Research on Transient Stability Optimization Control of Photovoltaic–Storage Virtual Synchronous Generators
Abstract
1. Introduction
2. VSG System Control
2.1. VSG Model for Photovoltaic Storage Systems
2.2. Traditional VSG Control Structure
3. Improved APDC Algorithm for Photovoltaic Energy Storage VSG Control Strategy
3.1. APDC Algorithm Based on VSG
3.2. Optimal Design of Kp via Particle Swarm Optimization in Electrical Engineering
4. FLC-Based Flexible Virtual Inertia Control for APDC–VSG
4.1. Relationship Between Power–Angle Dynamics and Virtual Inertia in VSGs
4.2. Fuzzy PID Controller Structure Based on Active Power-Frequency Loop Control
4.3. Design of Fuzzy PID Controller
5. Simulation Verification
6. Conclusions
- (1)
- In the active power-frequency control loop, a derivative and first-order inertial element is introduced, and the APDC algorithm is applied to reconstruct the system transfer function. Additionally, a particle swarm optimization algorithm is employed to determine the optimal derivative coefficient Kp, and following a grid active-power change, the VSG active-power output reaches the commanded steady-state value within 0.4 s, exhibiting neither overshoot nor oscillation.
- (2)
- The proposed FLC–APDC–VSG control strategy requires the online evaluation of 49 fuzzy rules and a rolling update of PID gains; with an interrupt period of 100 μs, the measured CPU load is ≈ 42%. The computational burden grows exponentially with the number of rules or the swarm size; a table lookup-based order-reduction approach will be pursued next to cut the execution time.
- (3)
- Throughout the paper, the grid–side reactance Xg and filter inductance Lf are assumed to be exactly their nominal values; the robustness margin of the controller against ±20% parametric drifts has not been quantified. Moreover, this paper focuses exclusively on improving small-disturbance stability; no Lyapunov-strict stability proof is provided for large-disturbance scenarios. These topics are reserved for future work.
Author Contributions
Funding
Data Availability Statement
Conflicts of Interest
References
- Martinho, F. Challenges for the future of tandem photovoltaics on the path to terawatt levels: A technology review. Energy Environ. 2021, 4, 3840–3871. [Google Scholar] [CrossRef]
- Xia, X.; Zhao, X.; Liang, J. A Novel Control Strategy to Enhance the Transient Performance of Grid–Forming Converters. IEEE Trans. Ind. Electron. 2025. early access. [Google Scholar] [CrossRef]
