CMAF: Context and Mobility-Aware Forwarding Model for V-NDN
Abstract
1. Introduction
1.1. Overview of Vehicular Ad hoc Networks (VANET)
1.2. Information-Centric Networking (ICN)
1.3. Realization of NDN-Based VANET
1.4. Main Contributions
- A novel forwarding scheme based on overheard packets, instead of broadcasting a beacon, for neighbor discovery is proposed. This scheme also uses mobility prediction for short-term updating of the neighbor list.
- A short-term mobility prediction algorithm based on the Extended Kalman Filter (EKF) is provided.
- A mechanism based on a Bloom Filter (BF) for content sharing is provided. For new content discovery, the RSU sends a periodic request for which the producer responds with a special Data packet, announcing its new content and attaching, by means of the BF, the contents stored in its CS.
- We provide and discuss the results of extensive simulations performed to assess the effectiveness and performance of the proposed model.
2. Related Work
2.1. Sender-Oriented Approaches—Neighborhood-Aware
2.2. Receiver-Oriented Approaches
2.2.1. Position- and Distance-Based Approaches
2.2.2. Link-Stability-Aware Approaches
2.2.3. Geo-Location-Aware Approaches
2.2.4. Interest Satisfaction Rate-Based Approaches
2.2.5. Comparison of the Selected State-of-the-Art Solutions
3. Design of the Proposed Model—CMAF
3.1. Novelty of the Proposed Model
3.2. Main Modifications of the NDN Structures
3.3. Overview of Cached Content and Neighbor Discovery Process
3.3.1. Beaconless Mode
| Algorithm 1: InsertOrUpdate the NT |
![]() |
3.3.2. Beacon-Based Mode
3.4. Processing of Incoming Data
| Algorithm 2: Incoming Data processing |
![]() |
3.4.1. Awareness on Application Type
Push-Based Data
Pull-Based Data
3.4.2. Awareness on Network Density
3.5. Procedure for Incoming Interest
| Algorithm 3: Incoming Interest processing |
![]() |
3.5.1. Forwarding Enhanced By Caching
3.5.2. Awareness on Network Scenario
3.6. Short-Term Mobility Prediction
3.7. Research Methodology
4. Performance Evaluation
4.1. Selected Metrics
- Interest Satisfaction Ratio (ISR)—Also dubbed the Packet Delivery Ratio (PDR), this refers to the ratio between the satisfied Interest (or the corresponding received Data) to the total Interest transmitted by the consumer(s). We compute this value at the consumer’s application Face.
- Interest Satisfaction Delay (ISD)—Refers to the amount of time taken from the Interest being sent by the consumer to the time the corresponding Data are received (i.e., total Round Trip Time—RTT). Two values can be analyzed: The last delay, which corresponds to the hiatus for the last Interest transmitted, and the full delay which refers to the delay, including retransmissions. We only consider the full delay.
- Jitter—For real-time applications, such as streaming a video file, delay between receiving a pair of video chunks should remain constant. Variations in the delays on streaming chunks of the the video can compromise the quality of the streaming. Jitter can be measured as the statistical variance in the latency/delay of received Data packets [102];
- Hop count—The requested content may be several nodes away from its holder. In a dynamic environment such as the case of VANET, it is even expected to receive content from a “data mule” node, bringing the content from an even further distance. The hop count refers to the average number of nodes Data packets traverse from the content holder (either a producer or any other intermediate node holding the Data) to the consumer.
- Number of retransmissions—When the Interest lifetime expires before its corresponding Data packets are received by the consumer, the consumer may issue another request for the same Data, should it still want the content. The number of retransmissions refers to the average number of transmissions needed to finally fetch the desired content.
- Transmission Overhead (TO)—The total number of all packets (i.e., Interest, Data, and control/management packets such as beacons) in the network. It measures the level of congestion in the network. This value is further normalized by the TO of the basic NDN flooding protocol.
4.2. Simulation Environment
- Simulations time: Configured to run for 260 s. For data extraction, however, we limited the period sample to 250 s, ignoring the first 1 s used as the warm-up time.
- Network density per scenario: Although possible, we did not force vehicles to depart at . We calibrated the maximum number of vehicles in the scenario so that vehicles could enter and depart from the scenario at their specific time. However, all vehicles (maximum number of vehicles per scenario, e.g., 20 for scenario with 20 nodes) are in the simulation after the first 10 s.
- : A previous value of 12,500 ms was used considering the time for traveling 250 m (the defined transmission range), with a maximum speed of 20 m/s in the urban scenario. The results were not satisfactory, as we consider them with the new value. With higher , the average number of neighbors is more consistent.
