Abstract
Effectively and equitably allocating medical resources, particularly for minority groups, is a critical issue that warrants further investigation in rural hospitals. Machine learning techniques have gained significant traction and demonstrated strong performance across various fields in recent years. The determination of hyperparameters significantly influences the performance of machine learning models. Thus, this study employs Optuna, a framework specifically designed for optimizing the hyperparameters of machine learning models. Building on prior research, machine learning models with Optuna (MLOPTA) are introduced to forecast diseases of indigenous patients. The numerical results reveal that the designed MLOPTA system can accurately capture the occurrences of specified diseases. Therefore, the MLOPTA system offers a promising approach for disease forecasting. The disease forecasting results can serve as crucial references for allocating hospital resources.
1. Introduction
Despite technological advancements enhancing the quality of healthcare services, health inequalities persist, particularly in the distribution of medical resources to rural indigenous populations—a long-standing social issue. Due to their remote geographical locations and limited economic resources, these communities often struggle to access healthcare services comparable to those available in urban areas. This unequal distribution of medical resources has a profound impact on the health outcomes and overall quality of life of indigenous people.
In recent years, the rapid development of machine learning technology has sparked efforts to apply it within the medical field to better predict and analyze patterns of disease occurrence. By processing large volumes of medical data, machine learning can effectively identify key health factors and predict disease onset and progression trends. For example, machine-learning-based disease prediction models have achieved notable success in the early diagnosis of cardiometabolic disease, chronic diseases, and cancers [1,2,3]. If predictive systems are further developed, their results could serve as valuable insights for healthcare providers, supporting more efficient resource allocation.
However, the predictive performance of machine learning models is profoundly affected by the selection of hyperparameters. Hyperparameters are critical components in model design, and their proper configuration directly affects the model’s performance and predictive accuracy. Inappropriate hyperparameter selection may lead to poor model performance and even the possibility of misjudgment, potentially undermining the reliability and usability of the predictions. While numerous hyperparameter optimization (HPO) methods have been developed, many are computationally expensive and time-consuming, with their effectiveness often constrained by the nature of the hyperparameters and the complexity of the underlying problem. For instance, Grid Search (GS) is straightforward but highly time-intensive and primarily effective for categorical hyperparameters. In contrast, Genetic Algorithms (GAs) are versatile and capable of managing various types of hyperparameters without requiring optimal initialization; however, their high time complexity renders them less practical for large-scale models. Similarly, Bayesian Optimization Hyperband (BOHB) enhances parallelization efficiency, but it demands carefully selected representative subsets within restricted resources to achieve consistent and reliable performance [4]. In recent years, the widespread adoption of machine learning models and the increasing complexity of demand models have made the search for optimal hyperparameters a critical challenge. To address this, emerging optimization frameworks have been actively developed and applied, with Optuna standing out as a prominent example. This framework efficiently identifies optimal hyperparameter combinations within high-dimensional parameter spaces by leveraging user-friendly, customizable hyperparameter sampling strategies and early stopping mechanisms. As a result, it enhances model performance, establishing itself as a powerful tool in the field of hyperparameter optimization [5].
This study proposes the MLOPTA system, a disease prediction system that utilizes indigenous disease data provided by Yang et al. [6], with a focus on the top 10 most prevalent indigenous diseases. The dataset includes demographic information, drug items, doctors’ advice, and exam items, all of which are employed to perform classification tasks. Specifically, five classification algorithms are applied: support vector machine (SVM), decision tree (DT), random forest (RF), extreme gradient boosting (XGBoost), and light gradient boosting machine (LightGBM). Additionally, Optuna is used for hyperparameter optimization to further improve model performance. Finally, the study explores the potential for integrating these findings into machine learning systems for healthcare management. The primary objective of this study is to develop the MLOPTA system, which incorporates an automated hyperparameter optimization mechanism. Unlike most previous studies that focus solely on single-disease prediction, this research broadens its scope to enable the prediction of multiple diseases. The findings hold significant value for healthcare professionals by enhancing their ability to understand and manage patients’ conditions, thereby improving care and treatment outcomes. Additionally, the study serves as a valuable resource for healthcare management, providing a reference for effective resource allocation and informed decision-making. The remainder of this paper is organized as follows: Section 2 discusses the classification methods and their applications in medical data analysis. Section 3 introduces the framework for integrating classification models with hyperparameter optimization for indigenous disease prediction. Section 4 presents the numerical results, and Section 5 provides a discussion and analysis of these findings.
2. Machine Learning Applications in Medical Disease Prediction
Analyzing medical data presents numerous challenges, especially when handling unstructured data, which can be difficult to process effectively. Furthermore, inconsistencies in data collection and quality variations add layers of complexity to the analysis process. The diversity of characteristics within medical data adds to its complexity, impacting the consistency and interpretability of research findings [7,8,9]. However, machine learning models offer significant potential to address these limitations. They can aid in extracting valuable information from unstructured data by transforming it into a structured format, labeling previously unlabeled data, and managing data with high variability. In addition to overcoming these challenges, machine learning models have a wide range of applications in medical data analysis, such as disease prediction, diagnostic support, personalized medicine (e.g., precision medicine, drug response prediction), mining and analysis of electronic health records (EHRs), disease spread prediction, health monitoring and prevention, and telemedicine support. The future prospects for applying machine learning in medical data are vast and poised to drive the continued digitalization and intelligent evolution of the healthcare industry. As technology advances and its application deepens, machine learning will play an increasingly critical role in enhancing the quality and efficiency of healthcare services.
Classification methods are a critical area of research in medical studies focused on disease prediction. First, classification tasks improve the accuracy of early diagnosis, which in turn enhances treatment outcomes and increases patient survival rates. Second, accurate classification predictions allow physicians to design personalized treatment plans, optimize the use of medical resources, and reduce unnecessary tests and treatments, ultimately lowering healthcare costs. Moreover, precise predictions enable healthcare institutions to optimize resource allocation by preparing the necessary medical equipment and medications in advance, further reducing costs. Identifying high-risk populations also supports public health management, enabling early interventions and effective epidemic control. To address these medical challenges, many researchers have dedicated their efforts to developing various classifiers for tackling different medical classification problems. As shown in Table 1, widely discussed classification methods include naïve bayes (NB), logistic regression (LR), decision trees (DTs), random forests (RFs), support vector machines (SVMs), K-nearest neighbors (KNNs), multilayer perceptron (MLP), neural networks (NNs), XGBoost, and LightGBM. These methods have been extensively applied in disease predication research areas such as Alzheimer’s disease (AD) [10,11], lung cancer [12,13], diabetes [2,14,15,16], chronic kidney disease (CKD) [17,18], liver disease [19,20,21], heart disease [22,23], coronary heart disease (CHD) [24], and cardiovascular disease (CVD) [25,26,27,28,29]. From these studies, it is evident that most research focuses on building prediction models for a single disease, while models that predict multiple diseases are still uncommon. In terms of prediction methods, many studies do not specify the settings for hyperparameters in detail. In some cases, hyperparameters are set based on experience or using methods such as Grid Search, GA, TPE, or Bayesian optimization. However, the use of comprehensive hyperparameter optimization frameworks is still not widespread, which hints an opportunity for further research in this area.
