A Hybrid Approach to Modeling Heart Rate Response for Personalized Fitness Recommendations Using Wearable Data
Abstract
1. Introduction
- Environmental Factors: External conditions like temperature, humidity, and altitude can affect the heart’s response to exercise, making accurate prediction and personalization more challenging [4].
- Data Quality: Despite advancements in wearable technology, data from these devices can still be noisy or inconsistent, especially during high-intensity activities or when the device fit is suboptimal.
- Contextual Information: The heart rate metric alone may not provide a complete understanding of an exercise session. Integrating other contextual data, such as perceived exertion, workout type, and recovery status, is crucial for building a comprehensive fitness model [5].
2. Related Work
3. Materials and Methods
3.1. Dataset
3.2. Data Processing
3.2.1. Temporal Data Alignment
3.2.2. Interpolation and Grid Alignment
3.2.3. Feature Engineering
3.2.4. Personalized Heart Rate Model
4. Proposed Model
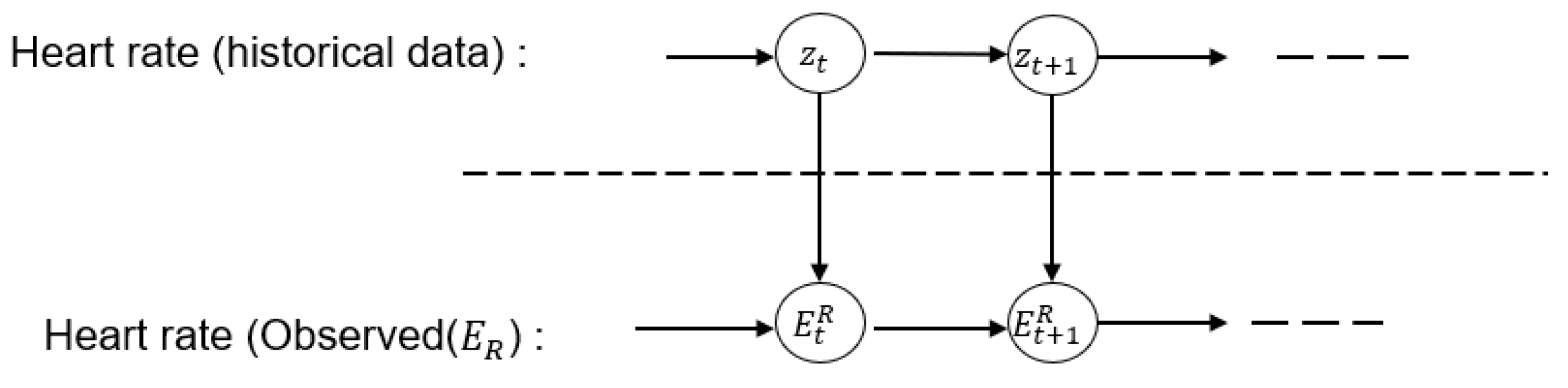
4.1. Dynamic Bayesian Network
4.2. Long Short-Term Memory (LSTM) Networks
4.3. Personalized Heart Rate Prediction
4.4. Adaptive Feature Selection
5. Experiments
5.1. Experimental Setup
5.2. Evaluation Metrics
- Mean Absolute Error (MAE): This metric measures the average absolute difference between predicted and actual heart rate values. It provides a straightforward measure of prediction accuracy by calculating the magnitude of errors.
- Root Mean Squared Error [RMSE]: measures the square root of the average squared differences between actual and predicted values. It gives higher weight to larger errors, making it sensitive to large deviations.
5.3. Results and Analysis
5.3.1. Heart Rate Prediction Performance
5.3.2. Performance Analysis
5.3.3. Ablation Study
6. Personalized Recommendations
- Workout Optimization Recommendation: Based on a user’s predicted heart rate profile and specific workout goals, we suggest adjusting workout parameters, such as speed or intensity, to optimize performance and achieve desired outcomes. For instance, if a user aims to maintain a particular heart rate zone (e.g., fat-burning or aerobic zone), our model can dynamically adjust recommendations during the workout, advising users to increase or decrease their pace accordingly. This functionality is particularly beneficial for users who aim to meet specific heart rate targets or improve cardiovascular endurance. Additionally, the system can suggest variations in exercise routines to prevent fitness plateaus, recommending different workout intensities or durations based on historical performance data.Scenari: A user who frequently runs on a flat course might receive a suggestion to try a hilly route that provides a similar heart rate response due to its variability in incline. This approach helps users diversify their workouts, potentially enhancing overall fitness by exposing them to different physical demands while keeping the exercise routine engaging.
