Abstract
With the advantages of high speed, small size, and easy integration, the silicon photonic resonant ring modulator has gradually become a critical device for emerging integrated optical platforms. Ring modulators are primarily used in optical communications, optical computing, artificial intelligence, and other fields. In this work, the proposed ring modulator can operate in both the O- and C-bands. The 3 dB electro-optical (EO) bandwidth of the ring modulator is 39 GHz and 34 GHz at −4 V in the O-band and C-band, respectively. The modulation efficiency of the device is 0.92 V·cm and 0.95 V·cm in the O-band and C-band, respectively. The eye diagram of an optical output signal from the device is tested using a 100 Gbit/s non-return-to-zero (NRZ) input signal with a 2.5 Vpp in both the O-band and C-band. The modulation speed can reach 140 Gb/s and 120 Gb/s in the O-band and C-band with four-level pulse amplitude modulation (PAM-4) formats at a voltage swing of 2.5 Vpp, respectively.
1. Introduction
With the rise and development of industries such as artificial intelligence (AI), the metaverse, and fully automated driving (FSD) [1,2,3], the continuous growth of data computing has been significantly promoted, necessitating faster and more efficient interconnection technologies [4,5]. Traditional internal connections in electronic chips cannot meet the rapidly increasing demands for bandwidth and power consumption in future applications. Optical solutions have been widely proven to be superior to traditional electrical links, offering high-bandwidth and low power consumption capability [6,7,8]. Due to its high-bandwidth density, optical interconnection has become a promising solution to address the rapidly increasing demand for data transmission. Silicon photonics technology is a key technology for the rapid processing and transmission of massive amounts of information [9,10,11,12]. The preferred solution for information transmission through modulated optical signals is to use silicon-based electro-optic modulators for external modulation.
Due to the compatibility and large-scale production advantages of silicon photonics with complementary metal oxide semiconductors (CMOSs), as well as the high refractive index contrast on the Si photonics platform, microring resonators provide single-mode, high-confinement, and low-loss waveguides. The microring modulator (MRM) utilizes the inherent wavelength selectivity of the microring resonator to achieve modulation of optical signals. Compared with large silicon Mach–Zehnder modulators (MZMs) that are millimeters in length [13,14], MRMs have a smaller footprint, with a radius typically ranging from a few micrometers to tens of micrometers [15,16,17,18], and the optical resonance within the cavity effectively increases the optical path length. The compact footprint also reduces the parasitic capacitance of the device, further improving its bandwidth. Various Si PN junction configurations have been demonstrated for MRMs, including the vertical junction [19], U-junction [20,21,22], and L-shaped junction [23,24]. A simple four-step doping method can simplify the fabrication process. In 2022, Yuanang Zhang et al. proposed and fabricated an ultrafast microring modulator with a of 0.825 V·cm, capable of supporting PAM-8-rate transmission at 240 Gb/s. Due to the optical peak effect, the device’s bandwidth reaches 110 GHz [25]. David W. U. Chan et al. proposed and demonstrated a high-efficiency silicon microring modulator for next-generation optical transmitters, operating at line rates above 300 Gb/s with a driving voltage of 1.8 [26]. Additionally, Si MRM arrays used for optical interconnection have been proven to achieve transmission rates of 1 Tb/s [27,28]. Si MRMs are currently key components in the field of optical computing and interconnection, necessitating research and design of Si MRMs with a large wavelength operating range.
This article studies and manufactures a Si MRM that can operate simultaneously in both the O-band and C-band, capable of transmitting speeds exceeding 100 Gb/s in different bands.
2. Device Design
The device design involves optimizing the optical waveguide structure, refining the doping region design, and determining the distribution of charge carriers based on doping simulation results. By simulating the P and N regions separately, the resistance values of these regions can be determined, and the capacitance values can be calculated accordingly. The most common modulation method used in silicon optical devices is the plasmonic dispersion effect, in which the concentration of free charges in silicon changes the real and imaginary parts of the refractive index. Soref and Bennett [29] studied the changes in refractive index and absorption rate, and derived the following expression to evaluate the changes in carrier density in silicon. The variation in the refractive index (Δn) and the absorption coefficient (Δα) with carrier concentration is as follows:
where Δ is the change in electron concentration, while Δ is the change in hole concentration. The electron and hole densities can be converted into changes in the refractive index and absorption coefficient of the material, thereby obtaining the optical loss and modulation efficiency results of the device.
