An Adaptive Virtual-Impedance-Based Current-Limiting Method with the Functionality of Transient Stability Enhancement for Grid-Forming Converter
Abstract
1. Introduction
- (1)
- The requirements for virtual impedance values for the current limiting of GFM converters under different grid voltage sag depths and power angles are investigated, the analytical values of virtual impedance for limiting the fault current are solved, and the setting principle of adaptive virtual impedance is proposed.
- (2)
- An adaptive virtual-impedance-based current-limiting method is proposed to restrict the fault current of the GFM converter. The current limitation method is designed for the DC component and the power frequency component of the output current, respectively. A virtual resistor is used to attenuate the DC component quickly during the incipient few cycles of the voltage sag. During the steady state of voltage sag, an adaptive virtual-impedance-based control method is proposed to achieve the dynamic current limiting of the GFM converter. The control method works only during the grid fault and the GFM converter can be restored to steady-state operation after the grid fault is restored.
- (3)
- To deeply investigate the effects of the virtual impedance value and virtual impedance ratio on the transient stability of the GFM converter, the analytical equations of the converter output active power based on adaptive virtual impedance limitation of fault current are solved. On that basis, a transient stability enhancement method of a GFM converter based on an adaptive virtual impedance ratio is proposed.
2. Topology and Control of the GFM Converters
2.1. System Description
2.2. Control Structure
3. Impact of the VI on Current Limiting and Transient Stability
3.1. Impact of VI on Current Limiting
3.2. Impact of VI on Transient Stability
- (1)
- To prevent the output current from exceeding the limit, the VI should be increased adaptively as the power angle and the depth of the voltage sag increase. Meanwhile, the VI can be restored to its steady-state value after voltage recovery.
- (2)
- In the initial phase of a fault, a resistive-dominant virtual impedance is more preferred to rapidly attenuate the DC component.
- (3)
- Under the premise of meeting the current limitation requirements, the GFM converter should have good transient stability.
4. Adaptive VI Current-Limiting Method for Enhanced Transient Stability
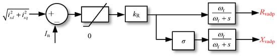
4.1. Limiting Method for Steady-State Current Amplitude during Voltage Sag
4.2. Limiting Method for Transient-State Current Amplitude during Voltage Sag
4.3. Transient Stability Enhancement Method
4.4. Effectiveness Analysis of Transient Stability Enhancement Method
5. Experimental Validation
5.1. Verification of the Effectiveness of the Proposed Method for Current Limitation
5.2. Verification of Transient Stability of the Proposed Method
6. Discussion
7. Conclusions
- (1)
- The GFM converter limiting fault current should be divided into two stages, adaptive virtual impedance is used to restrict the converter’s steady-state output current, and adaptive virtual resistance is used to constrain the transient output current of the converter.
- (2)
- The virtual impedance ratio has an effect on transient stability, a current-limiting method with an adaptive virtual impedance ratio is suggested to enhance transient stability, and the effect of enhancing transient stability is demonstrated using the phase portrait method and the equal area criterion method. The proposed method increases the critical clearance angle of the GFM by 0.081 rad and the critical clearance time by 0.12 s at a voltage drop of 0.5 p.u.
- (3)
- The proposed method not only effectively limits the fault-transient current and fault-steady-state current but also notably enhances the transient stability of GFM converter. Compared to the circular current vector current-limiting method, the proposed method exhibits better transient stability.
