Linear-Extended-State-Observer-Based Adaptive RISE Control for the Wrist Joints of Manipulators with Electro-Hydraulic Servo Systems
Abstract
1. Introduction
2. System Models
2.1. Dynamics of 3-DOF Wrist Joint
2.2. Dynamics of Hydraulic Actuators
2.3. State Space Model
3. Linear Extended State Observer Design
4. Controller Design
4.1. RISE-Based Controller Design
4.2. Adaptive Law Design of Controller Parameters
4.3. Stability Analysis
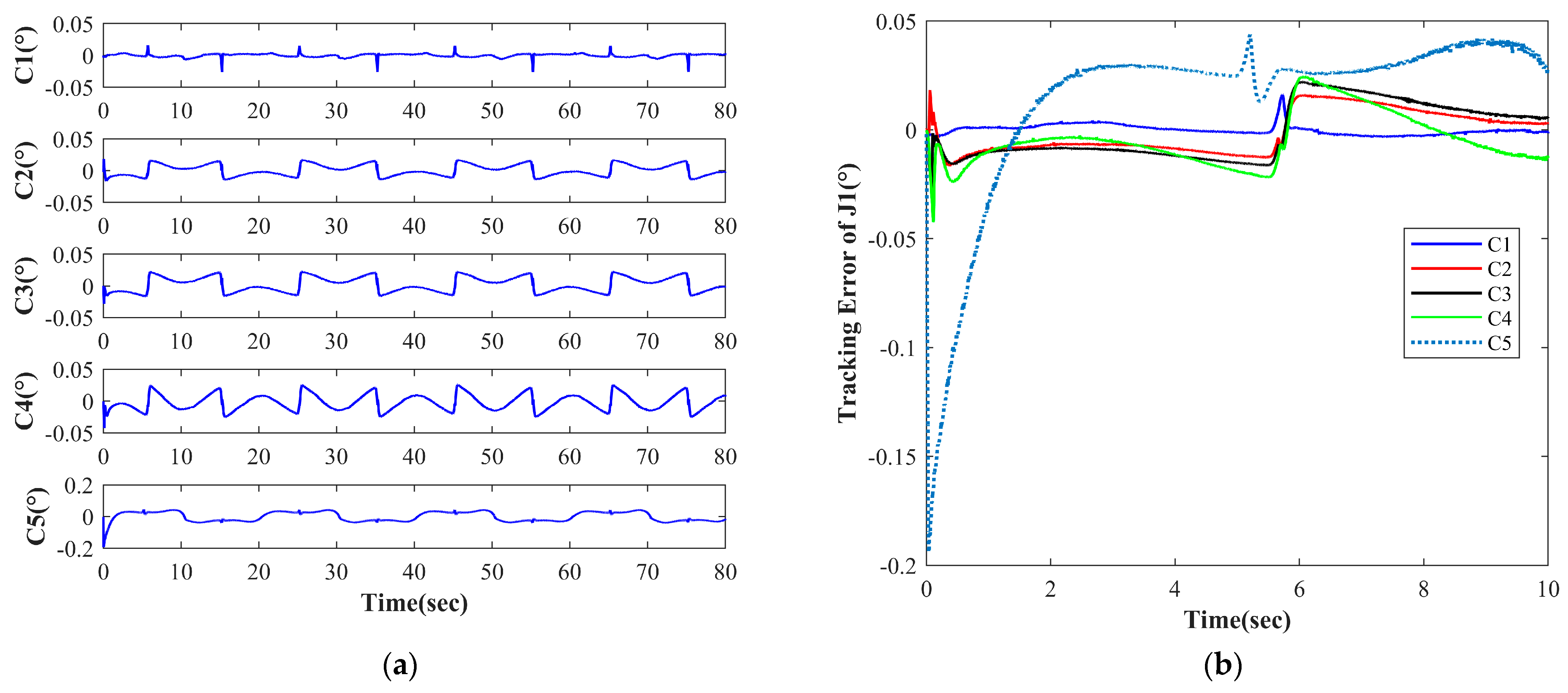
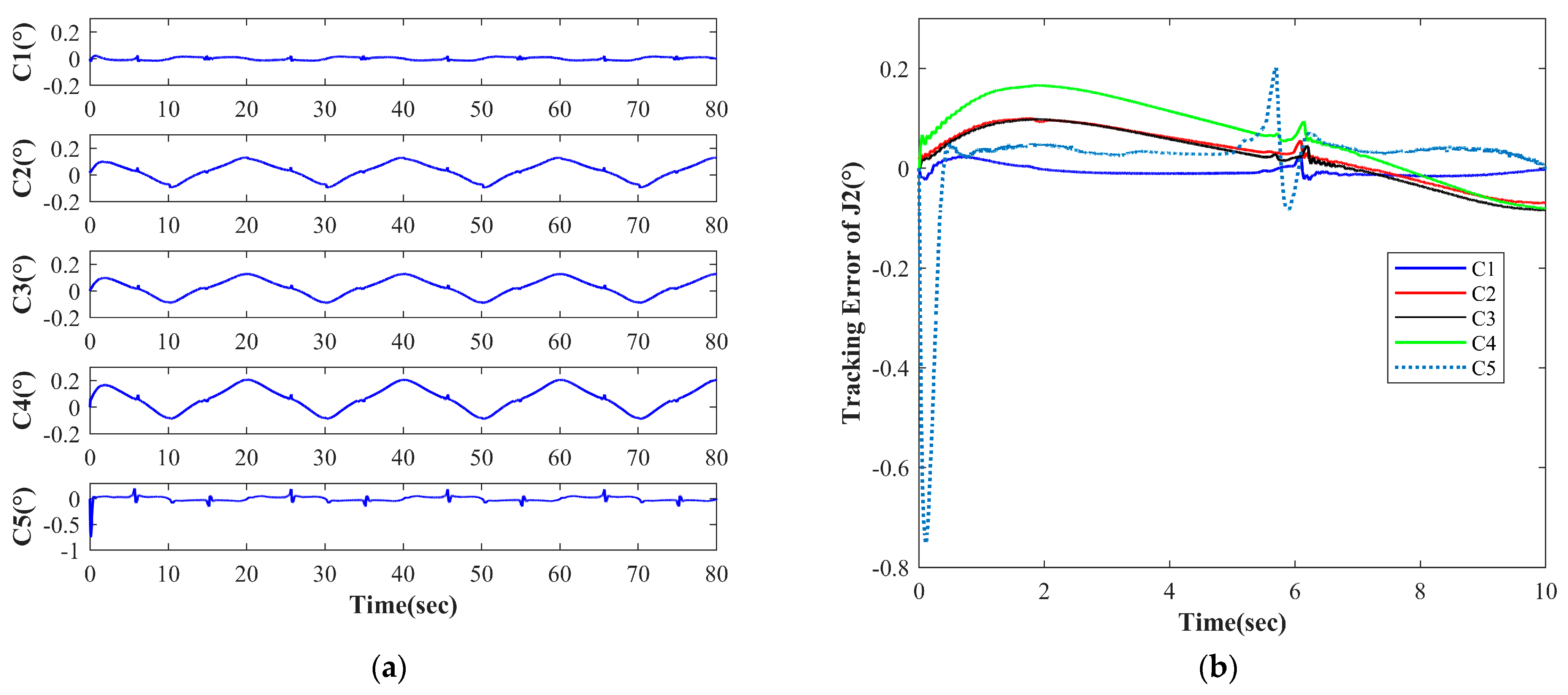
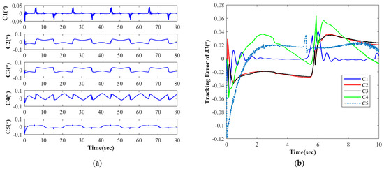
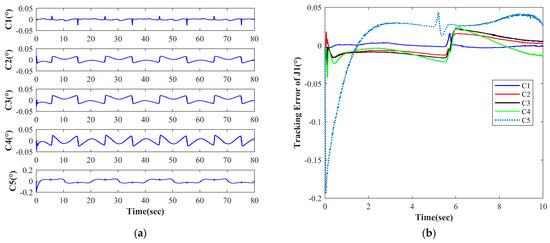
5. Experimental Results
5.1. Experimental Details
- (1)
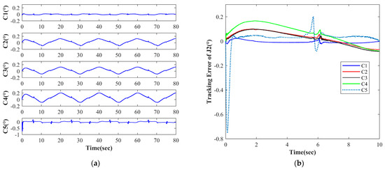
- ESO-ARISE (C1): This controller is used in this study. The control gains are selected as , , , , , , , , , , , , , and .