- Ma, S.; Xia, X.; Huang, X.; Zhao, X.; Deng, H.; Gong, Y.; Huang, R. Dynamic response characterization and multi–parameter cooperative control of virtual synchronous generator. Electr. Power Syst. Res. 2025, 247, 111839. [Google Scholar] [CrossRef]
- Ma, W.; Guan, Y.; Zhang, B. Active Disturbance Rejection Control Based Control Strategy for Virtual Synchronous Generators. IEEE Trans. Energy Convers. 2020, 35, 747–1761. [Google Scholar] [CrossRef]
- Zhan, C.; Wu, H.; Wang, X.; Tian, J.; Wang, X.; Lu, Y. An overview of stability studies of grid–forming voltage source converters. Proc. Chin. Soc. Electr. Eng. 2023, 43, 2339–2358. [Google Scholar]
- Guo, L.; Xu, Z.; Jin, N.; Li, Y.; Wang, W. A weighted voltage model predictive control method for a virtual synchronous generator with enhanced parameter robustness. Prot. Control Mod. Power Syst. 2021, 6, 38. [Google Scholar] [CrossRef]
- Yin, J.; Chen, Z.; Qian, W.; Zhou, S. A Virtual Synchronous Generator Low–Voltage Ride–Through Control Strategy Considering Complex Grid Faults. Appl. Sci. 2025, 15, 1920. [Google Scholar] [CrossRef]
- Yi, D.; Zheng, C.; Sun, H. Transient Stability mechanism analysis of the grid forming voltage source converter and the improved limiting method. Proc. CSEE 2023, 44, 3753–3765. [Google Scholar]
- Fang, H.; Yu, Z. Control of Virtual Synchronous Generator for Frequency Regulation Using a Coordinated Self–adaptive Method. CSEE J. Power Energy Syst. 2020, 10, 175–184. [Google Scholar]
- Rong, S.; Fan, H.; Liang, J.; Yu, T.; Li, T.; Liu, J. Research on inertia coordinated control strategy of multiple VSG cells. J. Electr. Power Sci. Technol. 2024, 39, 170–180. [Google Scholar]
- Suvorov, A.; Askarov, A.; Ruban, N.; Rudnik, V.; Radko, P.; Achitaev, A.; Suslov, K. An adaptive inertia and damping control strategy based on enhanced virtual synchronous generator model. Mathematics 2023, 11, 3938. [Google Scholar] [CrossRef]
- Ding, X.; Lan, T.; Dong, H. Control strategy and stability analysis of virtual synchronous generators combined with photovoltaic dynamic characteristics. J. Power Electron. 2019, 19, 1270–1277. [Google Scholar]
- Wang, F.; Zhang, L.; Feng, X.; Guo, H. An adaptive control strategy for virtual synchronous generator. IEEE Trans. Ind. Appl. 2018, 54, 5124–5133. [Google Scholar] [CrossRef]
- Yang, L.; Zhu, X.; Li, Y.; Chen, X.; Huang, B.; Xu, Z. Virtual synchronous control strategy and inertia analysis of large-scale energy storage. J. Electr. Power Sci. Technol. 2024, 39, 190–197. [Google Scholar]
