Self-Biased and Supply-Voltage Scalable Inverter-Based Operational Transconductance Amplifier with Improved Composite Transistors
Abstract
1. Introduction
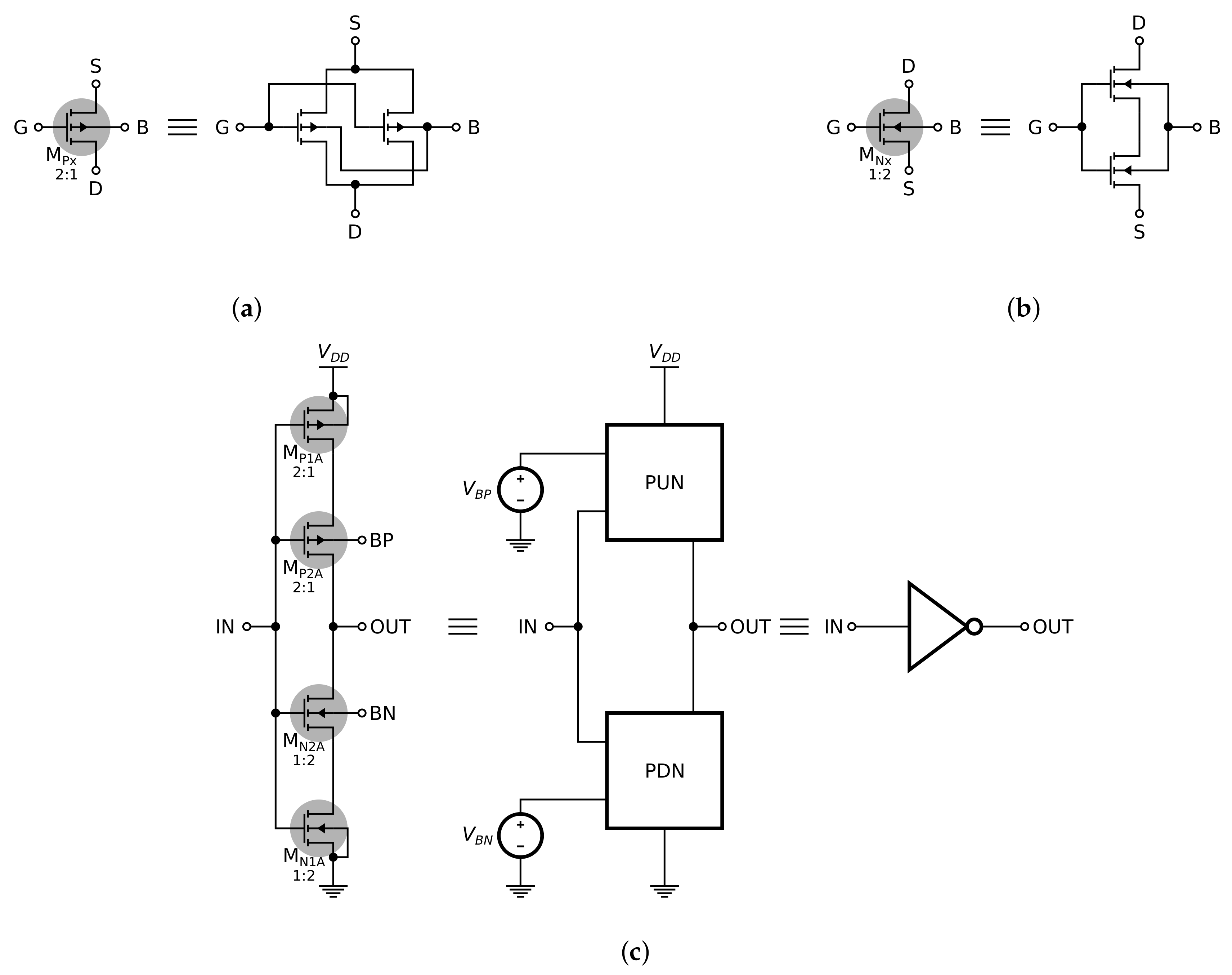
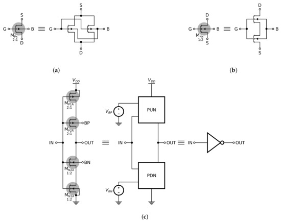
2. Composite Transistor Forward-Body-Biasing Analysis
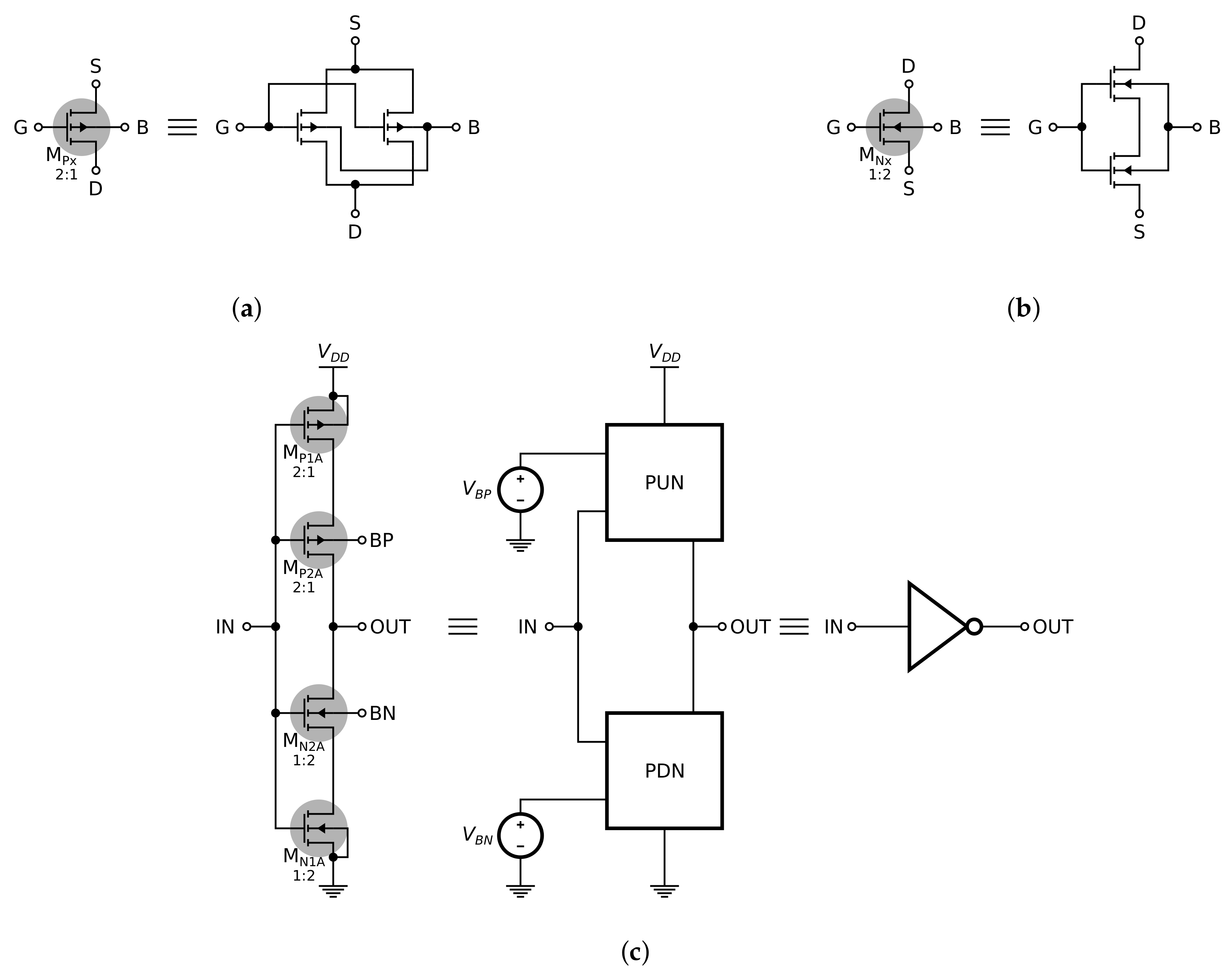
3. Proposed Inverter Made of Composite Transistors with Forward-Body-Bias
4. Proposed Operational Transconductance Amplifier
5. Simulation Results
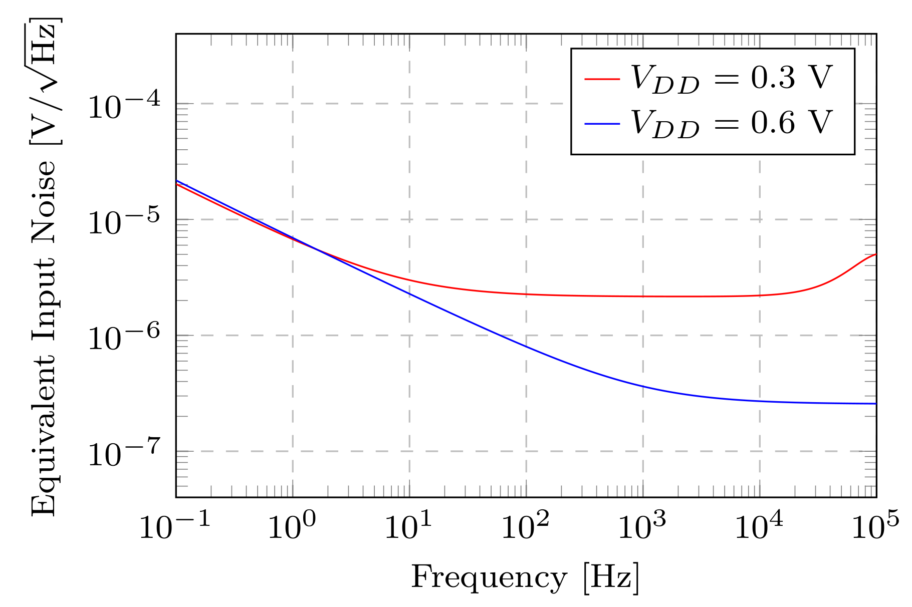
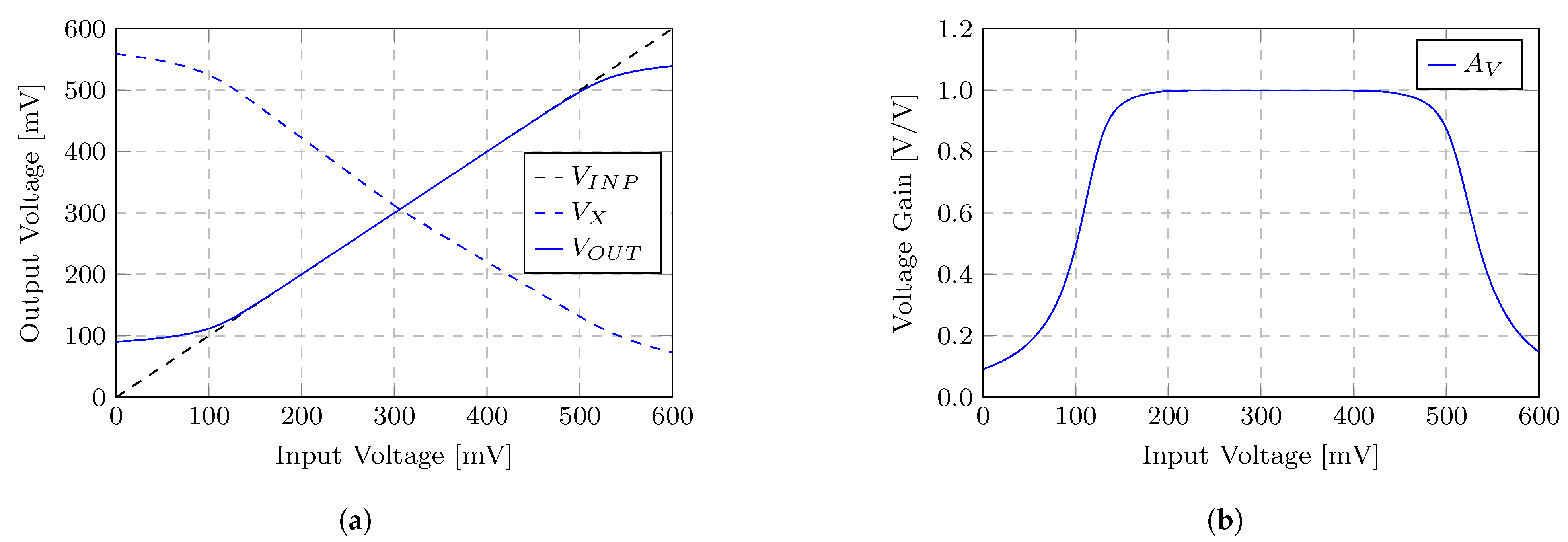
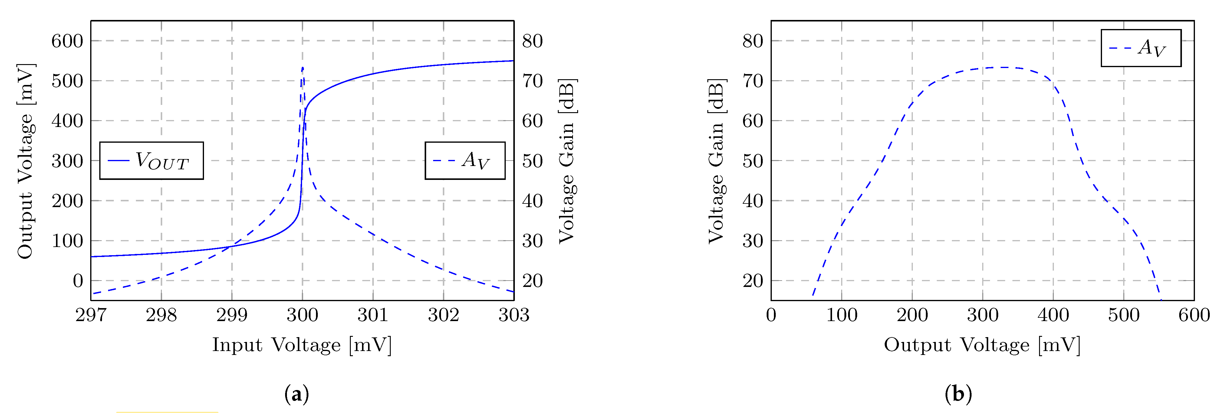
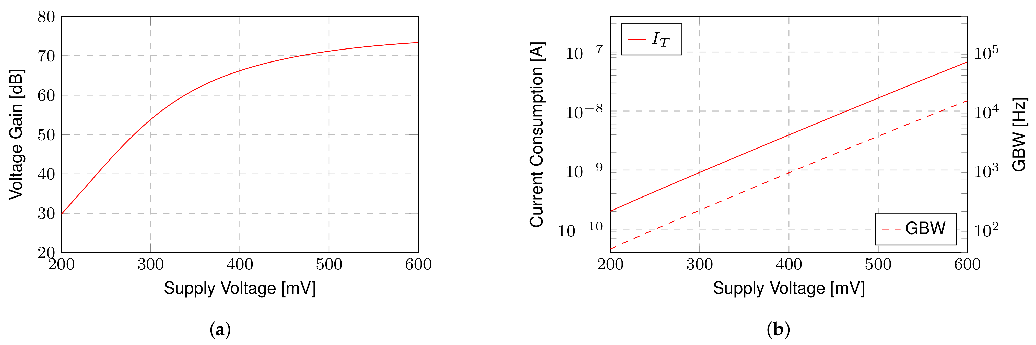
