Study of Single Event Latch-Up Hardness for CMOS Devices with a Resistor in Front of DC-DC Converter
Abstract
1. Introduction
- (1)
- The proposed method addresses the prominent limitation of the traditional method. Conventional resistor hardness design only acts as a current limit for the latch-up, and does not allow the devices to exit the latch-up. The method proposed in the paper enables the device to exit the latch-up by combining the resistor in concert with the DC-DC buck converter.
- (2)
- The method of taking the resistance is studied to improve the lack of mathematical analysis of the resistor in traditional latch-up hardness. The paper systematically analyzes the operating principle of the resistor in front of the DC-DC buck converter, establishes the corresponding parametric model, and proposes the method of taking the resistance. It has extremely valuable guidance for the proposed method in practical hardness assurance applications.
- (3)
- The proposed method has the advantages of continuous operation with power, maintaining the dynamic functions of the devices, and occupying a smaller circuit design area compared to power-off restart, constant current source, and cold backup in the circuit-level hardness methods. Furthermore, the proposed method is compatible with the current trend of low cost, high performance, and miniaturization in aerospace.
2. Method
2.1. Inadequacy of Conventional Method
- Condition 1: The resistor does not affect the normal operation of the device. The operating voltage of the device should not exceed the normal voltage tolerance range. Otherwise the device cannot operate successfully. The voltage tolerance range is typical −10% to 10% of the rated voltage.
- Condition 2: Reduce the latch-up current to below the SEL holding current when the device is experiencing the latch-up [34,35,36]. According to the latch-up criterion, when the latch-up current drops below the latch-up maintenance point, the device will exit the latch-up state because the latch-up current cannot be maintained.
2.2. The Proposed Method
2.2.1. Take the Device out of the Latch-Up
2.2.2. Method of Taking the Resistance
3. Pulsed Laser Experiments
3.1. Experimental Setup and Devices Selection
3.2. Experimental Method
- First, the devices are adjusted to a horizontal state by adjusting the 3D moving table to ensure that the laser energy is injected into the devices at the same depth.
- Then, with the circuit connected correctly, the power is turned on to test the functions of the devices. The voltages and currents of the devices in the initial state and the latch-up state in the two sets of experiments are detected and recorded respectively.
- Finally, by connecting different resistors, the electrical parameters of the devices in the initial state and in the latch-up state are recorded in both sets of experiments.
3.3. Experimental Results
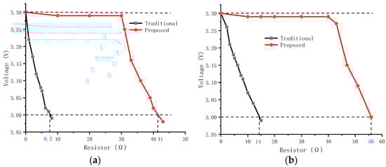
3.3.1. Exiting the Devices from the Latch-Up by the Proposed Method
3.3.2. Verification of the Resistance-Taking Method
