A Novel Self-Adaptive Rectifier with High Efficiency and Wide Input Power Range
Abstract
:1. Introduction
2. Circuit Realization
2.1. Design of Rectifier Branches and Feedback Network
2.2. Design of the Impedance Transform and Isolation Network (ITIN)
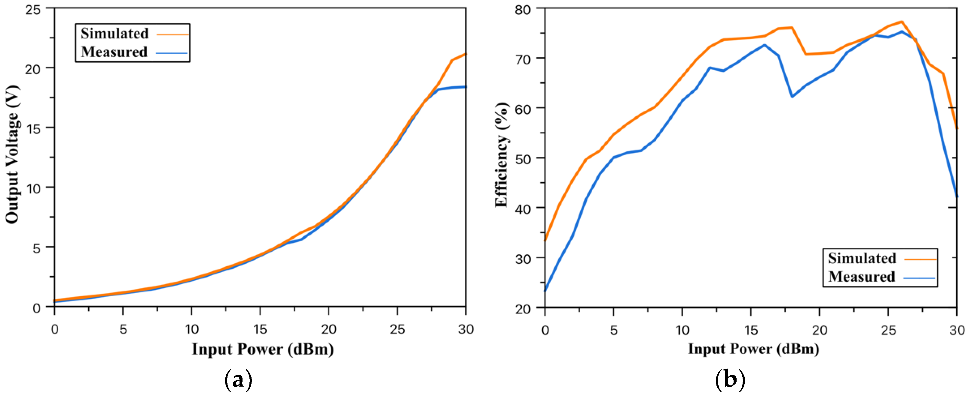
3. Simulation and Experiment Results
4. Conclusions
Author Contributions
Funding
Data Availability Statement
Conflicts of Interest
References
- Erkmen, F.; Almoneef, T.S.; Ramahi, O.M. Electromagnetic Energy Harvesting Using Full-Wave Rectification. IEEE Trans. Microw. Theory Tech. 2017, 65, 1843–1851. [Google Scholar] [CrossRef]
- Ashoor, A.Z.; Almoneef, T.S.; Ramahi, O.M. A Planar Dipole Array Surface for Electromagnetic Energy Harvesting and Wireless Power Transfer. IEEE Trans. Microw. Theory Tech. 2018, 66, 1553–1560. [Google Scholar] [CrossRef]
- Bolos, F.; Blanco, J.; Collado, A.; Georgiadis, A. RF Energy Harvesting from Multi-Tone and Digitally Modulated Signals. IEEE Trans. Microw. Theory Tech. 2016, 64, 1918–1927. [Google Scholar] [CrossRef]
- Muhammad, S.; Tiang, J.J.; Wong, S.K.; Rambe, A.H.; Adam, I.; Smida, A.; Waly, M.I.; Iqbal, A.; Abubakar, A.S.; Mohd Yasin, M.N. Harvesting Systems for RF Energy: Trends, Challenges, Techniques, and Tradeoffs. Electronics 2022, 11, 959. [Google Scholar] [CrossRef]
- Brown, W. Adapting Microwave Techniques to Help Solve Future Energy Problems. IEEE Trans. Microw. Theory Tech. 1973, 21, 753–763. [Google Scholar] [CrossRef]
- Brown, W.; Eves, E. Beamed microwave power transmission and its application to space. IEEE Trans. Microw. Theory Tech. 1992, 40, 1239–1250. [Google Scholar] [CrossRef]
- Glaser, P. An overview of the solar power satellite option. IEEE Trans. Microw. Theory Tech. 1992, 40, 1230–1238. [Google Scholar] [CrossRef]
- McSpadden, J.O.; Mankins, J.C. Space solar power programs and microwave wireless power transmission technology. IEEE Microw. Mag. 2002, 3, 46–57. [Google Scholar] [CrossRef]
- Matsumoto, H. Research on solar power satellites and microwave power transmission in Japan. IEEE Microw. Mag. 2002, 3, 36–45. [Google Scholar] [CrossRef]
- Sasaki, S.; Tanaka, K. Wireless power transmission technologies for solar power satellite. In Proceedings of the 2011 IEEE MTT-S International Microwave Workshop Series on Innovative Wireless Power Transmission: Technologies, Systems, and Applications, Kyoto, Japan, 12–13 May 2011; pp. 3–6. [Google Scholar]
- Strassner, B.; Chang, K. Microwave Power Transmission: Historical Milestones and System Components. IEEE Proc. 2013, 101, 1379–1396. [Google Scholar] [CrossRef]
- Sasaki, S.; Tanaka, K.; Maki, K.I. Microwave Power Transmission Technologies for Solar Power Satellites. IEEE Proc. 2013, 101, 1438–1447. [Google Scholar] [CrossRef]
- Hashimoto, T.; Tanzawa, T. Design Space Exploration of Antenna Impedance and On-Chip Rectifier for Microwave Wireless Power Transfer. Electronics 2022, 11, 3218. [Google Scholar] [CrossRef]
- Nusrat, T.; Roy, S.; Lotfi-Neyestanak, A.A.; Noghanian, S. Far-Field Wireless Power Transfer for the Internet of Things. Electronics 2023, 12, 207. [Google Scholar] [CrossRef]
- Mahmood, A.; Ahmed, A.; Naeem, M.; Hong, Y. Partial Offloading in Energy Harvested Mobile Edge Computing: A Direct Search Approach. IEEE Access 2020, 8, 36757–36763. [Google Scholar] [CrossRef]
- Singh, J.; Kaur, R.; Singh, D. Energy harvesting in wireless sensor networks: A taxonomic survey. Int. J. Energy Res. 2021, 45, 118–140. [Google Scholar] [CrossRef]