- Li, M.; Yu, P.; Hu, W.; Wang, Y.; Shu, S.; Zhang, Z.; Blaabjerg, F. Phase feedforward damping control method for virtual synchronous generators. IEEE Trans. Power Electron. 2022, 37, 9790–9806. [Google Scholar] [CrossRef]
- Li, T.; Wen, B.; Wang, H. A self–adaptive damping control strategy of virtual synchronous generator to improve frequency stability. Processes 2020, 8, 291. [Google Scholar] [CrossRef]
- Ren, M.; Li, T.; Shi, K.; Xu, P.; Sun, Y. Coordinated control strategy of virtual synchronous generator based on adaptive moment of inertia and virtual impedance. IEEE J. Emerg. Sel. Top. Circuits Syst. 2021, 11, 99–110. [Google Scholar] [CrossRef]
- Lan, Z.; Long, Y.; Zeng, J.H.; Tu, C.M.; Xiao, F.; Guo, Q. Transient power oscillation suppression strategy of virtual synchronous generator considering overshoot. Autom. Electr. Power Syst. 2022, 46, 131–141. [Google Scholar]
- Karimi, A.; Khayat, Y.; Naderi, M.; Dragicevic, T.; Mirzaei, R.; Blaabjerg, F.; Bevrani, H. Inertia response improvement in AC microgrids: A fuzzy–based virtual synchronous generator control. IEEE Trans. Power Electron. 2019, 35, 4321–4331. [Google Scholar] [CrossRef]
- Wang, Y.; Wai, R.-J. Adaptive fuzzy–neural–network power decoupling strategy for virtual synchronous generator in micro–grid. IEEE Trans. Power Electron. 2021, 37, 3878–3891. [Google Scholar] [CrossRef]
- Yao, F.; Zhao, J.; Li, X.; Mao, L.; Qu, K. RBF neural network based virtual synchronous generator control with improved frequency stability. IEEE Trans. Ind. Inform. 2020, 17, 4014–4024. [Google Scholar] [CrossRef]
- Yang, X.H.; Yao, F.J.; Hao, P.F.; Lu, H. Adaptive inertia control for VSG based on improved RBF neural network. Electr. Meas. Instrum. 2021, 58, 112–117. [Google Scholar]
- Fang, J.; Zhao, J.; Mao, L.; Qu, K.; Gao, Z. An improved virtual synchronous generator power control strategy considering time–varying characteristics of SOC. Int. J. Electr. Power Energy Syst. 2023, 144, 108454. [Google Scholar] [CrossRef]
- Wang, R.; Wang, M.; Wang, K.; Wang, X. Optimization of frequency dynamic characteristics in microgrids: An improved MPC–VSG control. Int. J. Electr. Power Energy Syst. 2024, 156, 109783. [Google Scholar] [CrossRef]
- Long, B.; Liao, Y.; Chong, K.T.; Rodriguez, J.; Guerrero, J.M. MPC–Controlled Virtual Synchronous Generator to Enhance Frequency and Voltage Dynamic Performance in Islanded Microgrids. IEEE Trans. Smart Grid 2020, 12, 953–964. [Google Scholar] [CrossRef]
