You are currently viewing a new version of our website. To view the old version click .
Electronics
  • Article
  • Open Access

27 January 2024

Finite-Alphabet Rate-Energy-Uncertainty Tradeoff in Multicasting SWIPT with Imperfect CSIT: An Error Performance Perspective

,
and
1
School of Physics and Telecommunication Engineering, South China Normal University, No. 55, West of Zhongshan Avenue, Tianhe District, Guangzhou 510631, China
2
National Digital Switching System Engineering & Technological Research Center, Zhengzhou 450003, China
*
Author to whom correspondence should be addressed.
These authors contributed equally to this work.
This article belongs to the Section Microwave and Wireless Communications

Abstract

Most of the existing works for simultaneous wireless information and power transfer (SWIPT) focus on the robust designs via numerical approaches under the Gaussian input assumption or on the information–theoretic rate–energy tradeoff with perfect transmitter channel state information (CSIT). In contrast, this study, from an error performance perspective, investigates the optimal finite-alphabet signal structures and reveals the influence of CSIT uncertainty on the finite-alphabet rate and energy harvesting in multi-input single-output multicasting (MSM) SWIPT. To this end, we first utilize CSIT with any bounded uncertainty to establish a constellation-optimal space–time (COST) structure optimizing the worst-case minimum Euclidean distance among all the feasible sets for any given power splitting of all users under energy-harvesting constraints. The COST structure is proved to be rank-one with a multidimensional optimal constellation over ideal additive white Gaussian noise (AWGN) channels (OCIA) with a worst-case optimized beamformer within the CSIT uncertainty. Then, for the case without CSIT, Alamouti transmission of 2D OCIA is proved to be the COST structure for a two-antenna MSM-SWIPT. We further show that the above two COSTs reveal an unreported fundamental tradeoff for MSM-SWIPT among finite-alphabet rate, energy harvesting and uncertainty of CSIT. The tradeoff comparison for different levels of sphere-bounded CSIT uncertainty indicates that there exists a feasibility region where imperfect CSIT can be very helpful for enhancing the system performance of MSM-SWIPT. The observations obtained in this paper provide useful insights into the fundamental finite-alphabet structures and tradeoff in SWIPT systems.

1. Introduction

In mobile applications, a group of users usually have common service demands such as e-newspaper, live stock exchange data, traffic condition, software updates social networking and location-based services. To distribute the common information to multiple users simultaneously, multi-antenna physical layer multicasting [1,2] is viewed as a uniquely suitable enabling technology due to the inherent broadcast nature of the wireless channel and has been included in WiMAX 802.16 m and 3rd Generation Partnership Project (3GPP) long-term evolution (LTE). In addition, since the transmitted signals carrying common information can also transport energy in a multicasting manner at the same time [3,4], multicasting with simultaneous wireless information and power transfer (SWIPT) [5,6,7,8] from the base station is appealing especially for energy-constrained wireless networks powered by battery. Therefore, this paper considers a multi-input single-output multicasting SWIPT (MSM-SWIPT) system, where a multi-antenna base station serves multiple single-antenna users each equipped with both information-decoding (ID) receivers and energy-harvesting (EH) receivers.
Essentially, the main design task of MSM-SWIPT is to achieve an appropriate tradeoff between ID’s communication performance and EH’s harvested energy levels for a given transmission power constraint [9,10]. During this process, the availability of transmitter channel state information (CSIT) is very crucial [11]. Most of the existing works focus on the beamforming designs under different CSIT constraints. When perfect CSIT is available for MISO multicasting without energy harvesting, the transmitted beamforming problem is proved to be nondeterministic polynomial (NP) hard in general [12], and efficient semidefinite relaxation (SDR)-based algorithms are also developed. Mainly due to this NP hardness, SDR-based numerical approaches are also popular techniques to solve the beamforming problem in SWIPT [13]. For example, to numerically attain a suboptimal solution with relatively low complexity for perfect or imperfect CSIT, the authors in [13] relaxed the original NP-hard problem of joint transmitter beamforming and receiver power splitting (PS) into a convex semidefinite programming (SDP) one. To further improve the SDR algorithm’s performance, a rank-two generalization of SDR using beamformed Alamouti coding is developed in [14,15]. Then, this rank-two SDR is also applied to MSM-MISO for the purpose of physical layer security in [16] or beamforming designs in [17]. Unfortunately, perfect CSIT is not always available. Therefore, for the same security purpose, the authors in [18] considered the SDP relaxation-based secure MISO SWIPT downlink transmission by advocating the dual use of both artificial noise and energy signals to facilitating efficient wireless energy transfer under CSIT uncertainty. To reveal the influence of channel uncertainty on the system performance, the authors in [19] investigated the imperfect CSIT on the multiple-input multiple-output (MIMO) multiuser SWIPT and designed the resource allocation schemes with good robustness against imperfect CSIT.
However, for the above-mentioned important works [13,14,15,16,18,19], two important issues should be pointed out. On the one hand, despite the fact that the above-mentioned works [13,14,15,16,18,19] provide approaches with significantly enhanced performance and satisfactory convergence, most of the schemes are based on numerical algorithms with specific relaxation. Unfortunately, numerical results provide limited explicit insight into what impact the CSIT uncertainty has on the SWIPT system performance, and they are not easy to be applied generally. On the other hand, the works in [13,14,15,16,18,19] are mainly under a potential assumption of continuous Gaussian signals. Despite the fact that the SWIPT or WIPT designs with Gaussian signaling serve normally as the theoretical benchmark, its implementation in reality will require huge storage capacity, unaffordable computational complexity and extremely long decoding delay. However, in most practical wireless communications, the actual transmitted signals are drawn from finite-alphabet constellations such as pulse amplitude modulation (PAM), quadrature amplitude modulation (QAM) and phase shift keying (PSK). According the results in [20,21,22,23], directly applying the fundamental rate–energy tradeoff derived from the Gaussian inputs under perfect CSIT to the system with finite-alphabet inputs (FAI) may lead to significant performance loss.
Indeed motivated by the aforementioned factors, we specifically consider an MSM-SWIPT system with FAI and imperfect CSIT from an error performance perspective. To elaborate more on our main idea, we would like to recall some background on the FAI channels. For the realistic FAI channel, it is often possible to obtain some CSIT by probing the channel. The knowledge of CSIT is useful for motivating transmission strategies robust to a proper channel uncertainty. Note that for a fixed channel realization, the FAI channel can be viewed as a black box and can potentially be further probed. One may continue this process by paying some cost until the black box is fully opened; i.e., the channel becomes deterministic given the acquired state information. Therefore, it is fundamentally important and interesting to consider the fundamental tradeoff of finite-alphabet rate, energy harvesting and CSIT uncertainty. It is noticed that the authors in [23,24] have investigated the rate–energy tradeoff for SWIPT channels from the information–theoretical standpoint. Unfortunately and surprisingly, not much attention has been yet paid to the rate–energy–uncertainty tradeoff for SWIPT with FAI from an error performance perspective, which is of much realistic significance. In this paper, we will establish a general optimal structure for the FAI of MSM-SWIPT and reveal a new fundamental tradeoff between finite-alphabet rate, energy harvesting and CSIT uncertainty. To sum up, the main contributions of this paper are as follows.
(1) Constellation-Optimal Structure Using Imperfect CSIT. For MSM-SWIPT, by utilizing CSIT with any bounded uncertainty, we first establish a constellation-optimal space–time (COST) structure by jointly optimizing the worst-case minimum Euclidean distance (MED) for the given power splitting of all users under energy-harvesting constraints. This structure is proved to be a multidimensional optimal constellation over ideal additive white Gaussian noise (AWGN) channels (OCIA) and an optimized beamformer. The optimality is achieved among any feasible sets within multidimensional complex space by using imperfect CSIT with bounded channel uncertainty.
(2) Characterization of Finite-Alphabet Tradeoff of Rate, Energy and Uncertainty of CSIT. The COST structure motivated by imperfect CSIT with general bounded uncertainty reveals that there exists a fundamental tradeoff between finite-alphabet rate, EH and uncertainty tradeofff of CSIT (FREUT). In particular, for the sphere-bounded CSIT uncertainty model, we characterize the sufficient and conditions on the feasibility of FREUT. This new tradeoff is a more practical measure for MSM-SWIPT with FAI and CSIT uncertainty than the existing rate–energy tradeoff from an information–theoretical perspective for perfect CSIT.
(3) Optimality of Alamouti Coding Structures for Two-Antenna MSM-SWIPT. For a two-antenna MSM-SWIPT with an arbitrary number of users, a 2 × 2 COST structure is proved to be Alamouti transmission [25] of two-dimensional OCIA among all the feasible sets of 2 × 2 matrices. The optimality is with respect to the maximization of the worst-case MED of all users’ received signals for fixed EH levels rather from the space–time coding diversity and multiplexing perspectives.
(4) A Two-User Case Study: When Is Imperfect CSIT Very Useful for Finite-Alphabet Tradeoff? For two-user MSM-SWIPT systems with any number of transmitter antenna, we give the closed-form FREUT and illustrate the feasibility region of FREUT. Then, for two-user two-antenna MSM-SWIPT systems, we systematically compare the performance of the COSTs with imperfect CSIT and without CSIT. We explicitly describe the region where imperfect CSIT can be very useful compared with the absence of any CSIT.
Organization: The rest of this article is organized as follows. The system model is presented in Section 2. The COST structures are provided in Section 3. The FREUT is characterized in Section 4. The conclusions is drawn in Section 5.
Notations: Throughout this paper, uppercase boldface letters and lowercase boldface letters are used for matrices and vectors, respectively. The superscripts ( . ) * , ( . ) T and ( . ) H denote the conjugate, transpose and conjugate transpose operations, respectively. x 2 represents the Euclidean norm of x . X F denotes the Frobenius norm of X . C N × L denotes the set of all complex-valued N × L matrices. The N × N identity matrix is denoted by I N × N .

