A Vacuum Transistor Based on Field-Assisted Thermionic Emission from a Multiwalled Carbon Nanotube
Abstract
:1. Introduction
2. Materials and Methods
3. Results and Discussion
3.1. Thermionic Emission from a Multiwalled Carbon Nanotube
3.2. Output Characteristic and Transfer Characteristic of a CNT-based Vacuum Transistor
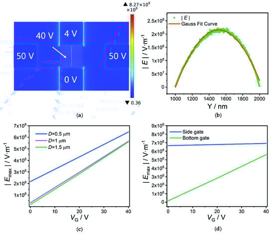
3.3. Gate Controllability and Electric Field Strength Distribution
4. Conclusions
Author Contributions
Funding
Data Availability Statement
Conflicts of Interest
References
- Koomey, J.; Berard, S.; Sanchez, M.; Wong, H. Implications of Historical Trends in the Electrical Efficiency of Computing. IEEE Ann. Hist. Comput. 2011, 33, 46–54. [Google Scholar] [CrossRef]
- Kim, H.K. Vacuum transistors for space travel. Nat. Electron. 2019, 2, 374–375. [Google Scholar] [CrossRef]
- Brinkman, W.F.; Haggan, D.E.; Troutman, W.W. A history of the invention of the transistor and where it will lead us. IEEE J. Solid-State Circuits 1997, 32, 1858–1865. [Google Scholar] [CrossRef] [Green Version]
- Barbour, E. The cool sound of tubes [vacuum tube musical applications]. IEEE Spectr. 1998, 35, 24–35. [Google Scholar] [CrossRef]
- Stoner, B.R.; Glass, J.T. Nothing is like a vacuum. Nat. Nanotechnol. 2012, 7, 485–487. [Google Scholar] [CrossRef]
- Liu, W.; Liu, Y.; Jia, Q.; Sun, B.; Chen, J. Terahertz laser diode using field emitter arrays. Phys. Rev. B 2021, 103, 035109. [Google Scholar] [CrossRef]
- Han, J.-W.; Seol, M.-L.; Moon, D.-I.; Hunter, G.; Meyyappan, M. Nanoscale vacuum channel transistors fabricated on silicon carbide wafers. Nat. Electron. 2019, 2, 405–411. [Google Scholar] [CrossRef]
- Nirantar, S.; Ahmed, T.; Ren, G.; Gutruf, P.; Xu, C.; Bhaskaran, M.; Walia, S.; Sriram, S. Metal–Air Transistors: Semiconductor-Free Field-Emission Air-Channel Nanoelectronics. Nano Lett. 2018, 18, 7478–7484. [Google Scholar] [CrossRef]
- Jennings, S.G. The mean free path in air. J. Aerosol Sci. 1988, 19, 159–166. [Google Scholar] [CrossRef]
- Han, J.-W.; Moon, D.-I.; Meyyappan, M. Nanoscale Vacuum Channel Transistor. Nano Lett. 2017, 17, 2146–2151. [Google Scholar] [CrossRef]
- Bower, C.; Zhu, W.; Shalom, D.; Lopez, D.; Chen, L.H.; Gammel, P.L.; Jin, S. On-chip vacuum microtriode using carbon nanotube field emitters. Appl. Phys. Lett. 2002, 80, 3820–3822. [Google Scholar] [CrossRef]
- Bhattacharya, R.; Han, J.W.; Browning, J.; Meyyappan, M. Complementary Vacuum Field Emission Transistor. IEEE Trans. Electron Devices 2021, 68, 5244–5249. [Google Scholar] [CrossRef]
- Han, J.-W.; Seol, M.-L.; Kim, J.; Meyyappan, M. Nanoscale Complementary Vacuum Field Emission Transistor. ACS Appl. Nano Mater. 2020, 3, 11481–11488. [Google Scholar] [CrossRef]
- Wang, X.; Xue, T.; Shen, Z.; Long, M.; Wu, S. Analysis of the electron emission characteristics and working mechanism of a planar bottom gate vacuum field emission triode with a nanoscale channel. Nanoscale 2021, 13, 14363–14370. [Google Scholar] [CrossRef]
- Chang, W.T.; Pao, P.H. Field Electrons Intercepted by Coplanar Gates in Nanoscale Air Channel. IEEE Trans. Electron Devices 2019, 66, 3961–3966. [Google Scholar] [CrossRef]
- Khoshkbijari, F.K.; Sharifi, M.J. Finger Gate Vacuum Channel Field Emission Transistors: Performance and Sensitivity Analysis. IEEE Trans. Electron Devices 2021, 68, 5250–5256. [Google Scholar] [CrossRef]
