Next Article in Journal
On the Implementation of the IEC 61850 Standard: Will Different Manufacturer Devices Behave Similarly under Identical Conditions?
Next Article in Special Issue
Low Power High-Efficiency Shift Register Using Implicit Pulse-Triggered Flip-Flop in 130 nm CMOS Process for a Cryptographic RFID Tag
Previous Article in Journal
Stability Analysis of Quantum-Dot Spin-VCSELs
Previous Article in Special Issue
A Numerical Estimation of a RFID Reader Field and SAR inside a Blood Bag at UHF
 
 
Font Type:
Arial Georgia Verdana
Font Size:
Aa Aa Aa
Line Spacing:
Column Width:
Background:
Article

RFID Reader Anticollision Protocols for Dense and Mobile Deployments

1
Inria Lille-Nord Europe, 59650 Villeneuve d’Ascq, France
2
Université de Lyon, Inria, INSA Lyon, CITI, 69100 Villeurbanne, France
*
Author to whom correspondence should be addressed.
Electronics 2016, 5(4), 84; https://doi.org/10.3390/electronics5040084
Submission received: 30 September 2016 / Revised: 17 November 2016 / Accepted: 21 November 2016 / Published: 29 November 2016
(This article belongs to the Special Issue RFID Systems and Applications)

Abstract

:
The rapid development of RFID (Radio Frequency IDentification) technology has allowed its large adoption and led to increasing deployments of RFID solutions in diverse environments under varying scenarios and constraints. The nature of these constraints ranges from the amount to the mobility of the readers deployed, which in turn highly affects the quality of the RFID system, causing reading collisions. Although several solutions were proposed to engage the issue of reading collision, few were ever concerned with the densification and/or mobility of readers. This paper proposes two distributed TDMA (Time Division Multiple Access) approaches designed to reduce these collisions through local coordination between neighboring devices for different scenarios tested here. The first proposal is based on a reservation phase organized between readers with different priority levels given to readers depending on their previous success. The second one takes advantage of the particular case of RFID collisions, allowing a local and mutual decision of each reader to access or not tags in their vicinity. Simulations were run over different stressful environments in terms of tag/reader density and mobility, proving that our proposals achieved the best performance in terms of throughput, collision avoidance and coverage delay when compared to other collision reducing schemes.

Graphical Abstract

1. Introduction

The limitations of bar-codes in terms of reading distance, complexity and need for a direct line of sight pushed the use and evolution of RFID (Radio Frequency IDentification) technology to find a better performing solution. Indeed, RFID for Radio Frequency IDentification allows contactless identification without the need of a direct line of sight, thanks to a device called a “reader” of goods or people attached, with an entity called “tag”. A reader emits a radio signal used by tags to power themselves and transmit the information they hold. This technique is called “backscattering” [1].
The use of radio signals instead of a laser requiring a direct line of sight between devices promoted the use of RFID technology in cases such as logistics, security, transportation systems, etc. Some of these applications, however, rely on the use of several readers deployed sparsely in order to offer a better coverage. For instance, an indoor logistics scenario would be a warehouse where tags are attached on each product to track entries and exits, the lifetime of the product, and the status regarding the production or distribution line. For the purpose of ensuring the smooth running of such a system, many readers need to be installed. Some static readers at entry and exit points as well as on conveyor belts, but also some mobile readers that could either be hand-held by the workers inside the warehouse or mounted on forklifts roaming in the corridors between product shelves. Another example of an outdoor security scenario could be a smart city where tags are deployed on cars and urban constructions. It could then be possible to follow the flow of vehicles, bikes, etc, throughout the city but also monitor the “health” of the city infrastructures using static readers deployed on street corners and others mounted on city bikes or public transportation vehicles. Still, in the scope of integrating RFID in everyday tasks, we could imagine a retail store with RFID tags attached to products displayed on shelves. As such, customers could input their shopping list into a “smart trolley” and roam the aisles. A reader integrated to the trolley would then read the tags and alert the customer when in range of a product. This would not only ease the shopping process for the customer but also allow for easier checkout. Another example would be a hospital where tags are attached to patients to facilitate access to their medical history while doctors and their assistants are equipped with readers. Such an application could help reduce the staff and administrative procedures, while allowing a more precise tracking of patients. Nevertheless, such large deployments of readers in close proximity with simultaneous transmissions beget signal interference between devices, which results in poor performance of these given RFID systems [2,3]. Thus, designing algorithms and protocols scheduling readers activity in order to have an efficient RFID setup in terms of throughput, reduction of collisions and fairness of access between readers has become an interesting research in recent times [4]. Indeed, in all these scenarios and applications, multiple readers are bound to collide in their reading ranges and result in either unidentified crates in the warehouse; unscanned infrastructures, which could be critical in the smart city; missed products in the retail store, impacting the satisfaction of the customer; or a missed patient in the hospital.
Different proposals can be found ranging from TDMA-based (Time Division Multiple Access) solutions, synchronizing readers on given slots to access the medium, to CSMA-based (Carrier Sense Multiple Access) solutions, and relying on the sensing of the medium for its idleness before transmitting. These solutions are themselves either centralized, depending on the use of a central server to coordinate the readers, or distributed, where readers locally schedule their operations. Each solution holds its benefits and drawbacks making them suitable for given scenarios and less adapted to other setups, such as featuring device mobility ones. While all the applications and scenarios presented earlier require multiple readers to be deployed, some interesting works were done to support the fast identification of mobile tags in a given environment and under given constraints. For example, in [5], authors proposed a protocol for the identification of multiple tags passing through the range of a single reader and allowed the high reduction of the number of missed tags thanks to a priority model and an estimation process. Although these results are promising, they are incompatible with our applications which look at large-scale deployments of readers in high density and mobility.
This paper introduces two proposals for RFID anticollision with the given features:
  • distributed and local: Each reader runs the same algorithm with a loose TDMA approach based on its internal clock handling clock-drifts with time margins and relying solely on the information given by neighbors in its vicinity. This allows our proposals to be scalable;
  • mobile-ready: the previous criterion grants our proposals the capacity to handle mobile deployments of readers without mitigating their performance;
  • efficient: improving the throughput in terms of idle medium accesses while highly reducing the number of collisions compared to the state-of-the-art protocols.
The first proposal, Distributed Efficient and Fair Anticollision for the RFID (DEFAR) [6] algorithm is, to the best of our knowledge, the first distributed multichannel TDMA-based anticollision proposal for RFID systems. It relies on a beaconing mechanism making each reader aware of its neighbors and their potential behavior in order to compute its own with different priority levels, resulting in a fairer access to tags and thus better coverage. This proposal is later readjusted with mDEFAR to increase its compliance with dense mobile environments by reducing the number of available channels, hence rendering it a monochannel in order to get rid of the adjacent channels’ interference. The second proposal, Coverage Oriented RFID Anticollision (CORA) is a simpler approach with readers according each other in their vicinity, willingly accepting collisions up to some threshold over some tags in order to improve coverage. These characteristics make our proposals perform indifferently to the constraints whilst offering versatile solutions according to the needs of the system. This paper builds on our prior proposal DEFAR [6] by proposing two new anticollision techniques tackling high density and mobility of both readers and tags. We study different scenarios that were not explored in our previous proposal in order to identify the best performing solution depending on the deployment environment and application needs
The rest of this paper is organized as follows, Section 2 goes trough the problems met and design variations, Section 3 reviews some state-of-the-art anticollision proposals for RFID, going through both TDMA and CSMA based algorithms as well as centralized and distributed ones; we also highlight the drawbacks and breaches that we tried to overcome. In Section 4 and Section 5, we introduce our different algorithms, their performance over different metrics and applications are then evaluated and analyzed in Section 6. Prospecting energy consumption and the propagation model regarding our proposals is then discussed in Section 7. Finally, Section 8 draws conclusions on the presented work.

