Abstract
With the development of various location-based social networks (LSBNs), personalized point-of-interest (POI) recommendations have become a recent research hotspot. Current recommendation methods tend to mine user preferences from their historical check-in records but overlook interest deviations caused by real-time geographic environments and immediate interests present in the records, failing to meet users’ real-time and accurate needs. Therefore, this paper proposes a composite preference-based recommendation model (CPRM) for personalized POI recommendation. This method first extracts multi-factor contextual features, constructs a dual-layer attention network (DLAN) to capture long and short-term preferences, combines real-time geographic scenarios to uncover user immediate preferences, and then weights and fuses these three types of preferences to generate user composite preferences. Finally, a prediction function is employed to obtain the Top-N recommendation list. The experiments on two classic datasets, Foursquare and Gowalla, affirm the effectiveness of the model presented in this paper and offer a novel approach for providing personalized POI recommendations to users.
    1. Introduction
In recent years, spurred by the rapid advancement of the Internet and mobile communications, personalized point-of-interest (POI) recommendation technology within location-based social networks (LBSNs) has undergone remarkable development [,,]. POI suggestion, one of the primary services offered by LBSNs, enables users to post check-ins on LBSNs like Foursquare, Gowalla, etc. and to share information like their own real-time geographic location and opinion remarks. The goal is to enhance user experience and merchant service quality while assisting users in finding relevant businesses and attractions. A current research topic in the recommendation field is how to fully utilize the useful information in a user’s past check-in data, assess the user’s own behavior and preferences, and then select POIs that may be of interest to the user.
Recommendation methods can be categorized into eight categories such as collaborative filtering, content-based filtering, hybrid filtering, and context-aware recommendation. Context-aware POI recommendation methods predict user-matching POIs based on historical behavior and current scenarios. Unlike traditional methods, these provide highly personalized, real-time POI recommendations, enhancing user satisfaction and experience. In the nascent stages of research, collaborative filtering (CF) methods [,] were predominantly employed. However, these methods grappled with several critical issues, including data sparsity, limited model generalization capabilities, and other challenges. To identify user preferences more accurately, the literature [,,] presented techniques including matrix factorization (MF), logistic regression (LR), and factorization machines (FM) capable of feature combination. Models like recurrent neural networks (RNN) [,], long short-term memory (LSTM) [,], and gated recurrent unit (GRU) [,] have tapped into their expressive power and adaptable structures thanks to the development of deep learning techniques to enhance the caliber of personalized recommendation services. The aforementioned techniques all work well at mining user preferences, but they all have trouble capturing the user’s attention in a precise manner, making it difficult to gauge the user’s level of interest in various POIs during the suggestion process. The literature [,,,,] presents an attention method to dynamically modify the weights of various pieces of information in order to better mine user preferences and enhance the precision of recommendations [] to overcome this issue. Furthermore, researchers have explored the integration of self-attention mechanisms into POI recommendation models [,,,]. Nevertheless, contemporary mainstream next POI recommendation methodologies still exhibit certain constraints: they disregard users’ interest transitions influenced by their geographic surroundings. The majority of research in this domain predominantly relies on users’ historical check-in data to assess their enduring and fleeting personal preferences. This approach neglects the immediate preferences that arise from the influence of the geographic environment prior to check-in events, thereby failing to accurately capture the real-time evolution of user preferences and to fulfill the real-time precision requirements of users. Immediate preferences become evident when users find themselves within areas of particular interest, such as densely populated commercial zones, culinary districts, or tourist attractions. In such instances, users may opt for choices that diverge from their established long-term preference patterns.
To address the aforementioned challenges, this research uses a composite preference-based recommendation model (CPRM) that integrates users’ comprehensive preferences. Firstly, we extract multifaceted contextual information from users’ historical check-in data and employ a dual-layer attention network (DLAN) to uncover both their short-term and long-term preferences. Subsequently, we utilize long-term preferences to filter out check-in points from users’ extended sequences that exhibit lower relevance and similarity to the surrounding geographical context. Simultaneously, we actively discern the user’s current location to discern their instantaneous preferences. Finally, these three categories of preferences are amalgamated into a composite preference model through weighted fusion. The user composite preference is then used to calculate scores with the target points of interest, culminating in the generation of the POI recommendation sequence. In contrast to conventional POI recommendation techniques, the CPRM model introduces a significant enhancement by incorporating the real-time geographical context and composite preferences into the process of POI selection during a user’s mobile travel journey. This innovative approach heralds the advent of a novel recommendation model and methodology, specifically tailored to offer user-initiated, personalized POI recommendation services.
The major contributions of this paper are as follows:
- This research offers a contextual information extraction approach for user historical check-in data since user check-in data comprise a range of information, such as temporal, geographical, and spatial–temporal intervals. Multiple scales are used to extract multi-factor contextual data, which are then used as data support for mining user composite preferences.
- This research offers a DLAN network for extracting user preferences. The issue that users will be impacted by the geographic scenario and have drifting interests is resolved by extracting long- and short-term preferences, using long-term preferences to filter the historical check-in data, and combining them with the current geographic environment to mine immediate preferences.
- This research proposes CPRM for personalizing next POI recommendations. It combines three different forms of preferences to represent the user composite preferences and then calculates scores in relation to the target POIs to provide a Top-N suggestion sequence. It solves the problem that the existing methods cannot fully meet the real-time and accuracy rate of the user’s needs.
The remainder of the essay is structured as follows. The research reviews the work related to POI recommendations separately in Section 2. Section 3 presents the proposed method and describes the process of using user composite preferences for POI recommendation. The dataset used, the evaluation measures, and the experiment design are all described in Section 4. Finally, Section 5 presents the conclusions.
2. Related Works
In this section, research work on traditional POI recommendation, deep learning-based POI recommendation, and context-aware POI recommendation is presented in order (Table 1).
 
       
    
    Table 1.
    Summary of literature related to POI recommendations.
  