Table 1.
Summary of ML models in disease prediction application.
The performance of machine learning models almost depends on the configuration of their hyperparameters. Hyperparameter optimization is a critical process that can significantly enhance the predictive capability of models. In order to enhance the performance of models, researchers over the years have employed various methods for hyperparameter tuning, such as using Grid Search [26,29] and optimizers like Stochastic Gradient Descent (SGD) and Adam [11]. However, as model complexity increases, hyperparameter tuning frameworks have become a research trend to accelerate the search for optimal hyperparameter combinations and have been further developed, as seen with popular recent frameworks like Optuna. Optuna, an advanced hyperparameter optimization framework, employs adaptive sampling strategies and efficient optimization algorithms to quickly identify the best hyperparameter combinations in high-dimensional parameter spaces [5]. The development and application of new hyperparameter optimization tools assist machine learning algorithms in achieving better results. For instance, Hadianti and Kodri [22] demonstrated that using Optuna to optimize hyperparameters significantly improved the accuracy of heart disease prediction models. Similarly, Srinivas and Katarya [25] used Optuna to fine-tune an XGBoost model for predicting cardiovascular disease, achieving high accuracy and precision. By leveraging Optuna for hyperparameter tuning, researchers and practitioners can optimize machine learning models to better handle complex and high-dimensional medical datasets. Yang et al. [24] utilized Optuna to enhance the performance of various models for predicting coronary heart disease, resulting in improved diagnostic accuracy. The automatic search for optimal parameters using tools like Optuna increases the reliability of classification results, which in turn aids in medical management tasks such as the procurement and allocation of resources. As the volume of medical data continues to grow and algorithms become increasingly complex, frameworks like Optuna for hyperparameter optimization are becoming increasingly important in medical data research.
With the growing trend of an aging population and the increasing integration of health consciousness into daily life, data analysis and management in healthcare have become increasingly important. As a result, related research initiatives and industries are striving to leverage big data, machine learning, and data science to address critical healthcare challenges, as well as identifying innovative strategies through the analysis of results [30]. The application of classification methods in disease prediction has demonstrated significant potential and broad applicability. As data volumes increase and algorithms improve, the accuracy and scope of these classification methods in disease prediction will continue to expand. These technological advancements will enhance the precision of disease prediction, foster personalized medicine development, and support multifaceted applications in healthcare resource management.
3. The Proposed MLOPTA System
Despite extensive research and the widespread application of big data classification models in medical studies, the rapid increase in data volume and the diversification of data storage formats have significantly raised computational complexity and costs. To address these challenges, this study proposes the MLOPTA system, designed to predict the top 10 indigenous diseases. Based on the summary in Table 1, five methods, SVM(1.4.2), DT(1.4.2), RF(1.4.2), XGBoost(2.0.3), and LightGBM(4.5.0), were employed to conduct disease prediction tasks. This system integrates machine learning methods within a hyperparameter optimization (HPO) framework using Optuna(4.0.0). Figure 1 illustrates the architecture of the MLOPTA model, which consists of three main components: data preprocessing, model training, and performance evaluation. In the first component, data preprocessing, the data are borrowed from Yang et al. [6] and extended from 2022 to 2023, undergoing a preprocessing pipeline. The processed data are then split into 80% for training and 20% for testing. In the second component, the training data are used to construct the MLOPTA model, which incorporates five machine learning classification models, namely support vector machine, decision tree, random forest, extreme gradient boosting, and light gradient boosting machine, with the Optuna framework employed to optimize hyperparameters effectively. Finally, in the third component, the testing data are entered into the optimized model to predict the 10 indigenous diseases. The prediction results are evaluated using five performance indices. Further details are provided in the subsequent sections.
Figure 1.
The proposed MLOPTA model architecture.
3.1. Dataset and Data Preprocessing
The indigenous disease data used in this study were sourced from Yang et al. [6], with an extension covering the period from 2022 to 2023. The data include diagnostic codes (ICD-10-CM, International Classification of Diseases, Tenth Revision, Clinical Modification), along with four feature categories: demographic information, drug items, doctors’ advice, and exam items. The final feature set of the MLOPTA system is presented in Table 2, and the data preprocessing procedures in this study were based on the methodology proposed by Yang et al. [6]. The first step involved consolidating data scattered across multiple files into a unified dataset. In the second step, unstructured information was transformed into a structured format. Specifically, one-hot encoding was applied to the top 10 indigenous diseases, binary encoding was used for the gender attribute, and numerical transformation was performed to convert birth year into age. Encoder Representations from Transformers (BERT) and Principal Component Analysis (PCA) were utilized to process drug items and doctors’ advice, while label encoding and median value imputation were implemented for exam items. The BERT process utilizes the all-MiniLM-L6-v2 pre-trained model, a lightweight variant of SentenceTransformer optimized for efficiency, to generate high-dimensional embeddings that capture semantic information [31]. PCA is then applied for dimensionality reduction, preserving key information while reducing computational complexity. The embeddings are converted into a DataFrame format, and the explained variance ratio is analyzed to assess the contribution of each principal component to the dataset’s variability. By examining the variance plot, the optimal number of principal components is identified to retain critical information while minimizing dimensionality. Age and most exam items were represented in numerical forms and then normalization was performed [6]. For missing values in exam results, the study consulted with physicians to ensure clinical alignment and practical applicability. Missing values were primarily due to patients not undergoing certain exams. When exam results were textual or symbolic, patients who did not undergo the exam were label-encoded. For numerical exam results, missing values were imputed using the median of the normal range to prevent skewing by extreme values or outliers. Subsequently, data cleaning was performed to remove errors, duplicate entries, and zero-variance features, as these do not contribute to model performance and can unnecessarily increase computational complexity, particularly in high-dimensional datasets. Additionally, a one-month time lag for individual patient visits was incorporated to predict future disease risk in the indigenous population. To address data imbalance, SMOTE [32] was employed. Table 3 lists the top ten indigenous diseases according to ICD-10-CM codes, including seven chronic disease codes (E11, E78, I10, I11, N18, I25, B18) and three non-chronic disease codes (Z20, R50, J18).