| Configured Parameters | Value |
|---|---|
| 600 ms | |
| ms = 1900 ms | |
| Beacons/s, Beacons/s | |
| 3000 ms |
| Configured Parameters | Value |
|---|---|
| Network Topology/Scenario | City of Porto, Manhattan-like scenario |
| Number of producers | 1 |
| Number of consumers | 1 |
| Content request rate | 5 packets/s |
| Forwarding strategy | CMAF |
| Propagation Loss Model | Two Ray Ground |
| Vehicle speed | Max m/s Manhattan-like. Max m/s Porto |
| Wireless Comm. Standard | IEEE802.11p |
| Data rate | 12 Mbps |
| Channel bandwidth | 10 MHz |
| Number of anntenas per node | 1 (Omni directional) |
| TxPowerStart | dbm |
| TxPowerEnd | dbm |
| TxGain | dbm |
| RxGain | dbm |
| Transmission Range | 250 m |
| Network density (# nodes) | 20, 40, 60, 80, 100, 120 |
| Simulations time | 260 s |
| Number of simulations | 30 |
| Interest lifetime | 8 s |
| Retransmission timeout () | 3 s |
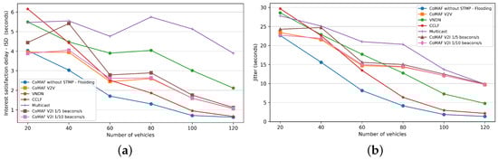
4.3. Simulation Results
4.3.1. Simulations Using the Scenario from the City of Porto
Simulation Results without Limiting Data Hop Count
Simulation Results Limiting Data Hop Count
Simulation Results Limiting Interest and Data Hop Count
4.3.2. Simulations Using a Manhattan-like Road Network
5. Discussion
6. Conclusions
7. Future Work
Author Contributions
Funding
Data Availability Statement
Acknowledgments
Conflicts of Interest
Abbreviations
| ANN | Artificial Neural Network |
| AP | Access Point |
| BF | Bloom Filter |
| BN | Bayesian Networks |
| BS | Base Station |
| CCN | Content-Centric Network |
| CCT | Cached Content Table |
| CLT | Content Location Table |
| CMAF | Context and Mobility-Aware Forwarding Model For V-NDN |
| CN | Content Name |
| CS | Content Store |
| DADT | Density-Aware Delay-Tolerant |
| DIFS | Distributed Interest Forwarder Selection |
| DM | Data Mining |
| DR | Dead Reckoning |
| DRLSF | Decentralized Receiver-based Link Stability-aware Forwarding |
| EKF | Extended Kalman Filter |
| ETSI | European Telecommunications Standards Institute |
| FIB | Forwarding Information Base |
| GPS | Global Position System |
| HMM | Hidden Markov Model |
| ICN | Information-Centric Networking |
| IP | Internet Protocol |
| ISD | Interest Satisfaction Delay |
| ISR | Interest Satisfaction Ratio |
| ITS | Intelligent Transportation System |
| KF | Kalman Filter |
| LBDB | Location-Based Deferred Broadcast |
| LCE | Leave Copy Everywhere |
| LoICen | Location-based and Information-Centric |
| LTMP | Long-Term Mobility Prediction |
| MANET | Mobile Ad hoc NETwork |
| MC | Markov Chain |
| ML | Machine Learning |
| MM | Markov Model |
| NACK | Negative Acknowledgment |
| NDN | Named Data Networking |
| NDNLP | Named Data Networking Link Protocol |
| ndnSIM | NDN Simulator |
| NDO | Named Data Object |
| NFD | NDN Forwarder Daemon |
| NMSI | Node Mobility Status Information |
| NS-3 | Network Simulator 3 |
| NT | Neighborhood Table |
| OBU | On-Board Unit |
| PF | Particle Filter |
| PIT | Pending Interest Table |
| PoI | Point of Interest |
| P2P | Point-to-Point |
| QoE | Quality of Experience |
| QoS | Quality of Service |
| RoI | Region of Interest |
| RSU | Road-Side Unit |
| RTID | Rapid Traffic Information Dissemination |
| RTT | Round Trip Time |
| STMP | Short-Term Mobility Prediction |
| SUMO | Simulation of Urban MObility |
| SLR | Systematic Literature Review |
| TCP | Transmission Control Protocol |
| TO | Transmission Overhead |
| UKF | Unscented Kalman Filter |
| VANET | Vehicular Ad hoc NETwork |
| VCCN | Vehicular Content-Centric Networks |
| VNDN | Vehicular Named Data Networking |
| V2I | Vehicle-to-Infrastructure |
| V2V | Vehicle-to-Vehicle |
| V2X | Vehicle-to-Everything |
References
- Fujise, M.; Kato, A.; Sato, K.; Harada, H. Intelligent Transport Systems. In Wireless Communication Technologies: New Multimedia Systems; Morinaga, N., Kohno, R., Sampei, S., Eds.; Springer: Boston, MA, USA, 2002; pp. 171–200. [Google Scholar] [CrossRef]
- Perallos, A.; Hernandez-Jayo, U.; Onieva, E.; Zuazola, I.J.G. Intelligent Transport Systems: Technologies and Applications; Wiley: Hoboken, NJ, USA, 2015. [Google Scholar]
- Grassi, G.; Pesavento, D.; Wang, L.; Pau, G.; Vuyyuru, R.; Wakikawa, R.; Zhang, L. ACM HotMobile 2013 poster: Vehicular inter-networking via named data. ACM SIGMOBILE Mob. Comput. Commun. Rev. 2013, 17, 23–24. [Google Scholar] [CrossRef]
- Grassi, G.; Pesavento, D.; Pau, G.; Vuyyuru, R.; Wakikawa, R.; Zhang, L. VANET via Named Data Networking. In Proceedings of the 2014 IEEE Conference on Computer Communications Workshops (INFOCOM WKSHPS), Toronto, ON, Canada, 27 April–2 May 2014; pp. 410–415. [Google Scholar] [CrossRef]
- Saini, M.; Alelaiwi, A.; Saddik, A.E. How Close Are We to Realizing a Pragmatic VANET Solution? A Meta-Survey. ACM Comput. Surv. 2015, 48, 1–40. [Google Scholar] [CrossRef]
- Khelifi, H.; Luo, S.; Nour, B.; Moungla, H.; Faheem, Y.; Hussain, R.; Ksentini, A. Named Data Networking in Vehicular Ad Hoc Networks: State-of-the-Art and Challenges. IEEE Commun. Surv. Tutor. 2019, 22, 320–351. [Google Scholar] [CrossRef]
- Hartenstein, H.; Laberteaux, L.P. A tutorial survey on vehicular ad hoc networks. IEEE Commun. Mag. 2008, 46, 164–171. [Google Scholar] [CrossRef]
- Karagiannis, G.; Altintas, O.; Ekici, E.; Heijenk, G.; Jarupan, B.; Lin, K.; Weil, T. Vehicular Networking: A Survey and Tutorial on Requirements, Architectures, Challenges, Standards and Solutions. IEEE Commun. Surv. Tutor. 2011, 13, 584–616. [Google Scholar] [CrossRef]
