SRdetector: Sequence Reconstruction Method for Microservice Anomaly Detection
Abstract
1. Introduction
- We propose a Transformer model with frequency domain feature embedding: To address the shortcomings of existing methods in multidimensional time series modeling, we introduce a frequency domain feature embedding mechanism to explore the deep patterns of microservice performance metrics from a frequency domain perspective. By embedding frequency domain information, the Transformer model can effectively capture the periodic and sudden characteristics of metric data, significantly improving the accuracy and robustness of sequence forecasting.
- We design an adaptive anomaly detection module based on confidence intervals: To enhance the ability to recognize diverse anomaly patterns, we propose a detection method based on confidence intervals. By constructing dynamic thresholds and comparing predicted values with actual values, it reduces false alarms caused by short-term fluctuations, improving detection flexibility and accuracy, which is suitable for complex and highly volatile production environments.
- We improve the real-time performance and scalability of microservice anomaly detection: The proposed method demonstrates high detection efficiency and real-time performance in experiments, quickly adapting to scale expansion and metric changes in microservice architectures. It is suitable for deployment scenarios of large-scale, multi-service systems. Experimental results show that this method significantly outperforms traditional methods in detection accuracy under multidimensional and high-fluctuation environments.
2. Related Work
3. Methodology
3.1. Model Input
3.2. Frequency Domain-Enhanced Attention
3.2.1. Frequency Domain Attention Based on FFT
3.2.2. Sparse Attention and Attention Fusion
3.3. Anomaly Detection Based on Confidence Intervals
4. Experiments
4.1. Datasets
4.2. Baselines and Metrics
4.3. Implementation Details
4.4. Main Results
4.5. Model Analysis
4.5.1. Ablation
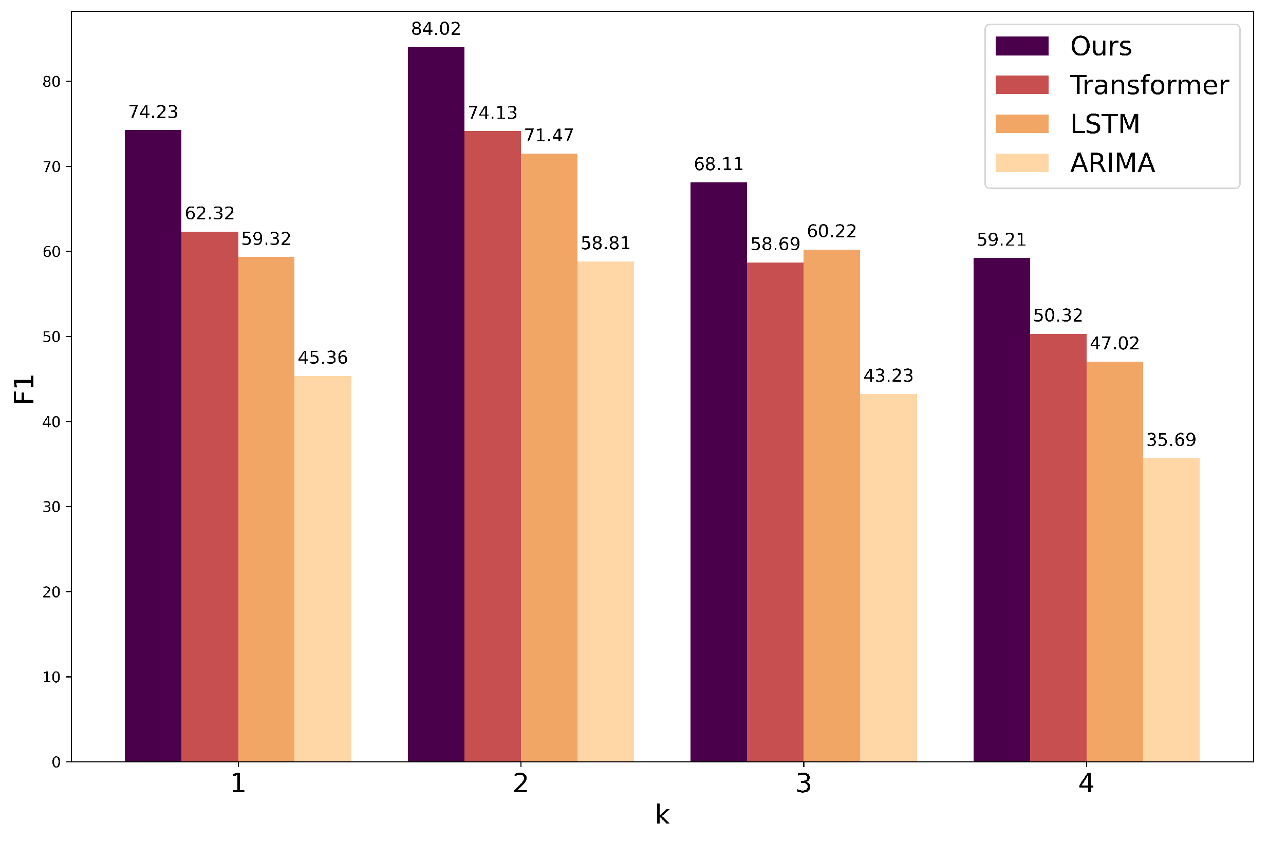
4.5.2. Parameter Sensitivity
5. Discussion
6. Conclusions
Author Contributions
Funding
Data Availability Statement
Acknowledgments
Conflicts of Interest
References
- Dragoni, N.; Giallorenzo, S.; Lafuente, A.L.; Mazzara, M.; Montesi, F.; Mustafin, R.; Safina, L. Microservices: Yesterday, Today, and Tomorrow. In Present and Ulterior Software Engineering; Springer: Berlin/Heidelberg, Germany, 2017; pp. 195–216. [Google Scholar]
- Soldani, J.; Brogi, A. Anomaly Detection and Failure Root Cause Analysis in (Micro) Service-Based Cloud Applications: A Survey. arXiv 2021, arXiv:2105.12378. [Google Scholar] [CrossRef]
- Kohyarnejadfard, I.; Aloise, D.; Azhari, S. Anomaly Detection in Microservice Environments Using Distributed Tracing Data Analysis and NLP. J. Cloud Comput. 2022, 11, 25. [Google Scholar] [CrossRef] [PubMed]
- Nobre, J.; Pires, E.; Reis, A. Anomaly Detection in Microservice-Based Systems. Appl. Sci. 2023, 13, 7891. [Google Scholar] [CrossRef]
