Abstract
The recently proposed novel unidirectional multilevel rectifier, a three single-phase star-connected multilevel rectifier, has the characteristic of having a large number of DC-side capacitors and a complex capacitor voltage balancing control structure under conventional carrier-based phase-shift sine wave pulse-width modulation (SPWM). Hence, a space vector pulse-width modulation (SVPWM) algorithm for the novel multilevel rectifier is proposed in this paper, which can quickly balance the capacitor voltage without an additional voltage balancing control structure. Firstly, it divides the space vectors of the rectifier, then it determines the two basis voltage vectors that synthesize the output reference voltage. After that, based on the analysis of the relationship between switching states and the charge–discharge of capacitors, the final action sequences of redundant vectors are determined according to the principle of keeping the capacitor charge–discharge time consistent. Thus, the capacitor voltages can be automatically balanced without an additional voltage balancing control structure. Finally, simulation and experimental results validated the feasibility and effectiveness of the proposed SVPWM algorithm. The results also show improvements in current quality, capacitor voltage balance and the fluctuation of the neutral point voltage on the DC-link, allowing for further reduction in the overall volume and cost of the rectifier.
1. Introduction
Multilevel rectifiers have been widely used and studied because of their advantages in harmonic characteristics, device stress, filter volume, power density and electromagnetic interference [1,2,3]. The existing multilevel rectifiers are mainly divided into three types: diode-clamped (neutral point clamped, NPC) rectifier [4], flying capacitor (FC) rectifier [5,6] and cascaded H-bridge (CHB) rectifier [7]. These rectifiers are bidirectional power transmission. However, in view of the numerous industrial applications, bidirectional power transmission is not necessary, such as power supplies for aircraft, naval propulsion systems, pumps and blowers, etc. [8,9,10,11,12]. Especially in the medium-voltage (MV) applications, the unidirectional rectifiers have better economic benefits due to the use of fewer active switches, and the lower switching loss of the system, so the system has higher safety and reliability and has attracted many research scientists and engineers to conduct comprehensive research on it.
Ref. [13] discussed the derivation of some of the unidirectional rectifiers from the traditional converters, such as the NPC, FC and CHB converters. The topology in Ref. [14] has the same circuit structure as the 3L-NPC and in which some of active switches are replaced by diodes. Further, the Vienna rectifier in Ref. [15] was proposed which is modified from [14]. Moreover, several multilevel unidirectional rectifiers have been proposed in Refs. [16,17,18,19]. Although these rectifiers have lower cost and volume over traditional bidirectional converters, there are still some shortcomings, such as high device stress and uneven switching loss. Especially in MV applications, its front stage still needs a bulky and expensive line-frequency transformer to achieve voltage step-down, line harmonic-current mitigation and galvanic isolation. So that canceling the line-frequency transformer has become a hotspot in the research of unidirectional rectifiers.
Ref. [20] proposed a 6.6 kV transformer-less motor drive using a five-level clamped pulse-width modulation (PWM) inverter for energy savings of pumps and blowers. In which the diode rectifier and the voltage balancing can be defined as a five-level rectifier. Although the transformer can be canceled in MV scenarios, it is replaced by two bulky inductors and it needs an additional active filter to mitigate the harmonics. Hence, the total volume and cost are still large. Ref. [21] modified the circuit structure in Ref. [20], where the two inductors were replaced by a single coupled inductor. The overall volume is still large. Ref. [22] proposed a unidirectional five-level rectifier which can be used in MV scenarios without transformer at the grid side. Compared with the traditional unidirectional five-level rectifier, there are four switches per phase and it has lower cost and device stress and higher efficiency. It adopts the conventional carrier-based phase-shift PWM method and additional control structure to balance the capacitor voltage on the DC side, so the voltage balancing accuracy and switching loss need to be further improved. Ref. [23] proposed a novel unidirectional three single-phase star-connected five-level rectifier. It can also cancel the transformer to reduce the cost and volume of the system. Compared with the topology in Ref. [22], they both have four switches and eight diodes per phase and can be extended to higher levels, but it can generate more levels on the input side so that the harmonic characteristics and filter volume can be further improved. Similarly, it adopts the conventional carrier-based PWM method and the capacitor voltage balance needs an additional control structure. In general, the rectifiers in Refs. [22,23] have great advantages in device stress, cost, filter volume and power efficiency; they are still in the research and development stage. The conventional carrier-based PWM and additional voltage balance control structure will increase the switching loss of the system and the difficulty of engineering implementation, thus limiting its promotion and application in industrial scenarios.