The microring structure used for the modulator design in this article consists of a single-waveguide coupling structure (a microring resonator and a straight waveguide) with a coupling region between the straight waveguide and the ring in the middle. The device is designed based on a commercially available SOI wafer with the top silicon layer thickness of 220 nm, and will be processed in Shanghai μTechnology Industry Research Institute (SITRI). Considering that SITRI’s MPW process provides an etching depth of 130 nm for the top silicon layer, the slab thickness of the ridge waveguide is set to be 90 nm. The device is designed to be worked in TE mode in both the O-band and C-band. So, the design of the waveguide width should enable single-mode transmission in both the O-band and C-band. We subsequently conducted simulations of the effective refractive index of TE mode changing with the width of the ridge waveguide at a wavelength of 1310 nm (O-band) and 1550 nm (C-band). From Figure 1, it can be seen that when the width of the ridge waveguide is greater than 420 nm, higher-order modes appear in the waveguide, causing additional losses that are not conducive to single-mode transmission. Therefore, we ultimately designed a ridge waveguide width of 420 nm.
Figure 1.
Variation in effective refractive index with ridge width at 1310 and 1550 nm.
The cross-sectional diagram of the microring modulator is depicted in Figure 2. For the convenience of observation, Figure 2a omits the upper layer of silica dioxide. A horizontal transverse PN junction is embedded in the ring waveguide, with a simple four-step doping method employed, incorporating light doping in the ridge waveguide region and heavy doping in the slab layer for metal contact. To leverage the refractive index change resulting from variations in hole concentration, which is greater than that caused by changes in electron concentration (as shown in Equation (1)), a non-symmetrical PN junction structure is adopted, shifted 40 nm toward the N region, in pursuit of enhanced modulation efficiency.
Figure 2.
(a) A schematic illustration of the high-performance Si MRM; (b) a cross-sectional diagram of the microring modulator.
The final selected doping concentration in the P region is approximately 3 , in the N region, it is about 3 , and in the heavily doped region, it is around 1 , which promotes the formation of Ohmic contacts. Based on these doping conditions, the PN junction phase shift arm was doped, and the relationship between carrier distribution and reverse bias voltage was simulated through structural modeling. The red area in Figure 3 represents the concentration of different carriers. It was observed that the width of the depletion region increases with higher reverse bias voltages. Additionally, the carrier concentration on both sides of the depletion layer decreases as the bias voltage increases.
Figure 3.
Simulated carrier distribution at (a) 0 V and (b) 6 V reverse bias.
Under wavelength conditions of 1310 nm and 1550 nm, the presence of the free-carrier plasma dispersion effect causes changes in the effective refractive index and optical loss of the phase-shifting arm from a 0 V to 6 V reverse bias voltage. Figure 4a,b, respectively, show the changes in the effective refractive index and loss of O-band and C-band light transmitted in the ridge waveguide. In addition, applying a reverse bias voltage on the PN junction will reduce the carrier concentration. As the voltage increases, the carrier concentration changes slowly and tends to saturate, making the curve nonlinear. It is observed that the effective refractive index change increases with higher bias voltages, while the optical loss decreases with increasing bias voltage.
Figure 4.
The simulation results of the changes in the effective refractive index and optical loss of the phase shifter corresponding to different reverse bias voltages at a wavelength of (a) 1310 nm and (b) 1550 nm.
We used optical simulation software to obtain the transmission spectrum and modulation efficiency of the MRM in the O-band and C-band, respectively. The modulation efficiency can be expressed as
where is the DC bias voltage at both ends of the PN junction, L is the circumference of the MRM, FSR is the distance between the two resonant peaks of the device, and Δλ is the offset of the resonant peaks under different biases.