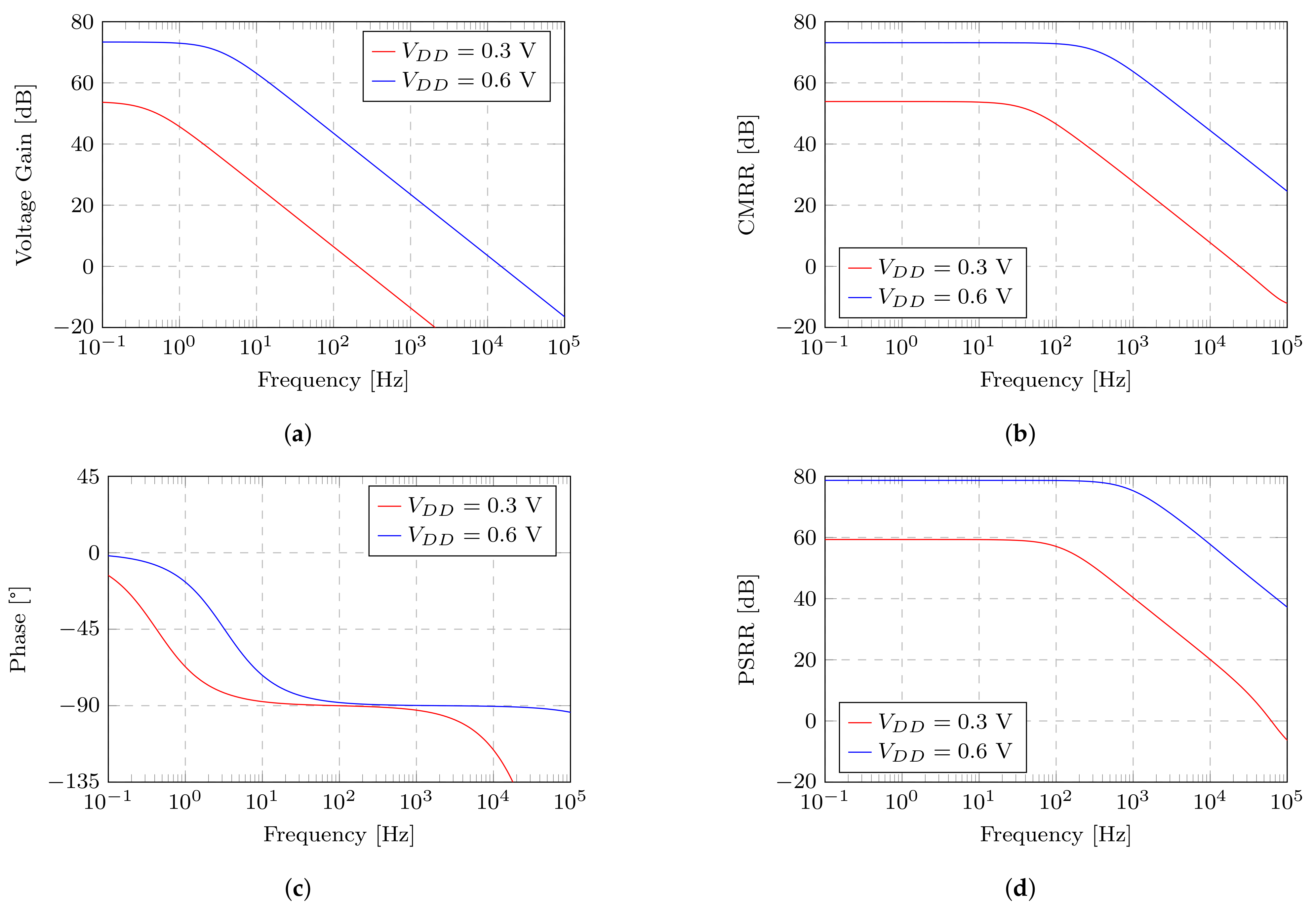
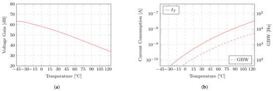
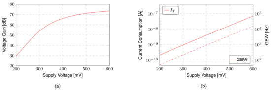
5.1. Open-Loop Analysis
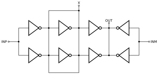
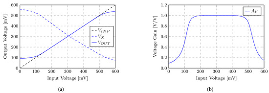
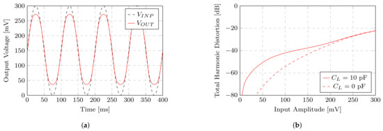
5.2. Unity-Gain Buffer Analysis
5.3. Monte Carlo Simulation Results
5.4. Performance Comparison
6. Conclusions
Author Contributions
Funding
Data Availability Statement
Acknowledgments
Conflicts of Interest
Abbreviations
| CMOS | Complementary Metal-Oxide Semiconductor |
| CMRR | Common-Mode Rejection Ratio |
| FoM | Figure of Merit |
| GBW | Gain–Bandwidth Product |