- Sowmya, M.; Rai, A.; Spoorthi, V.; Irfan, M.; Honnavalli, P.; Nagasundari, S. API Traffic Anomaly Detection in Microservice Architecture. In Proceedings of the 2023 IEEE/ACM 23rd International Symposium on Cluster, Cloud and Internet Computing Workshops (CCGridW), Bangalore, India, 1–4 May 2023; pp. 206–213. [Google Scholar]
- Wang, P.; Zhang, X.; Cao, Z. MADMM: Microservice System Anomaly Detection via Multi-Modal Data and Multi-Feature Extraction. Neural Comput. Appl. 2024, 36, 15739–15757. [Google Scholar] [CrossRef]
- Zhao, N.; Zhu, J.; Wang, Y.; Xie, L.; Zhang, X.; Huang, H. Automatic and Generic Periodicity Adaptation for KPI Anomaly Detection. IEEE Trans. Netw. Serv. Manag. 2019, 16, 1170–1183. [Google Scholar] [CrossRef]
- Chandola, V.; Banerjee, A.; Kumar, V. Anomaly Detection: A Survey. ACM Comput. Surv. (CSUR) 2009, 41, 1–58. [Google Scholar] [CrossRef]
- Yule, G.U. On a Method of Investigating Periodicities in Disturbed Series, with Special Reference to Wolfer’s Sunspot Numbers. Philos. Trans. R. Soc. London. Ser. A Contain. Pap. A Math. Phys. Character 1927, 226, 267–298. [Google Scholar]
- Box, G.E.P.; Pierce, D.A. Distribution of Residual Autocorrelations in Autoregressive-Integrated Moving Average Time Series Models. J. Am. Stat. Assoc. 1970, 65, 1509–1526. [Google Scholar] [CrossRef]
- Schmidl, S.; Wenig, P.; Papenbrock, T. Anomaly Detection in Time Series: A Comprehensive Evaluation. Proc. VLDB Endow. 2022, 15, 1779–1797. [Google Scholar] [CrossRef]
- Canizo, M.; Triguero, I.; Conde, A.; Onieva, E. Multi-head CNN–RNN for Multi-Time Series Anomaly Detection: An Industrial Case Study. Neurocomputing 2019, 363, 246–260. [Google Scholar] [CrossRef]
- Su, Y.; Zhao, Y.; Niu, C.; Liu, R.; Sun, W.; Pei, D. Robust Anomaly Detection for Multivariate Time Series through Stochastic Recurrent Neural Network. In Proceedings of the 25th ACM SIGKDD International Conference on Knowledge Discovery & Data Mining, Anchorage, AK, USA, 4–8 August 2019; ACM: New York, NY, USA, 2019; pp. 2828–2837. [Google Scholar]
- Zamanzadeh Darban, Z.; Webb, G.I.; Pan, S.; Aggarwal, C.C.; Salehi, M. Deep Learning for Time Series Anomaly Detection: A Survey. Acm Comput. Surv. 2024, 57, 1–42. [Google Scholar] [CrossRef]
- Zhang, T.; Ramakrishnan, R.; Livny, M. BIRCH: An Efficient Data Clustering Method for Very Large Databases. ACM SIGMOD Rec. 1996, 25, 103–114. [Google Scholar] [CrossRef]
- Vaswani, A.; Shazeer, N.; Parmar, N.; Uszkoreit, J.; Jones, L.; Gomez, A.N.; Kaiser, L.; Polosukhin, I. Attention Is All You Need. In Advances in Neural Information Processing Systems; Curran Associates, Inc.: New York, NY, USA, 2017; Volume 30, pp. 5998–6008. [Google Scholar]
- Wold, H. A Study in the Analysis of Stationary Time Series; Almqvist & Wiksell: Uppsala, Sweden, 1938. [Google Scholar]