- (2)
- ARISE (C2): This controller cancels the ESO estimation compensation for unmodeled uncertainties, leaving no and as the control gains, and other gains coefficients are consistent with the ESO-ARISE controller.
- (3)
- RISE (C3): This controller cancels the parameter’s adaptive of the controller gains; the control gains do not have and , and the other gains are consistent with ARISE.
- (4)
- FLC (C4): This is the feedback linearization controller. The controller gains are only , , and , and the values of the gains are consistent with RISE.
- (5)
- PI (C5): This is a widely used controller in industries. The controller gains are chosen as and .
5.2. Experimental Results and Analysis
6. Conclusions
Author Contributions
Funding
Data Availability Statement
Conflicts of Interest
Appendix A
References
- Jahnavi, K.; Sivraj, P. Teaching and learning robotic arm model. In Proceedings of the 2017 International Conference on Intelligent Computing, Instrumentation and Control Technologies (ICICICT), Kerala, India, 6–7 July 2017; pp. 1570–1575. [Google Scholar]
- Lee, J.D.; Li, W.C.; Shen, J.H.; Chuang, C.W. Multi-robotic arms automated production line. In Proceedings of the 2018 4th International Conference on Control, Automation and Robotics (ICCAR), Auckland, New Zealand, 20–23 April 2018; pp. 26–30. [Google Scholar]
- Sarkisov, Y.S.; Coelho, A.; Santos, M.G.; Kim, M.J.; Tsetserukou, D.; Ott, C.; Kondak, K. Hierarchical Whole-body Control of the cable-Suspended Aerial Manipulator endowed with Winch-based Actuation. In Proceedings of the 2023 IEEE International Conference on Robotics and Automation (ICRA), London, UK, 29 May–2 June 2023; pp. 5366–5372. [Google Scholar]
- Axelson, S.; Kumar, K.S.P. Dynamic Feedback Linearization of a Hydraulic Valve-Actuator Combination. In Proceedings of the 1988 American Control Conference, Atlanta, GA, USA, 15–17 June 1988; pp. 2202–2203. [Google Scholar]
- Du, H.; Shi, J.J.; Chen, J.D.; Zhang, Z.Z.; Feng, X.Y. High-gain observer-based integral sliding mode tracking control for heavy vehicle electro-hydraulic servo steering systems. Mechatronics 2021, 74, 102484. [Google Scholar] [CrossRef]
- Su, D.H. Comparison of Electro-hydraulic Proportional Valve and Electro-hydraulic Servo Valve on Performances. Hydraul. Pneum. Seals 2008, 4, 2. [Google Scholar]
- Zhou, M.L.; Yang, Z.G.; Gao, W.; Tian, Y.T.; Shen, C.L.; Li, P. Fuzzy control of a new type of piezoelectric direct drive electro-hydraulic servo valve. In Proceedings of the 2005 International Conference on Machine Learning and Cybernetics, Guangzhou, China, 18–21 August 2005; pp. 819–824. [Google Scholar]
- Fang, Y.M.; Fan, Z.Y.; Ou, F.S.; Jiao, X.H. Multi-model switching control with input saturation for hydraulic servo system in rolling mill. Control Theory Appl. 2011, 28, 438–442. [Google Scholar]
