Research on a Control Strategy for a Distributed Economic Dispatch System in an Active Distribution Network, Considering Communication Packet Loss
Abstract
1. Introduction
2. Design of a Distributed Economic Dispatch System for ADN
2.1. Distributed Economic Dispatch Architecture
2.2. Distributed Economic Dispatch Mode
3. Distributed Economic Dispatch System Model Considering Communication Packet Loss
3.1. Packet Loss Modeling for Multi-Intelligence Communications
3.2. Distributed Economic Dispatch Strategy
- (1)
- Regarding the share component, can reduce the difference between each DG incremental cost λ and achieve an equal incremental rate for each generation unit through multiple iterations.
- (2)
- Regarding the total adjustment component, the signal received by the leader node is used to adjust the total generation of each DG to satisfy the limit of zero power deviation.
4. System Stability Analysis
- (1)
- ;
- (2)
- ;
- (3)
5. Simulation Verification
5.1. Scenario 1: Ideal Communication Conditions
5.2. Scenario 2: Communication Packet Loss
- (1)
- Setting p = 0.9, i.e., packet loss probability is 0.1, Equation (29) holds and the system is able to maintain stability. The total active load of the distribution network increases from the initial 28.7 MW to 33.7 MW at t = 1 s. Simulations are performed using the control strategies of [4] and this paper, respectively, and the responses of the distributed economic scheduling system are shown in Figure 4 and Figure 5.
- (2)
- Holding other parameters constant, the response of the system at p = 0.7 and p = 0.5 is shown in Figure 6.
- (3)
- For an initial load of 28.7 MW, the time for the system to converge from the initial value to the optimum value for different packet loss probabilities is shown in Figure 7.
5.3. Scenario 3: IEEE-39 Node System
- (1)
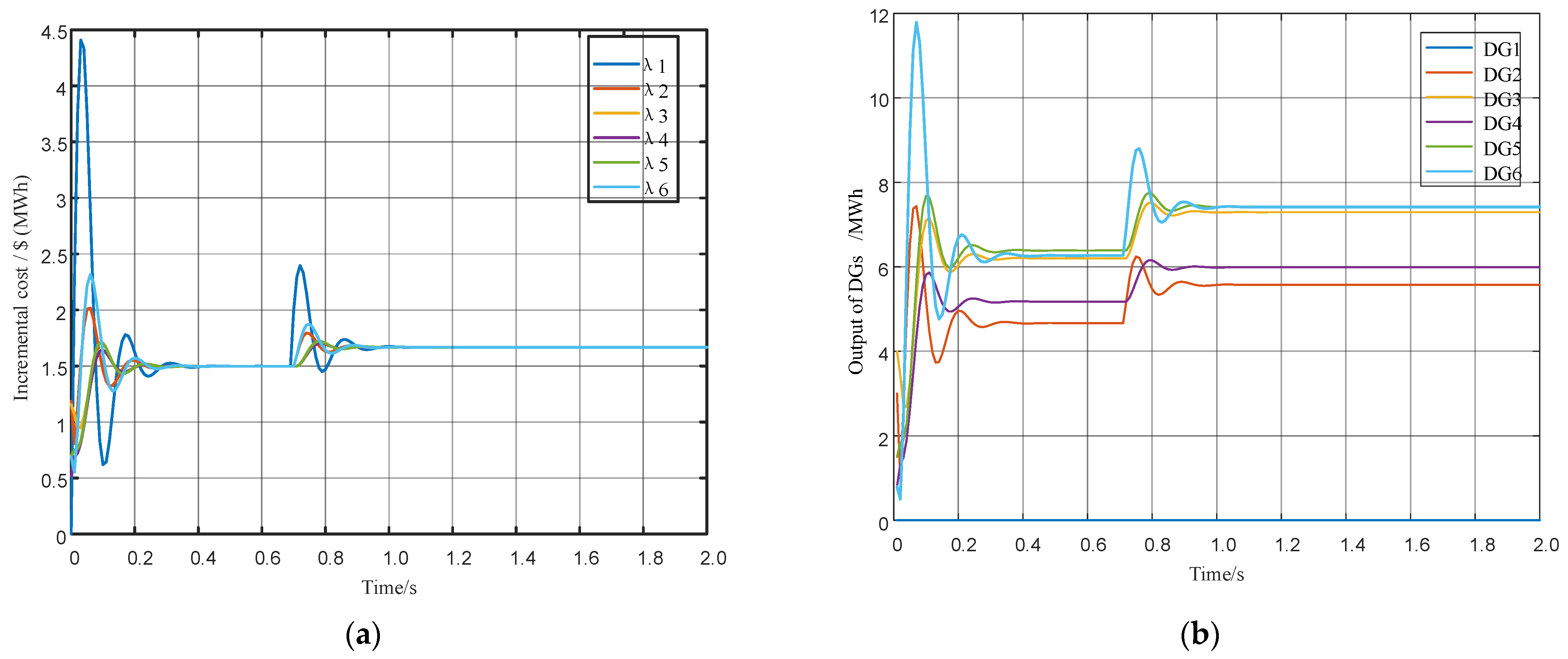
- At p = 0.9 and t = 2 s, the system load increases by 200 MW from an initial 3420 MW, and decreases by 250 MW at t = 4 s. The response of the distributed economic dispatch system is shown in Figure 9.
