Transient Stability Enhancement Method for VSGs Based on Power Angle Deviation for Reactive Power Control Loop Modification
Abstract
1. Introduction
- (1)
- The adverse effects of RPC on VSG transient stability are analyzed, and the transient instability mechanism of a VSG under grid voltage dips is investigated.
- (2)
- A method to improve transient stability during voltage dips in the grid is proposed. It not only restores the transient stability of a VSG under slight voltage dips but also restores the EP of the system under severe voltage dips and maintains stable operation.
2. VSG Transient Stability Analysis
2.1. Grid-Connected System and Control Strategy
2.2. Analysis of Transient Instability Mechanism
3. Improvement Measures for RPC Based on Power Angle Deviation
3.1. The Proposed Method
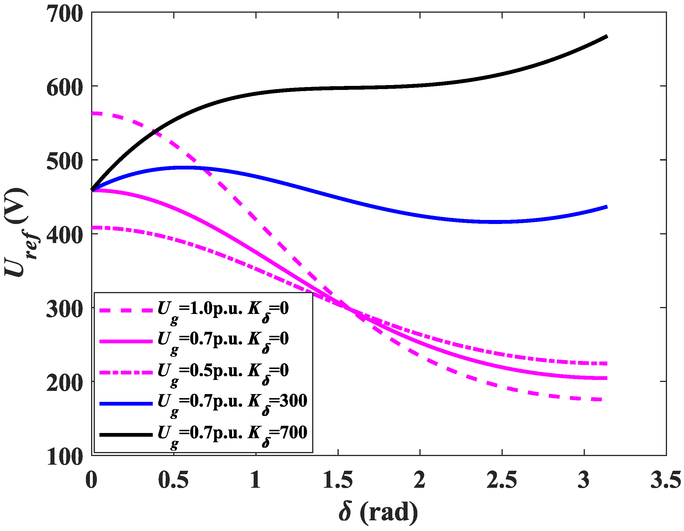
3.2. Effect of Additional Coefficient on VSG
3.3. Control Parameter Design
| Algorithm 1: Iterative algorithm | |
| Step | Description |
| Set Kδ = 0. Define the level of grid voltage dips. |
| Solve the second-order differential equation (33) to obtain the power angle δ. |
| Set the critical power angle δr at the UEP as π. If δ > δr (system is destabilized), then set Kδ = Kδ + 1 and go to Step 2. If δ < δr (system is stabilized), then terminate the loop and set Kδmin = Kδ. |
| Return the minimum stabilizing value Kδmin. |
4. Verification
- Case 1: Grid voltage dips to 0.7 p.u.
- 2.
- Case 2: Grid voltage dips to 0.5 p.u.
5. Conclusions
Author Contributions
Funding
Data Availability Statement
Conflicts of Interest
References
- Yang, Y.; Li, C.; Cheng, L.; Gao, X.; Xu, J.; Blaabjerg, F. A generic power compensation control for grid forming virtual synchronous generator with damping correction loop. IEEE Trans. Ind. Electron. 2024, 71, 10908–10918. [Google Scholar] [CrossRef]
- Liu, C.; Li, B.; Zhang, Y.; Jiang, Q.; Liu, T. The LCC type DC grids forming method and fault ride-through strategy based on fault current limiters. Int. J. Electr. Power Energy Syst. 2025, 170, 110843. [Google Scholar] [CrossRef]
- Tayyebi, A.; Groß, D.; Anta, A.; Kupzog, F.; Dörfler, F. Frequency stability of synchronous machines and grid-forming power converters. IEEE J. Emerg. Sel. Top. Power Electron. 2020, 8, 1004–1018. [Google Scholar] [CrossRef]
- Blaabjerg, F.; Yang, Y.; Yang, D.; Wang, X. Distributed power-generation systems and protection. Proc. IEEE 2017, 105, 1311–1331. [Google Scholar] [CrossRef]
- He, J.; Li, Y. Analysis, design, and implementation of virtual impedance for power electronics interfaced distributed generation. IEEE Trans. Ind. Appl. 2011, 47, 2525–2538. [Google Scholar] [CrossRef]
- Shen, C.; Gu, W.; Sheng, W.; Liu, K. Transient stability analysis and design of VSGs with different dc-link voltage controllers. CSEE J. Power Energy Syst. 2024, 10, 593–604. [Google Scholar] [CrossRef]
- Yang, M.; Wang, Y.; Chen, S.; Xiao, X.; Li, Y. Comparative studies on damping control strategies for virtual synchronous generators. IEEE Trans. Power Deliv. 2024, 39, 859–873. [Google Scholar] [CrossRef]
- Chen, J.; O’Donnell, T. Parameter constraints for virtual synchronous generator considering stability. IEEE Trans. Power Syst. 2019, 34, 2479–2481. [Google Scholar] [CrossRef]