- Tomar, R.; Prateek, M.; Sastry, H. Vehicular Adhoc Network (VANET)—An introduction. Int. J. Control Theory Appl. 2016, 9, 8883–8888. [Google Scholar]
- Misra, S.; Woungang, I.; Misra, S.C. Guide to Wireless Ad Hoc Networks, 2009th ed.; Springer Publishing Company: Berlin/Heidelberg, Germany, 2009. [Google Scholar]
- Jeong, J. IPv6 Wireless Access in Vehicular Environments (IPWAVE): Problem Statement and Use Cases; Internet-Draft Draft-Ietf-Ipwave-Vehicular-Networking-13; IETF Secretariat: Wilmington, DE, USA, 2020. [Google Scholar]
- Parekh, D.; Poddar, N.; Rajpurkar, A.; Chahal, M.; Kumar, N.; Joshi, G.P.; Cho, W. A Review on Autonomous Vehicles: Progress, Methods and Challenges. Electronics 2022, 11, 2162. [Google Scholar] [CrossRef]
- Varvello, M.; Rimac, I.; Lee, U.; Greenwald, L.; Hilt, V. On the design of content-centric MANETs. In Proceedings of the 2011 Eighth International Conference on Wireless On-Demand Network Systems and Services, Bardonecchia, Italy, 26–28 January 2011; pp. 1–8. [Google Scholar] [CrossRef]
- Jacobson, V.; Smetters, D.K.; Thornton, J.D.; Plass, M.F.; Briggs, N.H.; Braynard, R.L. Networking Named Content. In Proceedings of the 5th International Conference on Emerging Networking Experiments and Technologies, Rome, Italy, 1–4 December 2009; pp. 1–12. [Google Scholar] [CrossRef]
- Zhang, L.; Afanasyev, A.; Burke, J.; Jacobson, V.; Claffy, K.C.; Crowley, P.; Papadopoulos, C.; Wang, L.; Zhang, B. Named data networking. Comput. Commun. Rev. 2014, 44, 66–73. [Google Scholar] [CrossRef]
- Vasilakos, A.; Li, Z.; Simon, G.; You, W. Information centric network: Research challenges and opportunities. J. Netw. Comput. Appl. 2015, 52, 1–10. [Google Scholar] [CrossRef]
- Tariq, A.; Rehman, R.A.; Kim, B. Forwarding Strategies in NDN-Based Wireless Networks: A Survey. IEEE Commun. Surv. Tutor. 2020, 22, 68–95. [Google Scholar] [CrossRef]
- Yan, Z.; Zeadally, S.; Park, Y. A Novel Vehicular Information Network Architecture Based on Named Data Networking (NDN). IEEE Internet Things J. 2014, 1, 525–532. [Google Scholar] [CrossRef]
- Amadeo, M.; Campolo, C.; Molinaro, A. CRoWN: Content-Centric Networking in Vehicular Ad Hoc Networks. IEEE Commun. Lett. 2012, 16, 1380–1383. [Google Scholar] [CrossRef]
- Drira, W.; Filali, F. A Pub/Sub extension to NDN for efficient data collection and dissemination in V2X networks. In Proceedings of the IEEE International Symposium on a World of Wireless, Mobile and Multimedia Networks 2014, Sydney, Australia, 19 June 2014; pp. 1–7. [Google Scholar] [CrossRef]
- Arnould, G.; Khadraoui, D.; Habbas, Z. A Self-Organizing Content Centric Network Model for Hybrid Vehicular Ad-Hoc Networks. In Proceedings of the First ACM International Symposium on Design and Analysis of Intelligent Vehicular Networks and Applications, New York, NY, USA, 4 November 2011; pp. 15–22. [Google Scholar] [CrossRef]
- De Castro, C.; Raffaelli, C.; Andrisano, O. A dynamic hierarchical VANET architecture for Named Data Networking applications. In Proceedings of the 2015 IEEE International Conference on Communications (ICC), London, UK, 8–12 June 2015; pp. 3659–3665. [Google Scholar] [CrossRef]
- Bouk, S.H.; Ahmed, S.H.; Kim, D. Vehicular Content Centric Network (VCCN): A Survey and Research Challenges. In Proceedings of the 30th Annual ACM Symposium on Applied Computing, New York, NY, USA, 13–17 April 2015; pp. 695–700. [Google Scholar] [CrossRef]
- Amadeo, M.; Campolo, C.; Molinaro, A. Information-centric networking for connected vehicles: A survey and future perspectives. IEEE Commun. Mag. 2016, 54, 98–104. [Google Scholar] [CrossRef]
- Rainer, B.; Petscharnig, S. Challenges and Opportunities of Named Data Networking in Vehicle-To-Everything Communication: A Review. Information 2018, 9, 264. [Google Scholar] [CrossRef]
- Kerrche, C.; Ahmad, F.; Elhoseny, M.; Adnane, A.; Ahmad, Z.; Nour, B. Internet of Vehicles over Named Data Networking: Current Status and Future Challenges. In Emerging Technologies for Connected Internet of Vehicles and Intelligent Transportation System Networks. Studies in Systems, Decision and Control; Elhoseny, M., Hassanien, A., Eds.; Springer: Berlin/Heidelberg, Germany, 2019. [Google Scholar] [CrossRef]
- Al-Omaisi, H.; Sundararajan, E.A.; Alsaqour, R.; Abdullah, N.F.; Abdelhaq, M. A survey of data dissemination schemes in vehicular named data networking. Veh. Commun. 2021, 30, 100353. [Google Scholar] [CrossRef]
- da Silva, E.T.; Costa, A.L.D.; de Macedo, J.M.H. On the realization of VANET using named data networking: On improvement of VANET using NDN-based routing, caching, and security. Int. J. Commun. Syst. 2022, 35, e5348. [Google Scholar] [CrossRef]
- Silva, E.T.d.; Macedo, J.M.H.; Costa, A.L.D. Context-Aware Routing and Forwarding Model for NDN-Based VANET. In Proceedings of the Lecture Notes of the Institute for Computer Sciences, Social Informatics and Telecommunications Engineering, Sydney, Australia, 6–7 December 2022; Volume 428, pp. 18–32. [Google Scholar] [CrossRef]
- Zafar, W.U.I.; Rehman, M.A.U.; Jabeen, F.; Ghouzali, S.; Rehman, Z.; Abdul, W. Context-Aware Pending Interest Table Management Scheme for NDN-Based VANETs. Sensors 2022, 22, 4189. [Google Scholar] [CrossRef]
- ETSI. TR 102 638; ETSI ITS Specification TR 102 638 V1.1.1. Vehicular Communications; Basic Set of Applications; Definitions; Tech Report; European Telecommunications Standards Institute (ETSI): Sophia Antipolis, France, 2009.