2. Problem Statement

2.1. Dense Environments

Considering new use cases for RFID technology where readers are used to improve productivity, traceability, security and agility of casual setups, a higher number of readers has to be deployed to offer a better coverage and accuracy of product management over the deployment area. Increasing the quantity of readers used over a given area is what we will refer to as “densification” in the following. While dense deployments are expected to enhance coverage and delay, they mainly result in generating collisions. Regarding RFID, different types of collisions can be recorded:
  • Tag collision: This happens when a reader covering multiple tags tries to read all of them at the same time. When all tags try to backscatter their response to the reader, their generated signals will collide and none of them will be identified. As featured in Figure 1a, when R1 sends a request to read tags within its reading range, tags T1, T2 and T3 will simultaneously answer, thus R1 will not be able to identify any of the tags. In the case of an application such as a warehouse, where tags are attached to products, this could result in misplaced or untracked goods, highly impacting the productivity. Fortunately, many solutions have been proposed to overcome this issue which is more than likely resolved thanks to ALOHA [7,8,9], tree [10,11,12], and frame-and-tree [13,14,15] based protocols. These solutions are already integrated in readers available on the market.
  • Reader collision: This occurs when multiple readers attempt to read a given tag simultaneously. Since tags are passive entities, with no computation or frequency dissociation capabilities, they are unable to differentiate the different requests coming from the different readers, and will just identify the multiple requests as radio noise, which again results in an unread tag. In Figure 1b, an example is shown where both readers R1 and R2 attempt to identify tags in their vicinity. While tags T1 and T3 are successfully read by readers R1 and R2 respectively, T2 which is within the colliding area of the readers fails to be read. To overcome this issue, readers can either operate at different times or ensure a distance of d = 2 × d C R T ( d C R T is the reading range) between devices [16].

2.2. Mobility

As stated in Section 1, readers could be mounted on mobile engines such as forklifts or hand-held by workers in a factory or warehouse. This allows a better tracking of goods, since readers are now able to follow products inside the deployment area and reach every corner that would have previously needed more static readers being deployed. Sporadic reading of a subset of goods can also be performed using mobile readers. However, the use of a mobile reader, such as for the densification, results in an increase in collisions. Indeed, when the mobility of readers is not controlled to avoid two or more readers scouting the same area, it results in collisions and once again ensues unidentified products, which defeats the original purpose of having mobile readers.
In Figure 2, a configuration of three mobile readers R1, R2 and R3 can be seen with six tags being deployed. At first (Figure 2a, R1, R2 and R3 will respectively be able to identify tags T1, T2 and T3. In order to cover the rest of the tags, readers will then proceed to move towards the center, following the arrows depicted. In Figure 2b, we observe that following their movement, R1, R2 and R3 will have their readings collide over T4, T5 and T6 which will fail to be identified as explained in Section 2.1. This means that without a proper scheduling mechanism, despite having mobile readers, only 50% of the tags are read in this configuration.
The design of a performing reader anticollision algorithm should then take account of the potential mobility of devices in order to surmount these conflicts.

2.3. Centralized vs. Distributed

From the observations made in Section 2.1 and Section 2.2, it becomes obvious that readers need an appropriate level of coordination to alleviate the collision issue. The communication between readers in order to achieve that coordination can be conducted trough different mediums, using either a wired or wireless link. However, regardless of the nature of the link, mainly two paradigms are adopted:
  • Centralized: In this configuration, readers communicate with a top entity (central server) responsible for the scheduling of operations. The central server is able, after gathering all information from the readers topology, to compute the optimal reading scheme, reducing collisions. However, in general, the use of a central server restricts the mobility of readers at the expense of a higher level of computation and latency. Added to that, having readers depending on a superior entity for any operation makes solutions less reactive. Solutions depending on the use of a central server are usually found in TDMA-based schemes.
  • Distributed: In this setup, readers directly communicate with each other and locally (in time and space) agree in a peer-to-peer manner on their operation schemes to reduce collisions. Readers are able to exchange with their peers in the extent of their communication range defining their vicinity; this allows solutions based on this paradigm to be scalable and support dynamic changes in topology. Every decision taken by a given reader is dictated by its knowledge of its vicinity at a given time. Distributed solutions are found both in TDMA and CSMA-based algorithms.

2.4. Monochannel vs. Multichannel

In the early versions of RFID systems, all readers had to identify tags using a common single channel. This single frequency medium became a scarce resource with dense deployments where several readers are in proximity and resulted in increasing collisions as shown in Figure 1. To overcome this deficiency, multichannel was introduced in the update of the standard brought by [17]. Readers are now able to interrogate tags on four different channels [17], making tag readings less competitive and subject to collisions. Indeed, by efficiently assigning these channels to readers in the same vicinity, the number of collisions can be reduced up to four times, thus enhancing the efficiency of RFID systems. However, having more frequencies does not prevent RFID readers from colliding. Indeed, tags under concurrent readers, even on different channels, still cannot be read and are subject to another form of interference (see Section 2.5). As such, collisions still remain and have to be addressed.

2.5. Dedicated Control Channel

In Section 2.3, we explained the need for readers to either communicate with a central server or communicate directly with each other. The hypothesis of a dedicated control channel between readers in a distributed scheme can be found in literature [16,18,19,20], as well as in a centralized scheme, with the dedicated channel being set between readers and the central server [21,22,23,24]. Some proposals in the literature even considered the idea of both a link between readers and a central server as well as a link between readers themselves [25,26,27]. In our proposals, we opted for a distributed scheme with wireless communication between readers. This choice is justified by the fact that having dense deployments with every reader connected through a wire would be troublesome and impossible in mobile environments. Also, using wireless communications allows us not to have readers exchanging their actual positions, since neighbors in our proposals are defined by readers within communication range.
The range of this dedicated control channel has to be set accordingly to allow proper exchange between readers and define the proper contention area for each reader. Indeed, as presented in Figure 1, if readers are not aware of their neighbors in a radius of at least d C R T , they might unknowingly collide with other devices. As such, a proper communication range between readers in a single channel environment should at least be d C O M = d C R T . This value is the one we chose for our proposal, CORA. However, in the case of a multichannel algorithm, as for DEFAR, this value is insufficient due to adjacent channel interference that arises. This concern was investigated in [16,28], and the authors determined that to avoid adjacent channel interference, a distance of at least d A C = 3.3 × d C R T should be observed.
Following these assessments, we set the communication range between readers to d C O M = 2 × 3.3 × d C R T for DEFAR and d C O M = d C R T for mDEFAR and CORA.