2.1. Traditional POI Recommendation Methods
In the traditional domain of POI recommendation methods, several approaches have garnered prominence, including collaborative filtering, matrix decomposition, logistic regression, factorization techniques, and mixed models. These methodologies play a pivotal role in catering to the unique and personalized POI requirements of users. Collaborative filtering (CF) stands as the predominant and widely adopted method in this realm. It leverages the user–POI check-in matrix to anticipate the POIs that are most likely to capture user interest, achieved through an analysis of user or item similarity. However, CF encounters a significant challenge in practical applications, characterized by data sparsity. To address this challenge, certain scholars have introduced the matrix factorization (MF) technique [], which places emphasis on the implicit attributes associated with both users and POIs. MF predicts a user’s level of interest in an unvisited POI by disassembling the interaction matrix into the product of two lower-dimensional matrices. Additionally, other researchers have advocated for the application of Logistic regression (LR) methodologies [] to acquire insights into the weightage of features pertaining to users and POIs. These features are linearly amalgamated and subsequently mapped into probabilities, which signify the likelihood of a user’s interest in a particular POI. It is worth noting that both MF and LR offer interpretability and flexibility. However, they grapple with challenges related to cold-start scenarios. Additionally, they encounter difficulties when attempting to capture intricate nonlinear relationships and higher-order feature interactions. In response to these limitations, some scholars have put forth factorization machine (FM) techniques tailored for high-dimensional feature spaces [,]. Moreover, there have been endeavors to develop hybrid models that harness the strengths of multiple recommendation techniques [,]. Nonetheless, it is essential to acknowledge that these approaches often necessitate substantial volumes of training data to estimate model parameters effectively. An inadequate quantity of data, conversely, can result in suboptimal performance.
2.2. Deep Learning-Based POI Recommendation Methods
With the rapid advancements in big data and machine learning, deep learning-based models and recommendation algorithms have seen widespread adoption in the realm of POI recommendation. Deep learning models exhibit the remarkable capability to autonomously discern high-level features within datasets, thus circumventing challenges related to high-dimensional nonlinear fitting. In this context, RNN has emerged as a formidable asset for handling contextual information within sequences, leading to the development of variant models (e.g., LSTM and GRU). For instance, within the literature [,], RNN-based methodologies are introduced for the next POI recommendation task. Furthering this, ML-POIRec [] capitalizes on LSTM networks to capture users’ enduring static preferences, derived from historical check-in records. This approach effectively mitigates issues such as gradient vanishing. It is noteworthy that the gating mechanism of GRU, a LSTM variant, is more streamlined in comparison. For example, URPI-GRU [] enhances the GRU model by incorporating reset gates, update gates, and related components to harness contextual information effectively. However, it is imperative to acknowledge that the aforementioned techniques, while adept at capturing long-term dependencies gleaned from user sign-in records, treat all input information uniformly and do not account for variations in user interest across different pieces of information. While the methods mentioned above excel in capturing long-term dependencies from user check-in records, they exhibit a uniform treatment of all input data and do not consider that users may have varying degrees of interest in different types of information.
To enhance the precision of user preference mining and gain deeper insights into user needs and behavioral patterns, certain researchers have introduced an attention mechanism capable of dynamically adjusting weights, and the calculation process is shown in Figure 1. For instance, AttnMove [] addresses the issue of data sparsity by leveraging the ATTENTION mechanism to capture both intra- and inter-trajectory relationships within historical trajectories. Meanwhile, LSEST [] employs TRANSFORMER-based preference learning, encompassing both short-term and long-term considerations. This approach adeptly captures temporal and spatial dependencies essential for next POI recommendation. DRAN [] and DisenPOI [] combines disentangled representations with an attention mechanism to learn the representations of users and locations of interest separately, to better understand the interplay between users and points of interest, and to access complex user preferences. MAHAN [] presents a memory-enhanced hierarchical attentional network designed to capture users’ evolving preferences over time. These studies collectively demonstrate the superiority of the attention mechanism when compared to that of RNN and its variants in recommendation tasks. Moreover, the integration of multilayer attention mechanisms holds significant potential for enhancing recommendation performance.
 
      
    
    Figure 1.
      Calculation process of attention mechanism. “ ” denotes weighted fusion.
” denotes weighted fusion.
  
 ” denotes weighted fusion.
” denotes weighted fusion.
  2.3. Context-Aware POI Recommendation Methods
Contextual information plays a pivotal role in augmenting the performance and overall user experience within recommender systems []. This contextual information encompasses diverse factors, including spatial attributes, temporal considerations, social influences, and POI categories. According to the first law of geography [], it is known that the geospatial factor is an important factor to enhance the effectiveness of POI recommendation. The literature [] uses a kernel density estimation model to obtain the user’s geographic preference probability of the POI, and then weights to calculate the user’s behavioral preference probability, thereby generating the top-k recommendation list. As user travel patterns exhibit temporal fluctuations, numerous studies have introduced temporal elements into their POI recommendation models. ST-RNN [], for instance, factors in both time and distance intervals between consecutive interactions. It seamlessly integrates temporal and spatial contextual information into the RNN framework, subsequently leveraging transfer matrix fusion to predict locations effectively. Building upon the advancements of ST-RNN, MST-RNN [] utilizes the duration information and semantic labeling information of the POIs in each layer of the neural network. STLSTM [] adeptly combines spatial–temporal context information with long short-term memory (LSTM) models at each step, refining the accuracy of sequence predictions. MGRU [] utilizes context information like geographic distances and time intervals, seamlessly integrating them with GRU to bolster sequence recommendation. DCARS [] employs non-negative matrix decomposition and the attention mechanism to excavate contextual information, followed by the utilization of Bi-LSTM, GRU, and attention techniques to discern user long- and short-term preferences. In addition, information such as social connections, user reviews, and POI categories are often incorporated to enhance recommendation [,,]. For instance, ContextSWRank [] predicts user preferences in given contexts (e.g., time of day and weather) based on geographic proximity and popularity contextual information, which leads to recommendation results.
In recent years, some studies have combined attention mechanisms with contextual information for modeling and achieved good results. For instance, LSPL [] employs an attention mechanism within a long-term preference extraction module to learn contextual features from user check-in sequences. LSMA [] analyzes spatial–temporal and POI contextual information in user check-ins using a multi-layer attention mechanism. However, these methods primarily focus on long- and short-term preferences, overlooking the significance of real-time preferences. RTPM [] is a real-time preference mining model that characterizes users’ real-time temporal preferences influenced by the public. It achieves this by incorporating time transition vectors, acknowledging that users may undergo abrupt preference changes within specific time intervals. However, this method only considers the constraining effect of time factors and does not consider the influence of geographic factors on users’ real-time preferences.
Based on the above research, this paper comprehensively incorporates the geographic environment and user instantaneous preferences alongside spatial–temporal and POI contextual information derived from the user’s historical check-in data. It introduces a two-layer attention mechanism to extract both the user’s long-term and short-term preferences while integrating an extraction module for immediate preferences influenced by the geographic environment. These three categories of preferences are then fused to create a composite preference, enabling precise recommendations for the next POI.
3. Preliminaries
This section initially provides a summary of the pertinent notations employed by the model along with their corresponding meanings (Table 2). Subsequently, it offers definitions of certain terms and expounds upon the recommendation task.
 
       
    
    Table 2.
    Summary of primary notations.
  
Assuming that  is the set of users and  is the set of POIs,  and  denote the total number of users and POIs, respectively.
Definition 1. 
(POI). A POI is a geographic location comprising geographic longitude and latitude, and an identifier, denoted as .
Definition 2. 
(Check-in Activity and Historical Check-in Tracks). A check-in behavior is a user  visiting POI  at a certain time, , denoted as . The historical check-in trajectory is the set of POIs visited by user  over a period of time, denoted as , and  is the number of check-in activities.
Definition 3. 
(Check-in sequence). After dividing the historical check-in trajectory using a fixed length, we obtain the check-in sequence
         for user
        , where
         is the length of the sequence.
Definition 4. 
(Temporal and spatial sequences). Generate the corresponding temporal sequence  and spatial sequence  based on the user sequence.
Definition 5. 
(Geographic scene information). The scene type of the spatial location where user  is located is determined by the type of the POI with the largest proportion in the region.
Problem 1. 
(POI recommendation). Predict the next most likely POI to be visited by the target user in a real-time scenario, based on a given sequence of historical user check-ins.
4. Proposed Model
In this study, the CPRM model primarily consists of three components:
- Multi-factor feature extraction and an embedding module, which includes extracting multi-factor contextual feature information from a user’s historical check-in sequence and completing the embedding representation.
- A user composite preference modeling module, where the user’s own interest preferences are first aggregated through the two-layer attention network, and the interest preferences for the target POIs are then captured to obtain the user’ long- and short-term preference representations. Next, the user’s own preference expressions influenced by geographic scenarios are aggregated to combine with the user’s real-time spatial location to obtain the user’s immediate preference representations.
- A recommended prediction module, where a prediction function is utilized to generate POI suggestions following the weighted fusion of immediate, short-term, and long-term preferences (the model structure is depicted in Figure 2).
 
      
    
    Figure 2.
      CPRM model network framework.
  
4.1. Multi-Factor Feature Extraction and Embedding Module
Prior to mining user preferences, contextual feature information about temporal, spatial, and spatiotemporal intervals, geographic scenes, and check-in point interactions is extracted from the user’s historical check-in records, forming long-term, short-term, and instantaneous sequences that are then transformed into corresponding embedded vector representations via self-encoding techniques to aid the model in better capturing the relationship between the user and the POI (as shown in Figure 3).
 
      
    
    Figure 3.
      Multi-factor contextual feature extraction and embedding.
  