Considering the complexity and variability of industrial scenarios, it is necessary to further improve the dynamic performance and voltage balancing accuracy. Space vector pulse-width modulation (SVPWM) is widely used in the modulation method of converters because of its easy digital implementation, lower switching loss and harmonic currents, etc. [24,25,26]. For the multilevel rectifier proposed in Refs. [22,23], this paper takes the unidirectional single-phase five-level as an example to present an SVPWM algorithm with the function of automatically equalizing the capacitor voltage so as to simplify the voltage balance control structure and improve voltage balancing accuracy and dynamic performance of the rectifier. This paper presents a variety of applicable SVPWM sequences, gives a most recommended sequence by comparing the switching loss and midpoint voltage fluctuation range of the system in simulation and presents experimental results. The proposed SVPWM algorithm in this paper is also applicable and can be easily extended to the three-phase or higher level rectifiers in Refs. [22,23].
The rest of this article is organized as follows: The topology and operating principle of the single-phase five-level rectifier are introduced in Section 2. The design of the SVPWM algorithm and different sequences are presented in Section 3. In Section 4, the simulation and experimental results are given to validate the proposed SVPWM algorithm. The main conclusion is drawn in Section 5.
2. Topology and Principle of the Single-Phase Five-Level Rectifier
Figure 1 shows the topology of a single-phase five-level rectifier, which consists of a diode bridge rectifier and a five-level DC/DC unit. AC grid voltage is us. The filter inductance at the AC side is L, which has the function of boosting voltage. The AC inductive current is iL. The diode bridge rectifier consists of four common diodes D1, D2, D3 and D4. PWM driving signals of switches T1, T2, T3 and T4 are represented by S1, S2, S3 and S4, respectively. When Si (i = 1,2,3,4) = 1, the corresponding power switch is on. When Si (i = 1,2,3,4) = 0, the corresponding power switch is off. D5, D6, D7 and D8 are freewheeling diodes with voltage-clamped functions. The voltages of C1, C2, C3 and C4 are represented by uc1, uc2, uc3 and uc4, respectively. The DC load voltage is udc.
Figure 1.
Topology of single-phase five-level rectifier.
Taking a power frequency cycle as an example. The principle of the single-phase five-level rectifier is introduced as follows.
Taking the point O on the DC-link as the reference point, the output level uao from the point a on the AC-side port to the point O is analyzed.
If iL > 0:
When both switches T1 and T2 are off, uao = udc/2.
When only one of the switches T1 and T2 is on, uao = udc/4.
When both switches T1 and T2 are on, uao = 0.
If iL < 0:
When both switches T3 and T4 are off, uao = −udc/2.
When only one of the switches T3 and T4 is on, uao = −udc/4.
When both switches T3 and T4 are on, uao = 0.
Accordingly, the voltage uao outputs five levels, −udc/4, −udc/2, 0, udc/4, udc/2. Therefore, the port voltage uab can output nine levels, −udc, −3udc/4, −udc/2, −udc/4, 0, udc/4, udc/2, 3udc/4, udc. Table 1 shows the relationship between output levels and switching states in detail.
Table 1.
The relationship between output level and switching states.
Since the front stage of the topology is diode uncontrolled rectification, the current flow path at the DC side has nothing to do with the positive or negative half cycle of the AC voltage, but only with the switching on or off at the DC side. Taking the positive half cycle of the AC voltage as an example, the current flow paths under different switching states are shown in Figure 2.

Figure 2.
Modal analysis of single-phase five-level rectifier in the positive half cycle of voltage.
3. The Proposed SVPWM Algorithm for Single-Phase Five-Level Rectifier
3.1. Sector Division and Selection of Basis Synthetic Voltage Vector
According to the nine levels of output voltage uab, input current direction at the AC side and 16 switching states, the space vector diagram of the single-phase five-level rectifier is divided into 8 sectors, I, II, III, IV, V, VI, VII, VIII. Figure 3 shows the space vector diagram of the rectifier. The boundary of sector I corresponds to voltage vectors V4 and V3. The case is similar for the rest of sector boundaries in Figure 3 and it will not be repeated here.