The modulation efficiency of the device in the O-band and C-band under −4 V bias can be calculated to be 0.72 V·cm and 1.02 V·cm, respectively, by analyzing the resonant peak offset of the Si MRM at different biases. Both the photon lifetime limited optical bandwidth and the resistance–capacitance constant limited electrical bandwidth determine the EO bandwidth of the Si MRM [27]. Among them, the optical bandwidth can be expressed as
where λ, , and c are the resonant wavelength, the -factor, and the light speed in a vacuum. The electrical bandwidth can be expressed as
where , = 50 Ω, and are the modulator series resistance, driver impedance, and junction capacitance of the MRM, respectively. Finally, the EO bandwidth can be obtained through the above two formulas.
From Equation (5), one can find that to improve the EO bandwidth of the MRMs, the, -factor, , and should be decreased, while all of them are mostly dependent on the doping concentration. According to the transmission spectral lines in (a) and (b) of Figure 5, Formula (2) can be used to obtain the values of the device in the O- and C-bands, and the optical bandwidth of the device can be obtained, which is 38 GHz and 55 GHz, respectively. The variation in the unit junction capacitance of the PN junction depletion region with a reverse bias voltage can be obtained from the model, as shown in Figure 6. can be calculated as 150 ohms through simulation silicon slab layer doping, and the EO bandwidth of the device can be obtained through Formula 3, which is 34 GHz in the O-band, and in the C-band, it is 41 GHz at −4 V.
Figure 5.
The simulation results of the transmission spectral line of the microring under different bias voltages: (a) O-band; (b) C-band.
Figure 6.
The variation curve of unit junction capacitance with a DC reverse bias voltage.
3. Fabrication and Results
The devices are fabricated using the 8-inch silicon photonics platform from the Shanghai Industrial μTechnology Research Institute, and the standard process of device fabrication is shown in Figure 7. A layer of silicon dioxide hard mask was deposited on SOI wafers by using plasma-enhanced chemical vapor deposition (PECVD), and the top layer of 220 nm silicon was photo-lithographed, leaving behind a ridge waveguide with a height of 220 nm and a silicon slab with a height of 90 nm after removing the photoresist. The next steps were as follows: depositing a 10 nm thick silicon dioxide barrier layer on the silicon surface by using PECVD, lightly doping the ridge waveguide P and N regions, doping the silicon slab layer with heavy P and heavy N regions, then depositing silicon dioxide, and dry etching to form through holes, and exposing the heavily doped areas. Interconnecting and conducting were carried out by filling the through holes with a metal alloy AlCu (metal1). Then, silicon dioxide was deposited and followed by chemical mechanical polishing (CMP). A TiN heating layer was deposited and silicon dioxide was deposited to form an upper cladding layer. Subsequently, the upper cladding layer was etched until it made contact with metal1. Then, the metal alloy AlCu was filled to form metal2, and finally, silicon dioxide was deposited and etched to expose the metal pad to perform device testing.
Figure 7.
The standard process flow of fabricating the silicon MRM.
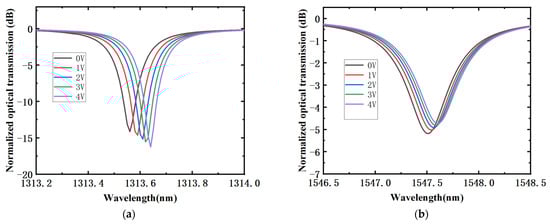
The structure of the fabricated Si MRM is shown in Figure 8a. The microring modulator fabricated by the foundry has a small footprint (approximately 100 μm2) and is easily integrated on a large scale. The testing of DC performance is relatively simple. The light output by the laser is coupled into the device through a polarization controller and then input to the power meter through a link. We tested the transmission spectra of the device by applying different biases to the DC pad, and the transmission spectra of the device under different biases are shown in Figure 9.
Figure 8.
(a) A microscopic photo of the microring modulator on the chip; (b) a cross-sectional view of the coupling region’s annular waveguide and straight waveguide.
Figure 9.
The transmission spectrum of the manufactured microring modulator under different DC biases. (a) O-band; (b) C-band.