3. Related Work

Various solutions have been proposed for the RFID reader collision problem, but most of these proposed solutions have not considered highly dense and mobile specifications as we did with our proposals and therefore they are hardly appropriate for dynamic use cases as the ones depicted in Section 1.
Reviewed solutions can mainly be classified as either TDMA-based, such as [18,21,25,26] or CSMA-based [16,19,20,28,29].
In DCS [30] (Distributed Color Selection), readers only have access to a single tag reading channel. They randomly select a timeslot (color) within a previously fixed, defined framesize and transmit their slot choice to their neighbors. In case two or more readers in the same vicinity choose the same color, they are considered to be colliding, as such, they fail to access tags for the current round. They then randomly choose new colors and advertise (kick) their new choice to neighbors. In a dense environment, it is easy to see how unstable this algorithm would perform. Authors later, in [18] (VDCS), modified their algorithm to allow the value of the framesize to be dynamically updated by readers locally, after reaching defined collisions thresholds. Finding the optimal value for the framesize is quite troublesome, however, and generates a lot of repetitive failures from readers, thus consuming a decent amount of energy. DCNS [31] from the same authors tries to alleviate the issue by reducing the overhead with a new color update mechanism and states leverage as a starvation countermeasure. However, this update still fails to consider the mobility of readers.
In NFRA [22] (Neighbor-Friendly Reader Anticollision), a central server synchronizes the system through broadcast commands. Readers would, at the reception of the first command from the server, randomly choose a timeslot and contend with their neighbors. This proposal was a monochannel one which was later updated by GDRA [25] (Geometric Distribution Reader Anticollision) which made it multichannel and used a geometric distribution [32] to alleviate collisions. This allowed more room for contention between readers which could then chose both a timeslot and channel on which to identify tags. These algorithms, however, have heavy requirements, needing readers to be able to communicate simultaneously with a central server, between themselves and with the tags as well as considering the use of bistatic antennas to be able to listen on their channel while they transmit.
In the ACoRAS [21] (Adaptive Color-based Reader Anticollision Scheduling) algorithm, readers are assigned colors by a central server following the construction of a Minimum Independent Set. The color distribution is then optimized to reduce latency. Even though it performs well, this algorithm has strong requirements regarding the information needed by the central server to efficiently assign colors to each reader, which makes it less suitable for dynamic scenarios.
CSMA-based approaches took a different route. In [17], from the multichannel for the RFID standard, LBT (Listen Before Talk) was proposed. In this algorithm, readers first listen on a chosen channel, for any ongoing operation, for a specified minimum time, and if any activity is detected, the reader will seek another idle channel. In a dense environment, we might have readers stuck in listening mode, helplessly trying to find an idle channel.
In Pulse [19], while a reader is identifying tags, it periodically sends a beacon on the dedicated control channel to advertise its running operation to neighbors. Readers receiving the beacon then refrain from accessing tags until the channel becomes idle. This proposal quite unfits dense environments where several readers might get disabled for the sake of a single one. This is inefficient both in terms of throughput and energy consumption.
The HAMAC [28] (High Adaptive Medium Access Control) protocol has readers trying to find an idle channel among the ones available by listening during a backoff period chosen within a defined Contention Window (CW) size. In case a reader fails to find an idle channel at first, the CW is consecutively reduced by half to have a smaller listening time. Having varying contention frame sizes among readers can induce a lack of fairness among readers, with some readers having a high latency.
APR [29] (Anticollision Protocol for RFID) proposes readers to exchange beacons after a backoff period relative to their residual energy levels to estimate the distance between each other according to the strength of the received signal. From this measurement, readers will solve the contention process by having their neighbors identify tags for them. A broadcast of tag information is done by successful readers afterwards to exchange information. This solution, however, fails to consider the tags that are out of the collision range of two readers. A reader that has a single tag in the collision range may be disabled while it has several other tags in its reading range. Also, estimating the distance between two devices only based on the signal power received is very much subject to errors.
From this observation, we deduce that while centralized solutions seem to be the most performing ones, they are either not scalable for more dynamic deployments [21] or make significant trade-offs regarding throughput and efficiency for the sake of reducing collisions [22,25]. CSMA-based approaches, on the other hand, by leveraging on contention window size among readers, impact the fairness of access between readers and affect their energy consumption, with readers having to either continuously emit a jamming signal or listen to the medium before reading tags [17,19,28]. As such, we propose to focus on distributed TDMA-based algorithms that could better suit dynamic environments without the need of a central server and be able to offer a fair access to the medium to all readers while also being able to reduce collisions and improve throughput, so as to be the most efficient possible.

4. Distributed Efficient and Fair Anticollision for RFID Protocol DEFAR

One of the main motivations when designing DEFAR [6] was to support the deployment of dynamic RFID systems with static/mobile readers and/or tags. We also aimed at creating a distributed algorithm to avoid being dependent on a central server which would preclude our solution from being used in mobile applications and could also make the solution much more expensive to deploy regarding the communication between the readers and the central server. Unlike [25], our algorithm does not depend on the use of additional hardware. Another issue met in regular algorithms is to ensure that readers deployed in a given area get access to the medium in a fair and balanced manner. We attempt to resolve this issue by allocating different priority levels to readers to access tags.

4.1. Overview of DEFAR

DEFAR is a distributed multichannel TDMA-based RFID anticollision protocol. In order for readers to exchange beacons, a dedicated communication channel is used, different from the ones used to access tags as explained in Section 2.5.
The medium access is divided into different time frames which are themselves again divided into m a x _ s l o t s . Each slot can be accessed by up to 4 readers in the same vicinity using one of the 4 ETSI channels [17]. This permits up to N = m a x _ s l o t s × 4 contending readers (as explained in Section 2.4) in a defined vicinity against just N = m a x _ s l o t s in a single channel environment. Each slot has a duration of T s l o t . This duration is split into two parts, T b e a c o n [17] used by readers to send beacons at the start of their slot and T C R T [25,26,28,33] used to access and read tags. A frame can then be defined as T f r a m e = max _ slots * T s l o t with T s l o t = T b e a c o n + T C R T . The slots are organized into two different phases:
  • First, a beaconing phase for each reader to discover its neighbors and ensure it can access the medium. During this phase, each reader observes a random backoff period before sending its beacon. The way we designed the number of backoff slots allows an insubstantial number of potential beacon collisions. A large range of beaconing slots are available (see Figure 3) for readers to randomly chose from and only readers at the current ongoing reading slot are awakened, thus making beacon collisions very unlikely to happen.
  • Second is a reading phase for readers to access tags for a defined period of time. Regarding the previous beacons’ exchange between readers and the disabling of colliding readers, no collision is then conceivable when reading tags, since on each slot and frequency, there cannot be more than one reader trying to read tags: the corresponding competition is based on the information gathered during the beaconing phase.
The readers are able to follow the flow of frames with beaconing and reading phases thanks to a loose TDMA approach based on internal clocks and time margins. To overcome the general disabling of all readers in case of a collision, we introduce an ID comparison to allow at least one of the contending readers to access the tags. Also, in order to avoid the same readers constantly accessing the tags, we set priority levels to increase the chances of previously failing readers, while decreasing the ones for previously winning ones. We define three priority levels for the readers (see Figure 4):
  • NEUTRAL is the priority of all readers at start;
  • LAZY is the lowest priority, it is given to readers which have successfully read the tags in their range on the previous frame;
  • PUMPED UP, the highest priority, is given to readers that have failed to access the medium, thus giving them a higher probability of accessing tags during the following frame.
At the beginning of the first frame, all readers randomly select a slot between [ 0 ; m a x _ s l o t s [ and a channel among the available ones standardized by [17]. Knowing the length of a slot, readers then wait for their corresponding slot for a duration of t = c h o s e n _ s l o t * T s l o t with the default NEUTRAL priority. Once at the corresponding chosen slot, a reader Ri observes a random backoff period before sending its beacon containing its ID and token on the dedicated communication channel. Two cases can occur (Algorithm 1).
Case 1: 
Ri does not receive any beacon during Tbeacon. Ri is thus the only reader with this corresponding token in its vicinity. It can then access the medium to read tags during TCRT and switches its priority to LAZY (Algorithm 1, lines 5 and 6). In the topology shown in Figure 5a, readers R1, R2, R5, R6, R7 and R8 are in this case, they will not receive any beacon from their neighbors and will proceed to read tags.
Case 2: 
Ri receives one or more beacon(s) with corresponding tokens during Tbeacon. In Figure 5a, R3 and R4 collide and receive each other’s beacons. Ri thus compares the IDs contained in the received beacons with its own:
Either ID of Ri is the smallest. Ri then accesses the medium for TCRT and switches to LAZY priority (Algorithm 1, lines 8 and 9). In Figure 5a, R3 wins the contention since it has the lowest ID;
or ID of Ri is greater than any of the IDs received. Ri leaves the contention and switches its priority to PUMPED UP (Algorithm 1, line 10). It loses the previously chosen token and randomly picks another set of channels and slots for the next frame. In the case of our topology in Figure 5a, R4 loses the contention and lets R3 read.
This process is kept throughout the entire first frame.
During the following frames (see Figure 5b), we keep the same collision resolving idea with a twist accounting the previously introduced priorities of the readers. Readers once again randomly select a slot and channel among the available ranges. Once the corresponding slot to the chosen token is up, a reader Ri observes a random backoff period and sends its beacon with not only its ID and token but also its priority level. The following can happen (Algorithm 2):
Case 1: 
Ri is LAZY:
-
no collision: There are no concurring readers in the vicinity of Ri, it sends its beacon but does not receive any beacon from its neighbors. It then accesses the tags for TCRT and remains in LAZY priority (Algorithm 2, lines 5 and 6). Readers R1, R3, R5, R6 and R7 successfully read tags since they do not receive beacons from neighbors in Figure 5b;
-
collision: There is at least one concurring reader in the vicinity of reader Ri which receives at least one corresponding beacon from one of its neighbors (Algorithm 2, line 7). In Figure 5b, Readers R2 and R8 are concerned:
*
Ri matches the priority levels of the readers that sent their beacons, if any of them is a PUMPED UP one, Ri shuts off and waits for the the next frame with a PUMPED UP priority (Algorithm 2, lines 9 and 10). As such, R2 and R8 receive the PUMPED UP beacon from R4 and get disabled for the current round in Figure 5b;
*
if all the readers that have sent beacons are LAZY as well, Ri then matches its ID with the readers that sent their beacons. It resolves the contention with respect to the IDs, as done in the first round (Algorithm 2, lines 12 to 14).
Case 2: 
Ri is PUMPED UP:
-
no collision: there are no concurring readers in the vicinity of Ri, it sends its beacon but does not receive any beacon from its neighboring readers. It then accesses the tags for TCRT and switches its priority to LAZY (Algorithm 2, lines 5 to 7);
-
collision: there is at least one concurring reader in the vicinity of reader Ri which receives at least one corresponding beacon from one of its neighbors (Algorithm 2, line 7). In Figure 5b, R4 is concerned:
*
Ri compares the priority levels of the readers that have sent their beacons during phase 1, if all of them are LAZY ones, Ri accesses the medium to read tags for TCRT and then switches to LAZY priority (Algorithm 2, lines 18 and 19). Indeed, in Figure 5b, R4 receives LAZY beacons from R2 and R8;
*
if any of the readers that have sent a beacon are in a PUMPED UP priority as well, Ri then compares the IDs and resolves the contention with respect to the IDs, as done in the first round (Algorithm 2, lines 21 to 23).
Algorithm 1 First frame for a reader Ri
1:
s l o t i ( i n t ) r a n d o m [ 0 ; m a x _ c o l o r s ]
2:
p r i o r i t y i N E U T R A L
3:
if c u r r e n t _ s l o t = = s l o t i then
4:
    Send beacon
5:
    if no beacon received then               ▹ No collision
6:
        Read tags; p r i o r i t y i L A Z Y
7:
    else       ▹ At least one other reader has chosen the same token
8:
        if R i has the lowest ID then              ▹ R i wins.
9:
           Read tags; p r i o r i t y i L A Z Y
10:
        else p r i o r i t y i P U M P E D U P
11:
        end if
12:
    end if
13:
end if
Algorithm 2 Next frames for a reader Ri
1:
s l o t i ( i n t ) r a n d o m [ 0 ; m a x _ c o l o r s ]
2:
c h a n n e l i ( i n t ) r a n d o m [ 1 ; f m a x ]
3:
if c u r r e n t _ s l o t = = s l o t i then
4:
    Send beacon
5:
    if no beacon received then            ▹ No Collision
6:
        Read tags; p r i o r i t y i L A Z Y
7:
    else         ▹ At least one reader R j has the same token
8:
        if p r i o r i t y i = = L A Z Y then
9:
           if p r i o r i t y j = = P U M P E D U P then
10:
                p r i o r i t y i P U M P E D U P
11:
           else
12:
               if R i has the lowest ID then         ▹ R i wins.
13:
                   Read tags; p r i o r i t y i L A Z Y
14:
               else p r i o r i t y i P U M P E D U P
15:
               end if
16:
           end if
17:
        else            ▹ p r i o r i t y i = = P U M P E D U P
18:
           if p r i o r i t y j = = L A Z Y then
19:
               Read tags; p r i o r i t y i L A Z Y
20:
           else
21:
               if R i has the lowest ID then         ▹ R i wins.
22:
                   Read tags; p r i o r i t y i L A Z Y
23:
               else p r i o r i t y i P U M P E D U P
24:
               end if
25:
           end if
26:
        end if
27:
    end if
28:
end if