- Khajehoddin, S.A.; Karimi-Ghartemani, M.; Ebrahimi, M. Grid-supporting inverters with improved dynamics. IEEE Trans. Ind. Electron. 2019, 66, 3655–3667. [Google Scholar] [CrossRef]
- Sun, K.; Yao, W.; Wen, J.; Jiang, L. A two-stage simultaneous control scheme for the transient angle stability of VSG considering current limitation and voltage support. IEEE Trans. Power Syst. 2022, 37, 2137–2150. [Google Scholar] [CrossRef]
- Wang, G.; Fu, L.; Hu, Q.; Liu, C.; Ma, Y. Transient synchronization stability of grid-forming converter during grid fault considering transient switched operation mode. IEEE Trans. Sustain. Energy 2023, 14, 1504–1515. [Google Scholar] [CrossRef]
- Wang, R.; Wang, Y.; Zhang, P.; Sun, Q.; Gui, Y.; Wang, P. System modeling and robust stability region analysis for multi-inverters based on VSG. IEEE J. Emerg. Sel. Top. Power Electron. 2024, 12, 6042–6052. [Google Scholar] [CrossRef]
- Wang, X.; Harnefors, L.; Blaabjerg, F. Unified impedance model of grid-connected voltage-source converters. IEEE Trans. Power Electron. 2018, 33, 1775–1787. [Google Scholar] [CrossRef]
- Han, F.; Zhang, X.; Li, M.; Li, F.; Zhao, W. Stability control for grid-connected inverters based on hybrid-mode of grid-following and grid-forming. IEEE Trans. Ind. Electron. 2024, 71, 10750–10760. [Google Scholar] [CrossRef]
- Chen, M.; Zhou, D.; Blaabjerg, F. Enhanced Transient angle stability control of grid-forming converter based on virtual synchronous generator. IEEE Trans. Ind. Electron. 2022, 69, 9133–9144. [Google Scholar] [CrossRef]
- Sun, S.; Lei, Y.; Hao, G.; Lu, Y.; Liu, J.; Song, Z. Transient damping of virtual synchronous generator for enhancing synchronization stability during voltage dips. CES Trans. Electr. Mach. Syst. 2024, 8, 143–151. [Google Scholar] [CrossRef]
- Ge, P.; Tu, C.; Xiao, F.; Guo, Q.; Gao, J. Design-Oriented Analysis and Transient Stability Enhancement Control for a Virtual Synchronous Generator. IEEE Trans. Ind. Electron. 2023, 70, 2675–2684. [Google Scholar] [CrossRef]
- Shuai, Z.; Shen, C.; Liu, X.; Li, Z.; Shen, Z.J. Transient angle stability of virtual synchronous generators using Lyapunov’s direct method. IEEE Trans. Smart Grid 2019, 10, 4648–4661. [Google Scholar] [CrossRef]
- Pan, D.; Wang, X.; Liu, F.; Shi, R. Transient stability impact of reactive power control on grid-connected converters. In Proceedings of the 2019 IEEE Energy Conversion Congress and Exposition (ECCE), Baltimore, MD, USA, 29 September–3 October 2019; pp. 4311–4316. [Google Scholar]
- Wang, X.; Taul, M.G.; Wu, H.; Liao, Y.; Blaabjerg, F.; Harnefors, L. Grid-Synchronization Stability of Converter-Based Resources—An Overview. IEEE Open J. Ind. Appl. 2020, 1, 115–134. [Google Scholar] [CrossRef]
- Me, S.P.; Ravanji, M.H.; Mansour, M.Z.; Zabihi, S.; Bahrani, B. Transient stability of paralleled virtual synchronous generator and grid-following inverter. IEEE Trans. Smart Grid 2023, 14, 4451–4466. [Google Scholar] [CrossRef]
- Wu, H.; Wang, X. A mode-adaptive power-angle control method for transient stability enhancement of virtual synchronous generators. IEEE J. Emerg. Sel. Top. Power Electron. 2020, 8, 1034–1049. [Google Scholar] [CrossRef]