4.1.1. Time Information
Time is a crucial factor in analyzing users’ historical check-in behavior, leading to variations in the points of interest they visit during different time periods. The temporal feature sequence  is created by extracting the temporal features from the historical check-in sequence of user . It is segmented into multi-scales by month, week, natural day, and hour, and discretized into the relevant numerical data. A week is divided into  and divided into weekdays and days off, and a single natural day is divided with two hours as the same time slot into . Among them, the natural days, , in each month are extracted after dividing a year into . The multiscale temporal features of the user’s check-ins at the  check are as follows:
      
        
      
      
      
      
    
The user’s selection for how much time should be spent getting to the site of interest can be reflected in the time interval of each check-in location in the time series. The time threshold, , is configured to be the average value of the time intervals between all check-in points. It is said to be a long-time preference when the time interval is greater than , and a short-time preference when the opposite is true. The ratio of the time interval to  yields the reduced time preference representation, . The user-customized time unequal interval matrix, , is then obtained.
          
      
        
      
      
      
      
    
4.1.2. Spatial Information
Users tend to select tourist attractions that are close to where the current check-in point is located; therefore, space is a significant consideration when assessing their historical interaction behavior. To describe the user’s historical trajectory changes, a sequence of spatial features called  is formed using the position coordinates that were retrieved from the historical check-in sequence. Haversine’s formula is used to determine the spatial distance between two check-in locations, and  stands for the spatial feature of the j-th check-in point in the sequence, which consists of latitude and longitude.
The average value of the spatial distance between all check-in locations is established as the spatial threshold, , to reflect the user’s preference selection for the distance of sites of interest. Long-distance preference is considered to exist when the spatial interval is greater than , and short-distance preference is considered to exist when the opposite is true. The spatial interval to  ratio is used to derive the standardized distance preference representation, , and this ratio then produces the user-specific spatial unequal interval matrix, .
          
      
        
      
      
      
      
    
4.1.3. Geographic Scene Information
Throughout a user’s travel journey, their preference choices can be influenced by the geographic environment, leading to dynamic shifts in interests distinct from their prior patterns. In this section, we leverage interest point data in the vicinity of the user’s check-in location. We employ the kernel density estimation method to categorize these interest points into various geographic scenario categories. Subsequently, we ascertain the current geographic scenario the user is situated in using the type of ratio denoted as . Because user preferences are primarily influenced by a constrained set of perceptions, we employ a single category to represent the prevailing geographic scene. Specifically, geographic scene is determined by a specific POI type when that particular type attains the highest  value, as calculated using the following formula:
      
        
      
      
      
      
    
          where  is the interest point category,  is the kernel density value of the -th category of POIs within the scene,  represents the sum of kernel density values across all POI types in the scene, and  is calculated as follows:
      
        
      
      
      
      
    
          where  contains independently and identically distributed sample points,  is the total number of samples,  is the bandwidth, and  is the kernel function.
4.1.4. Sequence Information Embedding Representation
The user’s behavioral patterns will be influenced by multi-factor contextual information such as time, space, temporal and spatial intervals, geographic scenes, etc. By linking this information with POI interaction information, models can more accurately capture the relationship between the POIs and user in various contextual information, which will enhance its performance and ability to be customized. The equation reads as follows:
      
        
      
      
      
      
    
          where  denotes the feature representation of the check-in points in the sequence.
The corresponding context features are chosen to create the long-term sequence, , short-term sequence, , and immediate sequence, , where only the check-in points within the immediate sequence are influenced by the geographic scene. Thus,  does not encompass geographic scene information. Subsequently, we obtain the check-in sequence embedding matrix, denoted as , and the Gs matrix, denoted as , through embedding. Specifically, given the persisting issue of sparsity in the extracted feature data, this paper employs a self-encoding method. Its purpose is to transform high-dimensional sparse feature information into a low-dimensional dense space, thereby enhancing both recommendation efficiency and accuracy. Initially, discrete features in the interaction information of check-in points are encoded using one-hot coding. Subsequently, the initial parameter matrix undergoes updates and iterations through the loss function, with the extracted feature sequences being introduced into the trained model. The resulting hidden layer within the model serves as the output, representing the embedded features.
4.2. User Composite Preference Modeling Module
Long-term, short-term, and immediate preferences are modeled individually to provide composite user preferences. Because the attention mechanism has the benefits of fewer parameters and highly parallelized computational capacity, it can learn the weights according to the user’s interests, boosting the model’s generalization ability and prediction accuracy. The CPRM model creates a dual-layer attention network (DLAN) to mine user preferences. The DLAN has two components: the self-attention mechanism and the target attention mechanism (Figure 4). To determine the importance of users’ interests and to obtain self-interest aggregation, different weights are assigned to users’ historical check-in behaviors according to the embedded representation matrix of sequences. Next, user long-term and short-term preferences are first mined by embedding the target POIs, and then combined with the geographic scenario information to obtain the users’ instantaneous preferences.
 
      
    
    Figure 4.
      Double-layer attention network.
  
4.2.1. Long- and Short-Term Preference
Long-term preferences are the user’s consistent preferences and behavioral routines over an extended period, with a specific regular periodicity. Short-term preferences, which are often gathered through the user’s most recent engagement with the POI, reflect the user’s interests and behavioral patterns over a brief period. The embedding matrix, , of the long and short-term sequences is used as the input of this module, and the long-term preference representation, , and short-term preference representation, , are obtained through steps (1) and (2).
Step (1): The extraction of interrelationships among check-in items is conducted through the self-attention mechanism embedded within the DLAN network. Concurrently, weights are assigned to each visit, leading to the generation of weighted feature vectors that accentuate the user’s own expression of preferences. The three vectors of queries, keys and values  of the sequence representation are first obtained by multiplying the coefficients  for each input vector separately using Equation (7) []. Then, the user interaction behavior vector representation is obtained via .
          
      
        
      
      
      
      
    
          where , , and  represent the weight parameters of Query, Key, and Value, respectively, , , and  are the corresponding weight matrices,  is a scaling factor to counteract the effect of minimal gradient, and  is a characterization of user interaction behavior after aggregating adaptive weights.
Multiple self-attention and feedforward networks are superimposed to learn more complicated check-in point transitions to obtain a preference representation, , that aggregates the user’s own interests. This preference representation, , is formulated as follows []:
      
        
      
      
      
      
    
      
        
      
      
      
      
    
          where  is the learnable weight matrix,  is the bias term, and ReLU is the activation function, ;  takes an integer greater than 1, denoting the current number of superimposed layers, and the computation of  in the first layer is realized via multielement context embedding, . This study provides residual linking, dropout regularization, and layer normalization [,] approaches to address issues such overfitting, a vanishing gradient, and lengthy training times.
          
      
        
      
      
      
      
    
          where  denotes the self-attention layer and the feedforward network in each sublayer.  stands for layer normalization, which normalizes the input features and is useful for speeding and stabilizing network training.
          
      
        
      
      
      
      
    
          where  denotes the product at the element level.  and  denote the scale factor and deviation term.  and  represent the mean and variance of , while  prevents invalid computation when the variance is zero.
Step (2): Determine the influence weights of the target POI on the sequence of the user’s historical behaviors through the target attention to express the degree of the user’s historical behaviors’ contribution to the various target POIs and to highlight the preferences of the user’s historical behaviors that are connected to the multi-factor information of the target points. The target POI-embedding representations  and , which have aggregated the user’s own preference representation, are accepted as inputs, and the inner product function, , models the second-order interaction between the two after normalizing the output to produce the target attention weight, which is weighted into  to obtain the user preference representation . The expression is as follows:
      
        
      
      
      
      
    
      
        
      
      
      
      
    
          where  is the vector that converts the output into weights,  is the trained weight matrix, and  is the bias vector.
4.2.2. Immediate Preference
During the trip process, users will be impacted by the real-time geographic scene to form instantaneous preferences and take on haphazard behaviors related to the immediate area. When a user is in a commercial location, for instance, they are more likely to select commercial consumption POIs, and when they are in a residential area, they are more likely to select leisure POIs. Figure 5 illustrates the immediate preference extraction process.
 