4.2. Mobile-DEFAR

mDEFAR is a variation of DEFAR intended for denser mobile environments, while in DEFAR the communication range had to be set to a value of d C O M = 2 × d A C = 2 × 3.3 × d C R T in order to prevent adjacent channel interference. In mDEFAR, we chose to study the impact of a monochannel algorithm that would induce more collisions but hopefully decrease the coverage delay since less readers have to be disabled with a smaller communication range of d C O M = d C R T . This approach allows a better throughput and coverage delay, albeit the single channel parameter induces more collisions since readers shift N = m a x _ s l o t s × m a x _ c h a n n e l s available tokens to just N = m a x _ s l o t s tokens. Every other parameter stays the same minus the different frequencies.

5. Coverage Oriented RFID Anticollision (CORA)

CORA is a monochannel TDMA-based proposal. RFID collisions have for a long time been considered as impactful as WSN (Wireless Sensor Network) collisions [16,18,19,20,21,22,23,25,26,28,34]. As such, it was considered that in the event of a collision, readers involved would not access any tags and collisions were just avoided at any cost, forgetting that tags that were not in the collision area would actually be successfully read as shown in Figure 1. Knowingly, CORA was designed to allow a fair amount of collisions in order to improve coverage delay and throughput.
In Figure 6a, readers R1 and R2 can resp. read tags T1 and T2 while they share a collision area over T2. In the event of R1 and R2 accessing the medium at the same time, both tags T1 and T2 will successfully be read while T2, being in the collision area, will not; T2 will still be read afterwards by R3 (see Figure 6b). Thus, instead of having the three readers read at three different times, we can have a total coverage within just two timeslots, improving the coverage delay.
The process of CORA is willingly kept simple as a monochannel and TDMA-based algorithm. The communication with tags is organized in frames, themselves subdivided in slots. Every reader randomly chooses a slot within a value m a x _ s l o t . The frame is designed such as the frame as a beacon phase, first during which every reader broadcasts its randomly chosen slot to its vicinity and receives others’ beacons, second is a tag interrogation phase. The beaconing phase is organized with a backoff scheme to prevent beacon collisions at this level. Upon reception of all beacons in its vicinity (Algorithm 3, lines 7 and 8), a reader then makes a decision according to the number of contenders that chose the same slot as its own ( s l o t s a m e ) (Algorithm 3, lines 9 and 10) and the different ones ( s l o t d i f f e r e n t ) (Algorithm 3, lines 11 and 12). Each reader computes a number M = s l o t s a m e s l o t d i f f e r e n t :
  • if M > 0 (Algorithm 3, lines 15 and 16), the reader considers there are too many neighbors on the same slot as its own and gets disabled. The potential size of the colliding area between all the contending readers in its vicinity involved makes it inefficient to read. In the example of Figure 7a, after beacon exchange, reader R5 will not access tags since it collides with both R4 and R6. In Figure 7b, tags covered by R5 will be read since it is now on a different slot;
  • if M ≤ 0 (Algorithm 3, lines 17 to 19), the reader accesses the medium even if it might collide with some of its neighbors, considering that the uncovered tags due to collisions will be read by the neighboring readers on different slots within the same frame. As such, in Figure 7a, all readers except R5 access tags. Regarding tags laying between R2, R3 and R8, they will not be read in the current round but in the following round, Figure 7b; the previously unread tags will successfully be read since the three involved readers are on different slots.
Algorithm 3 CORA algorithm
1:
s l o t i ( i n t ) r a n d o m [ 1 ; m a x _ c o l o r s ]
2:
Send beacon
3:
if no beacon received then                  ▹ No collision
4:
    if c u r r e n t _ s l o t = = s l o t i then
5:
        Read tags
6:
    end if
7:
else                  ▹ R i receives beacons from neighbors
8:
    while R i receives beacons do
9:
        if s l o t j = = s l o t i then      ▹ Neighbor R j chose the same slot as R i
10:
            s l o t s a m e ++
11:
        else               ▹ Neighbor R j slot is different from R i
12:
            s l o t d i f f e r e n t ++
13:
        end if
14:
    end while
15:
    if s l o t s a m e > s l o t d i f f e r e n t then      ▹ Too many colliding neighbors
16:
        Waits for next round
17:
    else                ▹ Enough neighbors on different slots
18:
        if c u r r e n t _ s l o t = = s l o t i then
19:
           Read tags
20:
        end if
21:
    end if
22:
end if
Contrary to mDEFAR, readers here need to identify all their contending neighbors and their slots before the contention. The beaconing process is thus made prior to any reading phase. A frame has a length of: T f r a m e = T b e a c o n + ( m a x _ s l o t × T C R T ) .