As the DC bias of the device increases, the optical transmission spectral line undergoes a red shift, moving toward longer wavelengths. The modulation efficiency of the microring resonator in the O-band and C-band has been measured and calculated to be 27.5 pm/V and 31.5 pm/V, respectively. The overall insertion loss of the device is approximately 2.5 dB. Under a reverse bias voltage of 4 V, the modulation efficiency of the device at a −4 V DC bias is 0.92 V·cm in the O-band and 0.957 V·cm in the C-band. It can be observed that the resonance depth of the resonant peak of the microring is significantly deeper than that in the simulation scenario. This discrepancy arises because, during simulation, the gap between the coupling zone microring and the straight waveguide was set at 200 nm. However, in the manufacturing process, the actual gap exceeded 200 nm, as shown in the SEM image in Figure 8b. This increased gap leads to a higher value of the microring resonator, resulting in a decrease in the optical bandwidth of the microring and ultimately a reduction in the electro-optic (EO) response bandwidth. In the next batch of tape-outs, we will make several different widths of the bandgap between the microring and the straight waveguide to reduce the errors caused by the process. In addition, optimizing bandgaps to put the microring modulator in an over-coupled state and close to critical coupling can achieve lower values while increasing the bandwidth of the device.
The function of the TiN heater is wavelength tuning of the microrings. The resonant wavelength shifts red with the increase in voltage, and the corresponding resonant wavelength varies with the power of the heater, as shown in Figure 10, with a red shift of about 67 pm/mW.
Figure 10.
The microring resonance wavelength versus heater power.
We conducted RF testing of the device, as shown in the testing setup in Figure 11, which includes bandwidth and eye diagram testing. The laser outputs light, which is fed to the device under test through a polarization controller. The DC probe biases and pressurizes the device, while the RF signal output by the network analyzer is loaded onto the device through the GS high-frequency probe. The modulated optical signal output by the modulator is input to the LCA optical interface, and the network analyzer is connected to the LCA to provide a reference electrical signal. The device’s electro-optical bandwidth was tested by adjusting the wavelength to the 3 dB operating point of the device. We tested the S21 parameters of the device under reverse bias voltages ranging from 0 V to 4 V, as shown in Figure 12. The electro-optic bandwidth of the O-band device is 30 GHz under a 0 V bias voltage; 36 GHz under a 2 V reverse bias; and 39 GHz under a 4 V reverse bias. For the C-band, the electro-optic bandwidth is 20 GHz under a 0 V bias; 31 GHz under a 2 V reverse bias; and 34 GHz under a 4 V reverse bias. As the bias voltage increases, the EO bandwidth of the device also increases.
Figure 11.
Schematic diagram of device test system, bandwidth link, and eye diagram link.
Figure 12.
Measured electro-optic (EO) responses: (a) O-band; (b) C-band.
We obtained S parameters based on RF testing and performed parameter fitting. Figure 13a shows the cross-section of the device along with the equivalent circuit diagram overlaid on it. Vpn+ and Vpn- are connected to the S and G terminals of the GS high-frequency probe, respectively. Rn and Rp represent the resistances in the doped Si layer, Cn and Cp represent the capacitances between the doped silicon layer and the silicon substrate, and Rsi represents the resistance of the silicon substrate beneath the device. The capacitance in the depletion region is denoted as Cj when a negative voltage is applied across the junction, with Vj representing the voltage at the junction. Figure 13b presents the Si MRM equivalent circuit, where Rs = Rn + Rp and Csi = Cn || Cp. The real and imaginary parts of the S11 curve fitted by the Si MRM in the O-band are shown in Figure 14, and the fitted parameters are listed in Table 1. It can be observed that the fitting of the real part of S11 closely matches the original data.
Figure 13.
(a) A cross-sectional view of the device with a single-drive push–pull electrode design; (b) the distributed equivalent circuit model.
Figure 14.
(a) Real and (b) imaginary S11 curves of the O-band Si MRM at −4 V.
Table 1.
The capacitance and resistance models extracted from the equivalent circuit model of the microring in Table 1.