Figure 3.
Space vector diagram for the single-phase five-level rectifier.
As shown in Figure 3, V is a virtual vector with angular velocity ω rotating counterclockwise. The projection on the α axis of V is the output reference voltage vector Vref of the rectifier. Considering the different input current directions at the AC side, the single-phase five-level rectifier has a total of thirty-one space voltage vectors. Except for the zero vector (1111), each switching state corresponds to two voltage vectors with different directions and the same length.
All voltage vectors are defined according to Figure 3. V4 and V−4 (0000) are long vectors. V3 and V−3 are medium-long vectors, in which (1000), (0100), (0010) and (0001) are redundant vectors. V2 and V−2 are medium vectors, in which (1100), (0110), (0011), (1001), (0101) and (1010) are redundant vectors. V1 and V−1 are short vectors, in which (1110), (0111), (1101) and (1011) are redundant vectors. V0 is a zero vector.
Before selecting the basis synthetic voltage vector, the sector to which the reference voltage vector Vref belongs should be judged first. The sector judgment rules and the selection of the basis synthetic voltage vector are as follows:
If Vref ≥ 3udc/4, select vectors V4 and V3 for synthesis in sector I.
If 3udc/4 > Vref ≥ udc/2, select vectors V3 and V2 for synthesis in sector II.
If udc/2 > Vref ≥ udc/4, select vectors V2 and V1 for synthesis in sector III.
If udc/4 > Vref ≥ 0, select vectors V1 and V0 for synthesis in sector IV.
When Vref < 0, the sector judgment is similar to the above rules with Vref ≥ 0 and is easy to understand from Figure 3.
After determining the sector to which Vref belongs and selecting the basis synthetic vector, the existence of the relevant redundant vector makes the selection of the basis vector more flexible. When selecting redundant vectors, the influence of each vector on the charge and discharge of each DC-side capacitor should be considered, so as to better maintain the voltage balance between capacitors. Table 2 shows the relationship between different switching states, namely different voltage vectors, and the charge–discharge of DC-side capacitors.
Table 2.
The relationship between switching states and the charge–discharge of DC-side capacitors.
3.2. Determine the SVPWM Sequence and Vector Action Time
After determining which basis vectors are composed of Vref in each sector, the specific SVPWM sequence is determined based on the principle that the capacitors recover balance as soon as possible.
In sector I, there is no redundant vector for V4, and only the redundant vectors of V3 need to be reasonably configured. According to the relationship between redundant vectors and the charge–discharge of each capacitor in Table 2, select (0000) as the first vector. Considering the minimum switching times per switching cycle, conduct in the order of (0000) → (1000) → (0100) → (0010) → (0001) → (0000).
In sector II, the redundant vectors of V3 and V2 need to be reasonably configured. According to the relationship between redundant vectors and the charge–discharge of each capacitor in Table 2, select (1010) as the first vector. Considering the minimum switching times per switching cycle, conduct in the order of (1010) → (1000) → (0100) → (0010) → (0001) → (0101).
In sector III, the redundant vectors of V2 and V1 need to be reasonably configured. According to the relationship between redundant vectors and the charge–discharge of each capacitor in Table 2, select (1010) as the first vector. Considering the minimum switching times per switching cycle, conduct in the order of (1010) → (1110) → (1101) → (1011) → (0111) → (0101).
In sector IV, there is no redundant vector for V0, and only the redundant vectors of V1 need to be reasonably configured. According to the relationship between redundant vectors and the charge–discharge of each capacitor in Table 2, select (1111) as the first vector. Considering the minimum switching times per switching cycle, conduct in the order of (1111) → (1110) → (1101) → (1011) → (0111) → (1111).
In sector V, the switching states of the redundant vectors of V1 and V−1 are the same; that is, the charge–discharge impact on the DC-side capacitors is the same. For this reason, the same SVPWM sequence as sector IV is selected to synthesize Vref.
In sector VI, the switching states of the redundant vectors of V1 and V−1, V2 and V−2 are the same; that is, the charge–discharge impact on the DC-side capacitors is the same. The same SVPWM sequence as sector III is selected to synthesize Vref.