| OTA | Operational Transconductance Amplifier |
| PSRR | Power Supply Rejection Ratio |
| THD | Total Harmonic Distortion |
| UICM | Unified Current Control Model |
| ULP | Ultra-Low-Power |
| ULV | Ultra-Low-Voltage |
References
- Crovetti, P.S.; Musolino, F.; Aiello, O.; Toledo, P.; Rubino, R. Breaking the boundaries between analogue and digital. Electron. Lett. 2019, 55, 672–673. [Google Scholar] [CrossRef]
- Aiello, O.; Crovetti, P.; Alioto, M. A Sub-Leakage pW-Power Hz-Range Relaxation Oscillator Operating with 0.3 V–1.8 V Unregulated Supply. In Proceedings of the IEEE Symp. on VLSI Circuits (VLSI 2018), Honolulu, HI, USA, 18–22 June 2018; pp. 119–120. [Google Scholar]
- Aiello, O.; Crovetti, P.; Lin, L.; Alioto, M. A pW-Power Hz-Range Oscillator Operating With a 0.3–1.8-V Unregulated Supply. IEEE J. Solid-State Circuits 2019, 54, 1487–1496. [Google Scholar] [CrossRef]
- Aiello, O.; Crovetti, P.; Alioto, M. Wake-Up Oscillators with pW Power Consumption in Dynamic Leakage Suppression Logic. In Proceedings of the IEEE Int. Symposium on Circuits and Systems (ISCAS 2019), Sapporo, Japan, 26–29 May 2019; pp. 1–5. [Google Scholar]
- Aiello, O.; Crovetti, P.; Alioto, M. Ultra-Low Power and Minimal Design Effort Interfaces for the Internet of Things: Invited paper. In Proceedings of the IEEE 2019 