For non-return-to-zero (NRZ) modulation, the energy consumption per bit can be expressed as
where is the device capacitance. Considering an experimentally measured junction capacitance of approximately 3.34 fF for our device and a voltage of 2.5 , the energy consumption per bit is calculated to be 5.21 fJ/bit.
Under a reverse bias voltage of 4 V, the electro-optic bandwidths of the device in the O-band and C-band are 39 GHz and 34 GHz, respectively. Subsequently, we measured the eye diagram results using the setup shown in Figure 11 to comprehensively characterize the high-speed performance of the device. Various rates of (215−1) NRZ Pseudo Random Bit Sequence (PRBS) electrical signals were generated by a clock and code generator, amplified to 2.5 by an RF amplifier, and loaded onto the device. The light output from the laser was fed to the device under test through a polarization controller. The DC probe biased and pressurized the device, and the modulated light signal output by the device was sent to the oscilloscope for detection. Simultaneously, the signal output by the signal generator system was sent to the oscilloscope for reference.
The measured eye diagrams with PRBS15 signals are shown in Figure 15. In the O-band, the NRZ modulation rate of the device reached 100 Gb/s, with an ER of 2.4 dB and a signal-to-noise ratio (SNR) of 3.3. The PAM4 modulation rate reached 140 Gb/s, with an ER of 2.5 dB. In the C-band, the device also achieved excellent performance, with an NRZ modulation rate of 100 Gb/s, an ER of 0.66 dB, and an SNR of 5.7. The PAM4 modulation rate in the C-band reached 120 Gb/s, with an ER of 1.1 dB. The MRM supports data transmission rates exceeding 100 Gbit/s, with a bit error rate (BER) lower than the hard-decision forward error correction (HD-FEC) threshold of 3.8 × 10−3. The relationship between the BER and the received optical power of the device is shown in Figure 16. The higher the received optical power, the lower the bit error rate. Table 2 compares our device with other high-performance devices that have been published. The advantage of our device is that it has a relatively simple doping process, can work simultaneously in the O- and C-bands, and has high speed, small size, and low power consumption. The MRM we designed has great application potential in optical transmitters, playing an immeasurable role in the future field of optical computing and interconnection.

Figure 15.
An eye diagram for the ring modulator at a data transmission rate of (a) 100 Gb/s with NRZ modulation in the O-band, (b) 140 Gb/s with PAM4 modulation in the O-band, (c) 100 Gb/s with NRZ modulation in the C-band, and (d) 120 Gb/s with PAM4 modulation in the C-band.
Figure 16.
Calculated BER for 100 Gb/s NRZ signal at different received optical powers.
Table 2.
Performance comparison of high-speed EO modulators.
4. Conclusions
In conclusion, we have demonstrated a compact (~100 μm2), high-speed (39 GHz) silicon electro-optic modulator with a very low voltage (2.5 ) and ultralow energy consumption (5.21 fJ/bit). The device also achieved excellent eye diagram performance, with the NRZ modulation rate exceeding 100 Gb/s. The PAM4 modulation rate in the O-band reached 140 Gb/s, with an ER of 2.5 dB. The PAM4 modulation rate in the C-band reached 120 Gb/s, with an ER of 1.1 dB. This device exhibits a good modulation efficiency of 0.92 V·cm at −4 V and a high thermal tuning efficiency of 67 pm/mW. This efficient and high-speed silicon modulator will play an important role in data communication and high-density integrated circuits with a large number of channels.
Author Contributions
Conceptualization, F.X. and S.W.; methodology, Y.C., S.Z. and X.G.; software, F.X. and Q.X.; validation, Y.C., S.W. and W.Y.; formal analysis, F.X.; investigation, F.X.; resources, Y.C., W.W., W.Y. and Q.X.; data curation, Y.C.; writing—original draft preparation, F.X.; writing—review and editing, F.X.; visualization, F.X.; supervision, Y.C. and S.W.; project administration, Y.C., W.W., W.Y. and Q.X.; funding acquisition, Y.C., W.W., W.Y. and Q.X. All authors have read and agreed to the published version of the manuscript.