In sector VII, the switching states of the redundant vectors of V3 and V−3, V2 and V−2 are the same; that is, the charge–discharge impact on the DC-side capacitors is the same. The same SVPWM sequence as sector II is selected to synthesize Vref.
In sector VIII, the switching states of the redundant vectors of V4 and V−4, V3 and V−3 are the same; that is, the charge–discharge impact on the DC-side capacitors is the same. The same SVPWM sequence as sector I is selected to synthesize Vref.
SVPWM-1:
Sector I: (0000) → (1000) → (0100) → (0000) → (0001) → (0010).
Sector II: (1010) → (1000) → (0100) → (0101) → (0001) → (0010).
Sector III: (1010) → (1110) → (1101) → (0101) → (0111) → (1011).
Sector IV: (1111) → (1110) → (1101) → (1111) → (0111) → (1011).
Sector V: (1111) → (1110) → (1101) → (1111) → (0111) → (1011).
Sector VI: (1010) → (1110) → (1101) → (0101) → (0111) → (1011).
Sector VII: (1010) → (1000) → (0100) → (0101) → (0001) → (0010).
Sector VIII: (0000) → (1000) → (0100) → (0000) → (0001) → (0010).
SVPWM-2:
Sector I: (0000) → (1000) → (0100) → (0000) → (0001) → (0010).
Sector II: (1100) → (1000) → (0100) → (0011) → (0001) → (0010).
Sector III: (1100) → (1110) → (1101) → (0011) → (0111) → (1011).
Sector IV: (1111) → (1110) → (1101) → (1111) → (0111) → (1011).
Sector V: (1111) → (1110) → (1101) → (1111) → (0111) → (1011).
Sector VI: (1100) → (1110) → (1101) → (0011) → (0111) → (1011).
Sector VII: (1100) → (1000) → (0100) → (0011) → (0001) → (0010).
Sector VIII: (0000) → (1000) → (0100) → (0000) → (0001) → (0010).
SVPWM-3:
Sector I: (0000) → (1000) → (0100) → (0000) → (0001) → (0010).
Sector II: (1001) → (1000) → (0100) → (0110) → (0001) → (0010).
Sector III: (1001) → (1110) → (1101) → (0110) → (0111) → (1011).
Sector IV: (1111) → (1110) → (1101) → (1111) → (0111) → (1011).
Sector V: (1111) → (1110) → (1101) → (1111) → (0111) → (1011).
Sector VI: (1001) → (1110) → (1101) → (0110) → (0111) → (1011).
Sector VII: (1001) → (1000) → (0100) → (0110) → (0001) → (0010).
Sector VIII: (0000) → (1000) → (0100) → (0000) → (0001) → (0010).
SVPWM-4 (hybrid):
Sector I: (0000) → (1000) → (0100) → (0000) → (0001) → (0010).
Sector II: (1001) → (1000) → (0100) → (0110) → (0001) → (0010).
Sector III: (1001) → (1110) → (1101) → (0110) → (0111) → (1011).
Sector IV: (1111) → (1110) → (1101) → (1111) → (0111) → (1011).
Sector V: (1111) → (1110) → (1101) → (1111) → (0111) → (1011).
Sector VI: (1010) → (1110) → (1101) → (0101) → (0111) → (1011).
Sector VII: (1010) → (1000) → (0100) → (0101) → (0001) → (0010).
Sector VIII: (0000) → (1000) → (0100) → (0000) → (0001) → (0010).
For sequence SVPWM-1, Figure 4 shows the conduction sequence and output of the four switches in each sector, respectively:

Figure 4.
Switching states and output level corresponding to the SVPWM-1. (a) Sector I, II. (b) Sector III, IV. (c) Sector V, VI. (d) Sector VII, VIII.
For other diagrams of SVPWM sequences given in this paper, the analysis method is similar to the above, and will not be shown here one by one.
As for the action time of each basis synthetic vector, it is calculated according to the volt-second principle, and the relevant formulas are shown as follows:
where the action time of the basis synthetic vectors Vx and Vy are Tx and Ty, respectively. The switching cycle is Ts. It is necessary to ensure that the action time between the redundant vectors of each basis synthetic vector is equal so as to realize the voltage balance between the DC-side capacitors.