2. System Model

We consider an MSM-SWIPT system with an N-antenna base station and U single-antenna users, which is illustrated by Figure 1. Over L time slots, the base station’s N antennas transmit an N × L matrix signal S S C N × L carrying K-bits of information, where the cardinality of S is equal to | S | = 2 K . Then, through the channel vectors h u C N × 1 , the 1 × L signal collected by user u within L time slots, y u , can be represented by
y u = h u H S + ξ A , u
where h u remains unchanged within L time slots and ξ A , u C 1 × L is the additive white Gaussian noise (AWGN) noise at u-th user receiver antenna, say, ξ A , u CN ( 0 , σ A , u 2 I L × L ) .
Figure 1. MSM-SWIPT system model.
In this paper, we assume that for 1 u U , User u has the receiver channel state information (CSIR), say, the value of h u , and intends to simultaneously decode information by information receivers (IRs) and harvest energy (by EH receivers) from y u . To coordinate the process of ID and EH, each receiver antenna is equipped with a PS device. Specifically, at User u’s receiver, a portion ρ u ( 0 , 1 ) of y u ’s power is split to the ID of User u and the remaining ( 1 ρ u ) portion to the EH of User u. More specifically, the signal split to the ID u for 1 u U is given by
y I , u = ρ u ( h u H S + ξ A , u ) + ξ E , u
where ξ E , u is the PS processing noise at the ID of User u satisfying ξ E , u CN ( 0 , σ E , u 2 I L × L ) . Correspondingly, the signal split to the EH of User u is determined as
y E , u = 1 ρ u ( h u H S + ξ A , u )
where 1 u U . Then, the average power harvested by the EH of User u is expressed by
Υ u = c u ( 1 ρ u ) 1 L × 2 K S S h u H S 2 2 + σ A , u 2
where c u is the energy conversion efficiency at the EH of User u. For convenience and without loss of generality, we assume that c u = 1 for 1 u U . We notice that there is no PS processing noise at the EH of User u in Equation (2). The main reason is given as follows. The noise term σ E , u in Equation (1) is introduced by the local processing of information recovery of the ID receiver. The noise term σ A , u is introduced by the receiver processing before signal splitting. For EH, the only processing is to harvest the energy carried by y E , u . During the energy-harvesting processing, no noise is introduced.
Under the above assumptions, our main task is to characterize the fundamental structure of the transmitted constellation S for the above MSM-SWIPT system under different CSIT conditions and to show the corresponding fundamental tradeoff.

3. COST Structures for MSM-SWIPT under CSIT Uncertainty

In this section, we investigate the COST structures of S for two different CSIT conditions: imperfect CSIT with bounded uncertainty and without CSIT. The main results will be fundamentally important for us to analyze the so-called finite-alphabet rate–energy–uncertainty tradeoff (FREUT) in the next section.

3.1. COST Structure with Bounded Imperfect CSIT

In this subsection, we develop the COST structure for MSM-SWIPT under bounded CSIT uncertainty. For convenience, we denote the imperfect CSIT by h ¯ u , say, h ¯ u h u . To model the CSIT uncertainty Δ u = h ¯ u h u , the current popular approaches are to bound Δ u : for example, { Δ u : Δ u 2 2 ϵ u , Δ u C N × 1 } (sphere uncertainty model) and { Δ u : Δ u H Σ u Δ u ϵ u , Δ u C N × 1 } (ellipsoid uncertainty model) where Σ u is a positive definite matrix. Here, to generally characterize the COST with imperfect CSIT, we assume that Δ u E u , where E u can be any bounded set satisfying that there is always a positive constant c such that E u { x : x 2 2 c } C N × 1 . Under this assumption, we are interested in the worst-case system performance for all Δ u E u . When the CSIR of User u is available and the harvested energy by EH is fixed, the error performance of ID with a maximum likelihood (ML) detector is decided by the corresponding received MED under a transmitted power budget. To finally show the fundamental finite-alphabet tradeoff in MSM-SWIPT, we first fix the PS factor ρ u to be a given constant. Therefore, when the imperfect CSIT is attained by the base station and CSIR is available to the users, the design problem of optimal S can be formulated below.
Problem 1.
For any given positive integers U , N 2 , K , L , fixed channel vectors h u C N and bounded sets E u with 1 u U , devise an N × L -dimensional constellation S C N × L of size 2 K such that
1. 
The consumed average transmitted total power 1 L × 2 K S S S F 2 is minimized subject to
min Δ u E u 1 L × 2 K S S ( h u + Δ u ) H S 2 2 τ u 1 ρ u σ A , u 2
for 1 u U .
2. 
After the consumed power 1 L × 2 K S S S F 2 is minimized, the received worst-case squared MED of all U users,
min 1 u U min Δ u E u min S , S ˜ S , S S ˜ ρ u ( h u + Δ u ) H ( S S ˜ ) 2 2 ρ u σ A , u 2 + σ E , u 2
is maximized.
Theorem 1
(COST for Imperfect CSIT). Let P ˘ imp , w ˘ imp and X ˘ L K be defined by the respective optimal solution to the following two subproblems:
  • Subproblem 1.1 (Max–Min Fair Beamforming) Given any positive integer N, U, ρ u ( 0 , 1 ) non-negative N × 1 vectors h u with h u C N , find a positive real-number P and an N × 1 vector w such that
    1. 
    min 1 u U min Δ u E u ρ u | ( h u + Δ u ) H w | 2 ρ u σ A , u 2 + σ E , u 2 is maximized subject to w 2 2 = 1 and P × min Δ u E u | ( h u + Δ u ) H w | 2 + σ A , u 2 τ u 1 ρ u .
    2. 
    After the above optimization is achieved with respect to w (outputting w ˘ imp ), P is to be minimized by assuring P × min Δ u E u | ( h u + Δ u ) H w ˘ imp | 2 + σ A , u 2 τ u 1 ρ u .
  • Subproblem 1.2 (OCIA Design) Given any positive integers K and L, design an L × 1 size- 2 K constellation X C L to maximize
    min x , x ˜ X , x x ˜ x x ˜ 2 ,
    subject to 1 L × 2 K x X x 2 2 = 1 .
Then, Problem 1 is feasible if and only if
min 1 u U min Δ u E u | ( h u + Δ u ) H w ˘ imp | 2 > 0
and
S S S F 2 L × 2 K max 1 u U τ u / ( 1 ρ u ) σ A , u 2 min Δ u E u | ( h u + Δ u ) H w ˘ imp | 2 P ˘ imp .
Under the above two conditions, an optimal solution to Problem 1 is determined as follows:
S ˘ imp = P ˘ imp w ˘ imp x T : x X ˘ L K , P ˘ imp = max 1 u U τ u / ( 1 ρ u ) σ A , u 2 min Δ u E u | ( h u + Δ u ) H w ˘ imp | 2 .
Furthermore,
min 1 u U min Δ u E u min S , S ˜ S ˘ imp , S S ˜ ρ u ( h u + Δ u ) H ( S S ˜ ) 2 2 ρ u σ A , u 2 + σ E , u 2 = P ˘ imp D ˘ L K 2 min 1 u U min Δ u E u ρ u | ( h u + Δ u ) H w ˘ imp | 2 ρ u σ A , u 2 + σ E , u 2 QoS imp
where D ˘ L K = min x , x ˜ X ˘ L K , x x ˜ x x ˜ 2 .
The proof of Theorem 1 is provided in Appendix A.

3.2. COST Structure without CSIT: Optimality of Alamouti Structure

In Theorem 1, we have established the COST with the CSIT uncertainty. However, when the channel uncertainty is above a level, the COST motivated by imperfect CSIT may be infeasible and thus, it is not always a proper choice. It will be valuable to compare the COST in Theorem 1 with that without CSIT or with unbounded CSIT uncertainty. Therefore, in this subsection, we further consider the COST without CSIT. Unfortunately, this task for a general N and L is indeed challenging. For this reason, we consider an MSM-SWIPT system with N = L = 2 . Similar to Problem 1, the corresponding optimization is presented as follows.
Problem 2.
For any given positive integers K , U , ρ u ( 0 , 1 ) and fixed channel vectors h u C 2 with 1 u U , find a 2 × 2 -dimensional constellation S C 2 × 2 of size 2 K such that
1. 
1 L × 2 K S S S F 2 is minimized under condition that
min h u 2 2 = ϵ u 1 L × 2 K S S h u H S 2 2 τ u 1 ρ u σ A , u 2
for 1 u U .
2. 
With the minimal consumed power, the received worst-case squared MED of all the U users,
min 1 u U min h u 2 2 = ϵ u min S , S ˜ S , S S ˜ ρ u h u H ( S S ˜ ) 2 2 ρ u σ A , u 2 + σ E , u 2
is maximized.
Theorem 2.
(COST without CSIT) An optimal solution to Problem 2 is determined by
S ˘ w / o = P ˘ w / o 2 x 1 x 2 x 2 * x 1 * : ( x 1 , x 2 ) T X ˘ 2 K , P ˘ w / o = 2 max 1 u U τ u 1 ρ u σ A , u 2 ϵ u .
where X ˘ 2 K is the optimal solution to subproblem 1.2 for L = 2 . Furthermore,
min 1 u U min h u 2 2 = ϵ u min S , S ˜ S ˘ w / o , S S ˜ ρ u h u H S h u H S ˜ 2 2 ρ u σ A , u 2 + σ E , u 2 = P ˘ w / o D ˘ L K 2 2 × min 1 u U h u 2 2 ρ u ρ u σ A , u 2 + σ E , u 2 QoS w / o
whose proof is postponed into Appendix B. For the results in this theorem and its proof, we would like to emphasize that for MSM-SWIPT for N > 2 , we cannot generalize the COST structure in Theorem 2. The reason is that the proof in Appendix B essentially requires the existence of rate-one complex-valued orthogonal space–time block code. Unfortunately, according the results in [26], this existence cannot be assured for N > 2 . Therefore, a general COST without CSIT is not easy to be established. On the other hand, the optimality of the Alamouti structure [25] is proved with respect to the maximization of the worst-case MED of all users’ received signals for fixed EH levels rather from the space–time coding diversity and multiplexing perspectives.

3.3. Main Properties of COSTs

Up to now, we have characterized the COST structures for different CSIT conditions among all the corresponding feasible finite sets without any additional assumption on S . From these COSTs, we have revealed the fundamental FAI structure from an error performance standpoint. To appreciate these results, we would like to make the following remarks.