Table 2.
The final feature set of the MLOPTA system [6].
Table 3.
The top ten indigenous diseases according to ICD-10-CM codes.
3.2. Training of ML Classification Models with Hyperparameter Optimization Using Optuna
Supervised machine learning classification models have been widely applied across various fields. This study introduces the MLOPTA system, which integrates five machine learning classification algorithms—support vector machine, decision tree, random forest, extreme gradient boosting, and light gradient boosting machine—along with the hyperparameter optimization framework Optuna. The objective was to predict the top 10 indigenous diseases that patients might present with at their medical visits in the coming month.
Support vector machine [33] is a supervised machine learning algorithm commonly used for classification and regression analysis. SVM enhances the model’s generalization ability by finding an optimal separating hyperplane that maximizes the margin between two classes of data. SVM can handle non-linear data distributions by mapping the data into a higher-dimensional space using kernel functions. Commonly used kernel functions include the linear kernel, polynomial kernel, and radial basis function (rbf) kernel, which transform non-linear problems into linear ones. The key hyperparameters of SVM, such as the penalty parameter C and the kernel parameter γ, are crucial in determining the decision boundary and the model’s adaptability to the training data [34,35,36].
The decision tree [37] model is popular in supervised learning due to its straightforward structure. At each stage, it chooses an attribute according to a predefined criterion and splits the training data based on a specific threshold of that attribute, dividing it into multiple branches. This process of splitting is repeated, following the same criteria until a tree-like structure of decisions is formed during training. Each node in this tree tests an attribute, each branch represents the outcome of that test, and the leaves denote the final decision or classification. In constructing a decision tree, selecting the optimal attribute for splitting is crucial for effective classification and is typically determined by measures like information gain or the Gini index. This splitting process is continued until certain conditions are met, such as a minimum dataset size or a predetermined tree depth, to prevent further division. The primary advantage of decision trees is their straightforwardness and the clarity they offer, requiring little to no data preprocessing. Nonetheless, their simplicity comes with the significant disadvantage of being prone to overfitting, leading to overly complex trees. To address this, pruning strategies are employed to simplify the model, reducing the risk of overfitting and enhancing the classifier’s generalization and robustness [38,39,40,41].
Random forest [42] is a robust ensemble learning technique commonly used for both classification and regression tasks. It improves both the accuracy and robustness of models by generating and aggregating the predictions from numerous decision trees. Through the application of bagging, it ensures that each tree is developed using a distinct subset of data and makes random choices of features at every division, thereby boosting the diversity of the model and minimizing overfitting risks. The ultimate output is derived by either voting or averaging across the various trees’ predictions. Furthermore, RF has the capability to assess the importance of features, helping to pinpoint the variables that significantly influence the outcome of predictions. This feature enables RF to process datasets with high dimensions and numerous missing values efficiently. The model can also be streamlined without compromising its effectiveness by applying pruning methods to trim down the number of trees or features [23,43,44].
XGBoost [45,46,47] and LightGBM [48,49,50] are types of machine learning algorithms that build on the principles of Gradient Boosted Decision Trees (GBDTs). GBDTs are a type of ensemble learning technique, where a robust predictive model is formed by amalgamating multiple simple models, often decision trees. The fundamental strategy behind GBDTs is to add new decision trees sequentially, each aimed at correcting the inaccuracies of prior models. This process effectively reduces the overall model’s loss function over time. GBDTs is particularly adept at dealing with non-linear issues and offers a strong defense against overfitting, which makes it ideal for tackling complex predictive tasks with limited data [51]. XGBoost enhances the traditional boosting technique by assembling multiple weak learners, predominantly decision trees, to form a stronger predictive model. It focuses on minimizing prediction errors by training each successive model on the residuals left by its predecessors. XGBoost differentiates itself by implementing advanced features such as algorithms that are aware of data sparsity, weighted quantile sketching for more efficient data sampling, and regularization to safeguard against overfitting. Furthermore, XGBoost benefits from system-level optimizations like cache-aware data access, data compression, and the use of block structures, all of which contribute to a reduction in the computational resources required. These improvements not only bolster the accuracy of the model but also ensure its scalability, making XGBoost an excellent choice for processing extensive datasets efficiently [45].
LightGBM, developed by Microsoft, is an enhancement technique specifically designed to process large-scale datasets. LightGBM constructs decision trees using a histogram-based algorithm supported by leaf-wise tree growth strategies and distributed learning, which enhances the speed and memory efficiency of model training and maintains high accuracy. Furthermore, LightGBM employs effective data segmentation strategies that improve the efficiency for feature processing. Compared to XGBoost, LightGBM offers faster training speeds and greater scalability when handling extensive data. Additionally, LightGBM supports multiple parameter adjustments to control model complexity and prevent overfitting [48].
Hyperparameter tuning is essential for achieving optimal performance in machine learning models, as proper tuning can significantly enhance model accuracy and robustness. However, traditional tuning methods often require users to define a static search space beforehand, limiting flexibility. Optuna, introduced by Akiba et al. [5], is a hyperparameter optimization framework designed to address these limitations through a dynamic “define-by-run” API. Unlike traditional approaches, this API enables users to interactively construct search spaces during the optimization process. By engaging with the trial object, the objective function is iteratively refined, allowing the search space to be dynamically adjusted as the function executes.
Due to the open-source nature of Optuna, it has achieved widespread adoption across multiple research fields [52]. Consequently, Optuna was selected as the hyperparameter optimization framework for this study. In the process of using Optuna to optimize machine learning model hyperparameters, the first step involved selecting the hyperparameters for each model and defining their respective search spaces. Next, the objective function was set to maximize model performance, and the number of trials (n_trials) was specified. Lastly, the results of the optimization were evaluated. Table 4 details the hyperparameters and the searching ranges of MLOPTA models for predicting the top 10 indigenous diseases, which will be optimized with Optuna to enhance model performance. The Optuna framework aims to identify the optimal hyperparameter combinations to enhance model effectiveness.
Table 4.
The searching ranges of MLOPTA models for predicting the top 10 indigenous diseases.
3.3. The Metrics of Performance Evaluation
The MLOPTA system’s predictions for the top 10 indigenous diseases are evaluated using five performance metrics: accuracy, precision, recall, specificity, and F1 score. These metrics are derived from the confusion matrix, which records the distribution of correct and incorrect classifications for each category. Table 5 presents the confusion matrix for binary classification, illustrating the four possible outcomes: true positive (TP), where individuals with the condition are correctly identified by the model; true negative (TN), where healthy individuals are correctly identified; false positive (FP), where healthy individuals are incorrectly identified as having the condition; and false negative (FN), where individuals with the condition are incorrectly identified as healthy.