- Gu, W.W.; Yao, J.Y.; Yao, Z.K.; Zheng, J.Z. Robust Adaptive Control of Hydraulic System with Input Saturation and Valve Dead-Zone. IEEE Access 2011, 6, 53521–53532. [Google Scholar] [CrossRef]
- Bu, F.P.; Yao, B. Nonlinear Adaptive Robust Control of Hydraulic Actuators Regulated by Proportional Directional Control Valves with Deadband and Nonlinear Flow Gains. In Proceedings of the 2000 American Control Conference, Chicago, IL, USA, 28–30 June 2000. [Google Scholar]
- He, Z.X.; Feng, Y.B.; Liu, Y.; Li, L.; Ma, C.L.; Wang, H. Semi-physical real-time control of electro-hydraulic proportional position servo system based on Matlab/xPC. J. Eng. 2019, 19, 144–149. [Google Scholar] [CrossRef]
- Chen, Z.; Helian, B.; Zhou, Y.; Geimer, M. An Integrated Trajectory Planning and Motion Control Strategy of a Variable Rotational Speed Pump-Controlled Electro-Hydraulic Actuator. IEEE/ASME Trans. Mechatron. 2023, 28, 588–597. [Google Scholar] [CrossRef]
- Li, X.B.; Shang, Y.X.; Wu, S.; Jiao, Z.X. Dual valve controlled energy recovery EHA. In Proceedings of the CSAA/IET International Conference on Aircraft Utility Systems (AUS 2018), Guiyang, China, 19–22 June 2018; pp. 1495–1498. [Google Scholar]
- Shi, Q.; Zhang, H. Robust FOPID controller design by GWO for position tracking of an EHA System. In Proceedings of the 2021 3rd International Conference on Industrial Artificial Intelligence (IAI), Shenyang, China, 8–11 November 2021; pp. 1–5. [Google Scholar]
- Hwang, Y.L.; Ta, T.N.; Tran, C.S. Dynamic Analysis and Control of Hydraulic Machine System and Industrial Robotic Manipulators. Appl. Mech. Mater. 2018, 883, 1–7. [Google Scholar] [CrossRef]
- Zhang, F.; Zhang, J.; Xu, B.; Zong, H. An Adaptive Robust Controller for Hydraulic Robotic Manipulators with a Flow-Mapping Compensator. Int. J. Fluid Power 2021, 2, 22. [Google Scholar] [CrossRef]
- Yuan, Y.Q.; Sun, W.C. An Integrated Kinematic Calibration and Dynamic Identification Method with Only Static Measurements for Serial Robot. IEEE/ASME Trans. Mechatron. 2023, 28, 2762–2773. [Google Scholar] [CrossRef]
- Mi, J.J.; Yao, J.Y. RISE-Based Adaptive Asymptotic Tracking Control of Space 3-DOF Manipulators with Hydraulic Actuators. In Proceedings of the 2023 42nd Chinese Control Conference (CCC), Tianjin, China, 24–26 July 2023; pp. 2813–2820. [Google Scholar]
- Chen, Z.; Huang, F.H.; Chen, W.J.; Zhang, J.H.; Sun, W.C.; Chen, J.W.; Gu, J.S.; Zhu, S.Q. RBFNN-Based Adaptive Sliding Mode Control Design for Delayed Nonlinear Multilateral Telerobotic System with Cooperative Manipulation. IEEE Trans. Ind. Inform. 2020, 16, 1236–1247. [Google Scholar] [CrossRef]
- Sun, H.; Huang, L.; He, L. Research on the Trajectory Tracking Control of a 6-DOF Manipulator Based on Fully-Actuated System Models. J. Syst. Sci. Complex. 2022, 35, 641–659. [Google Scholar] [CrossRef]