- (2)
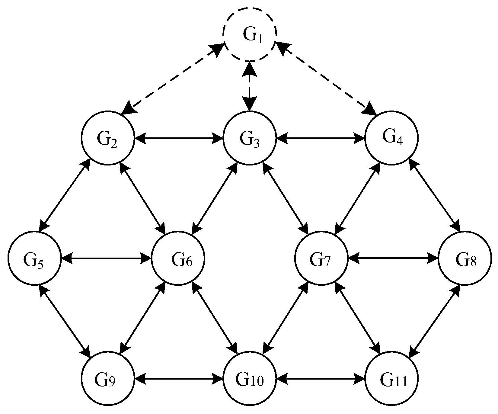
- Regarding the impact of network connectivity, the distributed control systems can not achieve control objectives when the communication network is not connected, and communication packet loss will affect network connectivity to some extent. The degrees of each DG node in Figure 8 are: 3, 4, 5, 4, 3, 5, 5, 3, 3, 4, and 3, where the size of D1 of the leader node has a greater impact on the convergence performance of the system. The convergence times of the system from the initial value to the optimal value for different values of p and the number of connected communication links between the leader and other DGs are shown in Table 3 and Figure 10.
- (3)
- Regarding individual DG communication failure, let DG3, DG6, and DG9 each have communication failures and packet loss with their respective adjacent DGs. The system’s convergence time is illustrated in Figure 11 below, and shows that the communication packet loss probability increases between the failing DG and the neighboring DGs.
6. Conclusions
Author Contributions
Funding
Data Availability Statement
Conflicts of Interest
Nomenclature
| ADN | Active distribution network |
| LMI | Linear matrix inequality |
| ED | Economic dispatch |
| DG | distributed generation |
| PCC | Point of common coupling |
| i, j | Indices of the DGs |
| n | Total number of DGs |
| Feedback factor in consensus protocol | |
| PDG,i | Output power of the i-th DG |
| vj | Node j |
| F(PDG,i) | Power-cost function of the ith DG |
| ai, bi, ci | Quadratic, primary, and constant term coefficients of |
| the i-th DG generation cost function | |
| PD | Total active distribution network load |
| PLOSS | Active power lost of the distribution network |
| PPCC | Active power input from the external grid |
| , | Lower limit and upper limit of output of the i-th DG |
| G | A gragh |
| V | Set of vertices |
| E | Set of edges |
| Input type domain of agent i at moment k | |
| xi(k) | State of the ith agent at moment k |
| aij | Weight set by node i for the state information |
| received from neighboring node j | |
| pij | Probability of |
| L(k) | System Laplacian matrix |
| Element of the system Laplacian matrix | |
| Control input of DGi at moment k | |
| Incremental cost of DGi at moment k | |
| Power deviation factor | |
| Leader identifier | |
| Unit matrix | |
| Economic dispatch performance evaluation function | |
References
- Wen, G.; Yu, X.; Liu, Z. Recent progress on the study of distributed economic dispatch in smart grid: An overview. Front. Inf. Technol. Electron. Eng. 2021, 22, 25–40. [Google Scholar] [CrossRef]
- Jiang, F.; Lin, Z.; He, G.; Wu, Z.; Fan, R. Coordinated Voltage Control of Distributed Photovoltaic-Energy-Storage Systems Based on a Dynamic Consensus Algorithm. J. Tianjin Univ. (Sci. Technol.) 2021, 54, 1299–1308. [Google Scholar]
- Yang, J.; Hou, J.; Liu, Y.; Zhang, H. Distributed cooperative control method and application in power system. Trans. China Electrotech. Soc. 2021, 36, 4035–4049. [Google Scholar]
- Le, J.; Zhou, Q.; Zhao, L.; You, M. Distributed economic dispatch method for power system based on consensus. IET Renew. Power Gener. 2020, 14, 1424–1432. [Google Scholar]
