A Triangular Structure Constraint for Pedestrian Positioning with Inertial Sensors Mounted on Foot and Shank
Abstract
1. Introduction
2. Materials and Methods
2.1. Kinematic Equations
2.2. Zero-Velocity Detection Method
2.3. Constraint Method Based on Kalman Filter
- (1)
- Constraint mode in non-ZVI
- (2)
- Constraint mode in ZVI
3. Experiments and Analysis
3.1. Experimental Equipment
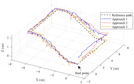
3.2. Experimental Scheme and Analysis
4. Conclusions
Author Contributions
Funding
Data Availability Statement
Conflicts of Interest
References
- Xie, D.; Jiang, J.; Yan, P.; Wu, J.; Li, Y.; Yu, Z. A Novel Three-Dimensional Positioning Method for Foot-Mounted Pedestrian Navigation System Using Low-Cost Inertial Sensor. Electronics 2023, 12, 845. [Google Scholar] [CrossRef]
- Liu, X.; Wang, S.; Zhang, T.; Huang, R.; Wang, Q. A zero-velocity detection method with transformation on generalized likelihood ratio statistical curve. Measurement 2018, 127, 463–471. [Google Scholar] [CrossRef]
- Tong, X.; Su, Y.; Li, Z.; Si, C.; Han, G.; Ning, J.; Yang, F. A double-step unscented Kalman filter and HMM-based zero-velocity update for pedestrian dead reckoning using MEMS sensors. IEEE Trans. Ind. Electron. 2020, 67, 581–591. [Google Scholar] [CrossRef]
- Wahlström, J.; Skog, I.; Gustafsson, F.; Markham, A.; Trigoni, N. Zero-velocity detection—A bayesian approach to adaptive thresholding. IEEE Sens. Lett. 2019, 3, 7000704. [Google Scholar] [CrossRef]
- Wang, Y.; Chernyshoff, A.; Shkel, A.M. Study on estimation errors in ZUPT-aided pedestrian inertial navigation due to IMU noises. IEEE Trans. Aerosp. Electron. Syst. 2020, 56, 2280–2291. [Google Scholar] [CrossRef]
- Zhao, T.; Ahamed, M.J. Pseudo-zero velocity re-detection double threshold zero-velocity update (ZUPT) for inertial sensor-based pedestrian navigation. IEEE Sens. J. 2021, 21, 13772–13785. [Google Scholar] [CrossRef]
- Zhang, L.; Wu, J.; Jiang, C.; Jing, P.; Liu, Y. Learning-based stance-phase detection for a pedestrian dead-reckoning system with dynamic gait speeds. Meas. Sci. Technol. 2021, 32, 105108. [Google Scholar] [CrossRef]
- Edel, M.; Köppe, E. An advanced method for pedestrian dead reckoning using BLSTM-RNNs. In Proceedings of the 2015 International Conference on Indoor Positioning and Indoor Navigation (IPIN), Banff, AB, Canada, 13–16 October 2015. [Google Scholar]
- Ho, N.-H.; Truong, P.H.; Jeong, G.-M. Step-Detection and Adaptive Step-Length Estimation for Pedestrian Dead-Reckoning at Various Walking Speeds Using a Smartphone. Sensors 2016, 16, 1423. [Google Scholar] [CrossRef]
- Zhao, Y.; Liang, J.; Cui, Y.; Sha, X.; Li, W.J. Adaptive 3D position estimation of pedestrians by wearing one ankle sensor. IEEE Sens. J. 2020, 20, 11642–11651. [Google Scholar] [CrossRef]
- Deng, Z.; Wang, P.; Liu, T.; Cao, Y.; Wang, B. Foot-mounted pedestrian navigation algorithm based on BOR/MINS integrated framework. IEEE Trans. Ind. Electron. 2020, 67, 3980–3989. [Google Scholar] [CrossRef]
- Chen, C.; Chang, C. Low-cost GNSS/INS integration for enhanced land vehicle performance. Meas. Sci. Technol. 2020, 31, 035009. [Google Scholar] [CrossRef]
- Zhuang, Y.; El-Sheimy, N. Tightly-coupled integration of wifi and mems sensors on handheld devices for indoor pedestrian navigation. IEEE Sens. J. 2016, 16, 224–234. [Google Scholar] [CrossRef]
- Yu, Y.; Chen, R.; Chen, L.; Zheng, X.; Wu, D.; Li, W.; Wu, Y. A novel 3-D indoor localization algorithm based on BLE and multiple sensors. IEEE Internet Things J. 2021, 8, 9359–9372. [Google Scholar] [CrossRef]