3.3.1. Finite-Alphabet Rate–Energy–Uncertainty Tradeoff

As suggested by Theorem 1, there exists a fundamental tradeoff between the error performance metric QoS imp , the transmitted constellation X ˘ L K over time dimensions, and EH levels τ u . We also notice that the authors in [23] considered the rate–energy tradeoff for the finite-alphabet in SWIPT. However, the performance criterion and adopted techniques in [23] and this paper are significantly different. On the one hand, in this paper, since D ˘ L K is a function with respect to the rate K L of the transmitted information, the corresponding finite-alphabet tradeoff can be viewed as a rate–energy tradeoff for the optimal finite-alphabet signals from an error performance perspective. On the other hand, the work in [23] was carried out from an information–theoretical viewpoint without revealing the optimal transmission structures and without considering the CSIT uncertainty. Furthermore, for the COST without the CSIT developed in Theorem 2, there also exists a tradeoff between the finite-alphabet rate and harvested energy. In Section 4, we will characterize this finite-alphabet tradeoff for specific E u and investigate the impact of CSIT imperfection on the FTREUT.

3.3.2. Equivalent AWGN Channel

For the COSTs developed in Theorems 1 and 2, one important common property is that the equivalent channel of (1) from the perspective of ID is an ideal AWGN one up to a scale. For example, for S ˘ imp , the equivalent form of (1) is given by
y I , u = ( ρ u h u H w ˘ imp ) x T + ( ρ u ξ A , u + ξ E , u )
We can find that the equivalent channel coefficient ( ρ u h u H w ˘ imp ) is one complex-valued scalar. Thus, for the channel estimation and detection at ID, knowing the value of ( ρ u h u H w ˘ imp ) is sufficient and the values of all the entries of h u and w ˘ imp are not necessary. Therefore, at the receiver side of ID of User u, User u does not necessarily require the values of h i for i u with 1 u U . This important property can significantly reduce the burden of the channel estimation and may admit fast ML detection if X ˘ L K is properly designed.

3.3.3. Essential Design Tasks

For the attained COST structures, the optimal designs can be attained by constructing a multidimensional OCIA for the two CSIT scenarios and an optimal transmitter beamforming vector. Our optimal structure strongly indicates that one essential task of the FAI designs for MSM-SWIPT is to design a multidimensional OCIA. Generally speaking, attaining a closed-form solution to the multidimensional OCIA problem with discrete and continuous mixed variables is very challenging and still remains open up to now since the corresponding problem is hard to be transformed into a tractable problem [27]. For this reason, we only give some specific results via numerical search in the following example.
Example 1.
The numerical results illustrated by Figure 2 are very similar to the rotated versions of those in [28,29], which are optimally curved from hexagonal constellation. This implies that the optimal one-dimensional complex constellation is closely related to the Hexagon lattice. We show the closed-form approximation for the results for Figure 2 in the following.
Figure 2. Rotated versions of the constellations proposed by [28,29].
1. 
L = 1 , K = 2 : D ˘ 12 = 2 and X ˘ 12 = { D ˘ 12 x : x X ¯ 12 } with
X ¯ 12 = 1 2 , 1 2 , 3 i 2 , 3 i 2 .
where i 2 = 1 and min x x ˜ , x , x ˜ X ¯ 12 | x x ˜ | = 1 .
2. 
L = 1 , K = 3 : D ˘ 13 = 64 69 and X ˘ 13 = { D ˘ 13 x : x X ¯ 13 } where
X ¯ 13 = 3 i 8 , 7 3 i 8 , 1 2 + 5 3 i 8 , 1 2 5 3 i 8 , 1 2 3 3 i 8 , 1 2 3 3 i 8 , 1 + 3 i 8 , 1 + 3 i 8 .
and min x x ˜ , x , x ˜ X ¯ 13 | x x ˜ | = 1 .
3. 
L = 1 , K = 4 : D ˘ 14 = 16 35 and X ˘ 14 = { D ˘ 14 x : x X ¯ 14 } where
X ¯ 14 = 7 i 4 , 3 i 4 , i 4 , 5 i 4 , 3 2 + 5 i 4 , 3 2 + i 4 , 3 2 3 i 4 , 3 2 7 i 4 , 3 2 + 5 i 4 , 3 2 + i 4 , 3 2 3 i 4 , 3 i 4 , 3 + 3 i 4 , 3 i 4 , 3 + 3 i 4 .
and min x x ˜ , x , x ˜ X ¯ 14 | x x ˜ | = 1 .
4. 
L = 1 , K = 5 : D ˘ 15 = 128 565 and X ˘ 15 = { D ˘ 15 x : x X ¯ 15 } where
X ¯ 15 = ± i 2 + 4 i 35 , ± 3 i 2 + 4 i 35 , ± 5 i 2 + 4 i 35 , ± 3 2 + 4 i 35 , ± 3 2 + 39 i 35 , ± 3 2 31 i 35 , ± 3 2 + 74 i 35 , ± 3 2 2 i , ± 3 3 2 + i , ± 3 3 2 + 31 i 35 , ± 3 3 2 + 4 i 35 , ± 3 + 43 i 70 , ± 3 27 i 35 , ± 3 + 113 i 70 , ± 3 97 i 70 , ± 3 , 167 i 70 .
and min x x ˜ , x , x ˜ X ¯ 15 | x x ˜ | = 1 .
We notice that when the CSIT uncertainty is ignored, we can analytically compare the error performance for our optimal designs with the existing PSK and QAM. To show the error performance advantage over PSK and QAM, we consider the optimal design examples in Example 1. For the communication community, it is well known that when we fix the average power of a transmitted constellation to be one, their error performance can be compared by comparing their MEDs in the high SNR regime. For example, if the MEDs of two constellation schemes, A and B, are given by a and b, then there is an error performance advantage of 20 lg 10 ( a / b ) . Therefore, when we ignore the CSIT uncertainty, we can compare our optimal designs with PSK and QAM. It can be computed that for QPSK, 8PSK, and 16PSK, the corresponding MEDs are given by 1.414, 0.7654 and 0.2760. We can also attain that the MEDs of 4QAM, 8QAM, and 16QAM are computed by 1.414, 0.5345 and 0.4472. Therefore, for 4-order, 8-order and 16-order modulation, the error performance advantage of our optimal designs in Example 1 over PSK can be determined by 0 dB, 1.996 dB, and 7.78 dB, and those over QAM are 0 dB, 5.114 dB, and 3.59 dB, respectively. Therefore, we can safely arrive at the conclusion that from the error performance with CSIT ignored, our optimal designs can remarkably outperform the existing high-order PSK and QAM in high SNR regimes. This conclusion can be verified by compute simulations as illustrated by Figure 3.
Figure 3. Average symbol error rate comparison of proposed OCIA, QAM and PSK.

4. Finite-Alphabet Rate–Energy–Uncertainty Tradeoff for MISO-MS

In the last section, we established the COST structures for two CSIT conditions. These structures are closely related to the channel uncertainty, rate and harvested energy. The current available works focus on how to numerically solve the corresponding beamforming designs. However, up to now, the influence that the channel uncertainty has on the overall performance of IR and EH has been unknown. The established COST structures have provided a fundamental basis for us to further investigate the tradeoff called FREUT. In this section, we will present useful insight into this issue via an analytical investigation for a specific CSIT uncertainty model E u = { Δ u : Δ u H Σ u Δ u ϵ u , Δ u C N × 1 } .

4.1. Feasibility of FREUT for Imperfect CSIT

Since the feasibility of the COST structure for the imperfect CSIT in Theorem 1 depends on the CSIT uncertainty levels, the corresponding FREUT may be unavailable for all ϵ u . Therefore, we first study the feasibility of S ˘ imp . We observe that
min Δ u H Σ u Δ u ϵ u ρ u | ( h u + Δ u ) H w | 2 ρ u σ A , u 2 + σ E , u 2 ρ u | h u H w | 2 ρ u σ A , u 2 + σ E , u 2 .
This observation tells us that min Δ u E u min 1 u U ρ u | ( h u + Δ u ) H w | 2 ρ u σ A , u 2 + σ E , u 2 > 0 produces min 1 u U ρ u | h u H w | 2 ρ u σ A , u 2 + σ E , u 2 > 0 . Therefore, to assure a non-zero received MED at the receiver side of ID, it is required that min Δ u E u min 1 u U ρ u | ( h u + Δ u ) H w | 2 ρ u σ A , u 2 + σ E , u 2 > 0 . In the following, we provide a necessary and sufficient condition on the feasibility of the COST for imperfect CSIT.
Theorem 3
(FREUT—Feasibility Decision Theorem). The feasibility of the COST for the imperfect CSIT is available, say,
max w 2 2 = 1 min Δ u H Σ u Δ u ϵ u ρ u | ( h u + Δ u ) H w | 2 ρ u σ A , u 2 + σ E , u 2 > 0
if W = { w : w 2 2 = 1 , | h u H w | 2 > max Δ u H Σ u Δ u ϵ u | Δ u H w | 2 2 , 1 u U } . Furthermore,
max w 2 2 = 1 min 1 u U min Δ u H Σ u Δ u ϵ u ρ u | ( h u + Δ u ) H w | 2 ρ u σ A , u 2 + σ E , u 2 = max w W min 1 u U min Δ u H Σ u Δ u ϵ u ρ u | ( h u + Δ u ) H w | 2 ρ u σ A , u 2 + σ E , u 2 .
The proof is given in Appendix C.
Theorem 4
(FREUT—Feasibility Region). Let λ min , u denote the smallest eigenvalue of Σ u for 1 u U . Then, for any given h u and ϵ u 0 , W if max w 2 2 = 1 min 1 u U λ min , u ϵ u | h u H w | 2 > 1 . Furthermore, if Σ u = I , then, W is equivalent to max w 2 2 = 1 min 1 u U 1 ϵ u | h u H w | 2 > 1 .
Whose proof is provided in Appendix C.1. This theorem has given us an upper bound on the channel uncertainty, beyond which the feasibility of the COST transmission motivated by imperfect CSIT cannot be assured. This important conclusion allows us to characterize FREUT for MSM-SWIPT systems in the next subsection.