- Ahed, K.; Benamar, M.; Lahcen, A.A.; Ouazzani, R.E. Forwarding strategies in vehicular named data networks: A survey. J. King Saud-Univ. Comput. Inf. Sci. 2020, 34, 1819–1835. [Google Scholar] [CrossRef]
- Talebifard, P.; Amadeo, M.; Campolo, C.; Molinaro, A. Information-centric networking for VANETs. In Vehicular Ad Hoc Networks: Standards, Solutions, and Research; Springer International Publishing: Berlin/Heidelberg, Germany, 2015; pp. 503–524. [Google Scholar] [CrossRef]
- Villas, L.A.; Boukerche, A.F.M.; Maia, G.; Pazzi, R.W.N.; Loureiro, A.A.F. DRIVE: An efficient and robust data dissemination protocol for highway and urban vehicular ad hoc networks. Comput. Netw. 2014, 75, 381–394. [Google Scholar] [CrossRef]
- Amadeo, M.; Campolo, C.; Molinaro, A. Forwarding strategies in named data wireless ad hoc networks: Design and evaluation. J. Netw. Comput. Appl. 2015, 50, 148–158. [Google Scholar] [CrossRef]
- Wang, J.; Luo, J.; Ran, Y.; Yang, J.; Liu, K.; Guo, S. Towards Predictive Forwarding Strategy in Vehicular Named Data Networking. IEEE Trans. Veh. Technol. 2023, 72, 3751–3763. [Google Scholar] [CrossRef]
- Liu, X.; João Nicolau, M.; Costa, A.; Macedo, J.; Santos, A. A Geographic Opportunistic Forwarding Strategy for Vehicular Named Data Networking. In Intelligent Distributed Computing IX; Novais, P., Camacho, D., Analide, C., El Fallah Seghrouchni, A., Badica, C., Eds.; Springer: Cham, Switzerland, 2016; pp. 509–521. [Google Scholar]
- Wang, J.; Luo, J.; Zhou, J.; Ran, Y. A Mobility-Predict-based Forwarding Strategy in Vehicular Named Data Networks. In Proceedings of the GLOBECOM 2020—2020 IEEE Global Communications Conference, Taipei, Taiwan, 7–11 December 2020; pp. 1–6. [Google Scholar] [CrossRef]
- Li, D.; Song, T.; Yang, Y.; Ul, I.R. A reliable and efficient forwarding strategy in vehicular named data networking. J. Commun. Netw. 2020, 22, 348–357. [Google Scholar] [CrossRef]
- Ahmed, S.H.; Bouk, S.H.; Kim, D. RUFS: RobUst Forwarder Selection in Vehicular Content-Centric Networks. IEEE Commun. Lett. 2015, 19, 1616–1619. [Google Scholar] [CrossRef]
- Beri, S.S.; Dutta, N. Evolutionary game based interest forwarding in information centric vehicular networks. Veh. Commun. 2024, 47, 100779. [Google Scholar] [CrossRef]
- Ngo, M.; Ohzahata, S.; Yamamoto, R.; Kato, T. A Visual-Identification Based Forwarding Strategy for Vehicular Named Data Networking. IEICE Trans. Inf. Syst. 2023, E106.D, 204–217. [Google Scholar] [CrossRef]
- Wang, L.; Afanasyev, A.; Kuntz, R.; Vuyyuru, R.; Wakikawa, R.; Zhang, L. Rapid Traffic Information Dissemination Using Named Data. In Proceedings of the 1st ACM Workshop on Emerging Name-Oriented Mobile Networking Design—Architecture, Algorithms, and Applications, New York, NY, USA, 11 June 2012; pp. 7–12. [Google Scholar] [CrossRef]
- Li, Y.; Shi, X.; Lindgren, A.; Hu, Z.; Zhang, P.; Jin, D.; Zhou, Y. Context-Aware Data Dissemination for ICN-Based Vehicular Ad Hoc Networks. Information 2018, 9, 263. [Google Scholar] [CrossRef]
- Kuai, M.; Hong, X.; Yu, Q. Density-Aware Delay-Tolerant Interest Forwarding in Vehicular Named Data Networking. In Proceedings of the 2016 IEEE 84th Vehicular Technology Conference (VTC-Fall), Montreal, QC, Canada, 8–21 September 2016; pp. 1–5. [Google Scholar] [CrossRef]
- Kuai, M.; Hong, X. Location-Based Deferred Broadcast for Ad-Hoc Named Data Networking. Future Internet 2019, 11, 139. [Google Scholar] [CrossRef]
- Chowdhury, M.; Khan, J.A.; Wang, L. Leveraging Content Connectivity and Location Awareness for Adaptive Forwarding in NDN-Based Mobile Ad Hoc Networks. In Proceedings of the 7th ACM Conference on Information-Centric Networking, New York, NY, USA, 29 September–1 October 2020; pp. 59–69. [Google Scholar] [CrossRef]
- Yu, X.; Coutinho, R.W.L.; Boukerche, A.; Loureiro, A.A.F. A distance-based interest forwarding protocol for vehicular information-centric networks. In Proceedings of the 2017 IEEE 28th Annual International Symposium on Personal, Indoor, and Mobile Radio Communications (PIMRC), Montreal, QC, Canada, 8–13 October 2017; pp. 1–5. [Google Scholar] [CrossRef]
- Rondon, L.B.; da Costa, J.B.; Filho, G.P.R.; Villas, L.A. A Distance and Position-based Caching Discovery Protocol for Vehicular Named-Data Networks. In Proceedings of the 2019 IEEE Latin-American Conference on Communications (LATINCOM), Salvador, Bahia, 11–13 November 2019; pp. 1–6. [Google Scholar] [CrossRef]
- Al-Omaisi, H.; Sundararajan, E.; Alsaqour, R.; Abdulah, N.; Abu Bakar, K.A.; Abdelhaq, M. IDTracS: An Interest-Data-flow tracking-based forwarding scheme for vehicular named data networks. J. Supercomput. 2023, 79, 16580–16615. [Google Scholar] [CrossRef]