Funding
This study was funded by the National Key Research and Development Program of China (2020YFB2206100), the National Natural Science Foundation of China (62204250), and the Key Research and Development Program sponsored by the Ministry of Science and Technology (k0063).
Data Availability Statement
The original contributions presented in the study are included in the article, further inquiries can be directed to the corresponding author.
Conflicts of Interest
The authors declare no conflicts of interest.
References
- Miller, D.A.B. Attojoule Optoelectronics for Low-Energy Information Processing and Communications. J. Light. Technol. 2017, 35, 346–396. [Google Scholar] [CrossRef]
- Zhou, T.; Lin, X.; Wu, J.; Chen, Y.; Xie, H.; Li, Y.; Fan, J.; Wu, H.; Fang, L.; Dai, Q. Large-Scale Neuromorphic Optoelectronic Computing with a Reconfigurable Diffractive Processing Unit. Nat. Photonics 2021, 15, 367–373. [Google Scholar] [CrossRef]
- Sun, C.; Wade, M.T.; Lee, Y.; Orcutt, J.S.; Alloatti, L.; Georgas, M.S.; Waterman, A.S.; Shainline, J.M.; Avizienis, R.R.; Lin, S.; et al. Single-Chip Microprocessor That Communicates Directly Using Light. Nature 2015, 528, 534–538. [Google Scholar] [CrossRef] [PubMed]
- Behroozpour, B.; Sandborn, P.A.M.; Wu, M.C.; Boser, B.E. Lidar System Architectures and Circuits. IEEE Commun. Mag. 2017, 55, 135–142. [Google Scholar] [CrossRef]
- Qian, R.; Zhou, K.C.; Zhang, J.; Viehland, C.; Dhalla, A.-H.; Izatt, J.A. Video-Rate High-Precision Time-Frequency Multiplexed 3D Coherent Ranging. Nat. Commun. 2022, 13, 1476. [Google Scholar] [CrossRef] [PubMed]
- Roelkens, G.; Liu, L.; Liang, D.; Jones, R.; Fang, A.; Koch, B.; Bowers, J. III-V/Silicon Photonics for on-Chip and Intra-Chip Optical Interconnects. Laser Photonics Rev. 2010, 4, 751–779. [Google Scholar] [CrossRef]
- Shekhar, S.; Bogaerts, W.; Chrostowski, L.; Bowers, J.E.; Hochberg, M.; Soref, R.; Shastri, B.J. Roadmapping the next Generation of Silicon Photonics. Nat. Commun. 2024, 15, 751. [Google Scholar] [CrossRef] [PubMed]
- Liang, D.; Srinivasan, S.; Kurczveil, G.; Tossoun, B.; Cheung, S.; Yuan, Y.; Descos, A.; Hu, Y.; Huang, Z.; Sun, P.; et al. An Energy-Efficient and Bandwidth-Scalable DWDM Heterogeneous Silicon Photonics Integration Platform. IEEE J. Sel. Top. Quantum Electron. 2022, 28, 1–19. [Google Scholar] [CrossRef]
- Mahajan, R.; Li, X.; Fryman, J.; Zhang, Z.; Nekkanty, S.; Tadayon, P.; Jaussi, J.; Shumarayev, S.; Agrawal, A.; Jadhav, S.; et al. Co-Packaged Photonics For High Performance Computing: Status, Challenges And Opportunities. J. Light. Technol. 2022, 40, 379–392. [Google Scholar] [CrossRef]
- Haffner, C.; Heni, W.; Fedoryshyn, Y.; Niegemann, J.; Melikyan, A.; Elder, D.L.; Baeuerle, B.; Salamin, Y.; Josten, A.; Koch, U.; et al. All-Plasmonic Mach–Zehnder Modulator Enabling Optical High-Speed Communication at the Microscale. Nat. Photonics 2015, 9, 525–528. [Google Scholar] [CrossRef]