Author Contributions
Funding
Data Availability Statement
Conflicts of Interest
Nomenclature
| Lf, Cf | LC filter components | Zv, Rv, Lv | Virtual impedance parameters |
| Zg, Lg, Rg, | Grid impedence parameters | Zvss, Rvss, Lvss | Steady-state virtual impedance parameters |
| is, isref, Is | Grid-side current and reference | Zvadp, Rvadp, Lvadp | Adaptive virtual impedance parameters |
| us, Uref | Point of common coupling voltage and reference | In | Rated current |
| P, Pmax | Converter output active power, maximum output active power | σ | Virtual impedance ratio |
| Q | Converter output reactive power | kR | Control parameters for the virtual impedance. |
| Udc | DC-side voltage | Ilim | Current limit value |
| Pref, Qref | Reference value for active power and reactive | δ | Power angle |
| Pm | Virtual input active power | SCR | Short-circuit ratio |
| kf, kU | P-f and Q-V droop coefficient | Idc | DC component of grid-side current |
| ω, ωref | Virtual angular frequency and reference | ωc | Cutoff angular frequency |
| J | Virtual moment of inertia | τv | Time constant for the decaying DC component |
| D | Damping coefficient | CCT | Critical clearance time |
| Eref, eref, E0 | Reference and feed-forward internal potential | δmax | Critical clearance angle |
| kQp and kQi | Proportional and integral coefficients of the reactive power control | tf | Fault time |
References
- Jin, Z.M.; Wang, X.F. A DQ-Frame Asymmetrical Virtual Impedance Control for Enhancing Transient Stability of Grid-Forming Inverters. IEEE Trans. Power Electron. 2022, 37, 4535–4544. [Google Scholar] [CrossRef]
- Shi, K.; Song, W.; Xu, P.; Liu, R.; Fang, A.; Ji, Y. Low-Voltage Ride-Through Control Strategy for a Virtual Synchronous Generator Based on Smooth Switching. IEEE Access 2018, 6, 2703–2711. [Google Scholar] [CrossRef]
- Cervero, D.; Fotopoulou, M.; Muñoz-Cruzado, J.; Rakopoulos, D.; Stergiopoulos, F.; Nikolopoulos, N.; Voutetakis, S.; Sanz, J.F. Solid State Transformers: A Critical Review of Projects with Relevant Prototypes and Demonstrators. Electronics 2023, 12, 931. [Google Scholar] [CrossRef]
- Unamuno, E.; Barrena, J.A. Hybrid ac/dc microgrids—Part I: Review and classification of topologies. Renew. Sust. Energy Rev. 2015, 52, 1251–1259. [Google Scholar] [CrossRef]
- Amiri, F.; Eskandari, M.; Moradi, M.H. Virtual Inertia Control in Autonomous Microgrids via a Cascaded Controller for Battery Energy Storage Optimized by Firefly Algorithm and a Comparison Study with GA, PSO, ABC, and GWO. Energies 2023, 16, 6611. [Google Scholar] [CrossRef]
- Me, S.P.; Zabihi, S.; Blaabjerg, F.; Bahrani, B. Adaptive virtual resistance for postfault oscillation damping in grid-forming inverters. IEEE Trans. Power Electron. 2022, 37, 3813–3824. [Google Scholar] [CrossRef]
- Bian, Z.; Xu, Z. Fault ride-through capability enhancement strategy for VSC-HVDC systems supplying for passive industrial installations. IEEE Trans. Power Del. 2016, 31, 1673–1682. [Google Scholar] [CrossRef]
- Taul, M.G.; Wang, X.F.; Davari, P.; Blaabjerg, F. Current limiting control with enhanced dynamics of grid-forming converters during fault conditions. IEEE J. Emerg. Sel. Top. Power Electron. 2020, 8, 1062–1073. [Google Scholar] [CrossRef]
- Rokrok, E.; Qoria, T.; Bruyere, A.; Francois, B.; Guillaud, X. Transient stability assessment and enhancement of grid-forming converters embedding current reference saturation as current limiting strategy. IEEE Trans. Power Syst. 2022, 37, 1519–1531. [Google Scholar] [CrossRef]
- Saffar, K.G.; Driss, S.; Ajaei, F.B. Impacts of Current Limiting on the Transient Stability of the Virtual Synchronous Generator. IEEE Trans. Power Electron. 2023, 38, 1509–1521. [Google Scholar] [CrossRef]