- Breunig, M.M.; Kriegel, H.P.; Ng, R.T.; Sander, J. LOF: Identifying Density-Based Local Outliers. In Proceedings of the 2000 ACM SIGMOD International Conference on Management of Data, Dallas, TX, USA, 16–18 May 2000; pp. 93–104. [Google Scholar]
- Schölkopf, B.; Platt, J.C.; Shawe-Taylor, J.; Smola, A.J.; Williamson, R.C. Estimating the Support of a High-Dimensional Distribution. Neural Comput. 2001, 13, 1443–1471. [Google Scholar] [CrossRef]
- Liu, F.T.; Ting, K.M.; Zhou, Z.H. Isolation Forest. In Proceedings of the 2008 Eighth IEEE International Conference on Data Mining, Pisa, Italy, 15–19 December 2008; IEEE: Piscataway Township, NJ, USA, 2008; pp. 413–422. [Google Scholar]
- Park, D.; Hoshi, Y.; Kemp, C.C. A Multimodal Anomaly Detector for Robot-Assisted Feeding Using an LSTM-Based Variational Autoencoder. IEEE Robot. Autom. Lett. 2018, 3, 1544–1551. [Google Scholar] [CrossRef]
- Sakurada, M.; Yairi, T. Anomaly Detection Using Autoencoders with Nonlinear Dimensionality Reduction. In Proceedings of the Proceedings of the MLSDA 2014 2nd Workshop on Machine Learning for Sensory Data Analysis, Coast, Australia, 2 December 2014; ACM: New York, NY, USA, 2014; pp. 4–11. [Google Scholar]
- Chen, X.; Deng, L.; Huang, F.; Zhang, C.; Zhang, Z.; Zhao, Y.; Zheng, K. Daemon: Unsupervised Anomaly Detection and Interpretation for Multivariate Time Series. In Proceedings of the 2021 IEEE 37th International Conference on Data Engineering (ICDE), Chania, Greece, 19–22 April 2021; IEEE: Piscataway Township, NJ, USA, 2021; pp. 2225–2230. [Google Scholar]
- Li, D.; Chen, D.; Jin, B.; Shi, L.; Goh, J.; Ng, S.K. MAD-GAN: Multivariate Anomaly Detection for Time Series Data with Generative Adversarial Networks. In Proceedings of the Artificial Neural Networks and Machine Learning—ICANN 2019: Text and Time Series: 28th International Conference on Artificial Neural Networks, Munich, Germany, 17–19 September 2019; Proceedings, Part IV. Springer: Berlin/Heidelberg, Germany, 2019; pp. 703–716. [Google Scholar]
- Zhou, B.; Liu, S.; Hooi, B.; Cheng, X.; Ye, J. BeatGAN: Anomalous Rhythm Detection using Adversarially Generated Time Series. In Proceedings of the 28th International Joint Conference on Artificial Intelligence (IJCAI), Macao, China, 10–16 August 2019; pp. 4433–4439. [Google Scholar]
- Shen, L.; Li, Z.; Kwok, J. Timeseries anomaly detection using temporal hierarchical one-class network. Adv. Neural Inf. Process. Syst. 2020, 33, 13016–13026. [Google Scholar]
- Wu, N.; Green, B.; Ben, X. Deep Transformer Models for Time Series Forecasting: The Influenza Prevalence Case. arXiv 2020, arXiv:2001.08317. [Google Scholar] [CrossRef]
- Anderson, O.; Kendall, M. Time-Series, 2nd ed.; Journal of the Royal Statistical Society (Series D); Wiley: Hoboken, NJ, USA, 1976. [Google Scholar]
- Bruzzone, L.; Carlin, P.J. Multivariate Change Detection Using Principal Component Analysis. IEEE Trans. Geosci. Remote Sens. 2006, 44, 3285–3293. [Google Scholar]