Table 5.
Confusion matrix.
Accuracy represents the proportion of correct predictions out of all predictions, including both true positives and true negative, and it reflects the overall correctness of the predictions, but it can be misleading in cases of imbalanced datasets. Precision represents the proportion of true positive cases out of all cases predicted as positive. High precision indicates a low number of false positives (FPs), meaning that the reliability of positive predictions is high. Recall, also known as sensitivity, represents the proportion of actual positive cases that are correctly predicted as positive. High sensitivity indicates a low number of false negatives (FNs), meaning a strong ability to detect actual cases of the condition. A sensitivity of 100% indicates that all individuals with the condition are correctly identified as having it. Specificity represents the proportion of actual negative cases that are correctly predicted as negative. High specificity indicates a low number of false positives (FPs), meaning a strong ability to identify healthy individuals. A specificity of 100% means that no healthy person is incorrectly identified as having the condition. F1 score is the harmonic mean of precision and recall, taking both precision and sensitivity into account. The F1 score is particularly useful for evaluating model performance on imbalanced datasets. Equations (1) to (5) provide these measurements.
4. Numerical Results
The numerical results of the MLOPTA system are presented in this chapter. Table 6 shows the optimal hyperparameters of the MLOPTA system in predicting the indigenous diseases, which contains the five machine learning methods, including SVM, DT, RF, XGBoost, and LightGBM, with hyperparameter optimization using the Optuna framework. Table 7 shows the training time of the machine learning models with Optuna to predict 10 diseases using computers equipped with I5-12500 CPU, 4070ti super GPU, and 16G RAM. Following this, Table 8 presents the forecasting results of the MLOPTA system alongside machine learning models optimized using Optuna to predict diseases #1 to #10. Optuna is a robust hyperparameter optimization framework that automates the search for the optimal hyperparameter configurations to enhance model performance. It can be observed that LightGBM consistently shows superior performance, attributed to the hyperparameter tuning performed by Optuna. It maintains high scores across all metrics (accuracy, precision, recall, specificity, and F1) for each disease, indicating its suitability for handling multi-class disease prediction tasks. This may be because LightGBM efficiently handles high-dimensional data and, with Optuna’s tuning, better captures the underlying patterns in the data. The variation in model performance across diseases #1 to #10 indicates differences in data distribution characteristics for these diseases. LightGBM shows consistently strong performance, suggesting its robustness in dealing with complex data structures. And the impact of Optuna’s optimization is evident across different disease predictions, particularly in fine-tuning models to configurations that best capture data characteristics, thereby achieving enhanced performance. Figure 2 presents radar charts illustrating the performance of multiple disease models across five evaluation metrics: accuracy, precision, recall, specificity, and F1 score. Each line in the charts represents a single disease model, with each axis corresponding to a specific metric. The charts reveal that most models perform well, particularly in recall, where values often exceed 90%. Among the models, SVM shows balanced performance across the five metrics, achieving over 90% accuracy for diseases #8, #9, and #10. This indicates that SVM effectively captures the features of these diseases. However, for diseases #4, #5, and #7, SVM’s specificity falls below 80%, highlighting its weaker ability to distinguish negative samples, which could lead to a higher rate of false negatives. In comparison, DT demonstrates moderate performance across the 10 diseases, outperforming SVM for certain cases but exhibiting overall instability. Both RF and XGBoost show similar and superior performance compared to SVM and DT, reflecting greater robustness across metrics. Notably, LightGBM emerges as the best-performing model, delivering consistent and near-optimal results across all evaluation metrics.
Table 6.
The optimal hyperparameters of the MLOPTA system.
Table 7.
Training time of machine learning models with Optuna to predict 10 diseases.
Table 8.
The forecasting results of the MLOPTA systems alongside machine learning models optimized using Optuna to predict diseases #1 to #10.
Figure 2.
Radar charts of multiple disease models across five evaluation metrics.
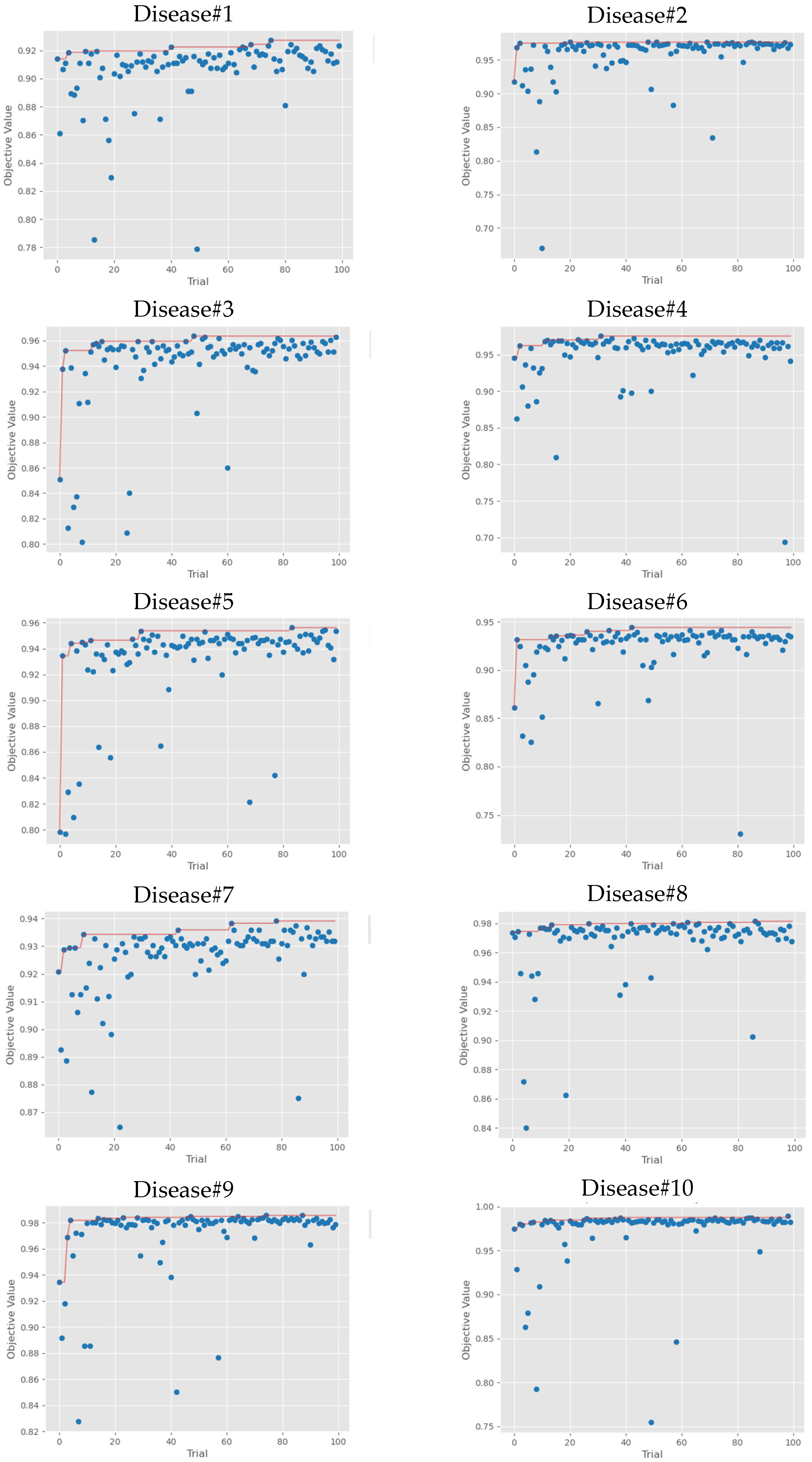
Because LightGBM stands out as the best-performing model, this section provides a more detailed analysis of its performance. Figure 3 compares the performance of 10 disease prediction models with and without Optuna optimization for LightGBM hyperparameters. Across all five evaluation metrics, LightGBM with Optuna consistently outperforms the non-optimized version, demonstrating the effectiveness of hyperparameter tuning in enhancing model performance. Notably, Optuna significantly improves recall in most cases, reflecting increased sensitivity in detecting positive instances. Figure 4 illustrates the training process trends during the Optuna optimization of LightGBM hyperparameters for predicting 10 diseases. Each blue dot represents the objective value obtained in a trial, while the red line tracks the best objective value achieved up to that trial. The results of these trials are used to determine the model’s optimal hyperparameters.