- Real-Time Workout Guidance: Our model serves as a real-time personal trainer, predicting the short-term fluctuations in heart rate based on the current user pace and environmental conditions. If the model predicts that the person’s heart rate will go above some threshold (e.g., 85% of maximum heart rate), the system can proactively alert the user to adjust their pace, ensuring a safer and more effective workout. It helps avoid overexertion, making exercise much safer and far more effective, especially for novices or people with specific health concerns.Scenario: During a high-intensity interval training (HIIT) session, the system monitors the user’s heart rate in real-time. If the heart rate approaches a critical level, the system suggests a brief recovery period or a reduction in intensity to avoid excessive strain.
- Workout route and Activity Suggestion: The model can recommend specific workout routes or activities that align with the user’s fitness goals and preferences by analyzing historical workout data and heart rate responses. This is especially beneficial for users who wish to explore new routes or maintain their regular exercise routine while traveling. The recommendation system can identify routes that match a user’s preferred heart rate profile or suggest new routes that offer similar physiological challenges, such as maintaining a steady heart rate or achieving specific exertion levels.Scenario: A user who frequently runs on a flat course might receive a suggestion to try a hilly route that provides a similar heart rate response due to its variability in incline. This approach helps users diversify their workouts, potentially enhancing overall fitness by exposing them to different physical demands while keeping the exercise routine engaging.
7. Conclusions
Author Contributions
Funding
Data Availability Statement
Conflicts of Interest
References
- Anderson, E.; Durstine, J.L. Physical activity, exercise, and chronic diseases. A brief review. Sports Med. 2019, 1, 3–10. [Google Scholar] [CrossRef] [PubMed]
- Rippe, J.M. Lifestyle Medicine. The Health Promoting Power of Daily Habits and Practices. Am. J. Lifestyle Med. 2018, 12, 499–512. [Google Scholar] [CrossRef] [PubMed]
- Shei, R.J.; Holder, I.G.; Oumsang, A.S.; Paris, B.A.; Paris, H.L. Wearable activity trackers–advanced technology or advanced marketing? Eur. J. Appl. Physiol. 2022, 122, 1975–1990. [Google Scholar] [CrossRef] [PubMed]
- Nazaret, A.; Tonekaboni, A.S.; Darnell, G.; Ren, S.Y.; Sapiro, G.; Miller, A.C. Modeling personalized heart rate response to exercise and environmental factors with wearables data. NPJ Digit. Med. 2023, 6, 207. [Google Scholar] [CrossRef] [PubMed]
- Jiamo, N.; Muhlstein, L.; McAuley, J. Modeling heart rate and activity data for personalized fitness recommendation. In Proceedings of the World Wide Web Conference, WWW 2019, San Francisco, CA, USA, 13–17 May 2019; pp. 1343–1353. [Google Scholar]
- Zahedani, A.D.; McLaughlin, T.; Veluvali, A.; Aghaeepour, N.; Hosseinian, A.; Agarwal, S.; Ruan, J.; Tripathi, S.; Woodward, M.; Hashemi, N.; et al. Digital health application integrating wearable data and behavioral patterns improves metabolic health. NPJ Digit. Med. 2024, 7, 9. [Google Scholar] [CrossRef]
- Zhu, Z.; Li, H.; Xiao, J.; Xu, W.; Huang, M.C. A fitness training optimization system based on heart rate prediction under different activities. Methods 2022, 205, 89–96. [Google Scholar] [CrossRef]