4. Discussion of Resistor Power Consumption
5. Conclusions
Author Contributions
Funding
Data Availability Statement
Acknowledgments
Conflicts of Interest
References
- Guo, J.; Zhu, L.; Sun, Y.; Cao, H.; Huang, H.; Wang, T.; Qi, C.; Zhang, R.; Cao, X.; Xiao, L.; et al. Design of Area-Efficient and Highly Reliable RHBD 10T Memory Cell for Aerospace Applications. IEEE Trans. VLSI Syst. 2018, 26, 991–994. [Google Scholar] [CrossRef]
- Li, Z.; Berti, L.; Wouters, J.; Wang, J.; Leroux, P. Characterization of the Total Charge and Time Duration for Single-Event Transient Voltage Pulses in a 65-Nm CMOS Technology. IEEE Trans. Nucl. Sci. 2022, 69, 1593–1601. [Google Scholar] [CrossRef]
- Liu, J.; Zhou, Z.; Wang, D.; Zhou, S.-Q.; Sun, X.-M.; Ren, W.-P.; You, B.-H.; Gao, C.-S.; Xiao, L.; Yang, P.; et al. Prototype of Single-Event Effect Localization System with CMOS Pixel Sensor. Nucl. Sci. Tech. 2022, 33, 136. [Google Scholar] [CrossRef]
- Prasad, G.; Mandi, B.C.; Ali, M. Double-Node-Upset Aware SRAM Bit-Cell for Aerospace Applications. Microelectron. Reliab. 2022, 133, 114526. [Google Scholar] [CrossRef]
- Autran, J.L.; Moindjie, S.; Munteanu, D.; Dentan, M.; Moreau, P.; Pellissier, F.P.; Bucalossi, J.; Borgese, G.; Malherbe, V.; Thery, T.; et al. Real-Time Characterization of Neutron-Induced SEUs in Fusion Experiments at WEST Tokamak During D-D Plasma Operation. IEEE Trans. Nucl. Sci. 2022, 69, 501–511. [Google Scholar] [CrossRef]
- Roffe, S.; Akolkar, H.; George, A.D.; Linares-Barranco, B.; Benosman, R.B. Neutron-Induced, Single-Event Effects on Neuromorphic Event-Based Vision Sensor: A First Step and Tools to Space Applications. IEEE Access 2021, 9, 85748–85763. [Google Scholar] [CrossRef]
- Biereigel, S.; Kulis, S.; Leroux, P.; Moreira, P.; Kolpin, A.; Prinzie, J. Single-Event Effect Responses of Integrated Planar Inductors in 65-Nm CMOS. IEEE Trans. Nucl. Sci. 2021, 68, 2587–2597. [Google Scholar] [CrossRef]
- Biereigel, S.; Kulis, S.; Moreira, P.; Kölpin, A.; Leroux, P.; Prinzie, J. Radiation-Tolerant All-Digital PLL/CDR with Varactorless LC DCO in 65 Nm CMOS. Electronics 2021, 10, 2741. [Google Scholar] [CrossRef]
- Monda, D.; Ciarpi, G.; Saponara, S. Diagnosis of Faults Induced by Radiation and Circuit-Level Design Mitigation Techniques: Experience from VCO and High-Speed Driver CMOS ICs Case Studies. Electronics 2021, 10, 2144. [Google Scholar] [CrossRef]
- Wang, Y.; Liu, F.; Li, B.; Li, B.; Huang, Y.; Yang, C.; Zhang, J.; Wang, G.; Luo, J.; Han, Z.; et al. Dependence of Temperature and Back-Gate Bias on Single-Event Upset Induced by Heavy Ion in 0.2-Μm DSOI CMOS Technology. IEEE Trans. Nucl. Sci. 2021, 68, 1660–1667. [Google Scholar] [CrossRef]
- Ladbury, R.; Bay, M.; Zinchuk, J. Threats to Resiliency of Redundant Systems Due to Destructive SEEs. IEEE Trans. Nucl. Sci. 2021, 68, 970–979. [Google Scholar] [CrossRef]
- Gardenghi, R.A.; Houlne, R.C. Power Supply Considerations for Pulsed Solid-State Radar. In Proceedings of the Nineteenth IEEE Symposium on Power Modulators, San Diego, CA, USA, 26–28 June 1990; IEEE: San Diego, CA, USA, 1990; pp. 146–152. [Google Scholar]