- Zong, B.; Song, Q.; Min, M.R.; Cheng, W.; Lumezanu, C.; Cho, D.; Chen, H. Deep Autoencoding Gaussian Mixture Model for Unsupervised Anomaly Detection. In Proceedings of the International Conference on Learning Representations (ICLR), Vancouver, BC, Canada, 30 April–3 May 2018. [Google Scholar]
- Chen, Y.; Yan, M.; Yang, D.; Zhang, X.; Wang, Z. Deep Attentive Anomaly Detection for Microservice Systems with Multimodal Time-Series Data. In Proceedings of the IEEE International Conference on Web Services (ICWS), Barcelona, Spain, 10–16 July 2022; IEEE: Piscataway Township, NJ, USA, 2022; pp. 373–380. [Google Scholar]
- Deng, A.; Hooi, B. Graph Neural Network-Based Anomaly Detection in Multivariate Time Series. In Proceedings of the AAAI Conference on Artificial Intelligence, Virtual, 2–9 February 2021. [Google Scholar]
- Pham, L.; Ha, H.; Zhang, H. BARO: Robust Root Cause Analysis for Microservices via Multivariate Bayesian Online Change Point Detection. arXiv 2024, arXiv:2405.09330. [Google Scholar] [CrossRef]
- Chen, S.; Zheng, W.; Li, T. Microservices Performance Monitoring and Anomaly Detection in Production. In Proceedings of the IEEE International Conference on Microservices, Milan, Italy, 8–13 July 2019. [Google Scholar]
- Malhotra, P.; Vig, L. Temporal Patterns in Video Streaming Services. J. Streaming Media Res. 2020, 7, 123–135. [Google Scholar]
- Yu, C.; Jiang, J. Behavior-Driven Performance Metrics in Internet Systems. arXiv 2021, arXiv:2101.12345. [Google Scholar]
- Chowdhury, S.; Shams, T.; Hasan, M. Time-Series Forecasting for E-Commerce Traffic during Peak Seasons. Electron. Commer. Res. Appl. 2018, 27, 50–65. [Google Scholar]
- Jindal, A.; Singh, H. User Behavior Modeling in Microservices Architectures. In Proceedings of the IEEE International Conference on User Behavior in Microservices, Singapore, 10–13 September 2020. [Google Scholar]
- Sui, L.; Jiang, Y. Argo data anomaly detection based on transformer and Fourier transform. J. Sea Res. 2024, 198, 102483. [Google Scholar] [CrossRef]
- Zerveas, G.; Jayaraman, S.; Patel, D.; Bhamidipaty, A.; Eickhoff, C. A Transformer-Based Framework for Multivariate Time Series Representation Learning. arXiv 2021, arXiv:2010.02803. [Google Scholar]
- Li, S.; Jin, R.; Xie, X.; Zhang, Y. Enhancing the Locality and Breaking the Memory Bottleneck of Transformer on Time Series Forecasting. arXiv 2019, arXiv:1907.00235. [Google Scholar]
- Wu, H.; Xu, J.; Wang, Y.; Long, X.; Jin, R.; Wang, J. Autoformer: Decomposition Transformers with Auto-Correlation for Long-Term Series Forecasting. arXiv 2021, arXiv:2106.13008. [Google Scholar]
- Raffel, C.; Shazeer, N.; Roberts, A.; Lee, K.; Narang, T.; Matena, M.; Zhou, Y.; Li, W.; Liu, P.J. Exploring the Limits of Transfer Learning with a Unified Text-to-Text Transformer. arXiv 2020, arXiv:1910.10683. [Google Scholar]
- Yang, J.; Zhang, X.; Cao, M.; Li, H. Multitask Learning with Fourier Transform for Time-Series Modeling. arXiv 2020, arXiv:2006.14614. [Google Scholar]