4. Simulation and Experimental Results
In this section, the simulation and experimental results of a single-phase five-level rectifier prototype are presented to verify the effectiveness and feasibility of the proposed SVPWM algorithm. The system parameters applied in the simulation are listed in Table 3.
Table 3.
System parameters.
4.1. Simulation Results
Figure 5 shows the sector judgment curve of Vref under the SVPWM algorithm proposed in this paper. Meanwhile, the waveforms of grid voltage us, inductive current iL, port input voltage uab, and the voltage uao from point “a” on the AC side to point “o” on the DC side under the SVPWM algorithm proposed in this paper are shown in Figure 6. According to Figure 5 and Figure 6, the feasibility of the proposed SVPWM algorithm and the given sequences are verified.
Figure 5.
Sector judgement of rectifier during steady-state operation.
Figure 6.
Voltage and current at AC side of rectifier during steady-state operation.
Figure 7 shows the voltage and current at the AC side under the conventional carrier-based phase-shift SPWM and the SVPWM algorithm with different SVPWM sequences proposed in this paper. It can bet seen from the figure that the unit power factor operation can be realized under the conventional carrier-based phase-shift SPWM and the SVPWM algorithm and the harmonic distortion rate of input current iL is lower under the SVPWM algorithm.

Figure 7.
Grid voltage and inductive current under different modulation methods during steady-state operation. (a) SPWM. (b) SVPWM-1. (c) SVPWM-2. (d) SVPWM-3. (e) SVPWM-4(hybrid).
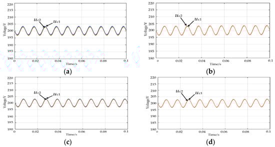
Figure 8 shows the voltages of DC-side capacitors C1 and C2 during steady-state operation of the rectifier under conventional carrier-based phase-shift SPWM and the SVPWM proposed in this paper. Figure 9 shows the corresponding DC-side midpoint voltage fluctuation ∆uc12. It can be seen from the curves that both SPWM and SVPWM can achieve the stable output of DC-link voltage. However, through comparison, it can be found that under the SVPWM algorithm proposed in this paper, especially under the SVPWM-4 sequence, the neutral point voltage ∆uc12 is significantly reduced by about 60%, which reduces the transmission loss of the DC-link voltage to a certain extent and provides space for reducing the capacitance C1 and C2.

Figure 8.
The voltages of uc1 and uc2 under different modulation methods during steady-state operation. (a) SPWM. (b) SVPWM-1. (c) SVPWM-2. (d) SVPWM-3. (e) SVPWM-4(hybrid).
Figure 9.
The voltage fluctuation of ∆uc12 under different modulation methods during steady-state operation. (a) SPWM. (b) SVPWM-1. (c) SVPWM-2. (d) SVPWM-3. (e) SVPWM-4(hybrid).
Figure 10 shows the voltages of flying capacitors C3 and C4 under the conventional carrier-based phase-shift SPWM and the SVPWM proposed in this paper. Figure 11 shows the voltage fluctuation ∆uc34 between the two flying capacitors C3 and C4. It can be seen from the figures that both SPWM and SVPWM can realize the charge and discharge of flying capacitors, and the voltage value is stable at about 1/4 of the reference voltage. Moreover, through comparison, it can be found that under the SVPWM algorithm proposed in this paper, especially under the SVPWM-4, the voltage fluctuation ∆uc34 is greatly reduced by about 98%. This advantage provides space for further reducing the size of flying capacitors, and has certain economic benefits. It is proved that the SVPWM algorithm proposed in this paper can not only realize better AC-side current quality, but also greatly reduce the volume and cost of the single-phase five-level rectifier, which has better engineering application and promotion value.
Figure 10.
The voltages of uc3 and uc4 under different modulation methods during steady-state operation. (a) SPWM. (b) SVPWM-1. (c) SVPWM-2. (d) SVPWM-3. (e) SVPWM-4(hybrid).

Figure 11.
The voltage fluctuation of ∆uc34 under different modulation methods during steady-state operation. (a) SPWM. (b) SVPWM-1. (c) SVPWM-2. (d) SVPWM-3. (e) SVPWM-4(hybrid).