- Wang, C.; Zhang, M.; Chen, X.; Bertrand, M.; Shams-Ansari, A.; Chandrasekhar, S.; Winzer, P.; Lončar, M. Integrated Lithium Niobate Electro-Optic Modulators Operating at CMOS-Compatible Voltages. Nature 2018, 562, 101–104. [Google Scholar] [CrossRef] [PubMed]
- Lu, G.-W.; Hong, J.; Qiu, F.; Spring, A.M.; Kashino, T.; Oshima, J.; Ozawa, M.; Nawata, H.; Yokoyama, S. High-Temperature-Resistant Silicon-Polymer Hybrid Modulator Operating at up to 200 Gbit S−1 for Energy-Efficient Datacentres and Harsh-Environment Applications. Nat. Commun. 2020, 11, 4224. [Google Scholar] [CrossRef] [PubMed]
- Dong, P.; Chen, L.; Chen, Y. High-Speed Low-Voltage Single-Drive Push-Pull Silicon Mach-Zehnder Modulators. Opt. Express 2012, 20, 6163–6169. [Google Scholar] [CrossRef] [PubMed]
- Petousi, D.; Zimmermann, L.; Gajda, A.; Kroh, M.; Voigt, K.; Winzer, G.; Tillack, B.; Petermann, K. Analysis of Optical and Electrical Tradeoffs of Traveling-Wave Depletion-Type Si Mach–Zehnder Modulators for High-Speed Operation. IEEE J. Sel. Top. Quantum Electron. 2015, 21, 199–206. [Google Scholar] [CrossRef]
- Rhim, J.; Ban, Y.; Yu, B.-M.; Lee, J.-M.; Choi, W.-Y. Verilog-A Behavioral Model for Resonance-Modulated Silicon Micro-Ring Modulator. Opt. Express 2015, 23, 8762–8772. [Google Scholar] [CrossRef] [PubMed]
- Xiao, X.; Xu, H.; Li, X.; Hu, Y.; Xiong, K.; Li, Z.; Chu, T.; Yu, Y.; Yu, J. 25 Gbit/s Silicon Microring Modulator Based on Misalignment-Tolerant Interleaved PN Junctions. Opt. Express 2012, 20, 2507–2515. [Google Scholar] [CrossRef] [PubMed]
- Xiao, X.; Li, X.; Xu, H.; Hu, Y.; Xiong, K.; Li, Z.; Chu, T.; Yu, J.; Yu, Y. 44-Gb/s Silicon Microring Modulators Based on Zigzag PN Junctions. IEEE Photonics Technol. Lett. 2012, 24, 1712–1714. [Google Scholar] [CrossRef]
- Sakib, M.; Liao, P.; Ma, C.; Kumar, R.; Huang, D.; Su, G.-L.; Wu, X.; Fathololoumi, S.; Rong, H. A High-Speed Micro-Ring Modulator for next Generation Energy-Efficient Optical Networks beyond 100 Gbaud. In Conference on Lasers and Electro-Optics; Optica Publishing Group: San Jose, CA, USA, 2021; p. SF1C.3. [Google Scholar] [CrossRef]
- Timurdogan, E.; Sorace-Agaskar, C.M.; Sun, J.; Shah Hosseini, E.; Biberman, A.; Watts, M.R. An Ultralow Power Athermal Silicon Modulator. Nat. Commun. 2014, 5, 4008. [Google Scholar] [CrossRef] [PubMed]
- Yong, Z.; Sacher, W.D.; Huang, Y.; Mikkelsen, J.C.; Yang, Y.; Luo, X.; Dumais, P.; Goodwill, D.; Bahrami, H.; Lo, P.G.-Q.; et al. U-Shaped PN Junctions for Efficient Silicon Mach-Zehnder and Microring Modulators in the O-Band. Opt. Express 2017, 25, 8425–8439. [Google Scholar] [CrossRef]
- Cao, T.; Fei, Y.; Zhang, L.; Cao, Y.; Chen, S. Design of a Silicon Mach–Zehnder Modulator with a U-Type PN Junction. Appl. Opt. 2013, 52, 5941–5948. [Google Scholar] [CrossRef]
- Liu, Y.; Dunham, S.; Baehr-Jones, T.; Lim, A.E.-J.; Lo, G.-Q.; Hochberg, M. Ultra-Responsive Phase Shifters for Depletion Mode Silicon Modulators. J. Light. Technol. 2013, 31, 3787–3793. [Google Scholar] [CrossRef]