Figure 3.
Performance comparison results of 10 disease prediction models with and without Optuna to optimize LightGBM hyperparameters.
Figure 4.
Trends of training processes using Optuna framework to optimize LightGBM hyperparameters in predicting 10 diseases.
Table 9 presents the importance of LightGBM hyperparameters optimized by Optuna for each disease prediction model. These hyperparameters include max_depth, reg_alpha, learning_rate, num_leaves, colsample_bytree, subsample, boosting_type, min_child_samples, and reg_lambda. It can be observed that the importance of each hyperparameter varies across different disease prediction models, highlighting the need for disease-specific tuning to optimize prediction accuracy. Figure 5 depicts the average importance of hyperparameters of LightGBMOPTA models. The top three most influential hyperparameters are max_depth (41%), reg_alpha (31%), and learning_rate (10%). The max_depth limits the maximum tree depth, helping to control model complexity and reduce overfitting. The reg_alpha represents the strength of the L1 regularization term, which encourages feature selection by adding a penalty during training, effectively reducing some feature weights to zero. A higher reg_alpha increases L1 regularization, leading to greater sparsity in feature importance. The learning_rate controls how much the model adjusts in each iteration. A lower learning rate improves stability, but it requires more iterations to converge. This analysis helps in understanding how hyperparameters affect different disease predictions.
Table 9.
The importance of hyperparameters for LightGBM prediction models.
Figure 5.
The average importance of hyperparameters of LightGBM prediction models.
5. Discussion and Conclusions
This study provides an MLOPTA system, which employs an Optuna-based framework to efficiently optimize the hyperparameters of five machine learning models to predict the top 10 future indigenous diseases. The model performance is evaluated using five different metrics, and the result provides a promising alternative for disease forecasting. The establishment of the MLOPTA system leverages Optuna to optimize each model’s hyperparameters effectively. The optimized results vary across different disease prediction models, reflecting the optimal configurations for each sub-model. Overall, the predictive outcomes of this study are favorable, highlighting the potential of machine learning models for disease prediction. While accuracy provides a measure of overall model performance, achieving high recall is a critical priority, as it emphasizes minimizing missed diagnoses. This focus is crucial because failing to identify disease cases (false negatives) can prevent patients from receiving timely treatment, potentially leading to severe consequences. This study provides healthcare practitioners with valuable insights for disease prediction, which could help in the allocation of medical resources and the improvement of healthcare services in remote areas.
LightGBM models, optimized with hyperparameters using Optuna, were utilized to predict 10 diseases, with performance evaluated across five indicators. These models achieved accuracy rates exceeding 90% for all diseases, except for disease #1, which recorded a specificity of 89.98%. The superior performance of LightGBM across datasets, which include features such as gender, age, drug items, doctors’ advice, and exam items, highlights its robustness in handling high-dimensional and sparse data. The dataset’s inherent sparsity arises from variability in exam items, which are conducted based on patients’ underlying conditions, resulting in high-dimensional yet sparse feature representations. LightGBM utilizes exclusive feature bundling and a histogram-based algorithm to efficiently compress and process these complex datasets, ensuring computational efficiency while identifying key patterns in sparse data. This underscores the importance of aligning models with dataset characteristics in machine learning research and applications. For datasets characterized by high dimensionality and sparsity, models like LightGBM offer significant advantages, making them particularly well suited for such scenarios. LightGBM emerged as the top-performing model, demonstrating superior predictive capabilities across all diseases and excelling particularly in recall among the five evaluation metrics. This model’s outstanding performance highlights the effectiveness of hyperparameter optimization. Observations on key hyperparameters, such as max_depth, reg_alpha, and learning_rate, reveal their substantial influence on model performance. Max_depth is used to limit the depth of each tree, helping to avoid overfitting, particularly in high-dimensional data. In such datasets, L1 regularization (reg_alpha) can push the weights of unimportant features to zero, leading to effective feature selection and reducing redundancy. Learning_rate ranks as the third most important hyperparameter on average, highlighting its pivotal role in model performance and convergence. The varying importance of hyperparameters across different models underscores the complexity of achieving optimal performance. However, the consistent presence of reg_alpha among the top three most important hyperparameters across all 10 diseases emphasizes the critical role of regularization in improving both the stability and overall performance of the models. This suggests that effective regularization, especially through L1 constraints, is crucial for controlling overfitting and handling sparse or noisy data in diverse medical applications. Fine-tuning these parameters allows the model to more effectively capture complex patterns in the data, enhancing its predictive accuracy for indigenous diseases.