- Valenta, C.R.; Durgin, G.D. Harvesting wireless power: Survey of energy-harvester conversion efficiency in far-field, wireless power transfer systems. IEEE Microw. Mag. 2014, 15, 108–120. [Google Scholar]
- Liu, C.; Tan, F.; Zhang, H.; He, Q. A Novel Single-Diode Microwave Rectifier with a Series Band-Stop Structure. IEEE Trans. Microw. Theory Tech. 2017, 65, 600–606. [Google Scholar] [CrossRef]
- Sakai, N.; Noguchi, K.; Itoh, K. A 5.8-GHz Band Highly Efficient 1-W Rectenna with Short-Stub-Connected High-Impedance Dipole Antenna. IEEE Trans. Microw. Theory Tech. 2021, 69, 3558–3566. [Google Scholar] [CrossRef]
- Wang, S.C.; Li, M.J.; Tong, M.S. A Miniaturized High-Efficiency Rectifier with Extended Input Power Range for Wireless Power Harvesting. IEEE Microw. Wirel. Compon. Lett. 2020, 30, 617–620. [Google Scholar] [CrossRef]
- Xiao, Y.Y.; Du, Z.X.; Zhang, X.Y. High-Efficiency Rectifier with Wide Input Power Range Based on Power Recycling. IEEE Trans. Circuits Syst. II Exp. Briefs 2018, 65, 744–748. [Google Scholar] [CrossRef]
- Dang, K.; Zhang, J.; Zhou, H.; Huang, S.; Zhang, T.; Bian, Z.; Zhang, Y.; Wang, X.; Zhao, S.; Wei, K.; et al. A 5.8-GHz High-Power and High-Efficiency Rectifier Circuit with Lateral GaN Schottky Diode for Wireless Power Transfer. IEEE Trans. Power Electron. 2020, 35, 2247–2252. [Google Scholar] [CrossRef]
- Li, Y.; Pu, T.F.; Li, X.B.; Zhong, Y.R.; Yang, L.A.; Fujiwara, S.; Kitahata, H.; Ao, J.P. GaN Schottky Barrier Diode-Based Wideband and Medium-Power Microwave Rectifier for Wireless Power Transmission. IEEE Trans. Electron. Devices 2020, 67, 4123–4129. [Google Scholar] [CrossRef]
- Wang, C.; Yang, B.; Shinohara, N. Study and Design of a 2.45-GHz Rectifier Achieving 91% Efficiency at 5-W Input Power. IEEE Microw. Wirel. Compon. Lett. 2021, 31, 76–79. [Google Scholar] [CrossRef]
- Lian, W.X.; Yong, J.K.; Chong, G.; Churchill, K.K.P.; Ramiah, H.; Chen, Y.; Mak, P.-I.; Martins, R.P. A Reconfigurable Hybrid RF Front-End Rectifier for Dynamic PCE Enhancement of Ambient RF Energy Harvesting Systems. Electronics 2023, 12, 175. [Google Scholar] [CrossRef]
- Takhedmit, H.; Merabet, B.; Cirio, L.; Allard, B.; Costa, F.; Vollaire, C.; Picon, O. A 2.45-GHz dual-diode RF-to-DC rectifier for rectenna applications. In Proceedings of the 40th European Microwave Conference, Paris, France, 28–30 September 2010; pp. 37–40. [Google Scholar]
- Liu, J.; Zhang, X.Y.; Xue, Q. Dual-Band Transmission-Line Resistance Compression Network and Its Application to Rectifiers. IEEE Trans. Circuits Syst. I Reg. Papers 2019, 66, 119–132. [Google Scholar] [CrossRef]
- Barton, T.W.; Gordonson, J.; Perreault, D.J. Transmission line resistance compression networks for microwave rectifiers. In Proceedings of the 2014 IEEE MTT-S International Microwave Symposium (IMS2014), Tampa, FL, USA, 1–6 June 2014; pp. 1–4. [Google Scholar]
- Zhang, X.Y.; Du, Z.X.; Xue, Q. High-Efficiency Broadband Rectifier with Wide Ranges of Input Power and Output Load Based on Branch-Line Coupler. IEEE Trans. Circuits Syst. I Reg. Papers 2017, 64, 731–739. [Google Scholar] [CrossRef]
- Zheng, S.Y.; Wang, S.H.; Leung, K.W.; Chan, W.S.; Xia, M.H. A High-Efficiency Rectifier with Ultra-Wide Input Power Range Based on Cooperative Structure. IEEE Trans. Microw. Theory Tech. 2019, 67, 4524–4533. [Google Scholar] [CrossRef]