4.2. Characterization of FREUT for MSM-SWIPT

In the subsection, we formally present the fundamental tradeoff called FREUT among finite-alphabet rate, EH and CSIT uncertainty. The main results are revealed in the following theorem.
Theorem 5.
Let σ A , u 2 = σ A 2 , σ E , u 2 = σ E 2 , E u = { Δ u : Δ u 2 2 ϵ } , ρ u = ρ and τ u = τ . Then, subproblem 1.1 is feasible if and only if 0 ϵ < max w C N × 1 , w 2 2 = 1 min 1 u U | h u H w | 2 . Under this condition, the optimal solution to Problem 1 is determined by
w ˘ imp = arg w max w C N × 1 , w 2 2 = 1 min 1 u U | h u H w | 2 , P ˘ imp = τ / ( 1 ρ ) σ A 2 ( min 1 u U | h u H w ˘ imp | ϵ ) 2 .
Furthermore,
QoS imp = min 1 u U min Δ u 2 2 ϵ min S , S ˜ S ˘ imp , S S ˜ ρ ( h u + Δ u ) H ( S S ˜ ) 2 2 ρ σ A 2 + σ E 2 = ρ ρ σ A 2 + σ E 2 × D ˘ L K 2 P ˘ imp ( ϵ + min 1 u U | h u H w ˘ imp | ) 2 .
The detailed proof for this theorem can be found in Appendix D.
In the following, we show the main observations motivated by Theorem 5. Under the condition that 0 ϵ < max w C N × 1 , w 2 2 = 1 min 1 u U | h u H w | 2 , if we assume QoS imp QoS , then we can define the finite-alphabet tradeoff of rate, energy and uncertainty (FREUT) below. T R E U ( P ) = ( D , τ , ϵ ) : ρ × D 2 ρ σ A 2 + σ E 2 min 1 u U P ( | h u H w ˘ imp | ϵ ) 2 QoS , min 1 u U P ( | h u H w ˘ imp | ϵ ) 2 τ 1 ρ σ A 2 . , where D can be the MED of arbitrary FAI and is not necessarily equal to D ˘ L K .
To show FREUT, we give the following example.
Example 2.
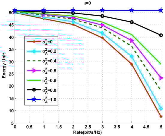
In this example, we let QoS = 3 . 1 2 = 9.61 since Q ( 3.1 ) = 0.00097 , where Q ( x ) is the Q-function for x 0 . Therefore, QoS = 3 . 1 2 can assure a pair-wise error probability that is smaller than 10 3 . For the purpose of exposition, we assume that σ E 2 + σ A 2 = 1 (following [30]) and h 1 2 2 = 2 . The transmitted power is equal to P = 50 . The FREUT is illustrated in Figure 4 and Figure 5. From these simulations, we can see that the rate–energy–uncertainty is closely related to the corresponding constellation in time dimensions. From Figure 4, we can see that if a constellation in the time dimension has higher energy efficiency, then for a given EH level τ, a larger transmission rate can be guaranteed under a QoS requirement. In addition, as illustrated by Figure 5, we can see that the EH processing noise ξ E , u dominantly influences the FREUT compared with the antenna noise ξ A , u . Interestingly, when σ A , u = 1 and σ E , u 2 = 0 , the FREUT region is a “box”; say, the optimal performance of IR and EH can be achieved simultaneously for an ideal receiver antenna. Therefore, this example suggests that the FREUT is upper-bounded and lower-bounded by that with σ A , u = 1 and σ A , u = 0 , respectively.
Figure 4. FREUT illustration for different constellations in time dimensions with δ = 1 ( 1 ϵ ) 2 . The “Hexagon” constellations are given in Example 1.
Figure 5. FREUT illustration for Hexagon with ϵ = 0 and different σ A 2 . The “Hexagon” OCIA is given in Example 1.
In addition, to explicitly present the influence of channel imperfection ϵ on the consumed power P for an EH level, we show another example.
Example 3.
Without loss of generality, we let min 1 u U P ( | h u H w ˘ imp | ϵ ) 2 = γ ( D ) , which leads us to the following relationship between P and ϵ γ ( D ) P + ϵ = min 1 u U | h u H w ˘ imp | . In Figure 6, we give the relationship between ϵ and P for the given γ ( D ) . These figures show us that for fixed QoS target and channel coefficients, the tradeoff of ϵ and 1 P is like a rotated “hyperbola”. In other words, for the same QoS target, the lower the CSIT precision, the larger the power to be consumed. Our result can provide useful insights into this issue with much practical interest and significance.
Figure 6. Tradeoff between ϵ and 1 P for γ ( D ) = 1 and u = 1 and different h 2 .

4.3. FREUT Analysis of Two-User MSM-SWIPT: When Is Imperfect CSIT Useful?

In this subsection, we consider a two-user system and present its closed-form FATUERE. Then, we derive the closed-form expression for the FREUT of two-user systems and prove an explicit condition under which imperfect CSIT can be very useful for FREUT compared with the COST for the case without CSIT.

4.3.1. Closed-Form Expression for Two-User FREUT

We first present the closed-form expression for FREUT with U = 2 . The equivalent task is to derive QoS imp (defined in Theorem 5). For presentation simplicity, we first make some preparations. Let H = [ h 1 H , h 2 H ] H . Define the QR decomposition [31,32] of H = R Q , where Q is an N × N unitary matrix and R = r 11 0 0 1 × ( N 2 ) r 21 r 22 0 1 × ( N 2 ) with h 1 2 2 = r 11 2 and h 2 2 2 = r 21 2 + r 22 2 .
For convenience, we denote r = ( r 11 , r 21 , r 22 ) T and define H 1 , H 2 and H 3 as follows.
H 1 = { r C 3 : r 22 = 0 } { r C 3 : h 1 2 2 < r 21 2 } ,
H 2 = { r C 3 : r 22 0 , h 1 2 2 r 21 2 > 1 , | r 22 | 2 h 2 2 2 / | r 21 | 2 ( h 1 2 | r 21 | ) 2 + r 22 2 > 1 } { r C 3 : r 22 0 , h 1 2 2 > r 21 2 , | r 22 | 2 × h 1 2 2 ( h 1 2 | r 21 | ) 2 + r 22 2 h 2 2 2 } ,
and
H 3 = { r C 3 : r 22 0 , h 1 2 2 > r 21 2 , | r 22 | 2 ( h 1 2 | r 21 | ) 2 + r 22 2 | r 21 | 2 h 2 2 2 } { r C 3 : r 22 0 , h 1 2 2 > r 21 2 , | r 22 | 2 × h 1 2 2 ( h 1 2 | r 21 | ) 2 + r 22 2 < h 2 2 2 } .
Theorem 6.
If σ A , 1 2 = σ A , 2 2 = σ A 2 , σ E , 1 2 = σ E , 2 2 = σ E 2 , Σ 1 = Σ 2 = I , ϵ 1 = ϵ 2 = ϵ and τ 1 = τ 2 = τ , then, w ˘ imp can be attained in the following.
1. 
r H 1 . If 0 ϵ < min ( h 1 2 2 , | r 21 | 2 ) , then, w ˘ imp = Q H ( e j θ , 0 1 × ( N 1 ) ) T , and QoS imp = ρ D ˘ L K 2 P ˘ imp ρ σ A 2 + σ E 2 × σ E 2 + P ˘ imp × ( ϵ + min ( h 1 2 , | r 21 | ) 2 .
2. 
r H 2 . If 0 ϵ < | r 22 | 2 × h 1 2 2 ( h 1 2 | r 21 | ) 2 + r 22 2 , then, w ˘ imp = Q H ( | w ˘ 1 | e j arg ( r 21 ) , | w ˘ 2 | e j arg ( r 22 ) ,
0 1 × ( N 2 ) ) T where | w ˘ 1 | = | r 22 | ( h 1 2 | r 21 | ) 2 + r 22 2 and | w ˘ 2 | = h 1 2 | r 21 | ( h 1 2 | r 21 | ) 2 + r 22 2 . and QoS imp = ρ D ˘ L K 2 P ˘ imp ρ σ A 2 + σ E 2 × ϵ + | r 22 | × h 1 2 ( h 1 2 | r 21 | ) 2 + r 22 2 2 .
3. 
r H 3 . If 0 ϵ < min ( h 2 2 2 , r 21 2 r 11 2 h 2 2 2 ) then, w ˘ imp = Q H ( | w ˘ 1 | e j arg ( r 21 ) , | w ˘ 2 | e j arg ( r 22 ) ,
0 1 × ( N 2 ) ) T where | w ˘ 1 | = | r 21 | h 2 2 and | w ˘ 2 | = | r 22 | h 2 2 . Furthermore, QoS imp = ρ D ˘ L K 2 P ˘ imp ρ σ A 2 + σ E 2 × ( ϵ + h 2 2 ) 2 .
The detailed proof is in Appendix E. The results in Theorem 6 show us both the feasibility of FREUT and its closed-form expressions. This theoretical result can provide us with useful insight. To show this, we fix r 11 = 1 and vary r 21 and r 22 .

4.3.2. When Is Imperfect CSIT Useful for FREUT?

It is known that when the uncertainty of CSIT is large, the feasibility of FREUT may be infeasible. In addition, when the CSIT uncertainty is small, the usefulness of imperfect CSIT may be vital. Therefore, it is very valuable to determine the specific condition under which imperfect CSIT is helpful for FREUT. The main results are stated in the following theorem.
Theorem 7.
Let σ A , 1 2 = σ A , 2 2 = σ A 2 , σ E , 1 2 = σ E , 2 2 = σ E 2 , Σ 1 = Σ 2 = I , ϵ 1 = ϵ 2 = ϵ , τ 1 = τ 2 = τ and N = 2 . Then, for any given σ A 2 , σ E 2 , ϵ and τ, QoS imp QoS w / o holds if one of the following three conditions is satisfied
1. 
r H 1 and min ( | r 11 | , | r 21 | ) > 2 ϵ 2 2 ;
2. 
r H 2 and | r 22 | × | r 11 | ( h 1 2 | r 21 | ) 2 + r 22 2 2 2 min ( | r 11 | , r 21 2 + r 22 2 ) ϵ ;
3. 
r H 3 and min ( r 21 2 + r 22 2 , | r 21 | × | r 11 | r 21 2 + r 22 2 ) 2 2 min ( | r 11 | , r 21 2 + r 22 2 ) ϵ .
whose proof is provided in Appendix F.
To make the main idea in the above theorem more understandable and for the convenience of exposition, we fix r 11 to be one and vary r 21 and r 22 . The numerical comparison is shown in Figure 7, which indicates that the usefulness of imperfect CSIT is closely related to the relative strength of two users’ channel coefficients. These unreported analytical observations in this section can help us to evaluate or analyze the performance of MSM-SWIPT in a systematic manner.
Figure 7. Adaptive selection between proposed COST for imperfect CSIT and Alamouti code for ϵ = 0.05 ,   r 11 = 1 and different r 21 and r 22 . Within the black-colored region, the Alamouti structure is better than proposed COST for the imperfect CSIT.