- Spampinato, C.; Valastro, S.; Calogero, G.; Smecca, E.; Mannino, G.; Arena, V.; Balestrini, R.; Sillo, F.; Ciná, L.; La Magna, A.; et al. Improved radicchio seedling growth under CsPbI3 perovskite rooftop in a laboratory-scale greenhouse for Agrivoltaics application. Nat. Commun. 2025, 16, 2190. [Google Scholar] [CrossRef]
- Nielsen, S.K.; Nørremark, M.; Green, O. Sensor and control for consistent seed drill coulter depth. Comput. Electron. Agric. 2016, 127, 690–698. [Google Scholar] [CrossRef]













| ∆ω | dω/dt | J |
|---|---|---|
| >0 | >0 | increase |
| >0 | <0 | decrease |
| <0 | <0 | increase |
| <0 | >0 | decrease |
| (a) Fuzzy control rules of ∆Kp | ||||||||
| ∆δ | NB | NM | NS | ZO | PS | PM | PB | |
| dδ/dt | ||||||||
| NB | NB | NB | NM | PM | PB | PB | PB | |
| NM | NB | NM | NM | PS | PS | PM | PM | |
| NS | NM | NM | NS | NS | ZO | PS | PS | |
| ZO | NM | NM | NM | ZO | NS | NM | NM | |
| PS | PS | NM | NS | ZO | NS | NM | NM | |
| PM | PM | PS | PS | PM | NM | NM | NB | |
| PB | PB | PB | PB | PM | NM | NB | NB | |
| (b) Fuzzy control rules of ∆Ki | ||||||||
| ∆δ | NB | NM | NS | ZO | PS | PM | PB | |
| dδ/dt | ||||||||
| NB | NB | NB | NM | NM | NS | NS | ZO | |
| NM | NB | NB | NM | NS | PS | ZO | ZO | |
| NS | NB | NM | NS | NS | ZO | NS | NM | |
| ZO | NM | NM | NM | ZO | PS | PM | PM | |
| PS | NM | NM | NS | ZO | PS | PM | PM | |
| PM | ZO | ZO | ZO | PS | NM | NM | NB | |
| PB | ZO | ZO | PS | PM | NM | NB | NB | |
| (c) Fuzzy control rules of ∆Kd | ||||||||
| ∆δ | NB | NM | NS | ZO | PS | PM | PB | |
| dδ/dt | ||||||||
| NB | PS | NS | NB | NB | NB | NB | PS | |
| NM | PS | NS | NB | NM | NM | NS | ZO | |
| NS | ZO | NS | NM | NM | NS | NS | ZO | |
| ZO | ZO | NS | NS | NS | NS | NS | NS | |
| PS | ZO | NS | NS | NS | NS | NS | ZO | |
| PM | PB | NS | NS | PS | PS | PS | PB | |
| PB | PB | PM | PM | PM | PS | PS | PB | |
| Parameter | Value |
|---|---|
| DC Side Voltage Vdc/V | 1000 |
| Rated Active Power PN/kW | 100 |
| Rated Inverter Voltage UN/V | 380 |
| Rated Angular Frequency ω0(rad/s) | 314 |
| Rated Frequency f/Hz | 50 |
| Inverter Switching Frequency fs/kHz | 2.5 |
| Grid Rated Voltage UgN/V | 380 |
| Filter Inductance Lf/mH | 2 |
| Line Inductance Xg/mH | 1.2 |
| Filter Resistance Rf/Ω | 0.05 |
| Filter Capacitance Cf/μF | 50 |
| Reactive Droop Control Coefficient Kq | 1000 |
| Active Droop Control Coefficient Kω | 1900 |