- Kohinata, H.; Arai, M.; Fukumoto, S. An Experimental Study on Latch Up Failure of CMOS LSI. In Proceedings of the 2008 Second International Conference on Secure System Integration and Reliability Improvement, Yokohama, Japan, 14–17 July 2008; IEEE: Yokohama, Japan, 2008; pp. 215–216. [Google Scholar]
- Yu, Y.; Biess, J.J. Some Design Aspects Concerning Input Filters for DC-DC Converters. In Proceedings of the 1971 IEEE Power Electronics Specialists Conference, Pasadena, CA, USA, 19–20 April 1971; IEEE: Pasadena, CA, USA, 1971; pp. 66–76. [Google Scholar]
- Liang, S.; Hou, L.Z.; Gu, T.; Salama, C.A.T. Latch-up Modeling of BiCMOS Merged Bipolar-MOS Structures. Solid State Electron. 1992, 35, 1461–1469. [Google Scholar] [CrossRef]
- Duzellier, S. Radiation Effects on Electronic Devices in Space. Aerosp. Sci. Technol. 2005, 9, 93–99. [Google Scholar] [CrossRef]
- Cecchetto, M.; García Alía, R.; Wrobel, F. Impact of Energy Dependence on Ground Level and Avionic SEE Rate Prediction When Applying Standard Test Procedures. Aerospace 2019, 6, 119. [Google Scholar] [CrossRef]
- Hiblot, G.; Serbulova, K.; Hellings, G.; Chen, S.-H. TCAD Study of Latch-up Sensitivity to Wafer Thinning below 500 Nm. In Proceedings of the 2021 International Semiconductor Conference (CAS), Sinaia, Romania, 6–8 October 2021; IEEE: Sinaia, Romania, 2021; pp. 121–124. [Google Scholar]
- Osipenko, P.N.; Antonov, A.A.; Klishin, A.V.; Vasilegin, B.V.; Gorbunov, M.S.; Dolotov, P.S.; Zebrev, G.I.; Anashin, V.S.; Emeliyanov, V.V.; Ozerov, A.I.; et al. Fault-Tolerant SOI Microprocessor for Space Applications. IEEE Trans. Nucl. Sci. 2013, 60, 2762–2767. [Google Scholar] [CrossRef]
- Dodds, N.A.; Hooten, N.C.; Reed, R.A.; Schrimpf, R.D.; Warner, J.H.; Roche, N.J.; McMorrow, D.; Wen, S.; Wong, R.; Salzman, J.F.; et al. Effectiveness of SEL Hardening Strategies and the Latchup Domino Effect. IEEE Trans. Nucl. Sci. 2012, 59, 2642–2650. [Google Scholar] [CrossRef]
- Jiang, Z.-H.; Ker, M.-D. Schottky-Embedded Isolation Ring to Improve Latch-Up Immunity Between HV and LV Circuits in a 0.18 Μm BCD Technology. IEEE J. Electron Devices Soc. 2022, 10, 516–524. [Google Scholar] [CrossRef]
- Tsai, H.-W.; Ker, M.-D. Active Guard Ring to Improve Latch-Up Immunity. IEEE Trans. Electron Devices 2014, 61, 4145–4152. [Google Scholar] [CrossRef]
- Chen, C.-C.; Ker, M.-D. Optimization Design on Active Guard Ring to Improve Latch-Up Immunity of CMOS Integrated Circuits. IEEE Trans. Electron Devices 2019, 66, 1648–1655. [Google Scholar] [CrossRef]
- Jiang, Z.-H.; Ker, M.-D. Latch-Up Prevention with Autodetector Circuit to Stop Latch-Up Occurrence in CMOS-Integrated Circuits. IEEE Trans. Electromagn. Compat. 2022, 64, 1785–1792. [Google Scholar] [CrossRef]
- Tsai, H.-W.; Ker, M.-D. Latch-Up Protection Design with Corresponding Complementary Current to Suppress the Effect of External Current Triggers. IEEE Trans. Device Mater. Relib. 2015, 15, 242–249. [Google Scholar] [CrossRef]