- Zhou, H.a. Informer: Beyond Efficient Transformer for Long Sequence Time-Series Forecasting. arXiv 2021, arXiv:2012.07436. [Google Scholar] [CrossRef]
- Child, R.; Gray, S.; Radford, A.; Sutskever, I. Generating Long Sequences with Sparse Transformers. arXiv 2019, arXiv:1904.10509. [Google Scholar]
- Zaheer, M.; Guruganesh, G.; Dubey, K.A.; Ainslie, J.; Alberti, C.; Ontañón, S.; Pham, P.; Ravula, A.; Wang, Q.; Yang, L.; et al. Big Bird: Transformers for Longer Sequences. In Proceedings of the Advances in Neural Information Processing Systems, Vancouver, BC, Canada, 6–12 December 2020; Volume 33. [Google Scholar]
- Sukhbaatar, S.; Fan, A.; Grave, E.; Guu, K.; Auli, M. Adaptive Attention Span in Transformers. In Proceedings of the International Conference on Learning Representations, Virtual, 3–7 May 2021. [Google Scholar]
- Kitaev, N.; Kaiser, L.; Levskaya, A. Reformer: The Efficient Transformer. In Proceedings of the International Conference on Learning Representations, Addis Ababa, Ethiopia, 30 April 2020. [Google Scholar]
- Wang, S.; Jegelka, S. Fast Attention via Matrix Sketching. In Proceedings of the Advances in Neural Information Processing Systems, Vancouver, BC, Canada, 6–12 December 2020; Volume 33. [Google Scholar]
- Casella, G.; Berger, R.L. Statistical Inference, 2nd ed.; CRC Press: Boca Raton, FL, USA, 2002. [Google Scholar]
- Hampel, F.R.; Ronchetti, E.M.; Rousseeuw, P.J.; Stahel, W.A. Robust Statistics: The Approach Based on Influence Functions; Wiley: Hoboken, NJ, USA, 1986. [Google Scholar]
- Grubbs, F.E. Procedures for Detecting Outlying Observations in Samples. Technometrics 1969, 11, 1–21. [Google Scholar] [CrossRef]
- Tukey, J.W. Exploratory Data Analysis; Addison-Wesley: Boston, MA, USA, 1977. [Google Scholar]
- Yairi, T.; Takeishi, N.; Oda, T.; Nakajima, Y.; Nishimura, N.; Takata, N. A data-driven health monitoring method for satellite housekeeping data based on probabilistic clustering and dimensionality reduction. IEEE Trans. Aerospace Electron. Syst. 2017, 53, 1384–1401. [Google Scholar] [CrossRef]
- Tax, D.M.J.; Duin, R.P.W. Support vector data description. Mach. Learn. 2004, 54, 45–66. [Google Scholar] [CrossRef]
- Kingma, D.P.; Ba, J. Adam: A Method for Stochastic Optimization. arXiv 2014, arXiv:1412.6980. [Google Scholar]
- Paszke, A.; Gross, S.; Massa, F.; Lerer, A.; Bradbury, J.; Chanan, G.; Killeen, T.; Lin, Z.; Gimelshein, N.; Antiga, L.; et al. PyTorch: An Imperative Style, High-Performance Deep Learning Library. Adv. Neural Inf. Process. Syst. 2019, 32, 8024–8035. [Google Scholar]
- Li, Z.; Zhao, Y.; Han, J.; Su, Y.; Jiao, R.; Wen, X.; Pei, D. Multivariate Time Series Anomaly Detection and Interpretation Using Hierarchical Inter-Metric and Temporal Embedding. In Proceedings of the 27th ACM SIGKDD Conference on Knowledge Discovery & Data Mining, Singapore, 14–18 August 2021; pp. 3220–3230. [Google Scholar]




| Dataset | Number of Metrics | Average Length | Anomaly Rate (%) |
|---|---|---|---|