- Li, H.; Chen, Y.; Wang, G.; Song, X. Real-time economic dispatching method for active distribution networks considering power prediction errors. Power Syst. Prot. Control. 2020, 48, 100–107. [Google Scholar]
- Li, Z.; Fu, M.; Zhang, X.; Dai, K.; Yuan, X. Decentralized cooperative optimization method enhancing discharging efficiency of distributed energy storage system. Electr. Meas. Instrum. 2020, 57, 98–104+119. [Google Scholar]
- Zhang, Z.; Chow, M.Y. Convergence Analysis of the Incremental Cost Consensus Algorithm Under Different Communication Network Topologies in a Smart Grid. IEEE Trans. Power Syst. 2012, 27, 1761–1768. [Google Scholar] [CrossRef]
- Le, J.; Zhou, Q.; Zhao, L.; Wang, Y. Research on the real-time distributed economic dispatch strategy for microgrids. Energies 2019, 12, 4007. [Google Scholar] [CrossRef]
- Wang, C. Research on Distributed Optimal Control Strategy of Active Distribution Network. Master’s Thesis, Wuhan University, Wuhan, China, 2019. [Google Scholar]
- Binetti, G.; Abouheaf, M.; Lewis, F.; Naso, D.; Davoudi, A.; Turchiano, B. Distributed solution for the economic dispatch problem. In Proceedings of the 21st Mediterranean Conference on Control and Automation, Crete, Greece, 25–28 June 2013. [Google Scholar]
- Yang, Z.; Xiang, J.; Li, Y. Active Control Strategy of Distributed Generations for Utility Grid Cooperation in Distribution Network. Proc. CSEE 2019, 39, 3176–3186. [Google Scholar]
- Le, J.; Zhou, Q.; Zhao, L.; You, M. Fully Distributed Economic Dispatch of Active Distribution Network Considering Individual Cheating. Proc. CSEE 2020, 40, 5445–5454. [Google Scholar]
- Zong, X.F.; Tao, L.I.; Zhang, J.F. Consensus control of discrete-time multi-agent systems with time-delays and multiplicative measurement noises. Sci. Sin. Math. 2016, 64, 1617–1636. [Google Scholar]
- Mahmoud, M.S.; Khan, G.D. Leader-following discrete consensus control of multi-agent systems with fixed and switching topologies. J. Frankl. Inst. 2015, 352, 2504–2525. [Google Scholar] [CrossRef]
- Zhang, Y.; Li, R.; Zhao, W.; Huo, X. Stochastic leader-following consensus of multi-agent systems with measurement noises and communication time-delays. Neurocomputing 2017, 282, 136–145. [Google Scholar] [CrossRef]
- Zhou, R.; Li, J. Stochastic consensus of double-integrator leader-following multi-agent systems with measurement noises and time delays. Int. J. Syst. Sci. 2018, 50, 365–378. [Google Scholar] [CrossRef]
- Zhang, Y.; Tian, Y.P. Maximum Allowable Loss Probability for Consensus of Multi-Agent Systems Over Random Weighted Lossy Networks. IEEE Trans. Autom. Control. 2012, 57, 2127–2132. [Google Scholar] [CrossRef]
- He, C. Distributed economic dispatch approach for Microgrid Considering Communication Line Reliability. Master’s Thesis, Hefei University of Technology, Hefei, China, 2020. [Google Scholar]
- Xu, H.; Zhang, X.; Yu, T. Robust collaborative Consensus Algorithm for Economic Dispatch under Non-ideal Communication Network. Autom. Electr. Power Syst. 2016, 40, 15–24, 57. [Google Scholar] [CrossRef]
- Chen, G. Consensus for Linear Multi-Agent Systems with Packet Dropouts and its Applications. Ph.D. Thesis, University of Science and Technology of China, Hefei, China, 2021. [Google Scholar]
- Yan, J.; Xia, Y.; Liu, B.; Fu, M. Stabilisation of quantised linear systems with packet dropout. IETControl. Theory Appl. 2011, 5, 982–989. [Google Scholar] [CrossRef]