- Martín-Escudero, P.; Cabanas, A.M.; Dotor-Castilla, M.L.; Galindo-Canales, M.; Miguel-Tobal, F.; Fernández-Pérez, C.; Fuentes-Ferrer, M.; Giannetti, R. Are Activity Wrist-Worn Devices Accurate for Determining Heart Rate during Intense Exercise? Bioengineering 2023, 10, 254. [Google Scholar] [CrossRef]
- Whipple, M.O.; Schorr, E.N.; Talley, K.M.C.; Lindquist, R.; Bronas, U.G.; Treat-Jacobson, D. Variability in individual response to aerobic exercise interventions among older adults. J. Aging Phys. 2018, 26, 655–670. [Google Scholar] [CrossRef]
- Brydges, C.R.; Liu-Ambrose, T.; Bielak, A.A.M. Using intraindividual variability as an indicator of cognitive improvement in a physical exercise intervention of older women with mild cognitive impairment. Neuropsychology 2020, 34, 825–834. [Google Scholar] [CrossRef]
- Jelinek, H.F.; Karmakar, C.; Kiviniemi, A.M.; Hautala, A.J.; Tulppo, M.P.; Mäkikallio, T.H.; Huikuri, H.V.; Khandoker, A.H.; Palaniswami, M. Temporal dynamics of the circadian heart rate following low and high volume exercise training in sedentary male subjects. Eur. J. Appl. Physiol. 2015, 115, 2069–2080. [Google Scholar] [CrossRef]
- Stephenson, M.D.; Thompson, A.G.; Merrigan, J.J.; Stone, J.D.; Hagen, J.A. Applying Heart Rate Variability to Monitor Health and Performance in Tactical Personnel: A Narrative Review. Int. J. Environ. Res. Public Health 2021, 18, 8143. [Google Scholar] [CrossRef] [PubMed]
- Mazzoleni, M.J.; Battaglini, C.L.; Martin, K.J.; Coffman, E.M.; Ekaidat, J.A.; Wood, W.A.; Mann, B.P. A dynamical systems approach for the submaximal prediction of maximum heart rate and maximal oxygen uptake. Sports Eng. 2018, 21, 31–41. [Google Scholar] [CrossRef]
- Mazzoleni, M.J.; Battaglini, C.L.; Martin, K.J.; Coffman, E.M.; Mann, B.P. Modeling and predicting heart rate dynamics across a broad range of transient exercise intensities during cycling. Sports Eng. 2016, 19, 117–127. [Google Scholar] [CrossRef]
- Ferguson, T.; Olds, T.; Curtis, R.; Blake, H.; Crozier, A.J.; Dankiw, K.; Dumuid, D.; Kasai, D.; O’Connor, E.; Virgara, R.; et al. Effectiveness of wearable activity trackers to increase physical activity and improve health: A systematic review of systematic reviews and meta-analyses. Lancet Digit. Health 2022, 4, e615–e626. [Google Scholar] [CrossRef] [PubMed]
- Banaee, H.; Ahmed, M.U.; Loutfi, A. Data mining for wearable sensors in health monitoring systems: A review of recent trends and challenges. Sensors 2013, 13, 17472–17500. [Google Scholar] [CrossRef]
- Tang, M.S.S.; Moore, K.; McGavigan, A.; Clark, R.A.; Ganesan, A.N. Effectiveness of wearable trackers on physical activity in healthy adults: Systematic review and meta-analysis of randomized controlled trials. JMIR mHealth uHealth 2022, 8, e18868. [Google Scholar] [CrossRef]
- Greco, G.; Poli, L.; Clemente, F.M.; Fischetti, F.; Cataldi, S. The Effectiveness of New Digital Technologies in Increasing Physical Activity Levels and Promoting Active and Healthy Ageing: A Narrative Review. Health Soc. Care Community 2023, 2023, 2803620. [Google Scholar] [CrossRef]
- Ates, H.C.; Yetisen, A.K.; Güder, F.; Dincer, C. Wearable devices for the detection of COVID-19. Nat. Electron. 2021, 4, 13–14. [Google Scholar] [CrossRef]
- Hasasneh, A.; Hijazi, H.; Talib, M.A.; Afadar, Y.; Nassif, A.B.; Nasir, Q. Wearable Devices and Explainable Unsupervised Learning for COVID-19 Detection and Monitoring. Diagnostics 2023, 13, 3071. [Google Scholar] [CrossRef]