- Al-Omaisi, H.; Sundararajan, E.A.; Alsaqour, R.; Abdullah, N.F.; Abu Bakar, K.A. GeoISA: A New Road-Topology-Assisted Geo-Based Content Discovery Scheme for Vehicular Named Data Networking. Veh. Commun. 2023, 40, 100573. [Google Scholar] [CrossRef]
- Zafar, W.U.I.; Rehman, M.A.U.; Jabeen, F.; Kim, B.S.; Rehman, Z. Context-Aware Naming and Forwarding in NDN-Based VANETs. Sensors 2021, 21, 4629. [Google Scholar] [CrossRef]
- Cunha, I.J., Jr.; Fernandez, M.; Patel, A.; Monteiro, M. VNDN-Fuzzy—A strategy to mitigate the forwarding interests broadcast storm problem in VNDN networks. In Proceedings of the 2023 International Conference on Information Networking (ICOIN), Bangkok, Thailand, 11–14 January 2023; pp. 263–270. [Google Scholar] [CrossRef]
- Wang, F.; Hou, R. Delayed Broadcast-Based Data Forwarding Strategy for Vehicular Named Data Networks. In Proceedings of the Workshop on Computing, Networking and Communications (CNC), Big Island, HI, USA, 19–22 February 2024. [Google Scholar]
- Zafar, W.U.I.; Rehman, M.A.U.; Jabeen, F.; Ullah, R.; Abbas, G.; Khan, A. Decentralized Receiver-based Link Stability-aware Forwarding Scheme for NDN-based VANETs. Comput. Netw. 2023, 236, 109996. [Google Scholar] [CrossRef]
- Ahmed, S.H.; Bouk, S.H.; Yaqub, M.A.; Kim, D.; Song, H. DIFS: Distributed Interest Forwarder Selection in Vehicular Named Data Networks. IEEE Trans. Intell. Transp. Syst. 2018, 19, 3076–3080. [Google Scholar] [CrossRef]
- de Sousa, A.M.; Araújo, F.R.; Sampaio, L.N. A Link-Stability-Based Interest-Forwarding Strategy For Vehicular Named Data Networks. IEEE Internet Comput. 2018, 22, 16–26. [Google Scholar] [CrossRef]
- Boukerche, A.; Coutinho, R.W.L.; Yu, X. LISIC: A Link Stability-Based Protocol for Vehicular Information-Centric Networks. In Proceedings of the 2017 IEEE 14th International Conference on Mobile Ad Hoc and Sensor Systems (MASS), Orlando, FL, USA, 22–25 October 2017; pp. 233–240. [Google Scholar] [CrossRef]
- Boukerche, A.; Coutinho, R.W. LoICen: A novel location-based and information-centric architecture for content distribution in vehicular networks. Ad Hoc Netw. 2019, 93, 101899. [Google Scholar] [CrossRef]
- Prates, A.A.; Bastos, I.V.; Moraes, I.M. GeoZone: An interest-packet forwarding mechanism based on dissemination zone for content-centric vehicular networks. Comput. Electr. Eng. 2019, 73, 155–166. [Google Scholar] [CrossRef]
- Yu, Y.T.; Dilmaghani, R.B.; Calo, S.; Sanadidi, M.Y.; Gerla, M. Interest propagation in named data manets. In Proceedings of the 2013 International Conference on Computing, Networking and Communications (ICNC), San Diego, CA, USA, 28–31 January 2013; pp. 1118–1122. [Google Scholar] [CrossRef]
- Ahmed, S.H.; Bouk, S.H.; Yaqub, M.A.; Kim, D.; Gerla, M. CONET: Controlled data packets propagation in vehicular Named Data Networks. In Proceedings of the 2016 13th IEEE Annual Consumer Communications Networking Conference (CCNC), Las Vegas, NV, USA, 9–12 January 2016; pp. 620–625. [Google Scholar] [CrossRef]
- Braun, T.; Careglio, D.; Matta, I. Vehicular Networking in the Recursive InterNetwork Architecture. In Proceedings of the 2018 IEEE 87th Vehicular Technology Conference (VTC Spring), Porto, Portugal, 3–6 June 2018; pp. 1–5. [Google Scholar] [CrossRef]
- Park, C.M.; Rehman, R.A.; Tran-Dinh, H.; Kim, B.S. Enhanced Protocol for Wireless Content-Centric Network. In Proceedings of the International Conference on Mobile and Wireless Networks (MoWiN), Cairo, Egypt, 11–13 April 2016; Volume 6. [Google Scholar] [CrossRef]
- Kato, T.; Minh, N.Q.; Yamamoto, R.; Ohzahata, S. How to Implement NDN MANET over ndnSIM Simulator. In Proceedings of the 2018 IEEE 4th International Conference on Computer and Communications (ICCC), Chengdu, China, 7–10 December 2018; pp. 451–456. [Google Scholar] [CrossRef]
- Kalogeiton, E.; Kolonko, T.; Braun, T. A topology-oblivious routing protocol for NDN-VANETs. Ann. Telecommun. 2017, 73, 577–587. [Google Scholar] [CrossRef]
- Kalogeiton, E.; Braun, T. Infrastructure-Assisted Communication for NDN-VANETs. In Proceedings of the 2018 IEEE 19th International Symposium on “A World of Wireless, Mobile and Multimedia Networks” (WoWMoM), Chania, Greece, 12–15 June 2018; pp. 1–10. [Google Scholar] [CrossRef]
- Martinez, F.J.; Fogue, M.; Toh, C.K.; Cano, J.C.; Calafate, C.T.; Manzoni, P. Computer Simulations of VANETs Using Realistic City Topologies. Wirel. Pers. Commun. 2013, 69, 639–663. [Google Scholar] [CrossRef]
- Ullah, R.; Atif Ur Rehman, M.; Kim, B.S. Hierarchical Name-Based Mechanism for Push-Data Broadcast Control in Information-Centric Multihop Wireless Networks. Sensors 2019, 19, 3034. [Google Scholar] [CrossRef]
- Majeed, M.F.; Ahmed, S.H.; Dailey, M.N. Enabling Push-Based Critical Data Forwarding in Vehicular Named Data Networks. IEEE Commun. Lett. 2017, 21, 873–876. [Google Scholar] [CrossRef]
