Enhanced Damping Method for Suppressing Sub-Synchronous Oscillations of Grid-Forming Permanent Magnet Synchronous Generator
Abstract
1. Introduction
2. Model of Grid-Forming PMSG
2.1. Model of PMSG
2.2. Controller Model
2.3. LCL Filter and Grid-Connected Line Model
2.4. Model of DC-Side Dynamics
2.5. Complete Model
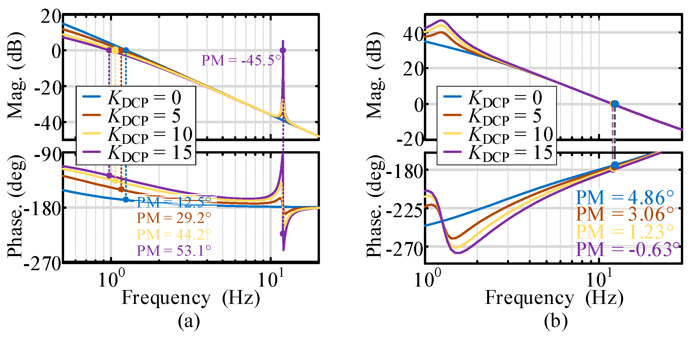
3. SSO Issue Caused by DC-Link Voltage Dynamics and Effect of Conventional Damping Method
4. Proposed Damping Method
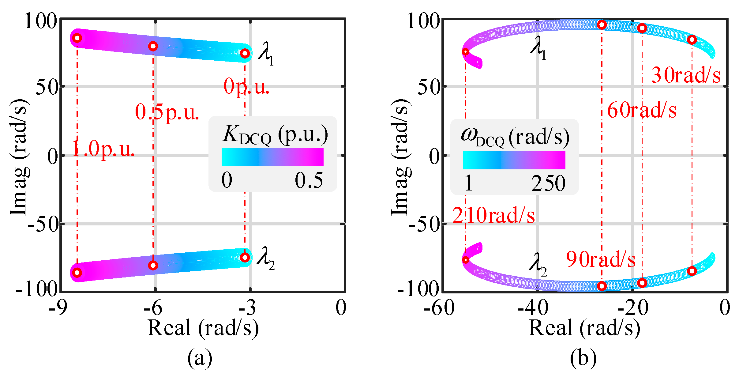
4.1. Theoretical Analysis
4.2. Parameter Design Method
4.3. Comparison of Damping Methods
5. Simulation Verification
6. Conclusions
Author Contributions
Funding
Data Availability Statement
Conflicts of Interest
References
- Ma, J.; Shen, Y.; Du, Y.; Liu, H.; Wang, J.R. Overview on active damping technology of wind power integrated system adapting to broadband oscillation. Power Syst. Technol. 2021, 45, 1673–1686. [Google Scholar]
- Huang, L.; Wu, C.; Zhou, D.; Chen, L.; Pagnani, D.; Blaabjerg, F. Challenges and potential solutions of grid-forming converters applied to wind power generation system—An overview. Front. Energy Res. 2023, 11, 1040781. [Google Scholar] [CrossRef]
- Zhan, C.; Wu, H.; Wang, X.; Tian, J.; Wang, X.; Lu, Y. An Overview of Stability Studies of Grid-forming Voltage Source Converters. Proc. CSEE 2023, 43, 2339–2359. [Google Scholar]
- Lyu, X.; Subotić, I.; Groß, D. Unified Grid-Forming Control of PMSG Wind Turbines for Fast Frequency Response and MPPT. arXiv 2022, arXiv:2207.09536. [Google Scholar]
- Wu, W.; Zhou, L.; Chen, Y.; Luo, A.; Xhou, X.; He, Z.; Yang, L.; Liu, J. Stability comparison and analysis between the virtual synchronous generator and the traditional gridconnected inverter in the view of sequence impedance. Proc. CSEE 2019, 39, 1411–1421. [Google Scholar]
- Matevosyan, J.; Badrzadeh, B.; Prevost, T.; Quitmann, E.; Ramasubramanian, D.; Urdal, H.; Achilles, S.; MacDowell, J.; Huang, S.H.; Vital, V.; et al. Grid-forming inverters: Are they the key for high renewable penetration. IEEE Power Energy Mag. 2019, 17, 89–98. [Google Scholar] [CrossRef]
- Matevosyan, J.; MacDowell, J.; Miller, N.; Badrzadeh, B.; Ramasubramanian, D.; Isaacs, A.; Quint, R.; Quitmann, E.; Pfeiffer, R.; Urdal, H.; et al. A future with inverter-based resources: Finding strength from traditional weakness. IEEE Power Energy Mag. 2021, 19, 18–28. [Google Scholar] [CrossRef]
- Liu, Y.; Tian, G.; Kang, Y.; Xie, M. Grid-forming Control of Permanent Magnet Direct Drive Wind Turbine Based on VSG. In Proceedings of the 2024 IEEE 4th New Energy and Energy Storage System Control Summit Forum (NEESSC), Hohhot, China, 29–31 August 2024; pp. 23–28. [Google Scholar]
- Zhu, Y.; Hu, Y.; Tu, L.; Su, M.; Luo, C. Simulation Testing of Large-Scale Grid-Connected Wind Power with Energy Storage System Based on Active Support Performance Evaluation Indices. In Proceedings of the 2023 10th International Forum on Electrical Engineering and Automation (IFEEA), Nanjing, China, 3–5 November 2023; pp. 215–220. [Google Scholar]
- He, J.; Wu, K.; Huang, L.; Xin, H.; Lu, C.; Wang, H. A coordinated control scheme to realize frequency support of PMSG-based wind turbines in weak grids. In Proceedings of the 2018 IEEE Power & Energy Society General Meeting (PESGM), Portland, OR, USA, 5–10 August 2018; IEEE: New York, NY, USA, 2018; pp. 1–5. [Google Scholar]
- Jain, A.; Sakamuri, J.N.; Cutululis, N.A. Grid-forming control strategies for black start by offshore wind power plants. Wind. Energy Sci. 2020, 5, 1297–1313. [Google Scholar] [CrossRef]