- Li, P.; Yu, X.; Zhang, Y.M. The Design of Quasi-Optimal Higher Order Sliding Mode Control via Disturbance Observer and Switching-Gain Adaptation. IEEE Trans. Syst. Man Cybern. Syst. 2020, 50, 4817–4827. [Google Scholar] [CrossRef]
- Zhang, H.J.; Fang, J.H.; Wei, J.H.; Yu, H.; Zhang, Q. Adaptive sliding mode control for tunnel boring machine cutterhead telescopic system with uncertainties. Ind. Robot 2023, 50, 162–173. [Google Scholar] [CrossRef]
- Yao, B.; Bu, F.; Reedy, J.; Chiu, G.T.C. Adaptive robust motion control of single-rod hydraulic actuators: Theory and experiments. In Proceedings of the 1999 American Control Conference (Cat. No. 99CH36251), San Diego, CA, USA, 2–4 June 1999; pp. 759–763. [Google Scholar]
- Zang, W.S.; Zhang, Q.; Su, J.P.; Feng, L. Robust Nonlinear Control Scheme for Electro-Hydraulic Force Tracking Control with Time-Varying Output Constraint. Symmetry 2021, 13, 2074. [Google Scholar] [CrossRef]
- Xu, L.I.; Rui, G.C.; Yin, S.C.; Yu, T.; Gang, S. Adaptive Robust Control of Electro-hydraulic Position System Under Force Disturbance. Manuf. Autom. 2019, 2, 36–42. [Google Scholar]
- Escorcia-Hernández, J.M.; Chemori, A.; Aguilar-Sierra, H. Adaptive RISE Feedback Control for Robotized Machining with PKMs: Design and Real-Time Experiments. IEEE Trans. Control Syst. Technol. 2023, 31, 39–54. [Google Scholar] [CrossRef]
- Fischer, N.; Kan, Z.; Kamalapurkar, R.; Dixon, W.E. Saturated RISE Feedback Control for a Class of Second-Order Nonlinear Systems. IEEE Trans. Autom. Control 2014, 59, 1094–1099. [Google Scholar] [CrossRef]
- Lei, X.S.; Zou, Y.; Dong, F. A composite control method based on the adaptive RBFNN feedback control and the ESO for two-axis inertially stabilized platforms. ISA Trans. 2015, 59, 424–433. [Google Scholar] [CrossRef]
- Guo, B.Z.; Zhao, Z.L. On convergence of non-linear extended state observer for multi-input multi-output systems with uncertainty. IET Control Theory Appl. 2012, 6, 2375–2386. [Google Scholar] [CrossRef]
- Liu, Z.W.; Huang, W. Linear active disturbance rejection control for hysteresis compensation based on backpropagation neural networks adaptive control. Trans. Inst. Meas. 2021, 43, 4. [Google Scholar] [CrossRef]
- Hu, Y.F.; Li, D.H. An Improved Active Disturbance Rejection Controller for Hydraulic Valve-Controlled Hydraulic Motor. In Proceedings of the 2020 39nd Chinese Control Conference (CCC), Shenyang, China, 27–29 July 2020. [Google Scholar]
- Laghridat, H.; Essadki, A.; Nasser, T. Coordinated control by ADRC strategy for a wind farm based on SCIG considering low voltage ride-through capability. Prot. Control Mod. Power Syst. 2022, 7, 7. [Google Scholar] [CrossRef]











| Parameter | Value | Parameter | Value | Parameter | Value |