- Ban, Y.; Verbist, J.; Vanhoecke, M.; Bauwelinck, J.; Verheyen, P.; Lardenois, S.; Pantouvaki, M.; Van Campenhout, J. Low-Voltage 60 Gb/s NRZ and 100Gb/s PAM4 O-Band Silicon Ring Modulator. In Proceedings of the 2019 IEEE Optical Interconnects Conference (OI), Santa Fe, NM, USA, 24–26 April 2019; IEEE: Santa Fe, NM, USA, 2019; pp. 1–2. [Google Scholar] [CrossRef]
- Sun, J.; Kumar, R.; Sakib, M.; Driscoll, J.B.; Jayatilleka, H.; Rong, H. A 128 Gb/s PAM4 Silicon Microring Modulator with Integrated Thermo-Optic Resonance Tuning. J. Light. Technol. 2019, 37, 110–115. [Google Scholar] [CrossRef]
- Zhang, Y.; Zhang, H.; Zhang, J.; Liu, J.; Wang, L.; Chen, D.; Chi, N.; Xiao, X.; Yu, S. 240 Gb/s Optical Transmission Based on an Ultrafast Silicon Microring Modulator. Photonics Res. 2022, 10, 1127. [Google Scholar] [CrossRef]
- Chan, D.W.U.; Wu, X.; Lu, C.; Lau, A.P.T.; Tsang, H.K. Efficient 330-Gb/s PAM-8 Modulation Using Silicon Microring Modulators. Opt. Lett. 2023, 48, 1036. [Google Scholar] [CrossRef] [PubMed]
- Xu, K. Silicon Electro-Optic Micro-Modulator Fabricated in Standard CMOS Technology as Components for All Silicon Monolithic Integrated Optoelectronic Systems*. J. Micromech. Microeng. 2021, 31, 054001. [Google Scholar] [CrossRef]
- Omirzakhov, K.; Aflatouni, F. 12.1 Monolithically Integrated Sub-63 fJ/b 8-Channel 256 Gb/s Optical Transmitter with Autonomous Wavelength Locking in 45 nm CMOS SOI. In Proceedings of the 2024 IEEE International Solid-State Circuits Conference (ISSCC), San Francisco, CA, USA, 18–22 February 2024; IEEE: San Francisco, CA, USA, 2024; pp. 218–220. [Google Scholar] [CrossRef]
- Soref, R.; Bennett, B. Electrooptical effects in silicon. IEEE J. Quantum Electron. 1987, 23, 123–129. [Google Scholar] [CrossRef]
- Cai, H.; Fu, S.; Yu, Y.; Zhang, X. Lateral-Zigzag PN Junction Enabled High-Efficiency Silicon Micro-Ring Modulator Working at 100 Gb/s. IEEE Photonics Technol. Lett. 2022, 34, 525–528. [Google Scholar] [CrossRef]
- Sun, J.; Sakib, M.; Driscoll, J.; Kumar, R.; Jayatilleka, H.; Chetrit, Y.; Rong, H. A 128 Gb/s PAM4 Silicon Microring Modulator. In Optical Fiber Communication Conference Postdeadline Papers; OSA: San Diego, CA, USA, 2018; p. Th4A.7. [Google Scholar] [CrossRef]
Disclaimer/Publisher’s Note: The statements, opinions and data contained in all publications are solely those of the individual author(s) and contributor(s) and not of MDPI and/or the editor(s). MDPI and/or the editor(s) disclaim responsibility for any injury to people or property resulting from any ideas, methods, instructions or products referred to in the content. |
© 2024 by the authors. Licensee MDPI, Basel, Switzerland. This article is an open access article distributed under the terms and conditions of the Creative Commons Attribution (CC BY) license (https://creativecommons.org/licenses/by/4.0/).
