- Nguyen, X.H.; Nakajima, T.; Ota, Y. Droop-based grid-forming function by type IV wind farm for fast frequency control. In Proceedings of the 2021 IEEE PES Innovative Smart Grid Technologies-Asia (ISGT Asia), Brisbane, Australia, 5–8 December 2021; IEEE: New York, NY, USA, 2021; pp. 1–5. [Google Scholar]
- Chen, M.; Zhou, D.; Tayyebi, A.; Prieto-Araujo, E.; Dörfler, F.; Blaabjerg, F. Generalized Multivariable Grid-Forming Control Design for Power Converters. IEEE Trans. Smart Grid 2022, 13, 2873–2885. [Google Scholar] [CrossRef]
- Yazdi, S.S.H.; Shokri-Kalandaragh, Y.; Bagheri, M. Power system stability improvement considering drive train oscillations of virtual synchronous generator-regulated type-4 wind turbines. IET Renew. Power Gener. 2023, 17, 579–603. [Google Scholar] [CrossRef]
- Nguyen, T.; Vu, T.; Paudyal, S.; Blaabjerg, F.; Long Vu, T.L. Grid-Forming Inverter-based Wind Turbine Generators: Comprehensive Review, Comparative Analysis, and Recommendations. arXiv 2022, arXiv:2203.02105. [Google Scholar]
- Sun, J. Two-port characterization and transfer immittances of AC–DC converters—Part I: Modeling. IEEE Open J. Power Electron. 2021, 2, 440–462. [Google Scholar] [CrossRef]
- Wang, D.; Sun, H.; Huang, B.; Han, Y.; Mao, Y.; Zhu, T. Analysis of grid-connected stability of voltage-sourcetype PMSG-based wind turbine based on virtual synchronous control. High Volt. Eng. 2022, 48, 3282–3294. [Google Scholar]
- Zhong, Q.-C.; Ma, Z.; Ming, W.-L.; Konstantopoulos, G.C. Grid-friendly wind power systems based on the synchronverter technology. Energy Convers. Manag. 2015, 89, 719–726. [Google Scholar] [CrossRef]
- Ruan, Y.; Zhong, Q.-C. Wind power system control based on the self-synchronized universal droop controller. In Proceedings of the 2019 IEEE Energy Conversion Congress and Exposition(ECCE), Baltimore, MD, USA, 29 September–3 October 2019; IEEE: New York, NY, USA, 2019; pp. 4654–4659. [Google Scholar]
- Qin, Y.; Wang, H.; Zhou, D.; Deng, Z.; Zhang, J.; Cai, X. A novel DC-link voltage synchronous control with enhanced inertial capability for full-scale power conversion wind turbine generators. IET Renew. Power Gener. 2024, 18, 690–705. [Google Scholar] [CrossRef]
- Li, Y.; Yuan, X.; Li, J.; Xiao, H.; Xu, Z.; Du, Z. Novel grid-forming control of permanent magnet synchronous generator-based wind turbine for integrating weak AC grid without sacrificing maximum power point tracking. IET Gener. Transmiss. Distrib. 2021, 15, 1613–1625. [Google Scholar] [CrossRef]
- Zhao, L.; Jin, Z.; Wang, X. Small-signal synchronization stability of grid-forming converters with regulated DC-link dynamics. IEEE Trans. Ind. Electron. 2023, 70, 12399–12409. [Google Scholar] [CrossRef]
- Zhao, L.; Jin, Z.; Wang, X. Analysis and damping of low-frequency oscillation for DC-link voltage-synchronized VSCs. IEEE Trans. Power Electron. 2023, 38, 8177–8189. [Google Scholar]
- Zhao, L.; Wang, X.; Jin, Z. Impedance-based dynamics analysis for DC-link voltage-synchronized voltage-source converters. IEEE Trans. Power Electron. 2023, 38, 10829–10844. [Google Scholar] [CrossRef]
- Guo, J.; Chen, Y.; Wang, L.; Wu, W.; Wang, X.; Shuai, Z.; Guerrero, J.M. Impedance analysis and stabilization of virtual synchronous generators with different DC-link voltage controllers under weak grid. IEEE Trans. Power Electron. 2021, 36, 11397–11408. [Google Scholar] [CrossRef]
- Vieto, I.; Sun, J. Sequence impedance modeling and converter-grid resonance analysis considering DC bus dynamics and mirrored harmonics. In Proceedings of the IEEE 19th Workshop Control and Modeling for Power Electronics, Padova, Italy, 25–28 June 2018; pp. 1–8. [Google Scholar]