- Chen, S.; Sun, Y.; Han, H.; Fu, S.; Luo, S.; Shi, G. A Modified VSG Control Scheme with Virtual Resistance to Enhance Both Small-Signal Stability and Transient Synchronization Stability. IEEE Trans. Power Electron. 2023, 38, 6005–6014. [Google Scholar] [CrossRef]
- Xiong, X.; Wu, C.; Blaabjerg, F. Effects of Virtual Resistance on Transient Stability of Virtual Synchronous Generators Under Grid Voltage Sag. IEEE Trans. Ind. Electron. 2022, 69, 4754–4764. [Google Scholar] [CrossRef]
- Rosso, R.; Wang, X.; Liserre, M.; Lu, X.; Engelken, S. Grid-Forming Converters: Control Approaches, Grid-Synchronization, and Future Trends—A Review. IEEE Open J. Ind. Appl. 2021, 2, 93–109. [Google Scholar] [CrossRef]
- Zhan, C.; Wu, H.; Wang, X.; Tian, J.; Wang, X.; Lu, Y. An Overview of Stability Studies of Grid-forming Voltage Source Converters. Proc. CSEE 2023, 43, 2339–2358. (In Chinese) [Google Scholar]
- Yang, W.; Tu, C.; Xiao, F.; Guo, Q. Transient Stability Enhancement Method of VSG With Frequency Stability Improvement. Proc. CSEE 2025, 45, 52–66. (In Chinese) [Google Scholar]




















| Parameters | Description | Value |
|---|---|---|
| Pref | Active power reference | 300 kW |
| Qref | Reactive power reference | 0 kVar |
| Udc | DC voltage | 1000 V |
| U0 | Rated voltage | 563 V |
| Ug | Normal grid voltage | 563 V |
| ω0 | Rated angular frequency | 100 π rad/s |
| Lg | Grid inductance | 2 mH |
| J | Inertia coefficient | 10 kg∙m2 |
| KD | Damping coefficient | 50 N∙m∙s/rad |
| Kq | Q-V droop gain | 0.00125 V/Var |
| Lf | Filter inductance | 1.5 mH |
| Cf | Filter capacitance | 100 μF |
Disclaimer/Publisher’s Note: The statements, opinions and data contained in all publications are solely those of the individual author(s) and contributor(s) and not of MDPI and/or the editor(s). MDPI and/or the editor(s) disclaim responsibility for any injury to people or property resulting from any ideas, methods, instructions or products referred to in the content. |
© 2025 by the authors. Licensee MDPI, Basel, Switzerland. This article is an open access article distributed under the terms and conditions of the Creative Commons Attribution (CC BY) license (https://creativecommons.org/licenses/by/4.0/).
Share and Cite
Jia, G.; Shi, J.; Wang, X.; Niu, F.; Wang, X. Transient Stability Enhancement Method for VSGs Based on Power Angle Deviation for Reactive Power Control Loop Modification. Electronics 2025, 14, 3837. https://doi.org/10.3390/electronics14193837
Jia G, Shi J, Wang X, Niu F, Wang X. Transient Stability Enhancement Method for VSGs Based on Power Angle Deviation for Reactive Power Control Loop Modification. Electronics. 2025; 14(19):3837. https://doi.org/10.3390/electronics14193837
Chicago/Turabian StyleJia, Guanlong, Jingru Shi, Xueying Wang, Feng Niu, and Xiaoxue Wang. 2025. "Transient Stability Enhancement Method for VSGs Based on Power Angle Deviation for Reactive Power Control Loop Modification" Electronics 14, no. 19: 3837. https://doi.org/10.3390/electronics14193837
APA StyleJia, G., Shi, J., Wang, X., Niu, F., & Wang, X. (2025). Transient Stability Enhancement Method for VSGs Based on Power Angle Deviation for Reactive Power Control Loop Modification. Electronics, 14(19), 3837. https://doi.org/10.3390/electronics14193837