| GAIA | 43 | 8472 | 1.33 |
| AIOps | 26 | 40,329 | 2.16 |
| Dataset | GAIA | AIOps | ||||||
|---|---|---|---|---|---|---|---|---|
| Metric | Acc | P | R | F1 | Acc | P | R | F1 |
| ARIMA | 94.97 | 66.58 | 49.73 | 56.93 | 85.37 | 70.52 | 50.29 | 58.81 |
| LOF | 92.58 | 69.45 | 51.83 | 59.29 | 87.31 | 72.36 | 52.65 | 60.89 |
| OCSVM | 91.53 | 68.23 | 50.14 | 57.78 | 88.47 | 75.14 | 55.86 | 64.05 |
| IForest | 93.12 | 70.37 | 52.48 | 60.08 | 90.19 | 78.42 | 60.35 | 68.59 |
| DAGMM | 96.47 | 78.12 | 60.27 | 68.36 | 96.57 | 88.77 | 70.42 | 78.50 |
| VAR | 90.24 | 65.37 | 48.65 | 55.37 | 84.88 | 68.21 | 48.54 | 56.68 |
| MMPCACD | 94.68 | 76.19 | 58.43 | 66.15 | 93.13 | 86.47 | 65.76 | 74.76 |
| LSTM | 95.95 | 75.88 | 57.63 | 65.51 | 95.24 | 82.57 | 63.00 | 71.47 |
| BeatGAN | 96.34 | 81.42 | 74.68 | 77.90 | 96.67 | 92.20 | 67.75 | 78.10 |
| OmniAnomaly | 95.78 | 81.50 | 76.78 | 79.07 | 98.23 | 88.54 | 73.71 | 80.44 |
| THOC | 94.89 | 79.67 | 78.54 | 79.10 | 98.09 | 84.09 | 72.90 | 78.08 |
| Ours | 97.86 | 95.05 | 72.53 | 82.28 | 98.30 | 90.06 | 78.75 | 84.02 |
| Architecture | Time Encoding | Dynamic Weight Adjustment | GAIA | AIOps | ||||
|---|---|---|---|---|---|---|---|---|
| P | R | F1 | P | R | F1 | |||
| Transformer | × | × | 79.95 | 61.01 | 69.21 | 85.68 | 65.31 | 74.13 |
| Ours | ✔ | × | 93.09 | 71.03 | 80.58 | 88.32 | 76.8 | 82.16 |
| × | ✔ | 91.62 | 69.91 | 79.31 | 87.11 | 75.75 | 81.03 | |
Disclaimer/Publisher’s Note: The statements, opinions and data contained in all publications are solely those of the individual author(s) and contributor(s) and not of MDPI and/or the editor(s). MDPI and/or the editor(s) disclaim responsibility for any injury to people or property resulting from any ideas, methods, instructions or products referred to in the content. |
© 2024 by the authors. Licensee MDPI, Basel, Switzerland. This article is an open access article distributed under the terms and conditions of the Creative Commons Attribution (CC BY) license (https://creativecommons.org/licenses/by/4.0/).
Share and Cite
Ge, H.; Ji, X.; Peng, F.; Chen, R.; Xiang, N.; Zhang, K.; Wu, W. SRdetector: Sequence Reconstruction Method for Microservice Anomaly Detection. Electronics 2025, 14, 65. https://doi.org/10.3390/electronics14010065
Ge H, Ji X, Peng F, Chen R, Xiang N, Zhang K, Wu W. SRdetector: Sequence Reconstruction Method for Microservice Anomaly Detection. Electronics. 2025; 14(1):65. https://doi.org/10.3390/electronics14010065
Chicago/Turabian StyleGe, Haixin, Xin Ji, Fang Peng, Ruibo Chen, Nan Xiang, Kui Zhang, and Wenjun Wu. 2025. "SRdetector: Sequence Reconstruction Method for Microservice Anomaly Detection" Electronics 14, no. 1: 65. https://doi.org/10.3390/electronics14010065
APA StyleGe, H., Ji, X., Peng, F., Chen, R., Xiang, N., Zhang, K., & Wu, W. (2025). SRdetector: Sequence Reconstruction Method for Microservice Anomaly Detection. Electronics, 14(1), 65. https://doi.org/10.3390/electronics14010065