However, due to limitations in the collected data for this study, sparsity and high dimensionality were observed. LightGBM outperformed the other models by effectively handling high-dimensional and sparse data, reaffirming its robustness. While various studies, such as Rahul et al. [53], have proposed solutions to challenges inherent in big data, no universal approach comprehensively addresses all issues. Future research could focus on addressing these challenges, including handling outliers and extreme values, feature selection, feature extraction, and integrating automated feature engineering tools. Such efforts would further evaluate model applicability and enhance their impact on performance. In addition, the all-MiniLM-L6-v2 pre-trained model [31,54,55] based on BERT was chosen for this study due to its efficiency, making it well suited for preliminary analysis of medical texts under limited computational resources. Future research, with support from more robust hardware, could incorporate domain-specific pre-trained models, such as BioBERT [56], and perform fine-tuning and rigorous validation to enhance precision and reliability in medical applications. Extreme values predominantly correspond to data from unhealthy conditions, making their removal inadvisable. Furthermore, the study demonstrates robust performance across five evaluation metrics without excluding these values. Hence, the proposed approach is a reliable and feasible method for disease forecasting.
Unlike previous research, which mostly predicts a single chronic disease, this study selected the top 10 future indigenous diseases, including chronic diseases and non-chronic diseases. The established MLOPTA system can be further divided into multiple sub-models based on different prediction models and different disease datasets. Future research could extend the application of these models to other datasets, such as those not limited to indigenous populations, to verify generalizability and stability. Using public and open datasets to verify the effectiveness and feasibility could be a potential alternative in future study. Using LightGBM to analyze non-indigenous populations or datasets from other regions is a possible direction for future research. Additionally, several automated hyperparameter optimization frameworks have been proposed, including SMAC [57], Hyperopt [58,59], Spearmint [60], Google Vizier [61], AutoTune [62], Ray Tune [63], and Optuna. Among these, Optuna is one of the more recent approaches, which is why this study adopts it. Future research could explore comparisons with other frameworks to determine whether Optuna consistently outperforms its counterparts.
Author Contributions
Conceptualization, P.-F.P., L.-H.L., W.-C.Y. and H.-P.H.; methodology, J.-P.L. and P.-F.P.; software, J.-P.L., Y.-H.L. and Y.-L.L.; formal analysis, Y.-H.L.; writing—original draft preparation, Y.-H.L., Y.-L.L. and P.-F.P.; writing—review and editing, P.-F.P.; visualization, Y.-H.L. and Y.-L.L.; supervision, P.-F.P., L.-H.L. and W.-C.Y. All authors have read and agreed to the published version of the manuscript.
Funding
This research was supported by funding from the Puli Christian Hospital/Chi Nan National University Joint Research Program under the grant numbers 113A027-2 and T11311010029.
Data Availability Statement
The data presented in this study are available on reasonable request. The data are not publicly available due to privacy regulations.
Acknowledgments
This work was supported by Hsun-Yi Huang, who assisted in data analysis.
Conflicts of Interest
The authors declare no conflicts of interest.
References
- Jeong, K.; Mallard, A.R.; Coombe, L.; Ward, J. Artificial intelligence and prediction of cardiometabolic disease: Systematic review of model performance and potential benefits in indigenous populations. Artif. Intell. Med. 2023, 139, 102534. [Google Scholar] [CrossRef] [PubMed]
- Butt, U.M.; Letchmunan, S.; Ali, M.; Hassan, F.H.; Baqir, A.; Sherazi, H.H.R. Machine learning based diabetes classification and prediction for healthcare applications. J. Healthc. Eng. 2021, 2021, 9930985. [Google Scholar] [CrossRef]
- Schaekermann, M.; Spitz, T.; Pyles, M.; Cole-Lewis, H.; Wulczyn, E.; Pfohl, S.R.; Martin, D.; Jaroensri, R.; Keeling, G.; Liu, Y. Health equity assessment of machine learning performance (heal): A framework and dermatology ai model case study. eClinicalMedicine 2024, 70, 102479. [Google Scholar] [CrossRef] [PubMed]
- Yang, L.; Shami, A. On hyperparameter optimization of machine learning algorithms: Theory and practice. Neurocomputing 2020, 415, 295–316. [Google Scholar] [CrossRef]
- Akiba, T.; Sano, S.; Yanase, T.; Ohta, T.; Koyama, M. Optuna: A next-generation hyperparameter optimization framework. In Proceedings of the 25th ACM SIGKDD International Conference on Knowledge Discovery & Data Mining, Anchorage, AK, USA, 4–8 August 2019; pp. 2623–2631. [Google Scholar]
- Yang, W.-C.; Lai, J.-P.; Liu, Y.-H.; Lin, Y.-L.; Hou, H.-P.; Pai, P.-F. Using medical data and clustering techniques for a smart healthcare system. Electronics 2023, 13, 140. [Google Scholar] [CrossRef]
- Garg, A.; Mago, V. Role of machine learning in medical research: A survey. Comput. Sci. Rev. 2021, 40, 100370. [Google Scholar] [CrossRef]
- Alizadehsani, R.; Roshanzamir, M.; Hussain, S.; Khosravi, A.; Koohestani, A.; Zangooei, M.H.; Abdar, M.; Beykikhoshk, A.; Shoeibi, A.; Zare, A. Handling of uncertainty in medical data using machine learning and probability theory techniques: A review of 30 years (1991–2020). Ann. Oper. Res. 2024, 339, 1077–1118. [Google Scholar] [CrossRef]
- Krishnamoorthy, M.; Hameed, M.S.A.; Kopinski, T.; Schwung, A. Disease prediction based on individual’s medical history using CNN. In Proceedings of the 2021 20th IEEE International Conference on Machine Learning and Applications (ICMLA), Pasadena, CA, USA, 13–16 December 2021; pp. 89–94. [Google Scholar]