- Jian, W.; Yang, S. Average consensus in multi-agent systems with time-varying delays and packet losses. In Proceedings of the 2012 American Control Conference, Montreal, QC, Canada, 27–29 June 2012; IEEE: Montreal, QC, Canada, 2012; pp. 1579–1584. [Google Scholar]
- Xie, J.; Chen, K.; Yue, D.; Li, Y.; Wang, K.; Wang, S.; Huang, C. Distributed economic dispatch based on consensus algorithm of multi agent system for power system. Electr. Power Autom. Equip. 2016, 36, 112–117. [Google Scholar]











| DG Number | ai/ ($/MW2h) | bi/ ($/MWh) | ci/ ($/h) | MW | MW | Initial Value/ MW |
|---|---|---|---|---|---|---|
| 1 | - | - | - | - | - | 0 |
| 2 | 0.094 | 0.62 | 90 | 0.5 | 15 | 2.0 |
| 3 | 0.078 | 0.53 | 87 | 1.0 | 20 | 1.0 |
| 4 | 0.105 | 0.41 | 86 | 0.8 | 20 | 1.5 |
| 5 | 0.082 | 0.45 | 45 | 0.6 | 15 | 1.5 |
| 6 | 0.074 | 0.57 | 73 | 0.5 | 18 | 0.8 |
| DG Number | ai/ ($/MW2h) | bi/ ($/MWh) | ci/ ($/h) | MW | MW | Initial Value/ MW |
|---|---|---|---|---|---|---|
| G1 | - | - | - | - | - | 0 |
| G2 | 0.038 | 0.68 | 135.88 | 75 | 500 | 300 |
| G3 | 0.034 | 0.70 | 214.92 | 80 | 400 | 360 |
| G4 | 0.029 | 0.75 | 108.23 | 30 | 280 | 240 |
| G5 | 0.018 | 0.76 | 220.00 | 80 | 420 | 375 |
| G6 | 0.016 | 0.81 | 232.56 | 50 | 350 | 200 |
| G7 | 0.025 | 0.71 | 78.09 | 50 | 480 | 400 |
| G8 | 0.022 | 0.78 | 234.48 | 64 | 300 | 150 |
| G9 | 0.026 | 0.68 | 74.60 | 45 | 500 | 337 |
| G10 | 0.033 | 0.60 | 127.69 | 74 | 400 | 250 |
| G11 | 0.028 | 0.66 | 100.52 | 150 | 600 | 400 |
| Communication Topology | D1 | t/s | |||
|---|---|---|---|---|---|
| p = 1 | p = 0.9 | p = 0.7 | p = 0.5 | ||
| DG1 with DG10 and DG11 Communication link connectivity | 5 | 0.82 | 0.89 | 1.15 | 1.63 |
| No change | 3 | 1.11 | 1.24 | 1.60 | 2.36 |
| DG1 with DG2 and DG4 Communication link lost | 1 | 3.81 | 4.21 | 5.60 | 8.73 |
Publisher’s Note: MDPI stays neutral with regard to jurisdictional claims in published maps and institutional affiliations. |
© 2022 by the authors. Licensee MDPI, Basel, Switzerland. This article is an open access article distributed under the terms and conditions of the Creative Commons Attribution (CC BY) license (https://creativecommons.org/licenses/by/4.0/).
Share and Cite
Le, J.; Qi, G.; Zhao, L.; Jin, R. Research on a Control Strategy for a Distributed Economic Dispatch System in an Active Distribution Network, Considering Communication Packet Loss. Electronics 2022, 11, 3288. https://doi.org/10.3390/electronics11203288
Le J, Qi G, Zhao L, Jin R. Research on a Control Strategy for a Distributed Economic Dispatch System in an Active Distribution Network, Considering Communication Packet Loss. Electronics. 2022; 11(20):3288. https://doi.org/10.3390/electronics11203288
Chicago/Turabian StyleLe, Jian, Gan Qi, Liangang Zhao, and Rui Jin. 2022. "Research on a Control Strategy for a Distributed Economic Dispatch System in an Active Distribution Network, Considering Communication Packet Loss" Electronics 11, no. 20: 3288. https://doi.org/10.3390/electronics11203288
APA StyleLe, J., Qi, G., Zhao, L., & Jin, R. (2022). Research on a Control Strategy for a Distributed Economic Dispatch System in an Active Distribution Network, Considering Communication Packet Loss. Electronics, 11(20), 3288. https://doi.org/10.3390/electronics11203288