| Sampling Frequency f/kHz | 10 |
| Inertia J/(kg·m2) | 2 |
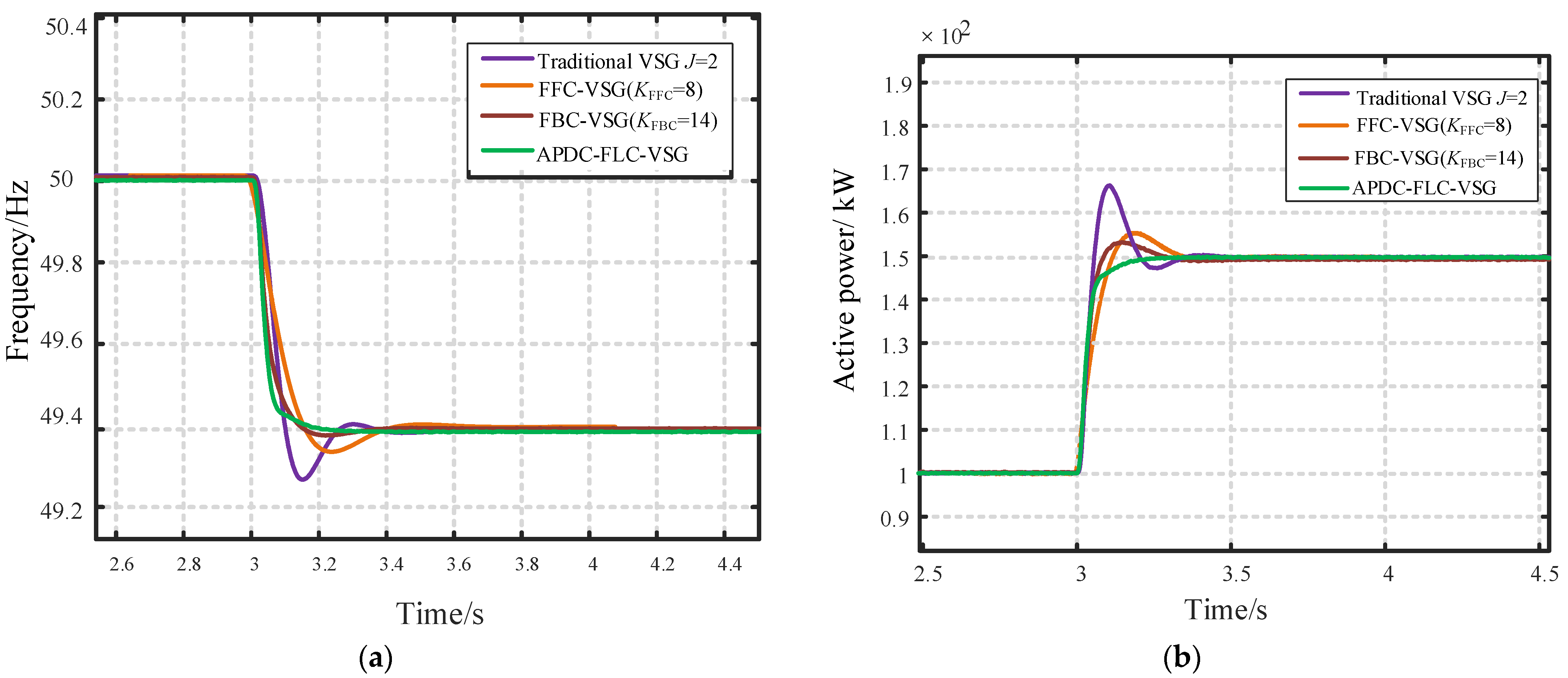
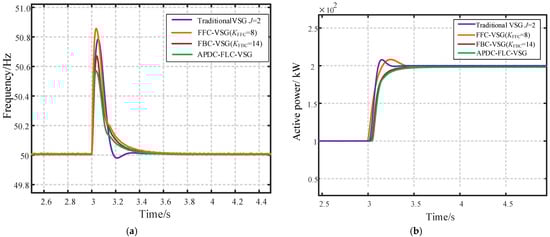
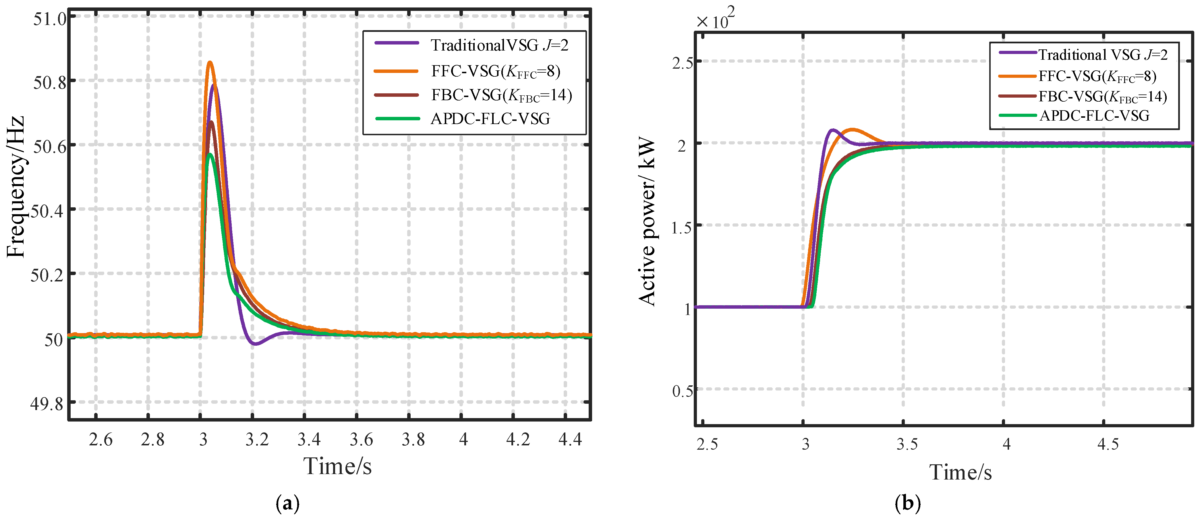
| Control Strategy | Frequency Peak | Frequency Overshoot | Setting Time | Active Power Overshoot |
|---|---|---|---|---|
| Traditional VSG | 50.78 Hz | 1.56% | 0.33 s | 5.0% |
| FFC-VSG (KFFC = 8) | 50.85 Hz | 1.70% | 0.36 s | 5.0% |
| FBC-VSG (KFBC = 14) | 50.66 Hz | 1.32% | 0.38 s | 0% |
| APDC-FLC-VSG | 50.56 Hz | 1.12% | 0.35 s | 0% |
| Control Strategy | Frequency Peak | Frequency Overshoot | Setting Time | Active Power Overshoot |
|---|---|---|---|---|
| Traditional VSG | 49.27 Hz | 0.26% | 0.33 s | 12.0% |
| FFC-VSG(KFFC = 8) | 49.32 Hz | 0.16% | 0.35 s | 3.3% |
| FBC-VSG(KFBC = 14) | 49.36 Hz | 0.08% | 0.25 s | 2.0% |
| APDC-FLC-VSG | 49.40 Hz | 0% | 0.14 s | 0% |
Disclaimer/Publisher’s Note: The statements, opinions and data contained in all publications are solely those of the individual author(s) and contributor(s) and not of MDPI and/or the editor(s). MDPI and/or the editor(s) disclaim responsibility for any injury to people or property resulting from any ideas, methods, instructions or products referred to in the content. |
© 2025 by the authors. Licensee MDPI, Basel, Switzerland. This article is an open access article distributed under the terms and conditions of the Creative Commons Attribution (CC BY) license (https://creativecommons.org/licenses/by/4.0/).
Share and Cite
Gong, F.; Xia, X.; Luo, X.; Hu, W.; Zhu, Y. Research on Transient Stability Optimization Control of Photovoltaic–Storage Virtual Synchronous Generators. Electronics 2025, 14, 4979. https://doi.org/10.3390/electronics14244979
Gong F, Xia X, Luo X, Hu W, Zhu Y. Research on Transient Stability Optimization Control of Photovoltaic–Storage Virtual Synchronous Generators. Electronics. 2025; 14(24):4979. https://doi.org/10.3390/electronics14244979
Chicago/Turabian StyleGong, Fen, Xiangyang Xia, Xianliang Luo, Wei Hu, and Yijie Zhu. 2025. "Research on Transient Stability Optimization Control of Photovoltaic–Storage Virtual Synchronous Generators" Electronics 14, no. 24: 4979. https://doi.org/10.3390/electronics14244979
APA StyleGong, F., Xia, X., Luo, X., Hu, W., & Zhu, Y. (2025). Research on Transient Stability Optimization Control of Photovoltaic–Storage Virtual Synchronous Generators. Electronics, 14(24), 4979. https://doi.org/10.3390/electronics14244979