      
    
    Figure 5.
      User immediate preference extraction.
  
Interference terms that are unrelated to long-term preferences may be present at many locations of attraction that consumers often visit over time. The long-term check-in sequence is modified to include the user long-term preference to calculate each point’s interest score. The location check-in points with lower interest scores and check-in types that are like the surrounding geography are then filtered out to create the user’s instant sequence, . The influence of the spatial–temporal interval factor is not considered in mining the user immediate preference because the screening process of check-in points is disordered, resulting in the behaviors in the immediate sequence being unable to be closely connected according to the spatial–temporal information. The influence of short-term preference on immediate preference in the sequences is also not considered when modeling user immediate preferences because the two preferences share some timeliness similarities and are difficult to extract accurately from the entirety of historical behavioral sequences.
The embedded representation of the geography of each check-in point in the series is superimposed on the embedded representation of the immediate sequence to take geography into account, and the expression is as follows:
      
        
      
      
      
      
    
To provide an instantaneous preference representation, , that aggregates the user’s own interests, X is calculated in accordance with the procedure in Step (1) of Section 4.2.1. The user’s real-time localization is next acquired, the target input is chosen to be the embedded representation, , of the real-time geographic scene Gs and its corresponding multi-factor information, in which the user is currently located, and finally the user immediate preferences are extracted using Step (2) with the following expression:
      
        
      
      
      
      
    
4.3. Recommended Prediction Module
To achieve more accurate predictions of the points of interest that users are interested in, different initialization weights are assigned to each of the three preferences. These weights are calculated based on the ratio of the number of long-term, short-term, and immediate sequences to the total number of sequences. The sum of these weights equals 1, reflecting the relative importance of different preferences in the recommendation task. The weighted three user preferences are then added up using (16) and fused to produce the user composite preferences, which are more thorough and accurate, as follows:
      
        
      
      
      
      
    
        where  denotes the user composite preference; ,  and  denote the weights of user long-term, short-term, and immediate preferences, respectively, which are continuously updated during the model training process. Subsequently, we augment the embedding representation of the POI candidate set to compute the similarity between each candidate POI and the user’s composite preference. This similarity score is then transformed into a probability value through a normalization function, ultimately guiding the recommendation of POIs to the user. The specific calculation formula is detailed as follows:
      
        
      
      
      
      
    
        where  denotes the set of candidate items in the recommended points of interest.  denotes the probability score of the user’s preference for the -th candidate POI, where a higher probability indicates that the user is more interested in the POI and vice versa.
As the sequence recommendation task operates as a hidden feedback recommendation model, locations not visited by the user are randomly assigned as negative samples. To train the model, we employ the BPR function [] as the loss function, defining the objective function as a regularized log-likelihood function with the following formula:
      
        
      
      
      
      
    
        where  denotes the positive samples in the user’s check-in history,  denotes the negative samples in the user’s uncheck-in history,  is the sigmoid activation function,  is the regularization coefficient, and  denotes the learnable parameters.
5. Experimental Evaluation
The model put out in this paper is subjected to trials in this section to show how effective it is. The experimental setup, evaluation metrics, and dataset are initially described. The performance of the approach presented in this study is then compared to that of six model variants and five baseline methods. Finally, the impacts of the embedding dimension and sequence length on the performance of the CPRM recommendation are examined.
5.1. Datasets and Pre-Processing
This paper utilizes two classic public datasets from LBSNs: Foursquare [] and Gowalla []. These datasets are widely acknowledged within the field of POI recommendation and encompass essential data attributes, including user ID, POI ID, latitude, longitude, and check-in time. Before conducting experiments, it is crucial to preprocess the data to filter out anomalies and address the challenge of data sparsity within the dataset. For Foursquare, we exclude POIs with fewer than 15 visits and users with fewer than 10 check-ins. Consequently, the final dataset comprises 6625 users, 14,686 POIs, and 232,568 check-in records. For Gowalla, we exclude POIs with fewer than 10 visits and users with less than 10 check-ins. This results in a final dataset consisting of 5768 users, 8036 POIs, and 272,492 check-in records. During the experiment, 80% of the dataset is allocated as the training set, while the remaining 20% serves as the test set for assessing the method’s performance.
5.2. Evaluation Indicators
The performance of the model is measured in the experiments in this paper using the evaluation metrics normalized discounted cumulative gain (NDCG@N) and Recall@N, which are frequently used in recommendation algorithms; the higher the value of the metrics, the better the recommendation effect of the model.
 assesses whether or not the user’s actual check-ins are located at the top of the corresponding recommendation list, serving as an evaluation metric for recommendation accuracy.  measures the ratio of correctly recommended POIs to the total number of POIs that the user actually visited, providing an evaluation of the alignment between user interests and recommendations.
        
      
        
      
      
      
      
    
      
        
      
      
      
      
    
        where  denotes the size of the recommendation list,  denotes the true relevance score of the -th recommended result, and  denotes the number of sets formed by taking the first  results in descending order of results according to relevance.  denotes the cumulative true relevance after discounting.  denotes the most idealized  value sorted from high to low.  stands for the set of recommended POIs, whereas  stands for the collection of POIs that the user checked in.
5.3. Implementation Detail
The experiments were conducted using the following system and hardware specifications: operating system—Windows 10; hardware environment—GeForce RTX 2080Ti with 128GB of memory; and software environment—TensorFlow 2.6 deep learning framework. To determine the geographic scene in which the user is located, we selected POIs around the check-in point, and the predicted point coordinates were used to represent the user’s real-time location. The model hyperparameters were set as follows: , , , , and sequence length = 2, 5, and 10. To minimize the loss function, we optimized the model using the Adam [] optimizer to obtain the best parameters. In the baseline models, the batch size for TMCA, GRU, and ST-RNN was set to 256, while other parameters remained the same as those in this paper. Additionally, the stochastic gradient descent algorithm was used to update the parameters in USG and FPMC.
5.4. Model Performance Comparison
The CPRM model is compared with five POI recommendation methods in this study in order to validate its efficacy: USG [], FPMC [], GRU [], ST-RNN [], and TMCA [].
Table 3 and Table 4 display the performance of various algorithms for recommendations on the Foursquare and Gowalla datasets when N is set to 2, 5, or 10, respectively. Overall, as the number of suggested POIs, N, rises, so does that of Recall@N and NDCG@N of different algorithms. Table 3 and Table 4 show that the USG model based on collaborative filtering performs the worst with the same number of recommended POIs. This is because the collaborative filtering approach has limitations in learning user preferences and contextual information from sequences, and it is difficult to consider the sequential order of users’ historical check-ins in sequences. Although the FPMC, which takes into consideration the user’s mobile behaviors and preferences, performs slightly better than the USG model does, there are still significant limitations in how it handles the user’s long-term preferences and how it can effectively capture the user’s interest evolution process. Since all three models can efficiently employ sequence data and capture long-term dependencies, save previous data, use them in following time steps, and capture long-term dependencies, the TMCA, GRU, and ST-RNN models outperform the USG and FPMC models, especially when N = 10. In the meantime, the GRU model’s gating mechanism can choose to ignore certain irrelevant data, which is helpful for exploring any potential connections between users and POIs. While the TMCA model incorporates a variety of situational information and attentional mechanisms, which improves the modeling of the extent to which different POIs in the user’s historical behaviors contribute to preferences, both GRU and ST-RNN models based on recurrent neural networks struggle to capture the impact of check-in behavior on user preferences from the user’s historical check-ins. As a result, overall, the TMCA model performs better in terms of recommendations than the USG, FPMC, GRU, and ST-RNN models do.
 