5. Conclusions

In this paper, we have investigated the impact of CSIT uncertainty on the optimal transmitted finite-alphabet signals of MSM-SWIPT systems and revealed that there exist a new fundamental tradeoff called FREUT among rate, energy and CSIT uncertainty. Unlike the existing works via numerical approaches or from the information–theoretical perspective, the main results are attained for an error performance viewpoint for the FAI. On the one hand, among all feasible sets, the COST structures with respect to the optimization of the received MED of all users for fixed EH levels have been developed. We have proved that for imperfect CSIT with bounded uncertainty, the COST transmission is rank-one with the equivalent tasks being designs of multidimensional OCIA and optimized beamformers. For the case without CSIT, the Alamouti transmission of two-dimensional OCIA turns out to be the COST structure. On the other hand, the attained COST structures have suggested a fundamental tradeoff called FREUT for MSM-SWIPT with FAI. To the best of the authors’ knowledge, this tradeoff among finite-alphabet rate, energy and uncertainty of CSIT has not been reported by the existing works. For the sphere CSIT uncertainty model, we have characterized the FREUT in closed form and verified a specific condition under which imperfect CSIT can be verified as useful for the FREUT of MSM-SWIPT. This rate–energy–uncertainty tradeoff achievable by a scheme is a fundamental and more practical measure of the performance for MSM-SWIPT with FAI and imperfect CSIT. Our framework for the finite-alphabet signal structures and rate–energy–uncertainty tradeoff is useful for evaluating and comparing the existing schemes as well as motivating useful insights for designing new schemes for other systems related to SWIPT.

Author Contributions

Methodology, T.Y.; Formal analysis, Y.Z.; Writing—original draft, R.W. All authors have read and agreed to the published version of the manuscript.

Funding

This research received no external funding.

Data Availability Statement

Data are contained within the article.

Acknowledgments

The authors wish to thank the anonymous reviewers for their valuable suggestions.

Conflicts of Interest

The authors declare no conflicts of interest.

Appendix A. Proof of Theorem 1

For convenience, we define the following W h = min 1 u U min Δ u E u ρ u × | h u H w ˘ imp | 2 ρ u σ A , u 2 + σ E , u 2 and D ˘ L K = min x , x ˜ X ˘ L K , x x ˜ x x ˜ 2 2 . Then, we claim that for any constellation S C N × L of size 2 K satisfying 1 L × 2 K S S S F 2 = P and 1 L × 2 K × S S min Δ u E u ( h u + Δ u ) H S 2 2 + σ A , u 2 τ u 1 ρ u for 1 i U , it holds that
min 1 u U min Δ u E u min S , S ˜ S , S S ˜ ρ u ( h u + Δ u ) H ( S S ˜ ) 2 2 ρ u σ A , u 2 + σ E , u 2 P × W h × D ˘ L K .
To prove this claim by contradiction, we assume that there exists a size- 2 K constellation S ^ C N × L satisfying 1 L × 2 K S S ^ S F 2 = P , min 1 u U min Δ u E u min S , S ˜ S ^ , S S ˜ ρ u ( h u + Δ u ) H ( S S ˜ ) 2 2 ρ u σ A , u 2 + σ E , u 2 > P × W h × D ˘ L K and 1 L × 2 K × S S ^ min Δ u E u ( h u + Δ u ) H S 2 2 + σ A , u 2 τ u 1 ρ u for 1 i U . Then, for any given u and Δ u satisfying Δ u E u , it holds that
min Δ u E u min S , S ˜ S ^ , S S ˜ ρ u ( h u + Δ u ) H ( S S ˜ ) 2 2 ρ u σ A , u 2 + σ E , u 2 > P × W h × D ˘ L K
and
min Δ u E u S S ^ ( h u + Δ u ) H S 2 2 L × 2 K + σ A , u 2 τ u 1 ρ u .
On the one hand, we observe that { ρ u ρ u σ A , u 2 + σ E , u 2 × min Δ u E u ( h u + Δ u ) H S , S S ^ } is an L-dimensional complex-valued constellation of size 2 K . Then, from the definition of D ˘ L K , we know that to assure (A2), it is required that 1 L × 2 K S S ^ min Δ u E u ρ u × ( h u + Δ u ) H S ρ u σ A , u 2 + σ E , u 2 2 2 > P × W h . In addition, we also observe the following
S S ^ min Δ u E u ( h u + Δ u ) H S 2 2 = S = [ s 1 , , s L ] S ^ = 1 L min Δ u E u | ( h u + Δ u ) H s | 2 .
For S = [ s 1 , , s L ] S ^ , we define w s by w s = s s 2 , where w s 2 2 = 1 . Then, the inequality (A4) can be rewritten into what follows.
1 L × 2 K S S ^ min Δ u E u ( h u + Δ u ) H S 2 2 max S = [ s 1 , , s L ] S ^ | ( h u + Δ u ) H w s | 2 × 1 L × 2 K = 1 L S = [ s 1 , , s L ] S ^ s 2 2 = P × max S = [ s 1 , , s L ] S ^ min Δ u E u | ( h u + Δ u ) H w s | 2 .
By combining (A2)–(A5), we can attain the following
min 1 u U max S = [ s 1 , , s L ] S ^ min Δ u E u ρ u | ( h u + Δ u ) H w s | 2 ρ u σ A , u 2 + σ E , u 2 > W h .
In addition, we can always have
min 1 u U max S = [ s 1 , , s L ] S ^ min Δ u E u ρ u | ( h u + Δ u ) H w s | 2 ρ u σ A , u 2 + σ E , u 2 max w 2 2 = 1 , w C N × 1 min 1 u U min Δ u E u ρ u | ( h u + Δ u ) H w | 2 ρ u σ A , u 2 + σ E , u 2
which implies that there exists an N-dimensional vector w C N satisfying w 2 2 = 1 such that
min 1 u U min Δ u E u ρ u | ( h u + Δ u ) H w | 2 ρ u σ A , u 2 + σ E , u 2 > W h .
On the other hand, from the constraint that 1 L × 2 K × S S ^ min Δ u E u ( h u + Δ u ) H S 2 2 + σ A , u 2 τ u 1 ρ u , we also observe that
S S ^ min Δ u E u ( h u + Δ u ) H S 2 2 = S = [ s 1 , , s L ] S ^ = 1 L min Δ u E u | ( h u + Δ u ) H s | 2 .
For S = [ s 1 , , s L ] S ^ , we define w ¯ s by w ¯ s = s s 2 , where w ¯ s 2 2 = 1 . Then, the equality (A7) can be upper bounded by what follows.
S = [ s 1 , , s L ] S ^ = 1 L min Δ u E u | ( h u + Δ u ) H s | 2 max S = [ s 1 , , s L ] S ^ min Δ u E u | ( h u + Δ u ) H w ¯ s | 2 × 1 L × 2 K = 1 L S = [ s 1 , , s L ] S ^ s 2 2 P × max S = [ s 1 , , s L ] S ^ min Δ u E u | ( h u + Δ u ) H w ¯ s | 2 .
By combining (A3) and (A8), we arrive at
P × max S = [ s 1 , , s L ] S ^ min Δ u E u | ( h u + Δ u ) H w ¯ s | 2 τ u 1 ρ u .
By recalling the definition of w ˘ imp , we know that there exists no w such that min 1 u U ρ u ρ u σ A , u 2 + σ E , u 2 × min Δ u E u | ( h u + Δ u ) H w | 2 > W h and
P × min 1 u U min Δ u E u | ( h u + Δ u ) H w | 2 + σ A , u 2 τ u 1 ρ u .
This observation implies that (A6) and (A9) cannot be true simultaneously. Therefore, we attain a contradiction and consequently, our assumption in (A2) is not true. Then, our claim in (A1) indeed holds, which gives us an upper bound on the worst-case MED.
Now, we prove that the upper bound in (A1) can be achieved by S ˘ imp and P ˘ imp . By computations, we can have ( h u + Δ u ) H S = P ˘ imp ( h u + Δ u ) H w ˘ imp x = P ˘ imp | ( h u + Δ u ) H w ˘ imp | × x T , where x X ˘ L K . Then, we can compute that
min 1 u U min Δ u E u min S , S ˜ S ˘ imp , S S ˜ ρ u ( h u + Δ u ) H ( S S ˜ ) 2 2 ρ u σ A , u 2 + σ E , u 2 = min 1 u U min Δ u E u P ˘ imp ρ u | ( h u + Δ u ) H w ˘ imp | 2 ρ u σ A , u 2 + σ E , u 2 × min x , x ˜ X ˘ L K , x x ˜ x x ˜ 2 2 = P ˘ imp × W h × D ˘ L K
and
S S ˘ imp min Δ u E u ( h u + Δ u ) H S 2 2 L × 2 K + σ A , u 2 = P ˘ imp min Δ u E u | ( h u + Δ u ) H w ˘ imp | 2 L × 2 K + σ A , u 2 τ u 1 ρ u .
At the same time, from (A10), we obtain the following
P max 1 u U τ u / ( 1 ρ u ) σ A , u 2 min Δ u E u | ( h u + Δ u ) H w ˘ imp | 2 P ˘ imp .
Now, it can be seen that under the condition that τ u / ( 1 ρ u ) P × min Δ u E u | ( h u + Δ u ) H w | 2 + σ A , u 2 , the upper bound in (A1) can be achieved by S ˘ imp and P ˘ imp . In other words, the optimal solution to Problem 1 is given by S ˘ imp and P ˘ imp . Therefore, the proof of Theorem 1 is complete. □