6. Performance Results

To study the performance of our proposals, we implemented them using WSNet [35] and observed their behavior under various circumstances. WSNet is a modular event-driven simulator for large-scale wireless networks.
The simulations were done considering two main configurations:
  • static deployments: In these runs, both tags and readers deployed remain fixed during the length of the simulation. This scenario was considered to assess the performance of our algorithms in a dense environment;
  • dynamic deployments: In these runs, we considered a mix of both static and mobile tags and readers moving around the considered deployments area at various speeds and patterns. Having more dynamic scenarios that remain dense in terms of readers and tags deployments allows the observation of the performance of our algorithms in applications such as the one depicted in Section 1.
For each configuration, 100 simulations of 400 s each are run. Results are presented within a 95% confidence interval. After multiple tests, it was defined that the best compromise between throughput, collisions and latency would be to set m a x _ s l o t = 4 . The values of T b e a c o n and T C R T are respectively set to 5 m s and 460 m s according to values found in [17,25,26,28,33].
Regarding the performance metrics used, we based our choice on the metrics reviewed in [36].
Our algorithms are compared to GDRA in their results over the chosen applications and environments. We chose to compare our works with GDRA since throughout our state-of-the-art review, it consistently remained the best performing algorithm for RFID anticollision. Also, as a centralized and TDMA approach, it seemed to be the best suited to validate our distributed approaches. Indeed, the choice of a distributed approach rather than a centralized approach for our proposals should be investigated to validate that it does not impact the performance. From the observations made in [25] regarding the results of GDRA in the mentioned deployments, we considered it for our dense and mobile applications.

6.1. Static Deployments

A map of size 1000 × 1000 sqm is considered with 2000 tags randomly distributed. A varying number of readers ranging from 100 to 500 readers are randomly arranged on the maps as well. Following the maximum transmission power defined in [17], we determined d C R T = 10 m with an adjacent channel interference range of d A C = 3.3 × d C R T and d C O M = 2 × d A C for DEFAR and GDRA and d C O M = d C R T for mDEFAR and CORA. These settings correspond to an average density of three concurring peers and four tags covered per reader.
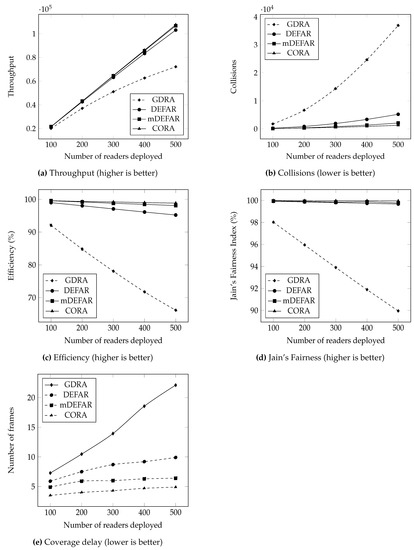
  • Throughput: Here defined as the average number of successful query sections (SQS) over simulated time. A successful query section is counted every time a reader successfully goes through the contention process and accesses the medium. The higher the throughput, the better the protocol is considered to be. In Figure 8a, the throughput of our three proposals is compared with GDRA for the different network densities tested. All throughput values increase with the number of readers deployed in the system; this is expected since with more readers we have more potential query sections. We notice that all throughput values are similar in the beginning, around 100 readers deployed then an increasing gap is noticed between our proposals and GDRA. For GDRA, this is explained by the fact that in case of a collisions, all readers in the same vicinity get disabled. While in DEFAR, mDEFAR and CORA there is always at least one reader enabled to identify tags. The three proposals show quite similar values with mDEFAR and CORA operating slightly better since the smaller interference and communication range induce more readers to have a chance at being enabled.
  • Collisions: Two types of collisions are identified, channel access collision and reading collision. Channel access collisions happen when multiple readers choose the same beaconing slot or when different readers in the same vicinity fail to choose different slots and/or channels. Reading collisions happen when two or more readers access tags in their intersecting surroundings at the same time (see Figure 1). When the former occurs, we consider an unsuccessful query section happened, and the involved readers got disabled and covered tags were not read. The latter ones are not computed since, according to our proposals and the ones used to compare, they cannot happen because readers in that situation are disabled by the respective algorithms except in the case of the CORA algorithm, but here again they cannot be computed as we willingly let them occur for a better compromise. Figure 8b shows the number of collisions according to the density of readers deployed. GDRA registers more collisions than our proposals due to its contention resolution process. Indeed, while we can have up to m a x _ s l o t s × 4 for DEFAR or m a x _ s l o t s for mDEFAR, only a single reader can be enabled in a reader’s vicinity in GDRA. This leads to more readers being disabled, hence the number of collisions recorded.
  • Efficiency: This is the ratio of the SQS over the attempted query sections (AQS), E f f = S Q S A Q S . Attempted query sections are counted every time a reader tries to access the medium and goes through the contention process. This metric allows the combination of both the results in terms of throughput and collisions, in order to identify the best performing algorithm. In Figure 8c, the efficiency for all compared protocols depending on the density is shown. As this result is a combination of the previously introduced, it explains why GDRA has the lowest efficiency (dropping from 92% to 66%) while all our proposals remain above 95%. This proves that our proposals are all well-suited for dense deployments.
  • Jain’s Fairness Index: This is the most used equity indicator [37] in the literature. Since simulations were run with static readers randomly deployed, it is interesting to understand how well each reader gets a fair access to the medium to read the tags that it is covering. If the resource is not fairly distributed, it can result in some tags not being identified. This JFI is computed as follows:
    I J a i n = | i = 1 n x i | 2 n × i = 1 n x i 2
    where xi is the throughput of the i-th reader and n is the cardinal of deployed readers. When all readers get even throughput values, I J a i n = 1 and in the worst case I J a i n = 1 n . Figure 8d shows that all tested algorithms perform very well in terms of equity since all of them have values over 90%. However, DEFAR and mDEFAR get better results thanks to the different priority levels introduced which allows failing readers a better chance at succeeding in following rounds.
  • Coverage delay: This is the minimal time needed to read at least all tags in range at least once. Since readers are here static and both tags and readers were deployed randomly, not all tags are sure to be in range, so only the ones covered were considered in Figure 8e. It shows that our proposals perform faster than GDRA which is explained by the precedent results. It is, however, interesting to see that the compromise regarding collisions done with CORA allows a faster completion. Regarding the difference between DEFAR and mDEFAR, once again using a single channel allowed the reduction of the interference range. Since less readers are colliding, more are enabled and tags are identified faster.

6.2. Dynamic Deployments

Two applications were considered to define two scenarios detailed below:

6.2.1. Warehouse

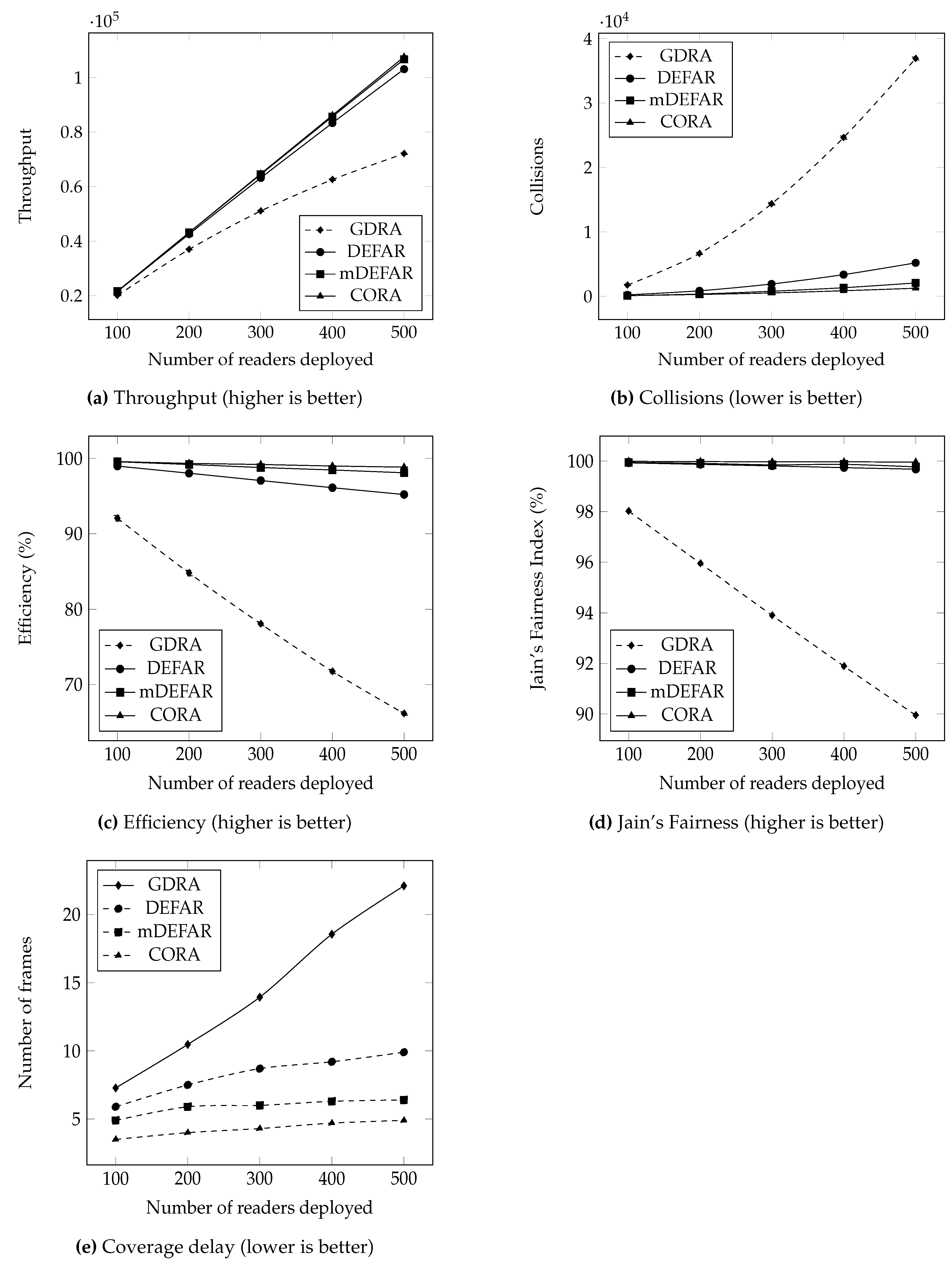
A large warehouse of 200 × 200 sqm with 6000 tags deployed on shelves is simulated. Shelves are considered to be aligned in rows spaced by 7-meter-wide aisles. This results in 30 shelves of 200 tags each. Ten readers are deployed on each aisle (i.e., 290 readers in total), all supposed to move at a speed of 0.7 m/s linearly within the aisles and u-turn once they reach an edge of the warehouse. Such a scenario allows our proposals to be challenged in a dynamically dense deployment of readers where the reader contention parameters are permanently changing. A snapshot of the topology is shown in Figure 9a.

6.2.2. Urban

An urban representation of 500 × 500 sqm with 800 tags deployed in the streets is recreated. The tags are used to identify moving vehicles. The vehicles travel through the city at an average speed of 10 m/s. The streets are two-way paths 5-meter-wide. They are considered to be perpendicular with building blocks in between; each building block is 50 × 50 sqm. Two types of readers are identified: static and mobile ones. The static readers are placed on each building block corner. Mobile readers are mounted on bicycles, riding at an average speed of 4 m/s (i.e., 352 readers in total). Two of these bicycles are deployed on each of those streets. This model deals with the coexistence of both mobile and static readers sporadically, dense environments when mobile readers reach an intersection and are in contention with at least four of the corner readers. An example is shown in Figure 9b.

6.2.3. Results

Results of the simulations run on the considered applications are presented in Figure 10 and Figure 11.
  • Throughput: In this case, the throughput can be considered as a gain in tracking capability for security applications, since the higher the throughput, the higher granularity of data regarding products is available. Figure 10a shows the throughput of the different algorithms in the warehouse scenario. We can see that CORA clearly dominates with a higher throughput value. Indeed, in the warehouse where readers are between shelves with tags on the extremity of the reading range, colliding in a tag-free zone is not harmful and CORA takes advantage of this, hence the results. mDEFAR also performs very well thanks to its smaller interference range. GDRA, however, offers poor results due to the high number of colliding readers. In Figure 10b, results are different for mDEFAR and DEFAR. Indeed, in the urban scenario where we have both mobile and static readers, DEFAR performs better since it is able to reach a convergence state between readers located in corners and actively read tags, thus coming close to results obtained with CORA.
  • Collisions: A collision in a mobile tag environment could mean that a tag was not identified and in a production chain could lead to a defective product not identified. In Figure 10c,d, GDRA shows the highest number of collisions which was expected from its poor performance in throughput. It is again interesting to see that in Figure 10d, DEFAR has the lowest collision values, which is explained by the convergence state that it is able to reach in this static/dynamic environment. mDEFAR and CORA both offer similar results however.
  • Efficiency: From the previous results, in terms of throughput and collisions, the efficiency values can be predicted. As such, in the entirely mobile environment of the warehouse (Figure 10e), GDRA shows remarkably low efficiency (around 1%) compared to our proposals, which proves that it is not suited for mobile environments. mDEFAR, however performs the best despite it having a lower throughput than CORA (see Figure 10a), but the fewer collisions registered makes it slightly more efficient (75% for mDEFAR and 72% for CORA). In the urban scenario (Figure 10f), results are better for GDRA (42%), since the static readers on street corners benefit better from the algorithm, but are still lower than our proposals. DEFAR achieves the best results (87%) while mDEFAR and CORA are still quite similar (respectively 73% and 76%).
  • Coverage delay: In a mobile environment, it can be compelling to get all tags information as fast as possible to know the state of the system at any given moment. Figure 11 shows the percentage of tags covered over time. In the warehouse application (Figure 11a), while mDEFAR and CORA have overlapping plots and achieve almost total coverage after 20 rounds, GDRA struggles to reach 10% coverage over simulation length. DEFAR, however, slowly reaches total coverage after 80 rounds. For the urban application (Figure 11b), results are better for GDRA which reaches 94% coverage after 20 rounds, while our proposals all reach 100%. CORA (12 rounds) achieves total coverage slightly faster than DEFAR (22) and mDEFAR (16). Even though DEFAR had a better efficiency and less collisions, it was still not as fast as CORA since the efficiency boost of DEFAR (see Figure 10d) is offered by the static readers which only cover the tags going through them while the moving readers with CORA bring the gain in coverage delay.
These results comfort us in the belief that a single anticollision scheme cannot suit different deployments and applications. Indeed, the metrics (throughput, collisions, efficiency, fairness, latency, energy...) targeted, as well as the nature of the readers and tags deployed should guide the choice of the anticollision scheme setup. As such, regarding the proposals made in this paper, we believe that when multichannel is a must, only DEFAR should be considered since it is the only compliant one and offers substantial improvements over GDRA in all metrics visited. When, in the case of a mobile deployment, such as a dynamic warehouse with mobile readers and tags roaming through the deployment area, mDEFAR should be chosen as an all-around better performing protocol, but if the goal is to offer the fastest coverage and higher throughput, CORA is the best choice. While in the case of a hybrid deployment of both mobile and static readers, as could be the case in a smart city with different applications running in parallel, DEFAR turns out to be the best in terms of efficiency, so is therefore better suited for long-term and stability, but CORA should be chosen if the system needs to quickly identify all deployed tags and reduce latency.
The low performances of GDRA compared to our proposals can be explained by the contention resolution procedure triggered. Indeed, while in our proposals we can always ensure that at least one reader accesses tags in its vicinity in case of multiple collisions, in GDRA in case of collision, not only do all involved readers get disabled but readers in the vicinity get disabled as well. This further decreases the number of enabled readers on a round and explains the low throughput and high collisions and delay. From our simulations, we believe that GDRA might be more suitable for less dense environments where less readers are involved in contentions and are less compliant with the considered scenarios.