- Peng, C.; Ye, Z.; Wu, J.; Chen, C.; Wang, Z. Design of a Wide-Dynamic RF-DC Rectifier Circuit Based on an Unequal Wilkinson Power Divider. Electronics 2021, 10, 2815. [Google Scholar] [CrossRef]
- He, Z.; Lan, J.; Liu, C. Compact Rectifiers with Ultra-wide Input Power Range Based on Nonlinear Impedance Characteristics of Schottky Diodes. IEEE Trans. Power Electron. 2021, 36, 7407–7411. [Google Scholar] [CrossRef]
- Lu, P.; Song, C.; Cheng, F.; Zhang, B.; Huang, K. A Self-Biased Adaptive Reconfigurable Rectenna for Microwave Power Transmission. IEEE Trans. Ind. Electron. 2020, 35, 7749–7754. [Google Scholar] [CrossRef]
- Mirzavand, F.; Nayyeri, V.; Soleimani, M.; Mirzavand, R. Effificiency improvement of WPT system using inexpensive auto-adaptive impedance matching. Electron. Lett. 2016, 52, 2055–2057. [Google Scholar] [CrossRef]
- Marian, V.; Allard, B.; Vollaire, C.; Verdier, J. Strategy for Microwave Energy Harvesting from Ambient Field or a Feeding Source. IEEE Trans. Power Electron. 2012, 27, 4481–4491. [Google Scholar] [CrossRef]
- Liu, Z.; Zhong, Z.; Guo, Y.X. Enhanced Dual-Band Ambient RF Energy Harvesting with Ultra-Wide Power Range. IEEE Microw. Wirel. Compon. Lett. 2015, 25, 630–632. [Google Scholar] [CrossRef]
- McSpadden, J.O.; Fan, L.; Chang, K. Design and experiments of a high-conversion-efficiency 5.8-GHz rectenna. IEEE Trans. Microw. Theory Tech. 1998, 46, 2053–2060. [Google Scholar] [CrossRef]






| Ref. | Freq. (GHz) | Pin (dBm) Range for Eff. > 50% | Max. Eff. (%) | Methods | Extra Power Supply | Constant Load Impedance |
| [31] | 2.45 | 8~27 | 75.5 | Wilkinson power divider | No | No |
| [29] | 2.45 | 2.9~20.2 | 80.8 | Coupler | No | No |
| [30] | 2.4 | −3.5~26 | 72.8 | Cooperative | No | No |
| [32] | 2.45 | 6.5~29.8 | 74.5 | Non-linear power division | No | Yes |
| [33] | 2.45 | −6~21 | 78.2 | Self-biased network | No | Yes |
| [34] | 2.45 | −3~22 | 78 | SPDT | Yes | No |
| This work | 2.45 | 5~29 | 75.2% | Self-adaptive Branches | No | Yes |
Disclaimer/Publisher’s Note: The statements, opinions and data contained in all publications are solely those of the individual author(s) and contributor(s) and not of MDPI and/or the editor(s). MDPI and/or the editor(s) disclaim responsibility for any injury to people or property resulting from any ideas, methods, instructions or products referred to in the content. |
© 2023 by the authors. Licensee MDPI, Basel, Switzerland. This article is an open access article distributed under the terms and conditions of the Creative Commons Attribution (CC BY) license (https://creativecommons.org/licenses/by/4.0/).
Share and Cite
Lai, S.; Zhang, Z.; Liu, Z.; Wang, G.; Zhou, Y.; Zhu, H.; Yang, Y. A Novel Self-Adaptive Rectifier with High Efficiency and Wide Input Power Range. Electronics 2023, 12, 712. https://doi.org/10.3390/electronics12030712
Lai S, Zhang Z, Liu Z, Wang G, Zhou Y, Zhu H, Yang Y. A Novel Self-Adaptive Rectifier with High Efficiency and Wide Input Power Range. Electronics. 2023; 12(3):712. https://doi.org/10.3390/electronics12030712
Chicago/Turabian StyleLai, Shimiao, Zihao Zhang, Zhijun Liu, Ge Wang, Yongjie Zhou, Huacheng Zhu, and Yang Yang. 2023. "A Novel Self-Adaptive Rectifier with High Efficiency and Wide Input Power Range" Electronics 12, no. 3: 712. https://doi.org/10.3390/electronics12030712
APA StyleLai, S., Zhang, Z., Liu, Z., Wang, G., Zhou, Y., Zhu, H., & Yang, Y. (2023). A Novel Self-Adaptive Rectifier with High Efficiency and Wide Input Power Range. Electronics, 12(3), 712. https://doi.org/10.3390/electronics12030712