- Chen, M.; Zhou, D.; Blaabjerg, F. Improved Damping Control of Gridforming Inverter Using DC Dynamics. In Proceedings of the 2023 IEEE 17th International Conference on Compatibility, Power Electronics and Power Engineering (CPE-POWERENG), Tallinn, Estonia, 14–16 June 2023; pp. 1–6. [Google Scholar]
- Kong, L.; Tang, H.; Wu, C.; Wang, J.; Wu, P.; Wang, Y.; Blaabjerg, F. Analysis and Damping of Sub-Synchronous Oscillations for Cascaded Grid-Forming Converters Considering DC-Link Dynamics. IEEE Trans. Power Electron. 2024, 40, 2284–2299. [Google Scholar] [CrossRef]

















| Abbreviation | Significance |
|---|---|
| PMSG | permanent magnet synchronous generator |
| SSO | sub-synchronous oscillation |
| MSC | machine-side converter |
| GSC | grid-side converter |
| GFM | grid-forming |
| SCR | short circuit ratio |
| PCC | point of common coupling |
| VSG | virtual synchronous generator |
| PM | phase margin |
| Refs | Synchronization | SCR Adaptability | Controller | Innovation |
|---|---|---|---|---|
| [12] | Active power | Weak grid | 1-order | Vector control regulates the DC-link voltage. |
| [14] | Active power | —— | VSG | VSG-Based Torsional Vibration Control for Shaft Systems. |
| [18] | Active power | —— | 1-order | Torque-based droop control regulates the DC-link voltage. |
| [19] | Active power | Weak grid | 1-order | VSG controls the DC-link voltage by converting voltage to power. |
| [22] | DC-link voltage | Stiff grid | 3-order | Enhancing Transient Stability Using Parallel Synchronization Control. |
| [23] | DC-link voltage | Weak grid | 1-order | The system exhibits lower stability under a constant power source. |
| [24] | DC-link voltage | Weak grid | 1-order | Hybrid synchronization control causes synchronous oscillations. |
| This | DC-link voltage | Yes (SCR:1.5~3.5) | 1-order | Solve SSO issues caused by DC-link dynamics. |
| DC-Link Voltage | Traditional VSG Control | the Proposed Damping Strategy |
|---|---|---|
| Damping ratio | 0.03 | 0.27 |
| Overshoot | 0.096 p.u. (9.6%) | 0.062 p.u. (6.2%) |
| Steady-state time | 3.2 s | 0.38 s |
| Frequency deviation | 0.9% | 0.1% |
Disclaimer/Publisher’s Note: The statements, opinions and data contained in all publications are solely those of the individual author(s) and contributor(s) and not of MDPI and/or the editor(s). MDPI and/or the editor(s) disclaim responsibility for any injury to people or property resulting from any ideas, methods, instructions or products referred to in the content. |
© 2025 by the authors. Licensee MDPI, Basel, Switzerland. This article is an open access article distributed under the terms and conditions of the Creative Commons Attribution (CC BY) license (https://creativecommons.org/licenses/by/4.0/).
Share and Cite
Li, H.; Wang, X.; Yan, M.; Wang, J.; Wu, C. Enhanced Damping Method for Suppressing Sub-Synchronous Oscillations of Grid-Forming Permanent Magnet Synchronous Generator. Electronics 2025, 14, 4489. https://doi.org/10.3390/electronics14224489
Li H, Wang X, Yan M, Wang J, Wu C. Enhanced Damping Method for Suppressing Sub-Synchronous Oscillations of Grid-Forming Permanent Magnet Synchronous Generator. Electronics. 2025; 14(22):4489. https://doi.org/10.3390/electronics14224489
Chicago/Turabian StyleLi, Hongke, Xiaohe Wang, Ming Yan, Jinhao Wang, and Chao Wu. 2025. "Enhanced Damping Method for Suppressing Sub-Synchronous Oscillations of Grid-Forming Permanent Magnet Synchronous Generator" Electronics 14, no. 22: 4489. https://doi.org/10.3390/electronics14224489
APA StyleLi, H., Wang, X., Yan, M., Wang, J., & Wu, C. (2025). Enhanced Damping Method for Suppressing Sub-Synchronous Oscillations of Grid-Forming Permanent Magnet Synchronous Generator. Electronics, 14(22), 4489. https://doi.org/10.3390/electronics14224489