- Natarajan, A.; Su, H.W.; Heneghan, C.; Blunt, L.; O’Connor, C.; Niehaus, L. Measurement of respiratory rate using wearable devices and applications to COVID-19 detection. NPJ Digit. Med. 2021, 4, 136. [Google Scholar] [CrossRef]
- Oyeleye, M.; Chen, T.; Titarenko, S.; Antoniou, G. A Predictive Analysis of Heart Rates Using Machine Learning Techniques. Int. J. Environ. Res. Public Health 2022, 19, 2417. [Google Scholar] [CrossRef] [PubMed]
- Tao, K.; Li, J.; Shan, W.; Yan, H.; Lu, Y. Estimation of Heart Rate Using Regression Models and Artificial Neural Network in Middle-Aged Adults. Front. Physiol. 2021, 12, 742754. [Google Scholar] [CrossRef] [PubMed]
- Lin, H.; Zhang, S.; Li, Q.; Li, Y.; Li, J.; Yang, Y. A new method for heart rate prediction based on LSTM-BiLSTM-Att. Measurement 2023, 207, 112384. [Google Scholar] [CrossRef]
- Signorini, M.G.; Pini, N.; Malovini, A.; Bellazzi, R.; Magenes, G. Integrating machine learning techniques and physiology based heart rate features for antepartum fetal monitoring. Comput. Methods Programs Biomed. 2022, 185, 105015. [Google Scholar] [CrossRef] [PubMed]
- Neshitov, A.; Tyapochkin, K.; Kovaleva, M.; Dreneva, A.; Surkova, E.; Smorodnikova, E.; Pravdin, P. Estimation of cardiorespiratory fitness using heart rate and step count data. Sci. Rep. 2023, 13, 15808. [Google Scholar] [CrossRef]
- Stork, M.; Novak, J.; Zeman, V. Dynamic models of some physiological parameters in response to exercise. In Proceedings of the International Conference on Applied Electronics 2019, Pilsen, Czech Republic, 10–11 September 2019; Volume 22, pp. 122–129. [Google Scholar]
- Rosas, F.E.; Candia-Rivera, D.; Luppi, A.I.; Guo, Y.; Mediano, P.A.M. Bayesian at heart: Towards autonomic outflow estimation via generative state-space modelling of heart rate dynamics. Comput. Biol. Med. 2024, 170, 107857. [Google Scholar] [CrossRef]
- Zhang, H.; Wen, B.; Liu, J. The Prediction of Heart Rate during Running Using Bayesian Combined Predictor. In Proceedings of the 14th International Wireless Communications and Mobile Computing Conference, IWCMC 2018, Limassol, Cyprus, 25–29 June 2018. [Google Scholar]
- Ladyzynski, P.; Molik, M.; Foltynski, P. Dynamic Bayesian networks for prediction of health status and treatment effect in patients with chronic lymphocytic leukemia. Sci. Rep. 2022, 12, 1811. [Google Scholar] [CrossRef]
- Chen, Q.; Tang, B.; Song, J.; Jiang, Y.; Zhao, X.; Ruan, Y.; Zhao, F.; Wu, G.; Chen, T.; He, J. Dynamic Bayesian network for predicting physiological changes, organ dysfunctions and mortality risk in critical trauma patients. BMC Med. Inform. Decis. Mak. 2022, 22, 119. [Google Scholar] [CrossRef]
- Marshall, A.H.; Hill, L.A.; Kee, F. Continuous Dynamic Bayesian networks for predicting survival of ischaemic heart disease patients. In Proceedings of the IEEE Symposium on Computer-Based Medical Systems, Perth, PA, USA, 12–15 October 2010; pp. 178–183. [Google Scholar]
- Malhotra, R.; Singh, P. Recent advances in deep learning models: A systematic literature review. Multimed. Tools Appl. 2023, 82, 44977–45060. [Google Scholar] [CrossRef]
- Liu, X.; Gao, B.; Suleiman, B.; You, H.; Ma, Z.; Liu, Y.; Anaissi, A. Privacy-Preserving Personalized Fitness Recommender System P3FitRec: A Multi-level Deep Learning Approach. ACM Trans. Knowl. Discov. Data 2023, 17, 1–24. [Google Scholar]
