, and Large | Medium | Medium and Large | Medium and Large |
© 2018 by the authors. Licensee MDPI, Basel, Switzerland. This article is an open access article distributed under the terms and conditions of the Creative Commons Attribution (CC BY) license (http://creativecommons.org/licenses/by/4.0/).
Share and Cite
Kwon, S.-J.; Lee, S.-E.; Lim, J.-H.; Choi, J.; Kim, J. Performance and Life Degradation Characteristics Analysis of NCM LIB for BESS. Electronics 2018, 7, 406. https://doi.org/10.3390/electronics7120406
Kwon S-J, Lee S-E, Lim J-H, Choi J, Kim J. Performance and Life Degradation Characteristics Analysis of NCM LIB for BESS. Electronics. 2018; 7(12):406. https://doi.org/10.3390/electronics7120406
Chicago/Turabian StyleKwon, Soon-Jong, Sung-Eun Lee, Ji-Hun Lim, Jinhyeok Choi, and Jonghoon Kim. 2018. "Performance and Life Degradation Characteristics Analysis of NCM LIB for BESS" Electronics 7, no. 12: 406. https://doi.org/10.3390/electronics7120406
APA StyleKwon, S.-J., Lee, S.-E., Lim, J.-H., Choi, J., & Kim, J. (2018). Performance and Life Degradation Characteristics Analysis of NCM LIB for BESS. Electronics, 7(12), 406. https://doi.org/10.3390/electronics7120406