- Kumar, M.S.; Azath, H.; Velmurugan, A.; Padmanaban, K.; Subbiah, M. Prediction of alzheimer’s disease using hybrid machine learning technique. AIP Conf. Proc. 2023, 2523, 020091. [Google Scholar]
- Alatrany, A.S.; Khan, W.; Hussain, A.; Kolivand, H.; Al-Jumeily, D. An explainable machine learning approach for alzheimer’s disease classification. Sci. Rep. 2024, 14, 2637. [Google Scholar] [CrossRef]
- Mamun, M.; Farjana, A.; Al Mamun, M.; Ahammed, M.S. Lung cancer prediction model using ensemble learning techniques and a systematic review analysis. In Proceedings of the 2022 IEEE World AI IoT Congress (AIIoT), Seattle, WA, USA, 6–9 June 2022; pp. 187–193. [Google Scholar]
- Urs, M.P.R.; Babu, G.S. Performance analysis and classification of lung cancer types using machine learning. In Proceedings of the 2024 International Conference on Knowledge Engineering and Communication Systems (ICKECS), Chikkaballapur, India, 18–19 April 2024; pp. 1–5. [Google Scholar]
- Febrian, M.E.; Ferdinan, F.X.; Sendani, G.P.; Suryanigrum, K.M.; Yunanda, R. Diabetes prediction using supervised machine learning. Procedia Comput. Sci. 2023, 216, 21–30. [Google Scholar] [CrossRef]
- Rastogi, R.; Bansal, M. Diabetes prediction model using data mining techniques. Meas. Sens. 2023, 25, 100605. [Google Scholar] [CrossRef]
- Whig, P.; Gupta, K.; Jiwani, N.; Jupalle, H.; Kouser, S.; Alam, N. A novel method for diabetes classification and prediction with pycaret. Microsyst. Technol. 2023, 29, 1479–1487. [Google Scholar] [CrossRef]
- Islam, M.A.; Majumder, M.Z.H.; Hussein, M.A. Chronic kidney disease prediction based on machine learning algorithms. J. Pathol. Inform. 2023, 14, 100189. [Google Scholar] [CrossRef] [PubMed]
- Saif, D.; Sarhan, A.M.; Elshennawy, N.M. Early prediction of chronic kidney disease based on ensemble of deep learning models and optimizers. J. Electr. Syst. Inf. Technol. 2024, 11, 17. [Google Scholar] [CrossRef]
- Dritsas, E.; Trigka, M. Supervised machine learning models for liver disease risk prediction. Computers 2023, 12, 19. [Google Scholar] [CrossRef]
- Shaban, W.M. Early diagnosis of liver disease using improved binary butterfly optimization and machine learning algorithms. Multimed. Tools Appl. 2024, 83, 30867–30895. [Google Scholar] [CrossRef]
- Islam, R.; Sultana, A.; Tuhin, M.N. A comparative analysis of machine learning algorithms with tree-structured parzen estimator for liver disease prediction. Healthc. Anal. 2024, 6, 100358. [Google Scholar] [CrossRef]
- Hadianti, S.; Kodri, W.A.G. Optimization of the machine learning approach using optuna in heart disease prediction. J. Med. Inform. Technol. 2023, 1, 59–64. [Google Scholar] [CrossRef]
- Mienye, I.D.; Jere, N. Optimized ensemble learning approach with explainable ai for improved heart disease prediction. Information 2024, 15, 394. [Google Scholar] [CrossRef]
- Yang, H.; Chen, Z.; Yang, H.; Tian, M. Predicting coronary heart disease using an improved LightGBM model: Performance analysis and comparison. IEEE Access 2023, 11, 23366–23380. [Google Scholar] [CrossRef]
- Srinivas, P.; Katarya, R. Hyoptxg: Optuna hyper-parameter optimization framework for predicting cardiovascular disease using XGBoost. Biomed. Signal Process. Control 2022, 73, 103456. [Google Scholar] [CrossRef]
- Bhatt, C.M.; Patel, P.; Ghetia, T.; Mazzeo, P.L. Effective heart disease prediction using machine learning techniques. Algorithms 2023, 16, 88. [Google Scholar] [CrossRef]
- Khan, A.; Qureshi, M.; Daniyal, M.; Tawiah, K. A novel study on machine learning algorithm-based cardiovascular disease prediction. Health Soc. Care Community 2023, 2023, 1406060. [Google Scholar] [CrossRef]
- Lin, C.-M.; Lin, Y.-S. Tptm-hann-ga: A novel hyperparameter optimization framework integrating the taguchi method, an artificial neural network, and a genetic algorithm for the precise prediction of cardiovascular disease risk. Mathematics 2024, 12, 1303. [Google Scholar] [CrossRef]
- Ogunpola, A.; Saeed, F.; Basurra, S.; Albarrak, A.M.; Qasem, S.N. Machine learning-based predictive models for detection of cardiovascular diseases. Diagnostics 2024, 14, 144. [Google Scholar] [CrossRef]
- Ramírez, J.G.C.; Islam, M.M.; Even, A.I.H. Machine learning applications in healthcare: Current trends and future prospects. J. Artif. Intell. Gen. Sci. 2024, 1. [Google Scholar] [CrossRef]
- Sentence Transformers All-Minilm-l6-v2 Page on Hugging Face. Available online: https://huggingface.co/sentence-transformers/all-MiniLM-L6-v2 (accessed on 23 November 2024).
- Chawla, N.V.; Bowyer, K.W.; Hall, L.O.; Kegelmeyer, W.P. Smote: Synthetic minority over-sampling technique. J. Artif. Intell. Res. 2002, 16, 321–357. [Google Scholar] [CrossRef]
- Cortes, C.; Vapnik, V. Support-vector networks. Mach. Learn. 1995, 20, 273–297. [Google Scholar] [CrossRef]
- Cervantes, J.; Garcia-Lamont, F.; Rodríguez-Mazahua, L.; Lopez, A. A comprehensive survey on support vector machine classification: Applications, challenges and trends. Neurocomputing 2020, 408, 189–215. [Google Scholar] [CrossRef]
- Tufail, S.; Riggs, H.; Tariq, M.; Sarwat, A.I. Advancements and challenges in machine learning: A comprehensive review of models, libraries, applications, and algorithms. Electronics 2023, 12, 1789. [Google Scholar] [CrossRef]
- Ramadevi, P.; Das, R. An extensive analysis of machine learning techniques with hyper-parameter tuning by bayesian optimized svm kernel for the detection of human lung disease. IEEE Access 2024, 12, 97752–97770. [Google Scholar] [CrossRef]
- Quinlan, J.R. Induction of decision trees. Mach. Learn. 1986, 1, 81–106. [Google Scholar] [CrossRef]
- Priyanka; Kumar, D. Decision tree classifier: A detailed survey. Int. J. Inf. Decis. Sci. 2020, 12, 246–269. [Google Scholar] [CrossRef]
- Breiman, L. Classification and Regression Trees; Routledge: London, UK, 2017. [Google Scholar]
- Pan, H. The construction and application of library intelligent acquisition decision model based on decision tree algorithm. Int. J. Adv. Comput. Sci. Appl. 2024, 15, 168. [Google Scholar] [CrossRef]