7. Discussion

7.1. Energy Consumption

After seeing the performance of our proposals in terms of efficiency and coverage delay, it should be interesting to measure the energy consumed in order for them to work properly. Although we considered passive tags throughout our simulations which do not need a battery to be functional, readers, however, will need substantial energy levels in order to both read tags and coordinate and schedule their operations.
In algorithms such as DEFAR or mDEFAR, the overhead created by the beacon exchange should be investigated to make sure readers do not waste too much energy in that phase. Also, verify that the energy consumed by this overhead is less important than having a CSMA-based scheme where readers would have to listen for varying periods of time before transmitting. The incidence of reader collision should also be studied to verify if the compromise made by CORA, regarding willingly accepting collisions in order to improve coverage delay, is profitable. Once these inquiries are completed, it should be expected to produce the best leverage regarding energy, coverage delay and collisions. Delineating the energy consumption could also allow the focus on energy harvesting solutions for readers. As such, an application such as the urban one could have readers benefit from piezoelectric or regenerative braking sources.

7.2. Propagation Range Model

For the purpose of modeling of our algorithms and simulations, we used an isotropic propagation model represented as concentric circles around the reader for the communication and reading ranges. This assumption is made throughout the literature [16,18,19,20,21,22,23,25,26,27,29] for simplification purposes. As such, investigating the intended deployment environments anticipates the impact on the dedicated control channel used, as well as how it impacts tag identification. In the warehouse application where tags can be attached to different types of goods which are stored randomly, this investigation can prevent the effects of reflection and refraction of radio signals. Concurrently, considering the different types of RFID beam antennas found in production could help us have a better perception of the performance of our proposals in a real deployment. Indeed, if the reading antenna is different from the inter-reader communication one, two readers in communication range might not be colliding for readings, resulting in wrongly disabled readers or, vice versa, two readers might be colliding but not detecting each other on the dedicated control channel.

8. Conclusions

In this paper, we presented three new algorithms designed to reduce collisions between RFID readers using TDMA-based techniques and beacon mechanisms, in order to improve coverage delay, fairness and efficiency of a RFID system in dense or mobile environments. All three proposals are compliant with ETSI EN 302 208 [17] standards to be adaptable regardless of the environment. Our proposals were compared to what is considered to be the best performing TDMA-based protocol and despite the fact that they are all distributed approaches, achieved better results in all considered metrics. The results show that depending on the application needs and requirements, one algorithm or another should be chosen. Indeed, if the deployment has to be multichannel, DEFAR will be the obvious choice. In a totally mobile environment, depending on the requirements in terms of either coverage delay or energy constraints respectively, CORA or mDEFAR should be chosen since they offer, for the first one the fastest coverage and the other one the best efficiency. If both static and mobile readers are considered with mobile tags, DEFAR can be the best choice to reduce collisions and offer better efficiency at the expense of coverage delay where CORA performs best.
Future works will, jointly with studies mentioned in Section 7, investigate the periodic gathering of readings towards a base station. As such, readers that failed contention could be used to forward tag information to balance activity.

Acknowledgments

This work was partially supported by a grant from CPER/FEDER DATA and IPL CityLab@Inria.

Conflicts of Interest

The authors declare no conflict of interest.

Abbreviations

The following abbreviations are used in this manuscript:
MDPIMultidisciplinary Digital Publishing Institute
DOAJDirectory of open access journals
RFIDRadio Frequency IDentification
TDMATime Division Multiple Access
CSMACarrier Sense Multiple Access
DEFARDistributed Efficient Fair Anticollision for RFID
mDEFARmobile Distributed Efficient Fair Anticollision for RFID
CORACoverage Oriented RFID Anticollision
DCSDistributed Color Selection
VDCSVariable Distributed Color Selection
DCNSDistributed Color Non-cooperative Selection
NFRANeighbor-Friendly Reader Anticollision
GDRAGeometric Distribution Reader Anticollision
ACoRASAdaptive Color-based Reader Anticollision Scheduling
LBTListen Before Talk
HAMACHigh Adaptive Medium Access Control
APRAnticollision Protocol for RFID-enhanced WSN
WSNWireless Sensor Network
SQSSuccessful Query Sections
AQSAttempted Query Sections
JFIJain’s Fairness Index