- Amadeo, M.; Campolo, C.; Molinaro, A.; Ruggeri, G. Content-centric wireless networking: A survey. Comput. Netw. 2014, 72, 1–13. [Google Scholar] [CrossRef]
- Tavares, M.; Aponte, O.; Mendes, P. Named-Data Emergency Network Services. In Proceedings of the 16th Annual International Conference on Mobile Systems, Applications, and Services, New York, NY, USA, 10–15 June 2018; p. 516. [Google Scholar] [CrossRef]
- Grassi, G.; Pesavento, D.; Pau, G.; Zhang, L.; Fdida, S. Navigo: Interest forwarding by geolocations in vehicular Named Data Networking. In Proceedings of the 2015 IEEE 16th International Symposium on “A World of Wireless, Mobile and Multimedia Networks” (WoWMoM), Los Alamitos, CA, USA, 14–17 June 2015; pp. 1–10. [Google Scholar] [CrossRef]
- Rowstron, A.; Pau, G. Characteristics of a Vehicular Network; Technical Report; Computer Science Department, The University of California Los Angeles: Los Angeles, CA, USA, 2009. [Google Scholar]
- Duan, M.; Zhang, C.; Li, Y.; Xu, W.; Ji, X.; Liu, B. Neighbor Cache Explore Routing Protocol for VANET based on Trajectory Prediction. In Proceedings of the 2018 IEEE 3rd Advanced Information Technology, Electronic and Automation Control Conference (IAEAC), Chongqing, China, 12–14 October 2018; pp. 771–776. [Google Scholar]
- Amadeo, M.; Campolo, C.; Ruggeri, G.; Lia, G.; Molinaro, A. Caching Transient Contents in Vehicular Named Data Networking: A Performance Analysis. Sensors 2020, 20, 1985. [Google Scholar] [CrossRef]
- Amadeo, M.; Ruggeri, G.; Campolo, C.; Molinaro, A. Diversity-improved caching of popular transient contents in Vehicular Named Data Networking. Comput. Netw. 2021, 184, 107625. [Google Scholar] [CrossRef]
- Li, Y.; Jin, D.; Hui, P.; Wang, Z.; Chen, S. Limits of Predictability for Large-Scale Urban Vehicular Mobility. IEEE Trans. Intell. Transp. Syst. 2014, 15, 2671–2682. [Google Scholar] [CrossRef]
- Abdel-Halim, I.; Fahmy, H. Prediction-based Protocols for Vehicular Ad Hoc Networks: Survey and Taxonomy. Comput. Netw. 2017, 130, 34–50. [Google Scholar] [CrossRef]
- Zhang, H.; Dai, L. Mobility Prediction: A Survey on State-of-the-Art Schemes and Future Applications. IEEE Access 2019, 7, 802–822. [Google Scholar] [CrossRef]
- Denko, M.K. Mobility Prediction Schemes in Wireless Ad Hoc Networks. In Advanced Wired and Wireless Networks; Wysocki, T.A., Dadej, A., Wysocki, B.J., Eds.; Springer: Boston, MA, USA, 2005; pp. 171–186. [Google Scholar] [CrossRef]
- Cheng, C.; Jain, R.; van den Berg, E. Location Prediction Algorithms for Mobile Wireless Systems. In Wireless Internet Handbook: Technologies, Standards, and Application; CRC Press, Inc.: Boca Raton, FL, USA, 2003; pp. 245–263. [Google Scholar]
- Haerri, J.; Bonnet, C.; Filali, F. The Challenges of Predicting Mobility; Technical Report EURECOM+2240; Eurecom: Biot, France, 2006. [Google Scholar]
- Agarwal, A.; Das, S.R. Dead reckoning in mobile ad hoc networks. In Proceedings of the 2003 IEEE Wireless Communications and Networking, 2003 WCNC 2003, New Orleans, LA, USA, 16–20 March 2003; Volume 3, pp. 1838–1843. [Google Scholar] [CrossRef]
- Balico, L.N.; Oliveira, H.A.B.F.; Souza, E.L.; Pazzi, R.W.; Nakamura, E.F. On the performance of localization prediction methods for vehicular Ad Hoc Networks. In Proceedings of the 2015 IEEE Symposium on Computers and Communication (ISCC), Larnaca, Cyprus, 6–9 July 2015; pp. 359–364. [Google Scholar] [CrossRef]
- Rabiner, L.R. A tutorial on hidden Markov models and selected applications in speech recognition. Proc. IEEE 1989, 77, 257–286. [Google Scholar] [CrossRef]
- Meyn, S.; Tweedie, R. Markov Chains and Stochastic Stability; Cambridge University Press: Cambridge, UK, 2009. [Google Scholar] [CrossRef]
- Gambs, S.; Killijian, M.O.; del Prado Cortez, M.N.N. Next Place Prediction Using Mobility Markov Chains. In Proceedings of the First Workshop on Measurement, Privacy, and Mobility, Bern, Switzerland, 10–13 April 2012. [Google Scholar] [CrossRef]
- Balico, L.N.; Loureiro, A.A.F.; Nakamura, E.F.; Barreto, R.S.; Pazzi, R.W.; Oliveira, H.A.B.F. Localization Prediction in Vehicular Ad Hoc Networks. IEEE Commun. Surv. Tutor. 2018, 20, 2784–2803. [Google Scholar] [CrossRef]
- Zhang, H.; Hua, Y.; Wang, C.; Li, R.; Zhao, Z. Deep Learning Based Traffic and Mobility Prediction. In Machine Learning for Future Wireless Communications; John Wiley & Sons, Ltd.: Hoboken, NJ, USA, 2020; Chapter 7; pp. 119–136. [Google Scholar] [CrossRef]
- Ibnkahla, M. Applications of neural networks to digital communications-survey. Signal Process. 2000, 80, 1185–1215. [Google Scholar] [CrossRef]
- Chakrabarti, S.; Ester, M.; Fayyad, U.; Gehrke, J.; Han, J.; Morishita, S.; Piatetsky-Shapiro, G.; Wang, W. Data Mining Curriculum: A Proposal (Version 1.0); Technical Report, Intensive Working Group of ACM SIGKDD Curriculum Committee; ACM: New York, NY, USA, 2006. [Google Scholar]