- Becker, H.N.; Miyahira, T.F.; Johnston, A.H. Latent Damage in CMOS Devices from Single-Event Latchup. IEEE Trans. Nucl. Sci. 2002, 49, 3009–3015. [Google Scholar] [CrossRef]
- Jeong, S.-H.; Lee, N.-H.; Cho, S.-I. A Design of High-speed Power-off Circuit and Analysis. Trans. Korean Inst. Electr. Eng. 2014, 63, 490–494. [Google Scholar] [CrossRef]
- Andjelković, M.S.; Petrović, V.; Stamenković, Z.; Ristić, G.S.; Jovanović, G.S. Circuit-Level Simulation of the Single Event Transients in an On-Chip Single Event Latchup Protection Switch. J. Electron. Test. 2015, 31, 275–289. [Google Scholar] [CrossRef]
- Rui, C.; Ying, F.; Yongtao, Y.; Shipeng, S.G.; Guoqiang, F.; Xiang, Z.; Yingqi, M.; Jianwei, H. Mitigation Technique and Experimental Verification of Single Event Latch-up Effect in Circuit Level for CMOS Device. At. Energy Sci. Technol. 2014, 48, 721–726. [Google Scholar]
- Niaraki Asli, R.; Shirinzadeh, S. High Efficiency Time Redundant Hardened Latch for Reliable Circuit Design. J. Electron. Test. 2013, 29, 537–544. [Google Scholar] [CrossRef]
- Ball, D.R.; Sheets, C.B.; Xu, L.; Cao, J.; Wen, S.-J.; Fung, R.; Cazzaniga, C.; Kauppila, J.S.; Massengill, L.W.; Bhuva, B.L. Single-Event Latchup in a 7-Nm Bulk FinFET Technology. IEEE Trans. Nucl. Sci. 2021, 68, 830–834. [Google Scholar] [CrossRef]
- Li, D.; Liu, T.; Wu, Z.; Cai, C.; Zhao, P.; He, Z.; Liu, J. An Investigation of FinFET Single-Event Latch-up Characteristic and Mitigation Method. Microelectron. Reliab. 2020, 114, 113901. [Google Scholar] [CrossRef]
- Yongtao, Y.; Guoqiang, F.; Rui, C.; Shipeng, S.G.; Jianwei, H. Experimental Study on Single Event Latchup of SRAM K6R4016V1D and Its Protection. At. Energy Sci. Technol. 2012, 46, 587–591. [Google Scholar]
- Matino, H. Analysis of the holding current in CMOS latch-up. IBM J. Res. Dev. 1985, 29, 588–592. [Google Scholar] [CrossRef]
- Mergens, M.P.J.; Russ, C.C.; Verhaege, K.G.; Armer, J.; Jozwiak, P.C.; Mohn, R. High Holding Current SCRs (HHI-SCR) for ESD Protection and Latch-up Immune IC Operation. Microelectron. Reliab. 2003, 43, 993–1000. [Google Scholar] [CrossRef]
- Chen, M.-J.; Lee, H.-S.; Chen, J.-H.; Hou, C.-S.; Lin, C.-S.; Jou, Y.-N. A Physical Model for the Correlation between Holding Voltage and Holding Current in Epitaxial CMOS Latch-Up. IEEE Electron Device Lett. 1998, 19, 276–278. [Google Scholar] [CrossRef]
- Burnell, A.J.; Chugg, A.M.; Harboe-Sørensen, R. Laser SEL Sensitivity Mapping of SRAM Cells. IEEE Trans. Nucl. Sci. 2010, 57, 1973–1977. [Google Scholar] [CrossRef]
- Faraud, E.; Pouget, V.; Shao, K.; Larue, C.; Darracq, F.; Lewis, D.; Samaras, A.; Bezerra, F.; Lorfevre, E.; Ecoffet, R. Investigation on the SEL Sensitive Depth of an SRAM Using Linear and Two-Photon Absorption Laser Testing. IEEE Trans. Nucl. Sci. 2011, 58, 2637–2643. [Google Scholar] [CrossRef]
- Jones, R.; Chugg, A.M.; Jones, C.M.S.; Duncan, P.H.; Dyer, C.S.; Sanderson, C. Comparison between SRAM SEE Cross-Sections from Ion Beam Testing with Those Obtained Using a New Picosecond Pulsed Laser Facility. IEEE Trans. Nucl. Sci. 2000, 47, 539–544. [Google Scholar] [CrossRef]