References

  1. Finkenzeller, K. RFID Handbook: Fundamentals and Applications in Contactless Smart Cards and Identification; John Wiley & Sons: Hoboken, NJ, USA, 2003; Chapter 3; pp. 29–61. [Google Scholar]
  2. Engels, D.; Sarma, S. The Reader Collision Problem. In Proceedings of the 2002 IEEE International Conference on Systems, Man and Cybernetics, Hammamet, Tunisia, 6–9 October 2002.
  3. Specification, E.S. EPC TM radio-frequency identity protocols class-1 generation-2 UHF RFID protocol for communications at 860 MHz–960 MHz version 1.2.0. EPCglobal, USA, 2007. [Google Scholar]
  4. Bolic, M.; Simplot-Ryl, D.; Stojmenovic, I. RFID Systems : Research Trends and Challenges; John Wiley & Sons: Hoboken, NJ, USA, 2010. [Google Scholar]
  5. Benedetti, D.; Maselli, G.; Petrioli, C. Fast identification of mobile RFID tags. In Proceedings of the 2012 IEEE 9th International Conference on Mobile Adhoc and Sensor Systems (MASS), Las Vegas, NV, USA, 8–11 October 2012.
  6. Mbacke, A.A.; Mitton, N.; Rivano, H. Distributed Efficient & Fair Anticollision for RFID protocol. In Proceedings of the International Conference on Wireless and Mobile Computing, Networking and Communications (WiMob), New York, NY, USA, 17–19 October 2016.
  7. Khandelwal, G.; Lee, K.; Yener, A.; Serbetli, S. ASAP: A MAC protocol for dense and time-constrained RFID systems. EURASIP J. Wirel. Comm. Netw. 2007, 2007, 3. [Google Scholar] [CrossRef]
  8. Lee, S.R.; Joo, S.D.; Lee, C.W. An enhanced dynamic framed slotted ALOHA algorithm for RFID tag identification. In Proceedings of the International Conference on Mobile and Ubiquitous Systems: Networking and Services, MobiQuitous, San Diego, CA, USA, 17–21 July 2005.
  9. Simplot-Ryl, D.; Stojmenovic, I.; Micic, A.; Nayak, A. A hybrid randomized protocol for RFID tag identification. Sens. Rev. 2006, 26, 147–154. [Google Scholar] [CrossRef]
  10. Myung, J.; Lee, W.; Srivastava, J. Adaptive binary splitting for efficient RFID tag anti-collision. IEEE Commun. Lett. 2006, 10, 144–146. [Google Scholar] [CrossRef]
  11. Khandelwal, G.; Yener, A.; Chen, M. OPT: Optimal protocol tree for efficient tag identification in dense RFID systems. In Proceedings of the IEEE International Conference on Communications ICC ’06, Istanbul, Turkey, 11–15 June 2006.
  12. Piramuthu, S. Anticollision Algorithm for RFID Tags. In Proceedings of the Conference on Mobile and Pervasive Computer, CoMPC, New Delhi, India, 7–8 August 2008.
  13. Park, J.; Chung, M.Y.; Lee, T.J. Identification of RFID tags in framed-slotted ALOHA with robust estimation and binary selection. IEEE Commun. Lett. 2007, 11, 452–454. [Google Scholar] [CrossRef]
  14. Eom, J.B.; Lee, T.J.; Rietman, R.; Yener, A. An efficient framed-slotted ALOHA algorithm with pilot frame and binary selection for anti-collision of RFID tags. IEEE Commun. Lett. 2008, 12, 861–863. [Google Scholar] [CrossRef]
  15. Bolic, M.; Latteux, M.; Simplot-Ryl, D. Framed aloha based anti-collision protocol for RFID tags. In Proceedings of the of ACM Workshop on Convergence of RFID and Wireless Sensor Networks and their Applications, SenseID, Sidney, Australia, 6–9 November 2007.
  16. Yu, J.; Lee, W. GENTLE: Reducing reader collision in mobile RFID networks. In Proceedings of the 4th International Conference on Mobile Ad-Hoc and Sensor Networks, Wuhan, China, 10–12 December 2008.
  17. Electromagnetic compatibility and Radio spectrum Matters ERM Radio Frequency Identification Equipment operating in the band 865 MHz to 868 MHz with power levels up to 2 W Part 2: Harmonized EN covering the essential requirements of article 3.2 of the R and TTE Directive. ETSI EN 302 208-2, July 2011.
  18. Waldrop, J.; Engels, D.W.; Sarma, S.E. Colorwave: An anticollision algorithm for the reader collision problem. In Proceedings of the IEEE International Conference on Communications, 2003. ICC ’03, Anchorage, AK, USA, 11–15 May 2003.
  19. Birari, S.; Iyer, S. PULSE : A MAC Protocol for RFID Networks. In Proceedings of the IEEE/IFIP International Conference on Embedded and Ubiquitous Computing, Nagasaki, Japan, 6–9 December 2005.
  20. Hwang, K.I.; Kim, K.; Eom, D.S. DiCA: Distributed Tag Access with Collision-Avoidance Among Mobile RFID Readers. In Proceedings of the International Conference on Computational Science and Engineering, 2009. CSE ’09, Vancouver, BC, Canada, 29–31 August 2006.
  21. Hamouda, E.; Mitton, N.; Simplot-Ryl, D. Reader Anti-Collision in Dense RFID Networks With Mobile Tags. In Proceedings of the 2011 IEEE International Conference on RFID-Technologies and Applications (RFID-TA), Shunde, China, 21–23 September 2011.
  22. Eom, J.B.; Yim, S.B.; Lee, T.J. An efficient reader anticollision algorithm in dense RFID networks with mobile RFID readers. IEEE Trans. Ind. Electron. 2009, 56, 2326–2336. [Google Scholar]
  23. Xia, M.; Yu, Q.; Li, Z. Relative density based anti-collision algorithm in RFID networks with dense readers. In Proceedings of the IEEE Region 10 Conference TENCON, Macau, China, 1–4 November 2015.
  24. Eom, J.; Lee, T.J. RFID Reader Anti-collision Algorithm Using a Server and Mobile Readers Based on Conflict-Free Multiple Access. In Proceedings of the IEEE International Performance, Computing and Communications Conference, IPCCC 2008, Austin, TX, USA, 7–9 December 2008.
  25. Bueno-Delgado, M.V.; Ferrero, R.; Gandino, F.; Pavon-Marino, P.; Rebaudengo, M. A geometric distribution reader anti-collision protocol for RFID dense reader environments. IEEE Trans. Autom. Sci. Eng. 2013, 10, 296–306. [Google Scholar] [CrossRef]
  26. Ferrero, R.; Gandino, F.; Montrucchio, B.; Rebaudengo, M. Fair anti-collision protocol in dense RFID networks. In Proceedings of the 3rd International EURASIP Workshop on RFID Technology (EURASIP-RFID), Cartagena, Spain, 6–7 September 2010.
  27. Ferrero, R.; Gandino, F.; Montrucchio, B.; Rebaudengo, M. A fair and high throughput reader-to-reader anticollision protocol in dense RFID networks. IEEE Trans. Ind. Inform. 2012, 8, 697–706. [Google Scholar] [CrossRef]
  28. Amadou, I.; Mitton, N. HAMAC: High Adaptive MAC Protocol for Dense RFID reader-to-reader Networks. In Proceedings of the International Conference on Ad Hoc Networks (AdHocNets), San Remo, Italy, 1–2 September 2015.
  29. Golsorkhtabaramiri, M.; Hosseinzadeh, M.; Reshadi, M.; Rahmani, A.M. A Reader Anti-collision Protocol for RFID-Enhanced Wireless Sensor Networks. Wirel. Pers. Commun. 2015, 81, 893–905. [Google Scholar] [CrossRef]
  30. Waldrop, J.; Engles, D.W.; Sarma, S.E. Colorwave: A MAC for RFID reader networks. In Proceedings of the IEEE International Conference on Wireless Communications and Networking, 2003. WCNC ’03, New Orleans, LA, USA, 16–20 March 2003.
  31. Gandino, F.; Ferrero, R.; Montrucchio, B.; Rebaudengo, M. DCNS: An adaptable high throughput RFID reader-to-reader anticollision protocol. IEEE Trans. Parallel Distrib. Syst. 2013, 24, 893–905. [Google Scholar] [CrossRef]
  32. Jamieson, K.; Balakrishnan, H.; Tay, Y. Sift: A MAC protocol for event-driven wireless sensor networks. In Proceedings of the EWSN ’06 International Conference on Embedded Wireless Systems and Networks, Zurich, Switzerland, 13–15 February 2006.
  33. Amadou, I.; Mbacké, A.A.; Mitton, N. How to improve CSMA-based MAC protocol for dense RFID reader-to-reader Networks? In Proceedings of the ADHOC-NOW 2014, 13th International Conference, Benidorm, Spain, 22–27 June 2014.
  34. Leong, K.S.; Ng, M.L.; Grasso, A.R.; Cole, P.H. Synchronization of RFID readers for dense RFID reader environments. In Proceedings of the SAINT Workshops 2006, International Symposium on Applications and the Internet Workshops, Phoenix, AZ, USA, 23–27 January 2006.
  35. Hamida, E.B. WSNet—An event-driven simulator for large-scale wireless sensor networks. 2007. Available online: http://wsnet.gforge.inria.fr/ (accessed on 25 November 2016).
  36. Gandino, F.; Ferrero, R.; Montrucchio, B.; Rebaudengo, M. Evaluation Criteria for Reader-to-Reader Anti-collision Protocols; Technical Report; Politecnico di Torino: Turin, Italy, 2012. [Google Scholar]
  37. Jain, R.; Durresi, A.; Babic, G. Throughput Fairness Index: An Explanation; Technical Report; Department of CIS, The Ohio State University: Columbus, OH, USA, February 1999. [Google Scholar]
Figure 1. RFID collisions.
Figure 1. RFID collisions.
Electronics 05 00084 g001
Figure 2. Mobility induced collision.
Figure 2. Mobility induced collision.
Electronics 05 00084 g002
Figure 3. Frame design.
Figure 3. Frame design.
Electronics 05 00084 g003
Figure 4. Priority levels diagram.
Figure 4. Priority levels diagram.
Electronics 05 00084 g004
Figure 5. DEFAR scenario example.
Figure 5. DEFAR scenario example.
Electronics 05 00084 g005
Figure 6. Collision evaluation.
Figure 6. Collision evaluation.
Electronics 05 00084 g006
Figure 7. CORA scenario example.
Figure 7. CORA scenario example.
Electronics 05 00084 g007
Figure 8. Performance evaluation results.
Figure 8. Performance evaluation results.
Electronics 05 00084 g008
Figure 9. Dynamic deployment scenarios.
Figure 9. Dynamic deployment scenarios.
Electronics 05 00084 g009
Figure 10. Use cases performance evaluation.
Figure 10. Use cases performance evaluation.
Electronics 05 00084 g010
Figure 11. Coverage delay.
Figure 11. Coverage delay.
Electronics 05 00084 g011

Share and Cite

MDPI and ACS Style

Mbacke, A.A.; Mitton, N.; Rivano, H. RFID Reader Anticollision Protocols for Dense and Mobile Deployments. Electronics 2016, 5, 84. https://doi.org/10.3390/electronics5040084

AMA Style

Mbacke AA, Mitton N, Rivano H. RFID Reader Anticollision Protocols for Dense and Mobile Deployments. Electronics. 2016; 5(4):84. https://doi.org/10.3390/electronics5040084

Chicago/Turabian Style

Mbacke, Abdoul Aziz, Nathalie Mitton, and Herve Rivano. 2016. "RFID Reader Anticollision Protocols for Dense and Mobile Deployments" Electronics 5, no. 4: 84. https://doi.org/10.3390/electronics5040084

APA Style

Mbacke, A. A., Mitton, N., & Rivano, H. (2016). RFID Reader Anticollision Protocols for Dense and Mobile Deployments. Electronics, 5(4), 84. https://doi.org/10.3390/electronics5040084

Note that from the first issue of 2016, this journal uses article numbers instead of page numbers. See further details here.

Article Metrics

Back to TopTop