|---|---|---|---|---|---|
| m1 | 75.9419 (kg) | m2 | 44.4310 (kg) | m3 | 15 (kg) |
| xc1 | 1.9308 × 10−2 (m) | xc2 | 0.1906 (m) | xc3 | 3.2535 × 10−8 (m) |
| yc1 | −1.0589 × 10−2 (m) | yc2 | −5.4630 × 10−4 (m) | yc3 | −1.9696 × 10−8 (m) |
| zc1 | \ | zc2 | −4.4235 × 10−2 (m) | zc3 | 0.4609 (m) |
| l1 | 0 (m) | l2 | 0 (m) | l3 | \ |
| Ixx1 | \ | Ixx2 | 2.9277 (kg·m2) | Ixx3 | 5.7966 (kg·m2) |
| Iyy1 | \ | Iyy2 | 0.9427 (kg·m2) | Iyy3 | 5.7966 (kg·m2) |
| Izz1 | 0.9758 (kg·m2) | Izz2 | 2.0978 (kg·m2) | Izz3 | 0.2340 (kg·m2) |
| kt1 | 3.9686 × 10−8 | kt2 | 3.9686 × 10−8 | kt3 | 3.9686 × 10−8 |
| Dm1 | 1.4 × 10−4 (m3/rad) | Dm2 | 1.0 × 10−4 (m3/rad) | Dm3 | 6.72 × 10−5 (m3/rad) |
| V011 | 1.5882 × 10−4 (m3) | V012 | 9.5993 × 10−5 (m3) | V013 | 6.4507 × 10−5 (m3) |
| V021 | 1.5882 × 10−4 (m3) | V022 | 9.5993 × 10−5 (m3) | V023 | 6.4507 × 10−5 (m3) |
| Ps | 70 (bar) | Pr | 2.6 (bar) | 7 × 108 | |
| Ct | 7 × 10−12 |
| Controller | Joint 1 | Joint 2 | Joint 3 |
|---|---|---|---|
| C1 | 0.0028 | 0.0108 | 0.0214 |
| C2 | 0.0087 | 0.0631 | 0.0223 |
| C3 | 0.0114 | 0.0638 | 0.0236 |
| C4 | 0.0123 | 0.0867 | 0.0237 |
| C5 | 0.0302 | 0.0935 | 0.0247 |
Disclaimer/Publisher’s Note: The statements, opinions and data contained in all publications are solely those of the individual author(s) and contributor(s) and not of MDPI and/or the editor(s). MDPI and/or the editor(s) disclaim responsibility for any injury to people or property resulting from any ideas, methods, instructions or products referred to in the content. |
© 2024 by the authors. Licensee MDPI, Basel, Switzerland. This article is an open access article distributed under the terms and conditions of the Creative Commons Attribution (CC BY) license (https://creativecommons.org/licenses/by/4.0/).
Share and Cite
Mi, J.; Deng, W.; Yao, J.; Liang, X. Linear-Extended-State-Observer-Based Adaptive RISE Control for the Wrist Joints of Manipulators with Electro-Hydraulic Servo Systems. Electronics 2024, 13, 1060. https://doi.org/10.3390/electronics13061060
Mi J, Deng W, Yao J, Liang X. Linear-Extended-State-Observer-Based Adaptive RISE Control for the Wrist Joints of Manipulators with Electro-Hydraulic Servo Systems. Electronics. 2024; 13(6):1060. https://doi.org/10.3390/electronics13061060
Chicago/Turabian StyleMi, Junjie, Wenxiang Deng, Jianyong Yao, and Xianglong Liang. 2024. "Linear-Extended-State-Observer-Based Adaptive RISE Control for the Wrist Joints of Manipulators with Electro-Hydraulic Servo Systems" Electronics 13, no. 6: 1060. https://doi.org/10.3390/electronics13061060
APA StyleMi, J., Deng, W., Yao, J., & Liang, X. (2024). Linear-Extended-State-Observer-Based Adaptive RISE Control for the Wrist Joints of Manipulators with Electro-Hydraulic Servo Systems. Electronics, 13(6), 1060. https://doi.org/10.3390/electronics13061060