- Feng, G.; Shangguan, S.; Ma, Y.; Han, J. SEE Characteristics of Small Feature Size Devices by Using Laser Backside Testing. J. Semicond. 2012, 33, 014008. [Google Scholar] [CrossRef]
- Chen, R.; Han, J.-W.; Zheng, H.-S.; Yu, Y.-T.; Shangguang, S.-P.; Feng, G.-Q.; Ma, Y.-Q. Comparative Research on “High Currents” Induced by Single Event Latch-up and Transient-Induced Latch-Up. Chin. Phys. B 2015, 24, 046103. [Google Scholar] [CrossRef]
- Yingqi, M.; Jianwei, H.; ShiPeng, S.; Rui, C.; Xiang, Z.; Yue, L.; Yueying, Z. SEE Characteristics of COTS Devices by 1064 nm Pulsed Laser Backside Testing. In Proceedings of the 2018 IEEE Nuclear & Space Radiation Effects Conference (NSREC 2018), Waikoloa Village, HI, USA, 16–20 July 2018; IEEE: Waikoloa Village, HI, USA, 2018; pp. 1–4. [Google Scholar]









| Machine Type | Wavelength | Wideband | Frequency | Energy |
|---|---|---|---|---|
| Nd:YAG | 1064 nm | 25 ps | 1~1k Hz | 1.5 nJ |
| Device Number | Model | Operating Voltage | Operating Current |
|---|---|---|---|
| Device 1 | A3PE1500 | 3.3 V | 72 mA |
| Device 2 | AD7472 | 3.3 V | 22 mA |
| Device Number | SEL Current | Holding Voltage | Holding Current |
| Device 1 | 356.6 mA | 2.1 V | 88 mA |
| Device 2 | 97.3 mA | 1.7 V | 31 mA |
| Devices | Type | Rp1 (Ω) | Rp2 (Ω) | Rp1 ∩ Rp2 (Ω) |
|---|---|---|---|---|
| Device 1 | Theory Value | 0~48 | 37 | 37~48 |
| Test Value | 0~41 | 34 | 34~41 | |
| Device 2 | Theory Value | 0~62 | 53 | 53~62 |
| Test Value | 0~56 | 51 | 51~56 |
Disclaimer/Publisher’s Note: The statements, opinions and data contained in all publications are solely those of the individual author(s) and contributor(s) and not of MDPI and/or the editor(s). MDPI and/or the editor(s) disclaim responsibility for any injury to people or property resulting from any ideas, methods, instructions or products referred to in the content. |
© 2023 by the authors. Licensee MDPI, Basel, Switzerland. This article is an open access article distributed under the terms and conditions of the Creative Commons Attribution (CC BY) license (https://creativecommons.org/licenses/by/4.0/).
Share and Cite
Xin, J.; Zhu, X.; Ma, Y.; Han, J. Study of Single Event Latch-Up Hardness for CMOS Devices with a Resistor in Front of DC-DC Converter. Electronics 2023, 12, 550. https://doi.org/10.3390/electronics12030550
Xin J, Zhu X, Ma Y, Han J. Study of Single Event Latch-Up Hardness for CMOS Devices with a Resistor in Front of DC-DC Converter. Electronics. 2023; 12(3):550. https://doi.org/10.3390/electronics12030550
Chicago/Turabian StyleXin, Jindou, Xiang Zhu, Yingqi Ma, and Jianwei Han. 2023. "Study of Single Event Latch-Up Hardness for CMOS Devices with a Resistor in Front of DC-DC Converter" Electronics 12, no. 3: 550. https://doi.org/10.3390/electronics12030550
APA StyleXin, J., Zhu, X., Ma, Y., & Han, J. (2023). Study of Single Event Latch-Up Hardness for CMOS Devices with a Resistor in Front of DC-DC Converter. Electronics, 12(3), 550. https://doi.org/10.3390/electronics12030550