Appendix B. Proof of Theorem 2

We first establish an upper bound on the received minimum worst-case distance and prove that the established upper bound can be achieved by S ˘ w / o .
We claim that for any given ρ u and any constellation S C M × L of size 2 K satisfying 1 2 K + 1 S S S F 2 = P , it holds that
min 1 u U min h u 2 2 = ϵ u min S , S ˜ S , S S ˜ ρ u h u H S h u H S ˜ 2 2 ρ u σ A , u 2 + σ E , u 2 P D ˘ L K 2 × min 1 u U ϵ u ρ u ρ u σ A , u 2 + σ E , u 2 .
To prove by contradiction, we assume that for a given ρ u there exists S ^ C 2 × 2 of size 2 K satisfying 1 2 K + 1 S S ^ S F 2 = P such that
min 1 u U min h u 2 2 = ϵ u min S , S ˜ S ^ , S S ˜ ρ u h u H S h u H S ˜ 2 2 ρ u σ A , u 2 + σ E , u 2 > P D ˘ L K 2 × min 1 u U ϵ u ρ u ρ u σ A , u 2 + σ E , u 2 .
We observe that
min h u 2 2 = ϵ u min S , S ˜ S ^ , S S ˜ h u H S h u H S ˜ 2 2 min m = 1 , 2 min S , S ˜ S ^ , S S ˜ s m s ˜ m 2 2 × min h u 2 2 = ϵ u h u 2 2 min m = 1 , 2 min S , S ˜ S ^ , S S ˜ ϵ u s m s ˜ m 2 2
where the equality holds if h u is an N × 1 vector with only one entry of its m-th entry being ϵ u and the other entries are zeros and min h u 2 2 = ϵ u h u 2 2 = ϵ u . For simplicity, we denote P m by P m = 1 2 K ( s 1 , s 2 ) S ^ s m 2 2 . From the definition of D ˘ L K , we can have that min h u 2 2 = ϵ u min S , S ˜ S ^ , S S ˜ ρ u h u H S h u H S ˜ 2 2 ρ u σ A , u 2 + σ E , u 2 min S , S ˜ S ^ , S S ˜ ϵ u ρ u s m s ˜ m 2 2 ρ u σ A , u 2 + σ E , u 2 ϵ u ρ u P m D ˘ L K ρ u σ A , u 2 + σ E , u 2 and thus,
min 1 u U min h u 2 2 = ϵ u min S , S ˜ S ^ , S S ^ ρ u h u H S h u H S ˜ 2 2 ρ u σ A , u 2 + σ E , u 2 D ˘ L K × min m = 1 , 2 P m × min 1 u U ϵ u ρ u ρ u σ A , u 2 + σ E , u 2 P D ˘ L K 2 min 1 u U ϵ u ρ u ρ u σ A , u 2 + σ E , u 2 .
On the other hand, from the constraint that min h u 2 2 = ϵ u 1 2 K + 1 S S h u H S 2 2 τ u 1 ρ u σ A , u 2 and by following the techniques used for attaining (A13), we can obtain
ρ u 1 τ σ A , u 2 + P ϵ u 2 = ρ u .
In addition, from from the monotonically increasing property of x x + c with respect to x for x 0 and c > 0 , we can have that ρ u ρ u σ A , u 2 + σ E , u 2 ρ u ρ u σ A , u 2 + σ E , u 2 . Combining this inequality and (A14) yields
min 1 u U min h u 2 2 = ϵ u min S , S ˜ S ^ , S S ^ ρ u h u H S h u H S ˜ 2 2 ρ u σ A , u 2 + σ E , u 2 P D ˘ L K 2 × min 1 u U ϵ u ρ u ρ u σ A , u 2 + σ E , u 2
which contradicts the assumption in (A12). Therefore, our claim in (A11) is indeed true and we attain an upper bound of the received minimum worst-case distance.
In the following, we prove that the upper bound in (A11) can be achieved by S ˘ w / o and ρ u . We observe that for S , S ˜ S ˘ w / o , it holds that h u H S h u H S ˜ 2 2 = h u 2 2 × x x ˜ 2 2 . This observation leads us to the following
min 1 u U min h u 2 2 = ϵ u min S , S ˜ S ˘ w / o , S S ˜ ρ u h u H S h u H S ˜ 2 2 ρ u σ A , u 2 + σ E , u 2 = min 1 u U min h u 2 2 = ϵ u min S , S ˜ S ˘ w / o , S S ˜ P ρ u h u 2 2 x x ˜ 2 2 2 ( ρ u σ A , u 2 + σ E , u 2 ) = P D ˘ L K 2 × min 1 u U ϵ u ρ u ρ u σ A , u 2 + σ E , u 2 .
In addition, from (A15), we can have that τ σ A , u 2 + P ϵ u 2 1 . In other words, P 2 ( τ u σ A , u 2 ) ϵ u . Therefore, S ˘ w / o and P ˘ w / o , u can achieve the upper bound given by (A11) and thus, they are the optimal.
This is the complete proof of Theorem 2. □

Appendix C. Proof of Theorem 3

From the well-known Triangle Inequality, we have that | ( h u + Δ u ) H w | 2 | h u H w | | Δ u H w | 2 , where the equality holds if Δ u H w = | Δ u H w | e j arg ( h u H w ) , where Δ u n = | Δ u n | e j arg ( h u H w ) j arg ( w n ) . Therefore, min Δ u 2 2 ϵ u | ( h u + Δ u ) H w | 2 = min Δ u 2 2 ϵ u | h u H w | | Δ u H w | 2 .
To prove the necessary condition by condition, we assume that W = . Then, there must exist at least one u ¯ such that | h u ¯ H w | 2 max Δ u ¯ H Σ u ¯ Δ u ¯ ϵ u ¯ Δ w ¯ H w 2 . In addition, we observe that min 1 u U min Δ u H Σ u Δ u ϵ u | h u H w | | Δ u H w | = min Δ u H Σ u Δ u ϵ u ¯ | h u ¯ H w | | Δ u ¯ H w | . Since | h u ¯ H w | 2 max Δ u ¯ H Σ u ¯ Δ u ¯ ϵ u ¯ | Δ w ¯ H w | 2 , we can find one Δ u ¯ such that min Δ u H Σ u Δ u ϵ u ¯ | h u ¯ H w | | Δ u ¯ H w | = 0 . Then, from the definition of W , we can attain that if W = , then, min 1 u U ϵ u | h u H w | 0 and thus, min 1 u U min Δ u H Σ u Δ u ϵ u | h u H w | | Δ u H w | 2 = 0 , which implies that the necessary condition holds.
Now, we prove the sufficient condition. If W , then, for w W , | h u H w | 2 > max Δ u ¯ H Σ u ¯ Δ u ¯ ϵ u ¯ | Δ u ¯ H w | 2 | Δ u H w | 2 . As a result,
max w W min 1 u U min Δ u 2 2 ϵ u | h u H w | | Δ u H w | max w W min 1 u U | h u H w | max Δ u ¯ H Σ u ¯ Δ u ¯ ϵ u ¯ | Δ w ¯ H w | > 0 .
Consequently,
max w 2 2 = 1 min 1 u U min Δ u ¯ H Σ u ¯ Δ u ¯ ϵ u | h u H w | | Δ u H w | max w W min 1 u U | h u H w | max Δ u ¯ H Σ u ¯ Δ u ¯ ϵ u ¯ | Δ u ¯ H w | > 0 .
Therefore, the sufficient condition holds.
Furthermore, by following the same techniques as those for the necessary condition proof, we can conclude that max w W , w 2 2 = 1 min 1 u U min Δ u ¯ H Σ u ¯ Δ u ¯ ϵ u ρ u | ( h u + Δ u ) H w | 2 ρ u σ A , u 2 + σ E , u 2 = 0 and furthermore verify that
max w 2 2 = 1 min 1 u U min Δ u H Σ u Δ u ϵ u ρ u | ( h u + Δ u ) H w | 2 ρ u σ A , u 2 + σ E , u 2 = max w W min 1 u U min Δ u ¯ H Σ u ¯ Δ u ¯ ϵ u ρ u | ( h u + Δ u ) H w | 2 ρ u σ A , u 2 + σ E , u 2
indeed holds. Therefore, this is the complete proof of Theorem 3. □

Appendix C.1. Proof of Theorem 4

We notice that Δ u H Σ u Δ u λ min , u Δ u 2 2 . Then, Δ u H Σ u Δ u ϵ u leads to Δ u 2 2 ϵ u λ min , u . We also notice that | Δ u H w | 2 2 Δ u 2 2 w 2 2 = Δ u 2 2 ϵ u λ min , u . Therefore, if | h u H w | 2 > ϵ u λ min , u ; then, | h u H w | 2 > ϵ u λ min , u max Δ u H Σ u Δ u ϵ u | Δ u H w | 2 2 , say, W . Therefore, | h u H w | 2 > ϵ u λ min , u (equivalent to min 1 u U λ min , u ϵ u | h u H w | 2 > 1 ) is sufficient.
If Σ u = I implying λ min , u = 1 , then | h u H w | 2 > ϵ u λ min , u is equivalent to min 1 u U 1 ϵ u | h u H w | 2 > 1 . Therefore, for Σ u = I , we only need to prove the necessary condition.
To prove the necessary condition by contradiction, we assume that max w 2 2 = 1 min 1 u U 1 ϵ u | h u H w | 2 1 . Under this assumption, for all w satisfying w 2 2 = 1 , min 1 u U 1 ϵ u | h u H w | 2 1 , which is equivalent to W = { w : w 2 2 = 1 , | h u H w | 2 > ϵ u , 1 u U } . Therefore, the necessary condition holds.
This is the complete proof of Theorem 4. □