- Mienye, I.D.; Jere, N. A survey of decision trees: Concepts, algorithms, and applications. IEEE Access 2024, 12, 86716–86727. [Google Scholar] [CrossRef]
- Breiman, L. Random forests. Mach. Learn. 2001, 45, 5–32. [Google Scholar] [CrossRef]
- Manzali, Y.; Elfar, M. Random forest pruning techniques: A recent review. Oper. Res. Forum 2023, 4, 43. [Google Scholar] [CrossRef]
- Ahmad, M.N.; Shao, Z.; Xiao, X.; Fu, P.; Javed, A.; Ara, I. A novel ensemble learning approach to extract urban impervious surface based on machine learning algorithms using sar and optical data. Int. J. Appl. Earth Obs. Geoinf. 2024, 132, 104013. [Google Scholar] [CrossRef]
- Chen, T.; Guestrin, C. Xgboost: A scalable tree boosting system. In Proceedings of the 22nd ACM Sigkdd International Conference on Knowledge Discovery and Data Mining, San Francisco, CA, USA, 13–17 August 2016; pp. 785–794. [Google Scholar]
- Zhou, Y. Prediction and analysis of cardiovascular diseases based on XGBoost. In Proceedings of the 2024 IEEE 2nd International Conference on Image Processing and Computer Applications (ICIPCA), Shenyang, China, 28-30 June 2024; pp. 1877–1881. [Google Scholar]
- Wang, Z.H.; Liu, Y.F.; Wang, T.; Wang, J.G.; Liu, Y.M.; Huang, Q.X. Intelligent prediction model of mechanical properties of ultrathin niobium strips based on XGBoost ensemble learning algorithm. Comput. Mater. Sci. 2024, 231, 112579. [Google Scholar] [CrossRef]
- Ke, G.; Meng, Q.; Finley, T.; Wang, T.; Chen, W.; Ma, W.; Ye, Q.; Liu, T.-Y. LightGBM: A highly efficient gradient boosting decision tree. Adv. Neural Inf. Process. Syst. 2017, 30, 3149–3157. [Google Scholar]
- Zhao, X.; Liu, Y.; Zhao, Q. Improved LightGBM for extremely imbalanced data and application to credit card fraud detection. IEEE Access 2024, 12, 159316–159335. [Google Scholar] [CrossRef]
- Zhou, S.; Zhang, D.; Wang, M.; Liu, Z.; Gan, W.; Zhao, Z.; Xue, S.; Müller, B.; Zhou, M.; Ni, X. Risk-driven composition decoupling analysis for urban flooding prediction in high-density urban areas using bayesian-optimized LightGBM. J. Clean. Prod. 2024, 457, 142286. [Google Scholar] [CrossRef]
- Liang, W.; Luo, S.; Zhao, G.; Wu, H. Predicting hard rock pillar stability using GBDT, XGBoost, and LightGBM algorithms. Mathematics 2020, 8, 765. [Google Scholar] [CrossRef]
- Shekhar, S.; Bansode, A.; Salim, A. A comparative study of hyper-parameter optimization tools. In Proceedings of the 2021 IEEE Asia-Pacific Conference on Computer Science and Data Engineering (CSDE), Brisbane, Australia, 8–10 December 2021; pp. 1–6. [Google Scholar]
- Rahul, K.; Banyal, R.K.; Arora, N. A systematic review on big data applications and scope for industrial processing and healthcare sectors. J. Big Data 2023, 10, 133. [Google Scholar] [CrossRef]
- Somani, S.; van Buchem, M.M.; Sarraju, A.; Hernandez-Boussard, T.; Rodriguez, F. Artificial intelligence–enabled analysis of statin-related topics and sentiments on social media. JAMA Netw. Open 2023, 6, e239747. [Google Scholar] [CrossRef]
- Galli, C.; Donos, N.; Calciolari, E. Performance of 4 pre-trained sentence transformer models in the semantic query of a systematic review dataset on peri-implantitis. Information 2024, 15, 68. [Google Scholar] [CrossRef]
- Lee, J.; Yoon, W.; Kim, S.; Kim, D.; Kim, S.; So, C.H.; Kang, J. Biobert: A pre-trained biomedical language representation model for biomedical text mining. Bioinformatics 2020, 36, 1234–1240. [Google Scholar] [CrossRef]
- Hutter, F.; Hoos, H.H.; Leyton-Brown, K. Sequential model-based optimization for general algorithm configuration. In Proceedings of the Learning and Intelligent Optimization: 5th International Conference, LION 5, Rome, Italy, 17–21 January 2011; pp. 507–523. [Google Scholar]
- Bergstra, J.; Bardenet, R.; Bengio, Y.; Kégl, B. Algorithms for hyper-parameter optimization. Adv. Neural Inf. Process. Syst. 2011, 24, 2546–2554. [Google Scholar]
- Bergstra, J.; Yamins, D.; Cox, D.D. Hyperopt: A python library for optimizing the hyperparameters of machine learning algorithms. SciPy 2013, 13, 20. [Google Scholar]
- Snoek, J.; Larochelle, H.; Adams, R.P. Practical bayesian optimization of machine learning algorithms. In Proceedings of the 25th International Conference on Neural Information Processing Systems, Red Hook, NY, USA, 3–6 December 2012; Volume 25. [Google Scholar]
- Golovin, D.; Solnik, B.; Moitra, S.; Kochanski, G.; Karro, J.; Sculley, D. Google vizier: A service for black-box optimization. In Proceedings of the 23rd ACM SIGKDD International Conference on Knowledge Discovery and Data Mining, Halifax, NS, Canada, 13–17 August 2017; pp. 1487–1495. [Google Scholar]
- Koch, P.; Golovidov, O.; Gardner, S.; Wujek, B.; Griffin, J.; Xu, Y. Autotune: A derivative-free optimization framework for hyperparameter tuning. In Proceedings of the 24th ACM SIGKDD International Conference on Knowledge Discovery & Data Mining, London, UK, 19–23 August 2018; pp. 443–452. [Google Scholar]
- Moritz, P.; Nishihara, R.; Wang, S.; Tumanov, A.; Liaw, R.; Liang, E.; Elibol, M.; Yang, Z.; Paul, W.; Jordan, M.I. Ray: A distributed framework for emerging {ai} applications. In Proceedings of the 13th USENIX Symposium on Operating Systems Design and Implementation (OSDI 18), Carlsbad, CA, USA, 8–10 October 2018; pp. 561–577. [Google Scholar]
Disclaimer/Publisher’s Note: The statements, opinions and data contained in all publications are solely those of the individual author(s) and contributor(s) and not of MDPI and/or the editor(s). MDPI and/or the editor(s) disclaim responsibility for any injury to people or property resulting from any ideas, methods, instructions or products referred to in the content. |
© 2024 by the authors. Licensee MDPI, Basel, Switzerland. This article is an open access article distributed under the terms and conditions of the Creative Commons Attribution (CC BY) license (https://creativecommons.org/licenses/by/4.0/).