4.2. Experimental Results
In order to verify the proposed SVPWM algorithm for a single-phase five-level rectifier with DC-side capacitor voltage balance, a down-scaled prototype, as shown in Figure 12, was built. The power supply used was a programmable AC power supply, Chroma 61503, while the oscilloscope was Tektronix DPO 3054. The controller used was TMS320F28335 DSP from Texas Instruments. In the experimental test, a reduced power level was used, with an effective input voltage of 110 V on the AC side, and a desired DC-link voltage of 200 V. Furthermore, all other parameters are consistent with the simulation section, as shown in Table 3. Meanwhile, this section only selects SVPWM-4 sequence with the best overall performance to verify the effectiveness and feasibility of the SVPWM algorithm proposed in this paper. The main experimental results are as follows.
Figure 12.
The prototype of single-phase five-level rectifier.
Figure 13 shows the AC-side voltage and current, the total DC-link voltage udc as well as the port voltage uab. Nine-level port voltage uab and sinusoidal AC-side current can be realized. Moreover, the total DC-link voltage can be stabilized near the desired value with a small voltage ripple.
Figure 13.
Experimental results of current iL and voltages us, udc and uab.
Figure 14 and Figure 15, respectively, show the AC-side voltage us and current iL as well as the DC-side capacitor voltages uc1 and uc2 under the load suddenly changing from 100 Ω to 50 Ω and 50 Ω to 100 Ω. It can be seen that the capacitor voltages is still well balanced, which verifies the effectiveness of the proposed SVPWM algorithm.
Figure 14.
Experimental results of current iL and voltages us, uc1 and uc2 with load suddenly changing from 100 Ω to 50 Ω.
Figure 15.
Experimental results of current iL and voltages us, uc1 and uc2 with load suddenly changing from 50 Ω to 100 Ω.
Figure 16 shows the DC-side capacitor voltages uc1, uc2, uc3 and uc4. It can be found that the DC-side capacitor voltages can be well balanced. The voltages uc1 and uc2 can be stabilized near the desired value with small voltage ripple. In addition, the voltages uc3 and uc4 can be stabilized near half of the voltage uc1 or uc2 with smaller voltage ripple. Moreover, the voltage fluctuations between uc1 and uc2, uc3 and uc4 are well suppressed under the proposed SVPWM algorithm. Therefore, Figure 13, Figure 14 and Figure 15 prove the feasibility and effectiveness of the SVPWM algorithm proposed in this paper for single-phase five-level rectifier. Meanwhile, we have also provided a comparison table with the previous work to highlight the achievements of this paper, which is shown in Table 4.
Figure 16.
Experimental results of voltages uc1, uc2, uc3 and uc4.
Table 4.
Comparison with the previous work.
5. Discussion
Aiming at the inherent disadvantages of a large number of single-phase five-level DC-side capacitors and complex capacitor voltage balance control, an SVPWM algorithm for improving the DC-side capacitor voltage balance is proposed in this paper. Finally, the simulation and experimental results verify the correctness and effectiveness of the proposed SVPWM algorithm. Moreover, this paper also gives several SVPWM sequences, and highlights its advantages through the comparative analysis with the conventional carrier-based phase-shift SPWM. Meanwhile, the given sequences are summarized, and a sequence with the best performance is recommended. It is of great significance for the promotion and application of the single-phase five-level rectifier in practical engineering, and can be easily extended to the higher levels of the three-phase rectifiers in Refs. [22,23].
6. Conclusions
In this paper, we propose an SVPWM algorithm for the recently proposed novel unidirectional multilevel rectifier. Compared with the conventional carrier-based phase-shift SPWM, it can balance the DC-side capacitor voltage better without requiring additional complex capacitor voltage balancing control structures. Furthermore, the flexibility of the proposed SVPWM algorithm is demonstrated through different sequence selections, providing ideas for higher-level SVPWM algorithm research in both three-phase and single-phase unidirectional rectifiers. Additionally, it provides theoretical support for practical engineering applications and lays a solid foundation for the research of upper control strategies for this type of unidirectional rectifier. These contributions will facilitate further studies in other fields, such as nonlinear control strategies and thermal losses.