       
    
    Table 3.
    CPRM vs. other algorithms in the Foursquare dataset.
  
 
       
    
    Table 4.
    CPRM vs. other algorithms in Gowalla dataset.
  
The experiments reveal that the CPRM model exhibits its peak performance when N = 10. In the Foursquare dataset, CPRM demonstrates remarkable improvements, enhancing Recal1@10 and NDCG@10 by 26.92% to 155.84% and 17.01% to 164.74%, respectively, compared to other models. Similarly, in the Gowalla dataset, CPRM leads to enhancements of 11.53% to 147.64% and 2.26% to 138.91%, respectively. These notable achievements can be attributed to two pivotal factors. Firstly, the CPRM model seamlessly integrates multifaceted contextual information into the user’s check-in sequence. It considers the user’s immediate interest preferences and preferences for target POIs, thus effectively capturing correlations within and beyond the sequence. Secondly, the CPRM model delves into user long-term, short-term, and immediate preferences, enabling dynamic updates to the user’s preferences. In summary, CPRM outperforms all the other models we compared and offers an effective approach for personalized user recommendations.
5.5. Ablation Experiment
The CPRM model comprises several key modules. To assess the effectiveness of these modules, we conducted ablation experiments, considering both user preferences and attention mechanisms. The comparison of variant models is presented in Table 5.
 
       
    
    Table 5.
    Comparison of the variant models of CPRM.
  
5.5.1. The Impact of Composite Preferences
Long-term, short-term, and immediate preferences of the user are all considered in the CPRM. Six variations of the model are created to remove various influences on the POIs for recommendations, to better illustrate the extent to which various preferences affect the recommendation effect in the CPRM model:
- CPRM-l-d: Considering only the impact of the user’s immediate preferences.
- CPRM-l-r: Considering only the impact of the user’s short-term preferences.
- CPRM-r-d: Considering only the impact of the user’s long-term preferences.
- CPRM-l: Considering only the impact of the user’s immediate and short-term preferences.
- CPRM-d: Considering only the impact of the user’s immediate and long-term preferences.
- CPRM-r: Considering only the impact of the user’s long- and short-term preferences.
On the Foursquare and Gowalla datasets, experiments comparing the six model versions and the CPRM model are conducted. The efficiency of the models’ recommendations is assessed using two evaluation metrics, Recall@10 and NDCG@10, and the findings are displayed in Table 6.
 
       
    
    Table 6.
    The effect of different preferences on POI recommendations.
  
Table 6 shows that CPRM-r outperforms the other model variants in terms of recommendation performance, suggesting that users are primarily influenced by long- and short-term preferences in POI recommendations, with long-term preferences having a greater influence than short-term preferences do. When long-term or short-term preferences are merged with instantaneous preferences, model recommendation effects are improved, according to the model performance of CPRM-l and CPRM-d, which outperform CPRM-l-r and CPRM-r-d, respectively. When immediate preference and long-term preference are combined, the effect is greater than that when immediate preference and short-term preference are combined. This is because long-term preference and immediate preference clearly differ in how users express their interests and complement one another, while short-term preference and instant preference may be similar or identical depending on the distance between the user’s most recent check-in point and current location. This will result in a homogenization of interests when making recommendations. When making recommendations, this may result in a homogeneity of interests, which reduces the effectiveness of the advice. The CPRM-l-d model has the lowest recommendation performance, indicating that the POI recommendation effect of relying only on immediate preferences is unsatisfactory. This is because immediate preferences are primarily able to deal with the unexpected situation of user preference changes, are influenced by geographic scenarios and have a limited perceptual range. In conclusion, the immediate preference can efficiently convey the preferences changes of users influenced by geographic scenes while traveling, and fusion with long-term preference or short-term preference can improve the recommendation effect. The performance of the CPRM model is significantly higher than that of the other variants, demonstrating that the fusion of the three different types of preferences can improve the recommendation effect of the model.
5.5.2. The Impact of Two-Layer Attention Networks
The self-attention layer aggregates the user’s personal preferences, while the target-attention layer aggregates the user’s preferences for the target POIs. This two-layer attention network is how the CPRM model extracts user preferences. As a result, two variations of the model are created to examine the impacts of various levels of attention on the effect of recommendations, as follows:
- CPRM-a: Only the effects of self-attention are considered.
- CPRM-s: Only the effects of target attention are considered.
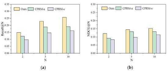
Recall@N and NDCG@N were used as evaluation metrics to measure the recommendation effect of each model, and N = 2, 5, and 10 were established. The experiments’ outcomes are presented in Figure 6 and Figure 7. These 2 variant models were tested alongside the CPRM model on the dataset.
 
      
    
    Figure 6.
      Comparative experiments with different models in the Foursquare dataset. (a) Status of Recall@N indicators. (b) Status of NDCG@N indicators.
  
 
      
    
    Figure 7.
      Comparative experiments with different models in the Gowalla dataset. (a) Status of Recall@N indicators. (b) Status of NDCG@N indicators.
  
Figure 6 and Figure 7 show that the overall recommendation effect of all models is best at N = 10 (values in Table 7). In Foursquare and Gowalla, the recall of CPRM-a is 8.70% and 2.88% higher than that of CPRM-s, and the NDCG is 4.77% and 1.92% higher than that of CPRM-s, respectively. This is so that the self-attention mechanism may collect the user’s own preferences expressed in the POIs and completely learn the long-term dependencies in the user’s historical check-in sequence. The target attention method, on the other hand, ignores the correlation between the check-in points in the user’s check-in sequence and just expresses the user’s preference level for the target POI, which results in a smaller recommendation effect. The CPRM model put forth in this paper combines the mechanisms for self-attention and target attention, weights historical check-in behaviors with various weights to highlight user preferences, and aggregates the long-term dependency relationship and the degree of preference for the target POIs in the historical check-in sequences. Hence, this model has a better recommending effect than do variant models.
 
       
    
    Table 7.
    Impact of different attention variant models on POI recommendations.
  
Table 6 and Table 7 compare the outcomes of the two ablation experiments, showing that CPRM performs better than the other variations of the model while CPRM-r, CPRM-d, and CPRM-a have better metrics than the other variants of the model. In Foursquare, the Recall@10 of CPRM is 2.07%, 3.25% and 3.43% higher than CPRM-r, CPRM-d and CPRM-a, respectively. In Gowalla it is higher by 4.56%, 5.30% and 6.70%, respectively. These results underscore the significant impact of both long-term preferences and the self-attention mechanisms on overall recommendation performance. In summary, the CPRM model not only integrates user long-term, short-term, and immediate preferences but also incorporates a two-layer attention mechanism. This comprehensive approach yields a substantial improvement in recommendation performance compared to that of the baseline model.
5.6. Parameter Impact Analysis
This experiment primarily examines how the embedding dimension and sequence length affect the CPRM model’s recommendation effect. By varying the size of the parameters, the model determines the ideal number of embedding dimensions and sequence length values that should be used in the experiment to derive the maximum Recall@N.
5.6.1. The Impact of Embedded Dimension
The recommendation accuracy of the CPRM model is significantly impacted by the extraction dimension of multi-factor contextual information. Therefore, the experiment was conducted with feature embedding dimensions set at [30, 40, 50, 60, 70, 80], and the impact on Recall@N for POI recommendations when N = 2, 5, and 10 is illustrated in Figure 8a,b. The recommendation effectiveness exhibits a rapid incline as the feature-embedding dimension increases, with the peak occurring at a dimension of 60, followed by a gradual decline. This phenomenon can be attributed to the following factors: when the dimension is too small, the extracted features may not adequately capture the diverse characteristics of historical check-in behaviors; conversely, an excessively large dimension introduces excessive noise when describing check-in behaviors, thereby impacting the model’s recommendation efficiency. Additionally, the model achieves its highest recommendation performance when N = 10. Hence, in this paper, the model achieves its optimal recommendation performance when the embedding dimension is set to 60, and the number of recommended interest points is 10 in the selected datasets.
 