- Lin, W.; Zhao, X.; Wang, Y.; Xu, T.; Wu, X. AdaFS: Adaptive Feature Selection in Deep Recommender System. In Proceedings of the ACM SIGKDD International Conference on Knowledge Discovery and Data Mining, Association for Computing Machinery, Washington, DC, USA, 14–18 August 2022; pp. 3309–3317. [Google Scholar]
- Kayange, H.; Mun, J.; Park, Y.; Choi, J.; Choi, J. ProAdaFS: Probabilistic and Adaptive Feature Selection in Deep Recommendation Systems. In Proceedings of the 38th International Conference on Information Networking ICOIN, Ho Chi Minh City, Vietnam, 17–19 January 2024; pp. 756–761. [Google Scholar]
- Robusto, C.C. The Cosine-Haversine Formula. Am. Math. Mon. 1957, 64, 38–40. [Google Scholar] [CrossRef]









| Variable | Unit |
|---|---|
| Measurement | |
| Heart rate | Beats per Minute (BPM) |
| Time Grid | Seconds |
| Distance | Meters |
| Speed (Horizontal) | Meters per Second (m/s) |
| Speed (Vertical) | Meters per Second (m/s) |
| Contextual | |
| UserID | |
| WorkoutID | |
| Sport | |
| Gender | Male (1), Female (0) |
| Altitude | Meters (m) |
| Longitude | Degrees |
| Latitude | Degrees |
| Derived | |
| Elevation Gain | Meters (m) |
| Average Speed | Kilometers per Hour (KMPH) |
| Speed Variability | Meters per Second (m/s) |
| Max Heart Rate | Beats per Minute (BPM) |
| Total Distance | Meters (m) |
| Statistics | Value |
|---|---|
| Total number of users | 665 (590 male, 65 female) |
| Total number of workouts | 38,323 |
| Average workout speed | 3.7 km/h |
| Workout frequency per User | 68 |
| Average workout duration | 48.54 Min |
| Model | MAE (BPM) | RMSE (BPM) |
|---|---|---|
| Hybrid ODE Model | 6.1 | - |
| FitRec (U/S/C) | 7.0 | 17.1 |
| Hybrid DBN Model | 5.2 | 8.1 |
| Model | MAE (BPM) |
|---|---|
| Hybrid DBN Model | 5.2 |
| Without LSTM Encoder | 21.3 |
| Without Adaptive Feature Selection | 12.5 |
| Without Personalized Parameters | 11.7 |
Disclaimer/Publisher’s Note: The statements, opinions and data contained in all publications are solely those of the individual author(s) and contributor(s) and not of MDPI and/or the editor(s). MDPI and/or the editor(s) disclaim responsibility for any injury to people or property resulting from any ideas, methods, instructions or products referred to in the content. |
© 2024 by the authors. Licensee MDPI, Basel, Switzerland. This article is an open access article distributed under the terms and conditions of the Creative Commons Attribution (CC BY) license (https://creativecommons.org/licenses/by/4.0/).
Share and Cite
Kayange, H.; Mun, J.; Park, Y.; Choi, J.; Choi, J. A Hybrid Approach to Modeling Heart Rate Response for Personalized Fitness Recommendations Using Wearable Data. Electronics 2024, 13, 3888. https://doi.org/10.3390/electronics13193888
Kayange H, Mun J, Park Y, Choi J, Choi J. A Hybrid Approach to Modeling Heart Rate Response for Personalized Fitness Recommendations Using Wearable Data. Electronics. 2024; 13(19):3888. https://doi.org/10.3390/electronics13193888
Chicago/Turabian StyleKayange, Hyston, Jonghyeok Mun, Yohan Park, Jongsun Choi, and Jaeyoung Choi. 2024. "A Hybrid Approach to Modeling Heart Rate Response for Personalized Fitness Recommendations Using Wearable Data" Electronics 13, no. 19: 3888. https://doi.org/10.3390/electronics13193888
APA StyleKayange, H., Mun, J., Park, Y., Choi, J., & Choi, J. (2024). A Hybrid Approach to Modeling Heart Rate Response for Personalized Fitness Recommendations Using Wearable Data. Electronics, 13(19), 3888. https://doi.org/10.3390/electronics13193888