Appendix D. Proof of Theorem 5

Proof of Statement 1:
From Theorem 3, we know max w 2 2 = 1 min 1 u U min Δ u 2 2 ϵ u | ( h u + Δ u ) H w | 2 = max w W min 1 u U min Δ u 2 2 ϵ | ( h u + Δ u ) H w | 2 . Then,
max w 2 2 = 1 min 1 u U min Δ u 2 2 ϵ | ( h u + Δ u ) H w | 2 = max w W min 1 u U min Δ u 2 2 ϵ | ( h u + Δ u ) H w | 2 max 1 u U max w W min 1 u U min Δ u 2 2 ϵ | ( h u + Δ u ) H w | 2 = max w W min 1 u U min Δ u 2 2 ϵ | ( h u + Δ u ) H w | 2 .
By following the same techniques to those used for proving Theorem 3, we can obtain
max w W min 1 u U min Δ u 2 2 ϵ | ( h u + Δ u ) H w | = max w W min 1 u U min Δ u 2 2 ϵ | h u H w | | Δ u H w |
where the last equality results from the definition of W . In addition, | Δ u H w | Δ u 2 w 2 = ϵ . Then, min Δ u 2 2 ϵ | h u H w | | Δ u H w | = min Δ u 2 2 ϵ | h u H w | ϵ . Combining this result with (A17), we can attain that max w W min 1 u U min Δ u 2 2 ϵ | ( h u + Δ u ) H w | = ϵ + max w W min 1 u U | h u H w | ϵ + D ˜ where D ˜ = max w 2 2 = 1 min 1 u U | h u H w | . Here, max w W min 1 u U | h u H w | = D ˜ can be proved by the definition of W . Therefore, we attain the following
max w W min 1 u U min Δ u 2 2 ϵ | ( h u + Δ u ) H w | = ϵ + D ˜ .
In addition, from the constraint that P × min Δ u 2 2 ϵ u | ( h u + Δ u ) H w | 2 + σ A 2 τ 1 ρ and (A18), we can have
P ( τ 1 ρ σ E 2 ) / ( ϵ + D ˜ ) 2 .
Putting (A16), (A18) and (A19) together yields
max w 2 2 = 1 min 1 u U min Δ u 2 2 ϵ u | ( h u + Δ u ) H w | 2 | D ˜ ϵ | 2 .
In the following, we prove that the upper-bound in (A20) can be achieved by ρ and w ˘ imp . On the one hand, by computations, we can obtain that
min 1 u U min Δ u 2 2 ϵ | ( h u + Δ u ) H w ˘ imp | 2 = min 1 u U | h u H w ˘ imp | ϵ 2 .
From the fact that max w W min 1 u U | h u H w | = D ˜ , it holds that | h u H w ˘ imp | ϵ > 0 for 1 u U . Then, (A21) can be rewritten into what follows. min 1 u U min Δ u 2 2 ϵ | ( h u + Δ u ) H w ˘ imp | 2 = min 1 u U | h u H w ˘ imp | ϵ 2 = ( D ˜ ϵ ) 2 , which suggests that w ˘ imp indeed achieves the upper bound in (A18). Therefore, w ˘ imp is indeed the optimal solution to subproblem 1.1. This is the complete proof of Statement 1. □
Proof of Statement 2:
Under condition that σ A , u 2 = σ A 2 , σ E , u 2 = σ E 2 , ϵ u = ϵ , τ u = τ , we have that W = { w : w 2 2 = 1 , max 1 u U | h u H w | 2 > ϵ } . From the conclusion in Theorem 3, if ϵ max w C N × 1 , w 2 2 = 1 min 1 u U | h u H w | 2 , then max w C N × 1 , w 2 2 = 1 min 1 u U | h u H w | 2 = 0 . This is the complete proof of Statement 2 as well as that of Theorem 5. □

Appendix E. Proof of Theorem 6

From Theorem 5, the equivalent task for the proof is to determine w ˘ = arg w max w C N × 1 , w 2 2 = 1 min 1 u U | h u H w | 2 .
Let w ^ = Q w . Then, | h 1 H w | = h 1 2 × | w ^ 1 | and | h 2 H w | = | r 21 * w ^ 1 + r 22 * w ^ 2 | | r 21 * w ^ 1 | + | r 22 * w ^ 2 | = | r 21 | × | w ^ 1 | + | r 22 | × | w ^ 2 | | r 21 | × | w ^ 1 | + | r 22 | 1 | w ^ 1 | 2 , where the first equality holds if arg ( w ^ 1 ) = arg ( h 1 ) , arg ( w ^ 2 ) = arg ( h 2 ) and | w ^ 2 | = 1 | w ^ 1 | 2 . Then, our discussions fall into the following cases.
(1) r 22 = 0 . In this case, min ( | h 1 H w | , | h 2 H w | ) min ( h 1 2 × | w ^ 1 | , | r 21 | × | w ^ 1 | ) min ( h 1 2 , | r 21 | ) , where the equality holds if | w ^ 1 | = 1 . Therefore, if r 22 = 0 , then the optimal solution to subproblem 1.1 is given by w ˘ = Q H ( e j θ , 0 1 × ( N 1 ) ) T with θ [ 0 , 2 π ] .
(2) r 22 0 and h 1 2 2 < r 21 2 . Under this condition, h 1 2 × | w ^ 1 | | r 21 | × | w ^ 1 | + | r 22 | 1 | w ^ 1 | 2 always holds for any | w 1 | 2 + | w 2 | 2 1 . Therefore, min ( | h 1 H w | , | h 2 H w | ) h 1 2 × | w ^ 1 | h 1 2 , where the equality holds if | w ^ 1 | = 1 . Consequently, for the case with r 22 0 and h 1 2 2 < r 21 2 , the optimal solution to subproblem 1.1 is given by w ˘ = Q H ( e j θ , 0 1 × ( N 1 ) ) T with θ [ 0 , 2 π ] .
(3) r 22 0 and h 1 2 2 r 21 2 . In this circumstance, we consider the following two cases.
  • h 1 2 × | w ^ 1 | | r 21 | × | w ^ 1 | + | r 22 | 1 | w ^ 1 | 2 . In this case, ( h 1 2 | r 21 | ) × | w ^ 1 | | r 22 | 1 | w ^ 1 | 2 and hence, | w ^ 1 | | r 22 | ( h 1 2 | r 21 | ) 2 + r 22 2 . As a result, min ( | h 1 H w | , | h 2 H w | ) h 1 2 × | w ^ 1 | | r 22 | × h 1 2 ( h 1 2 | r 21 | ) 2 + r 22 2 , where the equality holds if | w ^ 1 | = | r 22 | ( h 1 2 | r 21 | ) 2 + r 22 2 and | w ^ 2 | = | h 1 2 | r 21 | ( h 1 2 | r 21 | ) 2 + r 22 2 .
  • h 1 2 × | w ^ 1 | > | r 21 | × | w ^ 1 | + | r 22 | 1 | w ^ 1 | 2 . Under this condition, we can have that | r 22 | ( h 1 2 | r 21 | ) 2 + r 22 2 < | w ^ 1 | 1 . Then, min ( | h 1 H w | , | h 2 H w | ) | r 21 | × | w ^ 1 | + | r 22 | 1 | w ^ 1 | 2 . By computations, we can verify that | r 21 | × | w ^ 1 | + | r 22 | 1 | w ^ 1 | 2 is monotonically increasing with respect to | w ^ 1 | over ( 0 , | r 21 | h 2 2 ) and monotonically decreasing with respect to | w ^ 1 | over ( | r 21 | h 2 2 , 1 ) . Then, our discussions fall into the following two subcases:
    (a)
    | r 22 | ( h 1 2 | r 21 | ) 2 + r 22 2 | r 21 | h 2 2 . In this case, min ( | h 1 H w | , | h 2 H w | ) | r 21 | × | w ^ 1 | + | r 22 | 1 | w ^ 1 | 2 | r 21 | 2 h 2 2 + | r 22 | 2 h 2 2 = h 2 2 .
    (b)
    If | r 22 | ( h 1 2 | r 21 | ) 2 + r 22 2 > | r 21 | h 2 2 , then, min ( | h 1 H w | , | h 2 H w | ) | r 22 | × h 1 2 ( h 1 2 | r 21 | ) 2 + r 22 2 .
    Therefore, under condition that r 22 0 and h 1 2 2   r 21 2 , we can arrive at the following.
    (a)
    If | r 22 | ( h 1 2 | r 21 | ) 2 + r 22 2 > | r 21 | h 2 2 or | r 22 | × h 1 2 ( h 1 2 | r 21 | ) 2 + r 22 2 h 2 2 , then the optimal solution to subproblem 1.1 is given by w ˘ = Q H ( | w ˘ 1 | e j arg ( r 21 ) , | w ˘ 2 | e j arg ( r 22 ) ,
    0 1 × ( N 2 ) ) T where | w ˘ 1 | = | r 22 | ( h 1 2 | r 21 | ) 2 + r 22 2 and | w ˘ 2 | = h 1 2 | r 21 | ( h 1 2 | r 21 | ) 2 + r 22 2 .
    (b)
    If | r 22 | × h 1 2 ( h 1 2 | r 21 | ) 2 + r 22 2 < h 2 2 , then the optimal solution to subproblem 1.1 is given by w ˘ = Q H ( | w ˘ 1 | e j arg ( r 21 ) , | w ˘ 2 | e j arg ( r 22 ) , 0 1 × ( N 2 ) ) T where θ [ 0 , 2 π ] , | w ˘ 1 | = | r 21 | h 2 2 and | w ˘ 2 | = | r 22 | h 2 2 .
This is the complete proof of Statement 2 as well as Theorem 6. □