      
    
    Figure 8.
      Comparison of different embedding dimensions. (a) Impact of embedding dimensions in the Foursquare dataset. (b) Impact of embedding dimension in the Gowalla dataset.
  
5.6.2. The Impact of Sequence Length
Sequence length is crucial in dual-attention networks to capture the different types of user sequences, which significantly affects the recommendation effect. Therefore, the experiments involved setting the sequence length within the range of 60 to 130. The impact on Recall@10 for recommendations is illustrated in Figure 9. According to the figure, the model’s performance improves with an increasing sequence length and peaks at 90 and 110 before starting to fall when the recall rate is chosen as Recall@10. The reason could be that if the sequence length is too long, it will likely contain useless information, add noise to the model, and increase computational complexity. On the other hand, if the sequence length is too short, it will likely be challenging for the model to obtain regular preferences when mining user preferences, which will result in subpar recommendation results. To achieve the best recommendation effect, the sequence lengths of 90 and 110 in the Foursquare and Gowalla datasets, respectively, were chosen in this paper.
 
      
    
    Figure 9.
      Comparison of different sequence lengths.
  
6. Discussion
This section begins by comparing the findings of this paper with those of previous studies, highlighting the significant contributions made by this research, and subsequently addressing its limitations and suggesting directions for future research.
Several factors influence the accuracy of recommendation predictions, encompassing various aspects such as user long-term and user short-term preferences, and contextual information. Given that LBSN datasets often contend with issues related to sparsity and cold-start problems, several studies have incorporated pertinent considerations to address these challenges and realize personalized POI recommendations. Based on the findings presented in Table 8, it is evident that most of the existing literature leverages spatial–temporal information alongside user long-term and short-term preferences. This underscores the significance of these factors in the realm of recommendation systems. Notably, several studies, including those in References [,,], employ the attention mechanism to dynamically adjust weights, a technique that proves instrumental in capturing intricate dependencies between users and POIs within a sequence. Reference [], for instance, employs the attention mechanism to investigate the impact of spatial–temporal intervals on user preferences, resulting in improved model performance, surpassing that in References [,]. This paper serves as a synthesis of these insights. Beyond this, most recommendation methods often overlook the fact that users may exhibit different behavioral patterns in specific scenarios, deviating from their typical habits. To address this challenge, the CPRM proposed in this paper initially incorporates various contextual factors, including spatial–temporal data, spatial–temporal intervals, and geographic scenarios. Subsequently, it employs a DLAN network to comprehensively capture users’ preferences in a two-step process, ultimately providing personalized recommendations for the next POI to users. The primary advantage of CPRM lies in the incorporation of an instant preference extraction module, which significantly enhances the comprehensiveness of user preferences. Secondly, the model employs a two-layer attention mechanism to concurrently extract multiple preferences, thus effectively reducing computational overhead. By leveraging the user’s contextual information, this approach enhances real-time accuracy in responding to user demands and offers a novel method for personalized POI recommendations.
 
       
    
    Table 8.
    Considerations for different methods.
  