- Sayed, A.H.; Djurić, P.M.; Hlawatsch, F. Chapter 6—Distributed Kalman and Particle Filtering. In Cooperative and Graph Signal Processing; Djurić, P.M., Richard, C., Eds.; Academic Press: Cambridge, MA, USA, 2018; pp. 169–207. [Google Scholar] [CrossRef]
- Aljeri, N.; Boukerche, A. Performance evaluation of movement prediction techniques for vehicular networks. In Proceedings of the 2017 IEEE International Conference on Communications (ICC), Paris, France, 21–25 May 2017; pp. 1–6. [Google Scholar] [CrossRef]
- Kalman, R.E. A New Approach to Linear Filtering and Prediction Problems. J. Basic Eng. 1960, 82, 35–45. [Google Scholar] [CrossRef]
- Welch, G.; Bishop, G. An Introduction to the Kalman Filter; Technical Report; University of North Carolina: Chapel Hill, NC, USA, 1995. [Google Scholar]
- Julier, S.; Uhlmann, J. New Extension of the Kalman Filter to Nonlinear Systems; SPIE: Bellingham, WA, USA, 1997. [Google Scholar]
- Zaki, S.M.; Ngadi, M.; Razak, S.; Kamat, M.; Mohamad Sharif, J. A Location Based Prediction Service Protocol for VANET City Environment. Int. J. Innov. Comput. Inf. Control 2012, 8, 6811–6836. [Google Scholar]
- Feng, H.; Liu, C.; Shu, Y.; Yang, O. Location Prediction of Vehicles in VANETs Using A Kalman Filter. Wirel. Pers. Commun. 2014, 80, 543–559. [Google Scholar] [CrossRef]
- Understanding Kalman Filters, 02. Available online: https://www.youtube.com/playlist?list=PLn8PRpmsu08pzi6EMiYnR-076Mh-q3tWr (accessed on 15 March 2023).
- Afanasyev, A.; Shi, J.; Zhang, B.; Zhang, L.; Moiseenko, I.; Yu, Y.; Shang, W.; Li, Y.; Mastorakis, S.; Huang, Y.; et al. NFD Developer’s Guide; Technical Report; Named Data Networking (NDN): Los Angeles, CA, USA, 2018. [Google Scholar] [CrossRef]
- Frederick, R.; Casner, S.L.; Jacobson, V.; Schulzrinne, H. RTP: A Transport Protocol for Real-Time Applications; RFC 1889; Internet Society: Reston, VA, USA, 1996. [Google Scholar] [CrossRef]
- Mastorakis, S.; Afanasyev, A.; Zhang, L. On the Evolution of ndnSIM: An Open-Source Simulator for NDN Experimentation. ACM Comput. Commun. Rev. 2017, 47, 19–33. [Google Scholar] [CrossRef]
- Lopez, P.A.; Behrisch, M.; Bieker-Walz, L.; Erdmann, J.; Flötteröd, Y.P.; Hilbrich, R.; Lücken, L.; Rummel, J.; Wagner, P.; Wießner, E. Microscopic Traffic Simulation using SUMO. In Proceedings of the 2019 IEEE Intelligent Transportation Systems Conference (ITSC), Auckland, New Zealand, 27–30 October 2019; IEEE: Piscataway, NJ, USA, 2019; pp. 2575–2582. [Google Scholar]
- NS-3. NS-3: Network Simulator. 2022. Available online: https://ndnsim.net/2.7/intro.html (accessed on 31 October 2022).
- Campanile, L.; Gribaudo, M.; Iacono, M.; Marulli, F.; Mastroianni, M. Computer Network Simulation with ns-3: A Systematic Literature Review. Electronics 2020, 9, 272. [Google Scholar] [CrossRef]














| Study | Forwarding | Criteria for Next-Hop Selection (Awareness) | Mob. Pred. | Scenario | New Packets | New Struct. | Comm. | Main Challenges/Limitations | ||||||
|---|---|---|---|---|---|---|---|---|---|---|---|---|---|---|
| (-Oriented) | Dist. | Link -Stab. | Geo- Locat. | Packets (Rate) | Neighbor | Other | V2V | V2I | ||||||
| V-NDN [4] | Receiver | – | – | ✓ | – | – | – | ✓ | Urban | – | – | ✓ | ✓ | Fixed HopLimit. Only location-dependent content. |
| PRFS [36] | Sender | ✓ | ✓ | – | – | ✓ | – | ✓ | Highway | ✓ | ✓ | ✓ | – | Additional overhead from beaconing for neighbor discovery. Geo-location provided but content source’s location awareness not leveraged. NT is updated reactively and the listed neighbors in the NT may already be out of the transmission range of the sender. |
| GOFP [37] | Sender | ✓ | – | – | – | – | – | ✓ | Urban | ✓ | – | ✓ | – | Additional overhead from the opportunistic CS content digest announcements. Does not consider producer mobility. |
| MPFS [38] | Sender | ✓ | ✓ | – | – | ✓ | – | ✓ | Highway | ✓ | ✓ | ✓ | – | Additional overhead from beaconing for neighbor discovery. Mobility prediction only considers linear trajectory of vehicles. |
| PFOB [39] | Sender | ✓ | ✓ | – | – | – | ✓ | ✓ | Highway | ✓ | ✓ | ✓ | – | Additional overhead from beaconing for neighbor discovery. Geo-location provided but content source’s location awareness not leveraged. |
| RUFS [40] | Sender | ✓ | – | – | ✓ | ✓ | ✓ | – | Urban | ✓ | ✓ | ✓ | – | Additional overhead from beaconing for neighbor discovery. Geo-location provided but content source’s location awareness not leveraged. |
| RTID [43] | Receiver | ✓ | – | – | – | – | – | – | Highway | – | – | ✓ | – | Vehicles with a constant speed. |
| CA-VNDN [44] | Receiver | ✓ | – | – | – | – | ✓ | ✓ | Urban | ✓ | ✓ | ✓ | – | Additional overhead from beaconing for neighbor discovery. |