- Me, S.P.; Ravanji, M.H.; Leonardi, B.; Ramasubramanian, D.; Ma, J.; Zabihi, S.; Bahrani, B. Transient Stability Analysis of Virtual Synchronous Generator Equipped with Quadrature-Prioritized Current Limiter. IEEE Trans. Power Electron. 2023, 38, 10547–10553. [Google Scholar] [CrossRef]
- Fan, B.; Wang, X.F. Impact of Circular Current Limiters on Transient Stability of Grid-Forming Converters. In Proceedings of the 2022 International Power Electronics Conference (IPEC-Himeji 2022-ECCE Asia), Himeji, Japan, 15–19 May 2022; IEEE: Piscataway, NJ, USA, 2022; pp. 429–434. [Google Scholar]
- Bottrell, N.; Green, T.C. Comparison of Current-Limiting Strategies during Fault Ride-Through of Inverters to Prevent Latch-Up and Wind-Up. IEEE Trans. Power Electron. 2014, 29, 3786–3797. [Google Scholar] [CrossRef]
- Paquette, A.D.; Divan, D.M. Virtual Impedance Current Limiting for Inverters in Microgrids with Synchronous Generators. IEEE Trans. Ind. Appl. 2015, 51, 1630–1638. [Google Scholar] [CrossRef]
- Qoria, T.; Gruson, F.; Colas, F.; Kestelyn, X.; Guillaud, X. Current limiting algorithms and transient stability analysis of grid-forming VSCs. Electr. Power Syst. Res. 2020, 189, 106726. [Google Scholar] [CrossRef]
- D’Arco, S.; Suul, J.A.; Fosso, O.B. Small-signal modeling and parametric sensitivity of a virtual synchronous machine in islanded operation. Int. J. Electr. Power Energy Syst. 2015, 72, 3–15. [Google Scholar] [CrossRef]
- Chen, Y.; Hesse, R.; Turschner, D.; Beck, H.-P. Comparison of methods for implementing virtual synchronous machine on inverters. In Proceedings of the International Conference on Renewable Energies and Power Quality, Compostela, Spain, 28–29 March 2012. [Google Scholar]
- Eskandari, M.; Li, L. Microgrid operation improvement by adaptive virtual impedance. IET Renew. Power Gener. 2019, 13, 296–307. [Google Scholar] [CrossRef]
- Shuai, Z.; Huang, W.; Shen, C.; Ge, J.; Shen, J. Characteristics and Restraining Method of Fast Transient Inrush Fault Currents in Synchronverters. IEEE Trans. Ind. Electron. 2017, 64, 7487–7497. [Google Scholar] [CrossRef]
- Liu, T.; Wang, X.; Liu, F.; Xin, K.; Liu, Y. A Current Limiting Method for Single-Loop Voltage-Magnitude Controlled Grid-Forming Converters during Symmetrical Faults. IEEE Trans. Power Electron. 2022, 37, 4751–4763. [Google Scholar] [CrossRef]
- Geng, H.; Liu, L.; Li, R. Synchronization and Reactive Current Support of PMSG-Based Wind Farm during Severe Grid Fault. IEEE Trans. Sustain. Energy 2018, 9, 1596–1604. [Google Scholar] [CrossRef]
- Hart, P.; Lesieutre, B. Energy function for a grid-tied droop-controlled inverter. In Proceedings of the 2014 North American Power Symposium (NAPS), Pullman, WA, USA, 7–9 September 2014; IEEE: Piscataway, NJ, USA, 2014. [Google Scholar]
- Zhang, Y.; Zhang, C.; Yang, R.; Molinas, M.; Cai, X. Current-Constrained Power-Angle Characterization Method for Transient Stability Analysis of Grid-Forming Voltage Source Converters. IEEE Trans. Energy Convers. 2023, 38, 1338–1349. [Google Scholar] [CrossRef]
- Qoria, T.; Wu, H.; Wang, X.; Colak, I. Variable Virtual Impedance-Based Overcurrent Protection for Grid-Forming Inverters: Small-Signal, Large-Signal Analysis and Improvement. IEEE Trans. Smart Grid. 2023, 14, 3324–3336. [Google Scholar] [CrossRef]
- Wu, W.H.; Chen, Y.D.; Zhou, L.M.; Luo, A.; Zhou, X.P.; He, Z.X.; Yang, L.; Xie, Z.W.; Liu, J.M.; Zhang, M.M. Sequence Impedance Modeling and Stability Comparative Analysis of Voltage-Controlled VSGs and Current-Controlled VSGs. IEEE Trans. Ind. Electron. 2019, 66, 6460–6472. [Google Scholar] [CrossRef]
- Liu, T.; Wang, X. Physical Insight Into Hybrid-Synchronization-Controlled Grid-Forming Inverters under Large Disturbances. IEEE Trans. Power Electron. 2022, 37, 11475–11480. [Google Scholar] [CrossRef]