The CPRM model proposed in this paper has versatile applications across domains such as tourism, city navigation, advertising, marketing, social media, and networking. For service providers and merchants, it assists in tailoring recommendations of personalized POIs to users based on their preferences. Likewise, for users, it aids in discovering the most relevant POIs that align with their immediate needs. To a significant extent, this model enhances user experiences, improves operational efficiency, and contributes to the realization of both business and social objectives.
After conducting an extensive array of experiments, it becomes evident that CPRM excels in recommendation performance; however, it still exhibits certain limitations and areas that warrant improvement. Notably, the immediate preference extraction method presented in this paper solely depends on a user’s historical check-in sequence, potentially resulting in less accurate user preferences when historical data is sparse. Therefore, for future research, we plan to focus on two key areas:
- Incorporating association rule methods. This involves mining preference confidence among different user types for various geographic scenarios using multi-source heterogeneous data to establish corresponding derivation rules. This will enhance the representation of user immediate preferences, especially in scenarios with sparse data, via the calculation of similarity between users.
- Incorporating decoupled learning representations. This will involve initially learning the representations of users and POIs within the user’s historical sequence separately. Subsequently, these representations will be combined to calculate similarity or correlation, thereby enabling the capture of intricate user preferences.
7. Conclusions
In response to the limitations of current POI recommendation methods, which often overlook immediate user preferences and fail to meet users’ real-time and accuracy requirements, this paper proposes a POI recommendation approach that integrates user composite preferences. We began by extracting multi-factor contextual feature information from a user’s historical check-in sequence to serve as the foundation for model construction and prediction. Subsequently, we employed a two-layer attention mechanism to extract the user long-term, short-term, and immediate preferences, thereby providing a comprehensive set of preferences for predicting POI recommendations. Finally, by fusing these composite preferences, we enhance the accuracy of personalized POI predictions. To validate the effectiveness of the proposed method, experiments were conducted to compare the CPRM model with five other algorithms, including TMCA. For N = 10, the NDCG of CPRM in the Foursquare and Gowalla datasets was, respectively, improved by 17.01% and 2.26%, and the Recall was improved by 26.92% and 11.53%, when compared with that of the superior TMCA algorithm. The results indicate that the composite preference, which integrates the user’s long-term, short-term, and immediate preferences, can more accurately predict the user’s POI choices. This approach enables the provision of on-demand, proactive personalized POI recommendations, thereby enhancing the accuracy and efficiency of the recommendation model. In future research, we plan to explore two directions. Firstly, we consider employing the association rule approach to mine preference confidence among different user types in various geographic scenarios. This will enable us to obtain more precise immediate preference expressions. Secondly, we aim to use disentangled representation learning techniques to comprehensively capture user preferences.
Author Contributions
Conceptualization, Y.Y.; methodology, J.L. (Jingwen Li) and Y.Y.; software, J.J. and X.G.; validation, J.L. (Jingwen Li); formal analysis, J.J.; data curation, X.G. and Y.L.; writing—original draft preparation, Y.L.; writing—review and editing, S.X. and J.L. (Jinjin Lu); visualization, Y.Y.; supervision, X.G.; project administration, J.L. (Jingwen Li); funding acquisition, J.J. All authors have read and agreed to the published version of the manuscript.
Funding
This research was funded by the National Natural Science Foundation of China, (41961063); Guilin City Technology Application and Promotion Project in 2022 (20220138-2); Key R&D Projects in Guilin City in 2022 (20220109).
Data Availability Statement
All data are open public data and able to be downloaded free of charge. The Foursquare dataset can be obtained from https://sites.google.com/site/yangdingqi/home/foursquare-dataset (assessed on 16 March 2023). The Gowalla dataset can be obtained from http://snap.stanford.edu/data/loc-gowalla.html (assessed on 21 March 2023).
Conflicts of Interest
The authors declare no conflict of interest.
References
- Papangelis, K.; Chamberlain, A.; Lykourentzou, I.; Khan, V.-J.; Saker, M.; Liang, H.-N.; Sadien, I.; Cao, T. Performing the Digital Self: Understanding Location-Based Social Networking, Territory, Space, and Identity in the City. ACM Trans. Comput.-Hum. Interact. 2020, 27, 1–26. [Google Scholar] [CrossRef]
- Werneck, H.; Silva, N.; Viana, M.; Pereira, A.C.M.; Mourao, F.; Rocha, L. Points of Interest recommendations: Methods, evaluation, and future directions. Inf. Syst. 2021, 101, 101789. [Google Scholar] [CrossRef]
- Rehman, F.; Khalid, O.; Madani, S.A. A comparative study of location-based recommendation systems. Knowl. Eng. Rev. 2017, 32, E7. [Google Scholar] [CrossRef]
- Li, H.; Ge, Y.; Hong, R.; Zhu, H. Point-of-interest recommendations: Learning potential check-ins from friends. In Proceedings of the 22nd ACM SIGKDD International Conference on Knowledge Discovery and Data Mining, San Francisco, CA, USA, 13–17 August 2016; pp. 975–984. [Google Scholar]
- Zhang, J.-D.; Chow, C.-Y.; Li, Y. Lore: Exploiting sequential influence for location recommendations. In Proceedings of the 22nd ACM SIGSPATIAL International Conference on Advances in Geographic Information Systems, Dallas, TX, USA, 4–7 November 2014; pp. 103–112. [Google Scholar]
- Liu, D.; Li, H.-b. A Matrix Decomposition Model Based on Feature Factors in Movie Recommendation System. arXiv 2022, arXiv:2206.05654. [Google Scholar] [CrossRef]
- Wang, Y.; Feng, D.; Li, D.; Chen, X.; Zhao, Y.; Niu, X. A mobile recommendation system based on logistic regression and Gradient Boosting Decision Trees. In Proceedings of the 2016 International Joint Conference on Neural Networks (IJCNN), Vancouver, BC, Canada, 24–29 July 2016; pp. 1896–1902. [Google Scholar]
- Li, X.; Cong, G.; Li, X.-L.; Pham, T.-A.N.; Krishnaswamy, S. Rank-geofm: A ranking based geographical factorization method for point of interest recommendation. In Proceedings of the 38th International ACM SIGIR Conference on Research and Development in Information Retrieval, Santiago, Chile, 9–13 August 2015; pp. 433–442. [Google Scholar]
- Wu, C.-Y.; Ahmed, A.; Beutel, A.; Smola, A.J.; Jing, H. Recurrent Recommender Networks. In Proceedings of the Tenth ACM International Conference on Web Search and Data Mining, Cambridge, UK, 6–10 February 2017; pp. 495–503. [Google Scholar]
- Liu, Q.; Wu, S.; Wang, L.; Tan, T. Predicting the next location: A recurrent model with spatial and temporal contexts. In Proceedings of the AAAI Conference on Artificial Intelligence, Phoenix, Arizona, 12–17 February 2016. [Google Scholar]
- Huang, L.; Ma, Y.; Wang, S.; Liu, Y. An Attention-Based Spatiotemporal LSTM Network for Next POI Recommendation. IEEE Trans. Serv. Comput. 2021, 14, 1585–1597. [Google Scholar] [CrossRef]
- Zhao, P.; Zhu, H.; Liu, Y.; Li, Z.; Xu, J.; Sheng, V.S. Where to Go Next: A Spatio-temporal LSTM model for Next POI Recommendation. arXiv 2018, arXiv:1806.06671. [Google Scholar] [CrossRef]
- Kala, K.U.; Nandhini, M. Context-Category Specific sequence aware Point-Of-Interest Recommender System with Multi-Gated Recurrent Unit. J. Ambient. Intell. Humaniz. Comput. 2019. [Google Scholar] [CrossRef]
- Fang, J.; Meng, X. URPI-GRU: An approach of next POI recommendation based on user relationship and preference information. Knowl.-Based Syst. 2022, 256, 109848. [Google Scholar] [CrossRef]
- Xia, B.; Li, Y.; Li, Q.; Li, T. Attention-based recurrent neural network for location recommendation. In Proceedings of the 2017 12th International Conference on Intelligent Systems and Knowledge Engineering (ISKE), Nanjing, China, 24–26 November 2017; pp. 1–6. [Google Scholar]
- Zhong, J.; Ma, C.; Zhou, J.; Wang, W. PDPNN: Modeling User Personal Dynamic Preference for Next Point-of-Interest Recommendation. In Proceedings of the Computational Science—ICCS 2020—20th International Conference, Amsterdam, The Netherlands, 3–5 June 2020; Springer: Cham, Switzerland, 2020; pp. 45–57. [Google Scholar]
- Luo, Y.; Liu, Q.; Liu, Z. STAN: Spatio-Temporal Attention Network for Next Location Recommendation. In Proceedings of the Web Conference 2021, Ljubljana, Slovenia, 12–23 April 2021; pp. 2177–2185. [Google Scholar]