- Fan, L.; Bi, J.; Xi, K.; Zhao, B.; Yang, X.; Xu, Y. Sub-10-nm Air Channel Field Emission Device with Ultra-Low Operating Voltage. IEEE Electron Device Lett. 2021, 42, 1390–1393. [Google Scholar] [CrossRef]
- Terrones, M.; Terrones, H.; de Jonge, N.; Bonard, J.M. Carbon nanotube electron sources and applications. Philos. Trans. R. Soc. Lond. Ser. A Math. Phys. Eng. Sci. 2004, 362, 2239–2266. [Google Scholar]
- Wu, G.; Wei, X.; Zhang, Z.; Chen, Q.; Peng, L. A Graphene-Based Vacuum Transistor with a High ON/OFF Current Ratio. Adv. Funct. Mater. 2015, 25, 5972–5978. [Google Scholar] [CrossRef]
- Wei, X.; Golberg, D.; Chen, Q.; Bando, Y.; Peng, L. Phonon-Assisted Electron Emission from Individual Carbon Nanotubes. Nano Lett. 2011, 11, 734–739. [Google Scholar] [CrossRef]
- Wei, X.; Wang, S.; Chen, Q.; Peng, L. Breakdown of Richardson’s Law in Electron Emission from Individual Self-Joule-Heated Carbon Nanotubes. Sci. Rep. 2014, 4, 5102. [Google Scholar] [CrossRef] [PubMed] [Green Version]
- Wang, Y.; Wu, G.; Xiang, L.; Xiao, M.; Li, Z.; Gao, S.; Chen, Q.; Wei, X. Single-walled carbon nanotube thermionic electron emitters with dense, efficient and reproducible electron emission. Nanoscale 2017, 9, 17814–17820. [Google Scholar] [CrossRef] [PubMed]
- Lazzeri, M.; Piscanec, S.; Mauri, F.; Ferrari, A.C.; Robertson, J. Electron Transport and Hot Phonons in Carbon Nanotubes. Phys. Rev. Lett. 2005, 95, 236802. [Google Scholar] [CrossRef] [PubMed]
- Pop, E.; Mann, D.; Cao, J.; Wang, Q.; Goodson, K.; Dai, H. Negative Differential Conductance and Hot Phonons in Suspended Nanotube Molecular Wires. Phys. Rev. Lett. 2005, 95, 155505. [Google Scholar] [CrossRef] [Green Version]
- Herring, C.; Nichols, M.H. Thermionic Emission. Rev. Mod. Phys. 1949, 21, 185–270. [Google Scholar] [CrossRef]
- Jin, F.; Liu, Y.; Day, C.M.; Little, S.A. Enhanced electron emission from functionalized carbon nanotubes with a barium strontium oxide coating produced by magnetron sputtering. Carbon 2007, 45, 587–593. [Google Scholar] [CrossRef]




Publisher’s Note: MDPI stays neutral with regard to jurisdictional claims in published maps and institutional affiliations. |
© 2022 by the authors. Licensee MDPI, Basel, Switzerland. This article is an open access article distributed under the terms and conditions of the Creative Commons Attribution (CC BY) license (https://creativecommons.org/licenses/by/4.0/).
Share and Cite
He, Y.; Li, Z.; Mao, S.; Zhan, F.; Wei, X. A Vacuum Transistor Based on Field-Assisted Thermionic Emission from a Multiwalled Carbon Nanotube. Electronics 2022, 11, 399. https://doi.org/10.3390/electronics11030399
He Y, Li Z, Mao S, Zhan F, Wei X. A Vacuum Transistor Based on Field-Assisted Thermionic Emission from a Multiwalled Carbon Nanotube. Electronics. 2022; 11(3):399. https://doi.org/10.3390/electronics11030399
Chicago/Turabian StyleHe, Yidan, Zhiwei Li, Shuyu Mao, Fangyuan Zhan, and Xianlong Wei. 2022. "A Vacuum Transistor Based on Field-Assisted Thermionic Emission from a Multiwalled Carbon Nanotube" Electronics 11, no. 3: 399. https://doi.org/10.3390/electronics11030399
APA StyleHe, Y., Li, Z., Mao, S., Zhan, F., & Wei, X. (2022). A Vacuum Transistor Based on Field-Assisted Thermionic Emission from a Multiwalled Carbon Nanotube. Electronics, 11(3), 399. https://doi.org/10.3390/electronics11030399