Author Contributions
Conceptualization, D.Y. and H.C.; methodology, D.Y. and C.W.; software, D.Y.; validation, D.Y., H.C., C.W. and C.T.; writing—original draft preparation, D.Y.; writing—review and editing, D.Y., H.C., C.W. and C.T. All authors have read and agreed to the published version of the manuscript.
Funding
This research was funded by the National Natural Science Foundation of China under Grant No. 51577187 and the Fundamental Research Funds for the Central Universities grant number 2022YJSJD03.
Data Availability Statement
The data presented in this study are available in the article.
Conflicts of Interest
The authors declare no conflict of interest.
References
- Fang, J.; Blaabjerg, F.; Liu, S.; Goetz, S.M. A Review of Multilevel Converters with Parallel Connectivity. IEEE Trans. Power Electron. 2021, 36, 12468–12489. [Google Scholar] [CrossRef]
- Ebrahimi, J.; Babaei, E.; Gharehpetian, G.B. A New Multilevel Converter Topology with Reduced Number of Power Electronic Components. IEEE Trans. Ind. Electron. 2012, 59, 655–667. [Google Scholar] [CrossRef]
- Norambuena, M.; Kouro, S.; Dieckerhoff, S.; Rodriguez, J. Reduced Multilevel Converter: A Novel Multilevel Converter with a Reduced Number of Active Switches. IEEE Trans. Ind. Electron. 2018, 65, 3636–3645. [Google Scholar] [CrossRef]
- Kim, J.Y.; Kim, H.S.; Baek, J.W. Analysis of Effective Three-Level Neutral Point Clamped Converter System for the Bipolar LVDC Distribution. Electronics 2019, 8, 691. [Google Scholar] [CrossRef]
- Tian, H.; Li, Y.W. Carrier-Based Stair Edge PWM (SEPWM) for Capacitor Balancing in Multilevel Converters with Floating Capacitors. IEEE Trans. Ind. Appl. 2018, 54, 3440–3452. [Google Scholar] [CrossRef]
- Farivar, G.; Ghias, A.M.Y.M.; Hredzak, B.; Pou, J.; Agelidis, V.G. Capacitor Voltages Measurement and Balancing in Flying Capacitor Multilevel Converters Utilizing a Single Voltage Sensor. IEEE Trans. Power Electron. 2017, 32, 8115–8123. [Google Scholar] [CrossRef]
- Yu, Y.; Konstantinou, G.; Hredzak, B.; Agelidis, V.G. Power Balance of Cascaded H-Bridge Multilevel Converters for Large-Scale Photovoltaic Integration. IEEE Trans. Power Electron. 2016, 31, 292–303. [Google Scholar] [CrossRef]
- Cheng, H.; Yang, D.; Wang, C. Research on the Nonlinear Control Strategy of Three-Phase Bridgeless Rectifier under Unbalanced Grids. Electronics 2021, 10, 3090. [Google Scholar] [CrossRef]
- Soeiro, T.B.; Kolar, J.W. Analysis of High-Efficiency Three-Phase Two- and Three-Level Unidirectional Hybrid Rectifiers. IEEE Trans. Ind. Electron. 2013, 60, 3589–3601. [Google Scholar] [CrossRef]
- Costa, P.J.S.; Ewerling, M.V.M.; Font, C.H.I.; Lazzarin, T.B. Unidirectional Three-Phase Voltage-Doubler SEPIC PFC Rectifier. IEEE Trans. Power Electron. 2021, 36, 6761–6773. [Google Scholar] [CrossRef]
- Cortez, D.F.; Barbi, I. A Family of High-Voltage Gain Single-Phase Hybrid Switched-Capacitor PFC Rectifiers. IEEE Trans. Power Electron. 2015, 30, 4189–4198. [Google Scholar] [CrossRef]
- Deng, J.; Cheng, H.; Wang, C.; Wu, S.; Si, M. Evaluation and Comprehensive Comparison of H-Bridge-Based Bidirectional Rectifier and Unidirectional Rectifiers. Electronics 2020, 9, 309. [Google Scholar] [CrossRef]
- Heldwein, M.L.; Mussa, S.A.; Barbi, I. Three-Phase Multilevel PWM Rectifiers Based on Conventional Bidirectional Converters. IEEE Trans. Power Electron. 2010, 25, 545–549. [Google Scholar] [CrossRef]