| DADT [45] | Receiver | ✓ | – | – | – | – | ✓ | – | Urban | ✓ | ✓ | ✓ | ✓ | Additional overhead from beaconing for neighbor discovery. |
| LBDB [46] | Receiver | ✓ | – | – | – | – | – | ✓ | Urban | – | ✓ | ✓ | ✓ | Producer mobility not considered. |
| CCLF [47] | Receiver | ✓ | – | – | ✓ | ✓ | – | – | Urban | ✓ | ✓ | ✓ | – | Additional overhead from beaconing for neighbor discovery. |
| OIFP [48] | Receiver | ✓ | – | – | – | – | – | – | Urban | – | – | ✓ | – | Geo-location provided but content source’s location awareness not leveraged. |
| CDP [49] | Receiver | ✓ | – | – | – | – | – | ✓ | Urban | – | – | ✓ | – | Geo-location provided but content source’s location awareness not leveraged. |
| IDTracS [50] | Receiver | ✓ | – | – | ✓ | – | – | ✓ | Urban | – | – | ✓ | – | Geo-location provided but content source’s location awareness not leveraged. |
| GeoISA [51] | Receiver | ✓ | – | – | – | – | – | ✓ | Urban | – | – | ✓ | – | Requires knowledge of different topological road structure. Geo-location provided but content source’s location awareness not leveraged. |
| CACN [52] | Receiver | ✓ | – | ✓ | – | – | – | ✓ | Highway | – | – | ✓ | ✓ | Considers an immovable producer. Only disseminates notification messages. |
| DIFS [56] | Receiver | ✓ | ✓ | – | – | ✓ | ✓ | ✓ | Highway | ✓ | ✓ | ✓ | – | Beaconing for sharing mobility information may increase overhead. |
| LSIF [57] | Receiver | ✓ | – | – | ✓ | – | – | – | Urban/Highway | – | ✓ | ✓ | – | Assumes nodes following a linear trajectory. |
| LISIC [58] | Receiver | – | ✓ | – | – | – | – | ✓ | Urban | – | ✓ | ✓ | – | A node with similar mobility pattern (i.e., velocity and direction) as the sender may not always be the better next-hop, and it may be better to keep the Interest with the current node. Low network density not considered. |
| GeoZone [60] | Receiver | – | – | ✓ | – | – | – | – | Urban | – | – | ✓ | ✓ | Geo-location of the content must be known. |
| NAIF [61] | Receiver | ✓ | – | – | ✓ | – | ✓ | – | Urban | ✓ | ✓ | ✓ | – | Additional overhead from beaconing for collecting forwarding statistics. |
| LoICen [59] | Receiver | – | ✓ | – | – | – | ✓ | – | Urban | – | ✓ | ✓ | – | Mobility of vehicles holding content in their CS is not considered. Outdated content location may lead to packet loss, and require retransmissions. Low network density not considered. |
| DRLSF [55] | Receiver | ✓ | ✓ | – | – | – | – | – | Urban/Highway | – | – | ✓ | – | |
| VIFVNDN [42] | Sender | – | – | – | – | ✓ | – | – | Urban | – | – | ✓ | – | Assumes the node transmission range equal to the range of cameras in order to ensure the reachability of the line of sight. |
| EGBIF [41] | Sender | – | – | – | – | ✓ | – | – | Urban | – | – | – | ✓ | NT is not updated. |
| E-Fuzzy [53] | Receiver | ✓ | ✓ | – | – | – | ✓ | – | Highway | – | – | ✓ | – | |
| DBVNDN [54] | Receiver | ✓ | – | – | – | – | – | – | Urban | – | ✓ | ✓ | – | |
| CMAF | Sender | ✓ | – | – | – | – | – | ✓ | Urban/Highway | ✓ | ✓ | ✓ | ✓ | Computation cost for proactively predicting vehicle’s mobility to update the NT. |
| /push-based/info-type/sender-ID/sender-geo-coordinates/ |
| Algorithm (Estimator) | Model | Assumed Distribution | Computational Cost |
|---|---|---|---|
| KF | Linear | Gaussian | Low |
| EKF | Locally linear | Gaussian | Low (For analytically computed Jacobians) |
| Medium (For numerically computed Jacobians) | |||
| UKF | Non-linear | Gaussian | Medium |
| PF | Non-linear | Non-Gaussian | High |
Disclaimer/Publisher’s Note: The statements, opinions and data contained in all publications are solely those of the individual author(s) and contributor(s) and not of MDPI and/or the editor(s). MDPI and/or the editor(s) disclaim responsibility for any injury to people or property resulting from any ideas, methods, instructions or products referred to in the content. |
© 2024 by the authors. Licensee MDPI, Basel, Switzerland. This article is an open access article distributed under the terms and conditions of the Creative Commons Attribution (CC BY) license (https://creativecommons.org/licenses/by/4.0/).
Share and Cite
Silva, E.T.d.; Macedo, J.; Costa, A. CMAF: Context and Mobility-Aware Forwarding Model for V-NDN. Electronics 2024, 13, 2394. https://doi.org/10.3390/electronics13122394
Silva ETd, Macedo J, Costa A. CMAF: Context and Mobility-Aware Forwarding Model for V-NDN. Electronics. 2024; 13(12):2394. https://doi.org/10.3390/electronics13122394
Chicago/Turabian StyleSilva, Elídio Tomás da, Joaquim Macedo, and António Costa. 2024. "CMAF: Context and Mobility-Aware Forwarding Model for V-NDN" Electronics 13, no. 12: 2394. https://doi.org/10.3390/electronics13122394
APA StyleSilva, E. T. d., Macedo, J., & Costa, A. (2024). CMAF: Context and Mobility-Aware Forwarding Model for V-NDN. Electronics, 13(12), 2394. https://doi.org/10.3390/electronics13122394