- Wu, H.; Wang, X. Small-Signal Modeling and Controller Parameters Tuning of Grid-Forming VSCs with Adaptive Virtual Impedance-Based Current Limitation. IEEE Trans. Power Electron. 2022, 37, 7185–7199. [Google Scholar] [CrossRef]
- Zheng, T.; Wang, Z.; Zou, P.W.H. Fault Current Calculation and Influencing Factors Analysis of Virtual Synchronous Generator Under Symmetrical Short Circuit Fault. Power Syst. Technol. 2023, 47, 1460–1469. [Google Scholar]
- Chen, M.; Zhou, D.; Blaabjerg, F. Enhanced Transient Angle Stability Control of Grid-Forming Converter Based on Virtual Synchronous Generator. IEEE Trans. Ind. Electron. 2022, 69, 9133–9144. [Google Scholar] [CrossRef]
- Li, F.; Zhang, X.; Zhu, H.; Li, H.Y.; Yu, C.Z. An LCL-LC Filter for Grid-Connected Converter: Topology, Parameter, and Analysis. IEEE Trans. Power Electron. 2015, 30, 5067–5077. [Google Scholar] [CrossRef]
- Li, M.; Shu, S.; Wang, Y.; Yu, P.; Liu, Y.H.; Zhang, Z.Y.; Hu, W.H.; Blaabjerg, F. Analysis and Improvement of Large-Disturbance Stability for Grid-Connected VSG Based on Output Impedance Optimization. IEEE Trans. Power Electron. 2022, 37, 9807–9826. [Google Scholar] [CrossRef]


























| Description | Symbol | Value |
|---|---|---|
| Grid voltage (l-l, rms) | Ug | 0.4 kV |
| DC-side voltage of converter | Udc | 0.77 kV |
| Grid fundamental frequency | fn | 50 Hz |
| Nominal angular frequency | ω0, ωref | 100π rad/s |
| Switch frequency | fsw | 10 kHz |
| Grid impedance | Lg | 2.9 mH |
| Filter impedance | Lf | 1.5 mH |
| Filter capacitor | Cf | 34.43 μF |
| Active power reference | Pref | 34.6 kW |
| Moment of inertia | J | 3.5 kg·m2 |
| Damping coefficient | D | 15 p.u. |
| Current limit value | Ilim | 1.2 p.u. |
| Virtual impedance ratio | σ | 10 |
| Short-circuit ratio | SCR | 5 |
| Q-V droop coefficient | kV | 0.05 |
| Converter reactive proportional power PI gain | kQp | 5.0 |
| Converter reactive power integral gain | kQi | 10.0 |
| Converter current PI proportional gain | kip | 0.3 |
| Converter current integral gain | kii | 20.0 |
Disclaimer/Publisher’s Note: The statements, opinions and data contained in all publications are solely those of the individual author(s) and contributor(s) and not of MDPI and/or the editor(s). MDPI and/or the editor(s) disclaim responsibility for any injury to people or property resulting from any ideas, methods, instructions or products referred to in the content. |
© 2024 by the authors. Licensee MDPI, Basel, Switzerland. This article is an open access article distributed under the terms and conditions of the Creative Commons Attribution (CC BY) license (https://creativecommons.org/licenses/by/4.0/).
Share and Cite
Hu, X.; Li, Z.; Pan, C.; Li, H.; Liang, Y. An Adaptive Virtual-Impedance-Based Current-Limiting Method with the Functionality of Transient Stability Enhancement for Grid-Forming Converter. Electronics 2024, 13, 2750. https://doi.org/10.3390/electronics13142750
Hu X, Li Z, Pan C, Li H, Liang Y. An Adaptive Virtual-Impedance-Based Current-Limiting Method with the Functionality of Transient Stability Enhancement for Grid-Forming Converter. Electronics. 2024; 13(14):2750. https://doi.org/10.3390/electronics13142750
Chicago/Turabian StyleHu, Xuekai, Zifan Li, Cunyue Pan, Hao Li, and Yingyu Liang. 2024. "An Adaptive Virtual-Impedance-Based Current-Limiting Method with the Functionality of Transient Stability Enhancement for Grid-Forming Converter" Electronics 13, no. 14: 2750. https://doi.org/10.3390/electronics13142750
APA StyleHu, X., Li, Z., Pan, C., Li, H., & Liang, Y. (2024). An Adaptive Virtual-Impedance-Based Current-Limiting Method with the Functionality of Transient Stability Enhancement for Grid-Forming Converter. Electronics, 13(14), 2750. https://doi.org/10.3390/electronics13142750