Appendix F. Proof of Theorem 7

From Theorems 2 and 5, we can have that max min u = 1 , 2 min h u 2 2 = ϵ min S , S ˜ S , S S ˜ h u H ( S S ˜ ) 2 2 > max min u = 1 , 2 min h u 2 2 = ϵ min S , S ˜ S , S S ˜ h u H ( S S ˜ ) 2 2 is equivalent to
( ϵ + min u = 1 , 2 | h u H w ˘ imp | ) 2 > min ( h 1 2 2 , h 2 2 2 ) / 2
which produces
ϵ + min u = 1 , 2 | h u H w ˘ imp | > min ( | r 11 | , h 2 2 ) .
According to Theorem 5, our discussion for (A23) falls into the following three cases.
(1) r H 1 . For r 22 = 0 , (A23) and min ( | r 11 | , | r 21 | ) > 2 ϵ 2 2 are equivalent. If r 22 0 and | r 11 | | r 21 | , then (A23) gives min ( | r 11 | , | r 21 | ) 2 2 min ( | r 11 | , h 2 2 ) r a c 2 2 2 × | r 11 | ϵ , which is equivalent to | r 11 | > 2 ϵ 2 2 . Then, for r H 1 , we can conclude that min ( | r 11 | , | r 21 | ) > 2 ϵ 2 2 assures (A23).
(2) r H 2 . In this situation, (A23) and | r 22 | × | r 11 | ( h 1 2 | r 21 | ) 2 + r 22 2 2 2 min ( | r 11 | , h 2 2 ) ϵ are identical.
(3) r H 3 . Here, min ( h 2 2 , | r 21 | × | r 11 | h 2 2 ) 2 2 min ( | r 11 | , h 2 2 ) ϵ implies (A23).
Therefore, this is the complete proof of Theorem 7. □

References

  1. Sidiropoulos, N.D.; Davidson, T.N.; Luo, Z.Q. Transmit beamforming for physical-layer multicasting. IEEE Trans. Signal Process. 2012, 54, 2239–2251. [Google Scholar] [CrossRef]
  2. Dai, M.; Clerckx, B. Hybrid Precoding for Physical Layer Multicasting. IEEE Commun. Lett. 2016, 20, 228–231. [Google Scholar] [CrossRef][Green Version]
  3. Erol-Kantarci, M.; Mouftah, H.T. Suresense: Sustainable wireless rechargeable sensor networks for the smart grid. IEEE Wireless Commun. 2012, 19, 30–36. [Google Scholar] [CrossRef]
  4. Erol-Kantarci, M.; Mouftah, H.T. DRIFT: Differentiated RF Power Transmission for Wireless Sensor Network deployment in the smart grid. In Proceedings of the 2012 IEEE Globecom Workshops, Atlanta, GA, USA, 9–13 December 2013; pp. 1491–1495. [Google Scholar]
  5. Erol-Kantarci, M.; Mouftah, H.T.; Lyu, W.; Xiu, Y.; Zhao, J.; Zhang, Z. Optimizing the Age of Information in RIS-Aided SWIPT Networks. IEEE Trans. Veh. Technol. 2023, 72, 2615–2619. [Google Scholar]
  6. Kang, J.M.; Kim, I.M.; Kim, D.I. Joint Tx Power Allocation and Rx Power Splitting for SWIPT System with Multiple Nonlinear Energy Harvesting Circuits. IEEE Wireless Commun. Lett. 2019, 8, 53–56. [Google Scholar] [CrossRef]
  7. Jang, H.H.; Choi, K.W.; Kim, D.I. Novel Frequency-Splitting SWIPT for Overcoming Amplifier Nonlinearity. IEEE Wireless Commun. Lett. 2020, 9, 826–829. [Google Scholar] [CrossRef]
  8. Liu, C.; Zhang, L.; Chen, Z.; Li, S. Outage Probability Analysis in Downlink SWIPT-Assisted Cooperative NOMA Systems. J. Commun. Inf. Netw. 2022, 7, 72–87. [Google Scholar] [CrossRef]
  9. Clerckx, B.; Zawawi, Z.B.; Huang, K. Wirelessly Powered Backscatter Communications: Waveform Design and SNR-Energy Tradeoff. IEEE Commun. Lett. 2017, 21, 2234–2237. [Google Scholar] [CrossRef]
  10. Krikidis, I.; Timotheou, S.; Nikolaou, S.; Zheng, G.; Ng, D.W.K.; Schober, R. Simultaneous wireless information and power transfer in modern communication systems. IEEE Commun. Mag. 2014, 52, 104–110. [Google Scholar] [CrossRef]
  11. Amor, S.B.; Perlaza, S.M.; Krikidis, I.; Poor, H.V. Feedback Enhances Simultaneous Wireless Information and Energy Transmission in Multiple Access Channels. IEEE Trans. Inf. Theory 2016, 63, 5244–5265. [Google Scholar] [CrossRef]
  12. Luo, Z.Q.; Sidiropoulos, N.D.; Tseng, P.; Zhang, S. Approximation Bounds for Quadratic Optimization with Homogeneous Quadratic Constraints. SIAM J. Optim. 2007, 18, 1–28. [Google Scholar] [CrossRef]
  13. Khandaker, M.R.A.; Wong, K.K. SWIPT in MISO Multicasting Systems. IEEE Wirel. Commun. Lett. 2014, 3, 277–280. [Google Scholar] [CrossRef]
  14. Wu, S.X.; So, M.C.; Ma, W.K. Rank-two transmit beamformed Alamouti space-time coding for physical-layer multicasting. In Proceedings of the 2012 IEEE International Conference on Acoustics, Speech and Signal Processing (ICASSP), Kyoto, Japan, 25–30 March 2012; pp. 2793–2796. [Google Scholar]
  15. Wu, S.X.; Ma, W.K.; So, M.C. Physical-Layer Multicasting by Stochastic Transmit Beamforming and Alamouti Space-Time Coding. IEEE Trans. Signal Process. 2013, 61, 4230–4245. [Google Scholar] [CrossRef]
  16. Zhu, B.; Ge, J.; Huang, Y.; Yang, Y.; Lin, M. Rank-Two Beamformed Secure Multicasting for Wireless Information and Power Transfer. IEEE Signal Process. Lett. 2014, 21, 199–203. [Google Scholar] [CrossRef]
  17. Wu, S.X.; Li, Q.; Ma, W.K.; So, M.C. Robust transmit designs for an energy harvesting multicast system. In Proceedings of the 2014 IEEE International Conference on Acoustics, Speech and Signal Processing (ICASSP), Florence, Italy, 4–9 May 2014; pp. 4748–4752. [Google Scholar]
  18. Ng, D.W.K.; Lo, E.S.; Schober, R. Robust Beamforming for Secure Communication in Systems With Wireless Information and Power Transfer. IEEE Trans. Wirel. Commun. 2014, 13, 4599–4615. [Google Scholar] [CrossRef]
  19. Boshkovska, E.; Ng, D.W.K.; Zlatanov, N.; Koelpin, A.; Schober, R. Robust Resource Allocation for MIMO Wireless Powered Communication Networks Based on a Non-Linear EH Model. IEEE Trans. Commun. 2016, 65, 1984–1999. [Google Scholar] [CrossRef]
  20. Lozano, A.; Tulino, A.M.; Verdu, S. Optimum power allocation for parallel Gaussian channels with arbitrary input distributions. IEEE Trans. Inf. Theory 2006, 52, 3033–3051. [Google Scholar] [CrossRef]
  21. Wu, Y.; Wang, J.B.; Wang, J.; Schober, R.; Xiao, C. Secure Transmission With Large Numbers of Antennas and Finite Alphabet Inputs. IEEE Trans. Commun. 2017, 65, 3614–3628. [Google Scholar] [CrossRef]
  22. Lu, A.A.; Gao, X.; Zheng, Y.R.; Xiao, C. Linear Precoder Design for SWIPT in MIMO Broadcasting Systems with Discrete Input Signals: Manifold Optimization Approach. IEEE Trans. Commun. 2017, 65, 2877–2888. [Google Scholar] [CrossRef]
  23. Kim, I.M.; Dong, I.K. Wireless Information and Power Transfer: Rate-Energy Tradeoff for Equi-Probable Arbitrary-Shaped Discrete Inputs. IEEE Trans. Wirel. Commun. 2016, 15, 4393–4407. [Google Scholar] [CrossRef]
  24. Clerckx, B. Wireless Information and Power Transfer: Nonlinearity, Waveform Design and Rate-Energy Tradeoff. IEEE Trans. Signal Process. 2017, 66, 847–862. [Google Scholar] [CrossRef]
  25. Alamouti, S.M. A simple transmit diversity scheme for wireless communications. IEEE J. Sel. Areas Commun. 1998, 16, 1451–1458. [Google Scholar] [CrossRef]
  26. Liang, X.B.; Xia, X.G. Nonexistence of rate one space-time blocks from generalized complex linear processing orthogonal designs for more than two transmit antennas. In Proceedings of the International Symposium on Information Theory, Washington, DC, USA, 24–29 June 2001. [Google Scholar]
  27. Gallager, R.G. Principles of Digital Communication; Cambridge University Press: Cambridge, UK, 2008; Volume 1. [Google Scholar]
  28. Foschini, G.J.; Gitlin, R.; Weinstein, S. Optimization of Two-Dimensional Signal Constellations in the Presence of Gaussian Noise. IEEE Trans. Commun. 1974, 22, 28–38. [Google Scholar] [CrossRef]
  29. Gallager, R.; Lang, G.; Longstaff, F.; Qureshi, S. Efficient Modulation for Band-Limited Channels. IEEE J. Select. Areas Commun. 2006, 2, 632–647. [Google Scholar]
  30. Zhang, R.; Ho, C.K. MIMO Broadcasting for Simultaneous Wireless Information and Power Transfer. IEEE Trans. Wirel. Commun. 2013, 12, 1989–2001. [Google Scholar] [CrossRef]
  31. Horn, R.A.; Johnson, C.R. Matrix Analysis; Cambridge University Press: Cambridge, MA, USA, 1985. [Google Scholar]
  32. Golub, G.; Loan, C.F.V. Matrix Computations, 3rd ed.; The John Hopkins University Press: Baltimore, MD, USA, 1996. [Google Scholar]
Disclaimer/Publisher’s Note: The statements, opinions and data contained in all publications are solely those of the individual author(s) and contributor(s) and not of MDPI and/or the editor(s). MDPI and/or the editor(s) disclaim responsibility for any injury to people or property resulting from any ideas, methods, instructions or products referred to in the content.

Article Metrics

Citations

Article Access Statistics

Multiple requests from the same IP address are counted as one view.