- Wu, Y.; Li, K.; Zhao, G.; Qian, X. Long- and Short-term Preference Learning for Next POI Recommendation. In Proceedings of the 28th ACM International Conference on Information and Knowledge Management, Beijing, China, 3–7 November 2019; pp. 2301–2304. [Google Scholar]
- Wang, X.; Liu, Y.; Zhou, X.; Leng, Z.; Wang, X. Long- and Short-Term Preference Modeling Based on Multi-Level Attention for Next POI Recommendation. ISPRS Int. J. Geo-Inf. 2022, 11, 323. [Google Scholar] [CrossRef]
- Niu, Z.; Zhong, G.; Yu, H. A review on the attention mechanism of deep learning. Neurocomputing 2021, 452, 48–62. [Google Scholar] [CrossRef]
- Kang, W.C.; McAuley, J. Self-Attentive Sequential Recommendation. In Proceedings of the 2018 IEEE International Conference on Data Mining (ICDM), Singapore, 17–20 November 2018; pp. 197–206. [Google Scholar]
- Guo, Q.; Qi, J. SANST: A Self-Attentive Network for Next Point-of-Interest Recommendation. arXiv 2020, arXiv:2001.10379. [Google Scholar] [CrossRef]
- Zheng, C.; Tao, D. Attention-Based Dynamic Preference Model for Next Point-of-Interest Recommendation. In Proceedings of the Wireless Algorithms, Systems, and Applications, WASA 2020, Qingdao, China, 13–15 September 2020; Springer: Cham, Switzerland, 2020; pp. 768–780. [Google Scholar]
- Li, Z.; Huang, X.; Liu, C.; Yang, W. Spatio-Temporal Unequal Interval Correlation-Aware Self-Attention Network for Next POI Recommendation. ISPRS Int. J. Geo-Inf. 2022, 11, 543. [Google Scholar] [CrossRef]
- Udhayakumar, S.; Silviya Nancy, J.; UmaNandhini, D.; Ashwin, P.; Ganesh, R. Context Aware Text Classification and Recommendation Model for Toxic Comments Using Logistic Regression. In Intelligence in Big Data Technologies—Beyond the Hype; Springer: Singapore, 2021; pp. 209–217. [Google Scholar]
- Song, W.; Shao, P.; Liu, P. Hybrid Recommendation Algorithm Based on Weighted Bipartite Graph and Logistic Regression. In Proceedings of the International CCF Conference on Artificial Intelligence, Changsha, China, 4 August 2020; Springer: Singapore, 2019; pp. 159–170. [Google Scholar]
- Fang, X.; Wang, J.; Seng, D.; Li, B.; Lai, C.; Chen, X. Recommendation algorithm combining ratings and comments. Alex. Eng. J. 2021, 60, 5009–5018. [Google Scholar] [CrossRef]
- Ji, Z.; Pi, H.; Wei, W.; Xiong, B.; Woźniak, M.; Damasevicius, R. Recommendation Based on Review Texts and Social Communities: A Hybrid Model. IEEE Access 2019, 7, 40416–40427. [Google Scholar] [CrossRef]
- Hidasi, B.; Karatzoglou, A.; Baltrunas, L.; Tikk, D. Session-based recommendations with recurrent neural networks. arXiv 2015, arXiv:1511.06939. [Google Scholar]
- Chen, M.; Li, W.-Z.; Qian, L.; Lu, S.-L.; Chen, D.-X. Next POI Recommendation Based on Location Interest Mining with Recurrent Neural Networks. J. Comput. Sci. Technol. 2020, 35, 603–616. [Google Scholar] [CrossRef]
- Li, Z.; Huang, X.; Gong, L.; Yuan, K.; Liu, C. Modeling Long and Short Term User Preferences by Leveraging Multi-Dimensional Auxiliary Information for Next POI Recommendation. ISPRS Int. J. Geo-Inf. 2023, 12, 352. [Google Scholar] [CrossRef]
- Xia, T.; Qi, Y.; Feng, J.; Xu, F.; Sun, F.; Guo, D.; Li, Y. AttnMove: History Enhanced Trajectory Recovery via Attentional Network. In Proceedings of the AAAI Conference on Artificial Intelligence, Virtually, 2–9 February 2021; Volume 35, pp. 4494–4502. [Google Scholar]
- Yu, D.; Shen, Y.; Xu, K.; Xu, Y. Context-Specific Point-of-Interest Recommendation Based on Popularity-Weighted Random Sampling and Factorization Machine. ISPRS Int. J. Geo-Inf. 2021, 10, 258. [Google Scholar] [CrossRef]
- Li, C.; Li, D.; Zhang, Z.; Chu, D. MST-RNN: A Multi-Dimension Spatiotemporal Recurrent Neural Networks for Recommending the Next Point of Interest. Mathematics 2022, 10, 1838. [Google Scholar] [CrossRef]
- Dai, S.; Yu, Y.; Fan, H.; Dong, J. Spatio-Temporal Representation Learning with Social Tie for Personalized POI Recommendation. Data Sci. Eng. 2022, 7, 44–56. [Google Scholar] [CrossRef]
- Liu, X.; Yang, Y.; Xu, Y.; Yang, F.; Huang, Q.; Wang, H. Real-time POI recommendation via modeling long- and short-term user preferences. Neurocomputing 2022, 467, 454–464. [Google Scholar] [CrossRef]
- Wang, Z.; Zhu, Y.; Liu, H.; Wang, C. Learning Graph-based Disentangled Representations for Next POI Recommendation. In Proceedings of the 45th International ACM SIGIR Conference on Research and Development in Information Retrieval, Madrid, Spain, 11–15 July 2022; pp. 1154–1163. [Google Scholar]
- Qin, Y.; Wang, Y.; Sun, F.; Ju, W.; Hou, X.; Wang, Z.; Cheng, J.; Lei, J.; Zhang, M. DisenPOI: Disentangling Sequential and Geographical Influence for Point-of-Interest Recommendation. In Proceedings of the Sixteenth ACM International Conference on Web Search and Data Mining, Singapore, 27 February–3 March 2023; pp. 508–516. [Google Scholar]
- Zheng, C.; Tao, D.; Wang, J.; Cui, L.; Ruan, W.; Yu, S. Memory Augmented Hierarchical Attention Network for Next Point-of-Interest Recommendation. IEEE Trans. Comput. Soc. Syst. 2021, 8, 489–499. [Google Scholar] [CrossRef]
- Adomavicius, G.; Tuzhilin, A. Context-aware recommender systems. In Recommender Systems Handbook; Springer: Berlin/Heidelberg, Germany, 2010; pp. 217–253. [Google Scholar]
- Tobler, W.R. A Computer Movie Simulating Urban Growth in the Detroit Region. Econ. Geogr. 1970, 46, 234–240. [Google Scholar] [CrossRef]
- Wang, X.; Liu, Y.; Zhou, X.; Wang, X.; Leng, Z. A Point-of-Interest Recommendation Method Exploiting Sequential, Category and Geographical Influence. ISPRS Int. J. Geo-Inf. 2022, 11, 80. [Google Scholar] [CrossRef]
- Sohafi-Bonab, J.; Hosseinzadeh Aghdam, M.; Majidzadeh, K. DCARS: Deep context-aware recommendation system based on session latent context. Appl. Soft Comput. 2023, 143, 110416. [Google Scholar] [CrossRef]
- Zhang, J.-D.; Chow, C.-Y. GeoSoCa: Exploiting Geographical, Social and Categorical Correlations for Point-of-Interest Recommendations. In Proceedings of the 38th International ACM SIGIR Conference on Research and Development in Information Retrieval, Santiago, Chile, 9–13 August 2015; pp. 443–452. [Google Scholar]
- Vaswani, A.; Shazeer, N.; Parmar, N.; Uszkoreit, J.; Jones, L.; Gomez, A.N.; Kaiser, L.; Polosukhin, I. Attention Is All You Need. arXiv 2017, arXiv:1706.03762. [Google Scholar] [CrossRef]
- He, K.; Zhang, X.; Ren, S.; Sun, J. Deep residual learning for image recognition. In Proceedings of the IEEE Conference on Computer Vision and Pattern Recognition, Las Vegas, NV, USA, 27–30 June 2016; pp. 770–778. [Google Scholar]
- Ba, J.L.; Kiros, J.R.; Hinton, G.E. Layer normalization. arXiv 2016, arXiv:1607.06450. [Google Scholar]
- Rendle, S.; Freudenthaler, C.; Gantner, Z.; Schmidt-Thieme, L. BPR: Bayesian personalized ranking from implicit feedback. arXiv 2012, arXiv:1205.2618. [Google Scholar]
- Yang, D.; Zhang, D.; Zheng, V.W.; Yu, Z. Modeling user activity preference by leveraging user spatial temporal characteristics in LBSNs. IEEE Trans. Syst. Man Cybern. Syst. 2014, 45, 129–142. [Google Scholar] [CrossRef]
- Cho, E.; Myers, S.A.; Leskovec, J. Friendship and mobility: User movement in location-based social networks. In Proceedings of the 17th ACM SIGKDD International Conference on Knowledge Discovery and Data Mining, San Diego, CA, USA, 21–24 August 2011; pp. 1082–1090. [Google Scholar]
- Kingma, D.P.; Ba, J. Adam: A method for stochastic optimization. arXiv 2014, arXiv:1412.6980. [Google Scholar]
- Ye, M.; Yin, P.; Lee, W.-C.; Lee, D.-L. Exploiting geographical influence for collaborative point-of-interest recommendation. In Proceedings of the 34th International ACM SIGIR Conference on Research and Development in Information Retrieval, Beijing, China, 25–29 July 2011; pp. 325–334. [Google Scholar]
- Rendle, S.; Freudenthaler, C.; Schmidt-Thieme, L. Factorizing personalized Markov chains for next-basket recommendation. In Proceedings of the 19th International Conference on World Wide Web, Raleigh, NC, USA, 26–30 April 2010; pp. 811–820. [Google Scholar]
- Cho, K.; Van Merriënboer, B.; Gulcehre, C.; Bahdanau, D.; Bougares, F.; Schwenk, H.; Bengio, Y. Learning phrase representations using RNN encoder-decoder for statistical machine translation. arXiv 2014, arXiv:1406.1078. [Google Scholar]
- Li, R.; Shen, Y.; Zhu, Y. Next Point-of-Interest Recommendation with Temporal and Multi-level Context Attention. In Proceedings of the 2018 IEEE International Conference on Data Mining (ICDM), Singapore, 17–20 November 2018; pp. 1110–1115. [Google Scholar]
| Disclaimer/Publisher’s Note: The statements, opinions and data contained in all publications are solely those of the individual author(s) and contributor(s) and not of MDPI and/or the editor(s). MDPI and/or the editor(s) disclaim responsibility for any injury to people or property resulting from any ideas, methods, instructions or products referred to in the content. | 
© 2023 by the authors. Licensee MDPI, Basel, Switzerland. This article is an open access article distributed under the terms and conditions of the Creative Commons Attribution (CC BY) license (https://creativecommons.org/licenses/by/4.0/).