- Chong, Y.; Xu, X.; Guo, N.; Shu, L.; Zhang, Q.; Yu, Z.; Wen, T. Cooperative Localization of Firefighters Based on Relative Ranging Constraints of UWB and Autonomous Navigation. Electronics 2023, 12, 1181. [Google Scholar] [CrossRef]
- Zhang, Y.; Tan, X.; Zhao, C. UWB/INS integrated pedestrian positioning for robust indoor environments. IEEE Sens. J. 2020, 20, 14401–14409. [Google Scholar] [CrossRef]
- Cai, Y.; Qian, W.; Dong, J.; Zhao, J.; Wang, K.; Shen, T. A LiDAR–Inertial SLAM method based on virtual inertial navigation system. Electronics 2023, 12, 2639. [Google Scholar] [CrossRef]
- Zhu, M.; Wu, Y.; Luo, S. f²IMU-R: Pedestrian navigation by low-cost foot-mounted dual IMUs and interfoot ranging. IEEE Trans. Control Syst. Technol. 2022, 30, 247–260. [Google Scholar] [CrossRef]
- Meng, X.; Zhang, Z.; Sun, S.; Wu, J.; Wong, W. Biomechanical model-based displacement estimation in micro-sensor motion capture Meas. Sci. Technol. 2012, 23, 055101. [Google Scholar]
- Sy, L.W.; Lovell, N.H.; Redmond, S.J. Estimating lower body kinematics using a Lie group constrained extended Kalman filter and reduced IMU count. IEEE Sens. J. 2021, 21, 20969–20979. [Google Scholar] [CrossRef]
- Qiu, S.; Wang, Z.; Zhao, H.; Hu, H. Using distributed wearable sensors to measure and evaluate human lower limb motions. IEEE Trans. Instrum. Meas. 2016, 65, 65939–65950. [Google Scholar] [CrossRef]
- Skog, I.; Nilsson, J.; Zachariah, D.; Händel, P. Fusing the information from two navigation systems using an upper bound on their maximum spatial separation. In Proceedings of the 2012 International Conference on Indoor Positioning and Indoor Navigation (IPIN), Sydney, Australia, 13–15 November 2012. [Google Scholar]
- Shi, W.; Wang, Y. Dual MIMU pedestrian navigation by inequality constraint Kalman filtering. Sensors 2017, 17, 427. [Google Scholar] [CrossRef] [PubMed]
- Zhang, W.; Wei, D.; Yuan, H.; Yang, G. Cooperative positioning method of dual foot-mounted inertial pedestrian dead reckoning systems. IEEE Trans. Instrum. Meas. 2021, 70, 8502114. [Google Scholar] [CrossRef]
- Wang, Q.; Cheng, M.; Noureldin, A.; Guo, Z. Research on the improved method for dual foot-mounted inertial/magnetometer pedestrian positioning based on adaptive inequality constraints kalman filter algorithm. Measurement 2019, 135, 189–198. [Google Scholar] [CrossRef]
- Wang, Q.; Guo, Z.; Zhang, M.; Cui, X.; Wu, H.; Jia, L. Research on pedestrian location based on dual MIMU/magnetometer/ultrasonic module. In Proceedings of the 2018 IEEE/ION Position, Location and Navigation Symposium (PLANS), Monterey, CA, USA, 23–26 April 2018; pp. 565–570. [Google Scholar]
- Luinge, H.J.; Veltink, P.H.; Baten, C.T.M. Ambulatory measurement of arm orientation. J. Biomech. 2007, 40, 78–85. [Google Scholar] [CrossRef]
- Wagstaff, B.; Peretroukhin, V.; Kelly, J. Robust data-driven zero-velocity detection for foot-mounted inertial navigation. IEEE Sens. J. 2020, 20, 957–967. [Google Scholar] [CrossRef]
- Qiu, S.; Wang, Z.; Zhao, H.; Qin, K.; Li, Z.; Hu, H. Inertial/magnetic sensors based pedestrian dead reckoning by means of multi-sensor fusion. Inf. Fusion 2018, 39, 108–119. [Google Scholar] [CrossRef]
- Skog, I.; Handel, P.; Nilsson, J.; Rantakokko, J. Zero-velocity detection—An algorithm evaluation. IEEE Trans. Biomed. Eng. 2010, 57, 2657–2666. [Google Scholar] [CrossRef]