- Zhao, Y.; Li, Y.; Lipo, T.A. Force Commutated Three Level Boost Type Rectifier. IEEE Trans. Ind. Appl. 1995, 31, 155–161. [Google Scholar] [CrossRef]
- Kolar, J.W.; Zach, F.C. A novel three-phase utility interface minimizing line current harmonics of high-power telecommunications rectifier modules. IEEE Trans. Ind. Electron. 1997, 44, 456–467. [Google Scholar] [CrossRef]
- Itoh, J.-i.; Noge, Y.; Adachi, T. A Novel Five-Level Three-Phase PWM Rectifier with Reduced Switch Count. IEEE Trans. Power Electron. 2011, 26, 2221–2228. [Google Scholar] [CrossRef]
- Ooi, G.H.P.; Maswood, A.I.; Lim, Z. Five-Level Multiple-Pole PWM AC–AC Converters with Reduced Components Count. IEEE Trans. Ind. Electron. 2015, 62, 4739–4748. [Google Scholar] [CrossRef]
- Grbovic, P.J.; Lidozzi, A.; Solero, L.; Crescimbini, F. Five-Level Unidirectional T-Rectifier for High-Speed Gen-Set Applications. IEEE Trans. Ind. Appl. 2016, 52, 1642–1651. [Google Scholar] [CrossRef]
- Zhang, Y.; Chen, R.; Li, C.; Xin, Z.; Chen, R.; Li, W.; He, X.; Ma, H. A SiC and Si Hybrid Five-Level Unidirectional Rectifier for Medium Voltage Applications. IEEE Trans. Ind. Electron. 2022, 69, 7537–7548. [Google Scholar] [CrossRef]
- Hatti, N.; Hasegawa, K.; Akagi, H. A 6.6-kV Transformerless Motor Drive Using a Five-Level Diode-Clamped PWM Inverter for Energy Savings of Pumps and Blowers. IEEE Trans. Power Electron. 2009, 24, 796–803. [Google Scholar] [CrossRef]
- Hasegawa, K.; Akagi, H. A New DC-Voltage-Balancing Circuit Including a Single Coupled Inductor for a Five-Level Diode-Clamped PWM Inverter. IEEE Trans. Ind. Appl. 2011, 47, 841–852. [Google Scholar] [CrossRef]
- Mukherjee, D.; Kastha, D. A Reduced Switch Hybrid Multilevel Unidirectional Rectifier. IEEE Trans. Power Electron. 2019, 34, 2070–2081. [Google Scholar] [CrossRef]
- Cheng, H.; Zhao, Z.; Wang, C. A Novel Unidirectional Three-Phase Multilevel Rectifier Composed of Star-Connected Three Single-Phase Topology Based on Five-Level Flying Capacitor DC-DC Converter. IEEE Trans. Ind. Electron. 2022, 70, 5493–5503. [Google Scholar] [CrossRef]
- Yan, Q.; Zhou, Z.; Wu, M.; Yuan, X.; Zhao, R.; Xu, H. A Simplified Analytical Algorithm in abc Coordinate for the Three-Level SVPWM. IEEE Trans. Power Electron. 2021, 36, 3622–3627. [Google Scholar] [CrossRef]
- Zhang, J.; Wai, R. Design of New SVPWM Mechanism for Three-Level NPC ZSI via Line-Voltage Coordinate System. IEEE Trans. Power Electron. 2020, 35, 8593–8606. [Google Scholar] [CrossRef]
- Wu, L.; Li, J.; Lu, Y.; He, K. Strategy of Synchronized SVPWM for Dual Three-Phase Machines in Full Modulation Range. IEEE Trans. Power Electron. 2022, 37, 3272–3282. [Google Scholar] [CrossRef]
Disclaimer/Publisher’s Note: The statements, opinions and data contained in all publications are solely those of the individual author(s) and contributor(s) and not of MDPI and/or the editor(s). MDPI and/or the editor(s) disclaim responsibility for any injury to people or property resulting from any ideas, methods, instructions or products referred to in the content. |
© 2023 by the authors. Licensee MDPI, Basel, Switzerland. This article is an open access article distributed under the terms and conditions of the Creative Commons Attribution (CC BY) license (https://creativecommons.org/licenses/by/4.0/).