- Zhao, H.; Wang, Z.; Qiu, S.; Shen, Y.; Zhang, L.; Tang, K.; Fortino, G. Heading drift reduction for foot-mounted inertial navigation system via multi-sensor fusion and dual-gait analysis. IEEE Sens. J. 2019, 19, 8514–8521. [Google Scholar] [CrossRef]
- Deng, Z.; Wang, P.; Yan, D.; Shang, K. Foot-mounted pedestrian navigation method based on gait classification for three-dimensional positioning. IEEE Sens. J. 2020, 20, 2045–2055. [Google Scholar] [CrossRef]
- Wu, Q.; Yang, R.; Liu, K.; Xu, Y.; Miao, J.; Sun, M. Dual Kalman Filter Based on a Single Direction under Colored Measurement Noise for INS-Based Integrated Human Localization. Electronics 2024, 13, 3027. [Google Scholar] [CrossRef]
- Hu, G.; Wan, H.; Li, X. A high-precision magnetic-assisted heading angle calculation method based on a 1D convolutional neural network (CNN) in a complicated magnetic environment. Micromachines 2020, 11, 642. [Google Scholar] [CrossRef] [PubMed]
- Xu, X.; Sun, Y.; Tian, X.; Zhou, L.; Li, Y. A double-EKF orientation estimator decoupling magnetometer effects on pitch and roll angles. IEEE Trans. Ind. Electron. 2022, 69, 2055–2066. [Google Scholar] [CrossRef]
- Li, Z.; Xu, X.; Ji, M.; Wang, J.; Wang, J. Pedestrian positioning based on dual inertial sensors and foot geometric constraints. IEEE Trans. Ind. Electron. 2022, 69, 6401–6409. [Google Scholar] [CrossRef]












| Tests | Approaches | Total Distance (m) | Distance Error (m) | End-to-End Error (m) |
|---|---|---|---|---|
| Approach 1 | 2.56 | 1.52 | ||
| 1 | Approach 2 | 57.6 | 1.82 | 1.41 |
| Approach 3 | 1.45 | 0.93 | ||
| Approach 1 | 4.09 | 6.23 | ||
| 2 | Approach 2 | 104.05 | 3.12 | 3.29 |
| Approach 3 | 2.01 | 2.51 |
| Tests | Approaches | Total Distance (m) | Height (m) | Distance Error (m) | Height Error (m) |
|---|---|---|---|---|---|
| 1 | Approach 1 | 1.42 | 0.82 | ||
| 2 | Approach 2 | 27.32 | 2.1 | 1.14 | 0.67 |
| 3 | Approach 3 | 0.73 | 0.17 |
Disclaimer/Publisher’s Note: The statements, opinions and data contained in all publications are solely those of the individual author(s) and contributor(s) and not of MDPI and/or the editor(s). MDPI and/or the editor(s) disclaim responsibility for any injury to people or property resulting from any ideas, methods, instructions or products referred to in the content. |
© 2024 by the authors. Licensee MDPI, Basel, Switzerland. This article is an open access article distributed under the terms and conditions of the Creative Commons Attribution (CC BY) license (https://creativecommons.org/licenses/by/4.0/).
Share and Cite
Wang, J.; Liang, J.; Wang, C.; Tang, W.; Wei, M.; Fan, Y. A Triangular Structure Constraint for Pedestrian Positioning with Inertial Sensors Mounted on Foot and Shank. Electronics 2024, 13, 4496. https://doi.org/10.3390/electronics13224496
Wang J, Liang J, Wang C, Tang W, Wei M, Fan Y. A Triangular Structure Constraint for Pedestrian Positioning with Inertial Sensors Mounted on Foot and Shank. Electronics. 2024; 13(22):4496. https://doi.org/10.3390/electronics13224496
Chicago/Turabian StyleWang, Jianyu, Jing Liang, Chao Wang, Wanwei Tang, Mingzhe Wei, and Yiling Fan. 2024. "A Triangular Structure Constraint for Pedestrian Positioning with Inertial Sensors Mounted on Foot and Shank" Electronics 13, no. 22: 4496. https://doi.org/10.3390/electronics13224496
APA StyleWang, J., Liang, J., Wang, C., Tang, W., Wei, M., & Fan, Y. (2024). A Triangular Structure Constraint for Pedestrian Positioning with Inertial Sensors Mounted on Foot and Shank. Electronics, 13(22), 4496. https://doi.org/10.3390/electronics13224496