Int. Circuit and System Symp. (ICSyS), Kuala Lumpur, Malaysia, 18–19 September 2019; pp. 1–5. [Google Scholar]
- de Aguirre, P.C.C.; Bonizzoni, E.; Maloberti, F.; Susin, A.A. A 170.7-dB FoM-DR 0.45/0.6-V Inverter-Based Continuous-Time Sigma–Delta Modulator. IEEE Trans. Circuits Syst. II 2020, 67, 8,1384–1388. [Google Scholar] [CrossRef]
- Aiello, O.; Crovetti, P.; Alioto, M. Fully Synthesizable Low-Area Analogue-to-Digital Converters with Minimal Design Effort Based on the Dyadic Digital Pulse Modulation. IEEE Access 2020, 8, 70890–70899. [Google Scholar] [CrossRef]
- Aiello, O.; Crovetti, P.; Alioto, M. Capacitance-to-Digital Converter for Operation under Uncertain Harvested Voltage down to 0.3V with No Trimming, Reference and Voltage Regulation. In Proceedings of the IEEE 2021 International Solid-State Circuits Conference (ISSCC 2021), San Francisco, CA, USA, 13–22 February 2021; pp. 74–76. [Google Scholar]
- Aiello, O.; Crovetti, P.; Toledo, P.; Alioto, M. Rail-to-rail dynamic voltage comparator scalable down to pw-range power and 0.15-v supply. IEEE Trans. Circuits Syst. II 2021. [Google Scholar] [CrossRef]
- Richelli, A.; Colalongo, L.; Kovacs-Vajna, Z.; Calvetti, G.; Ferrari, D.; Finanzini, M.; Pinetti, S.; Prevosti, E.; Savoldelli, J.; Scarlassara, S. A Survey of Low Voltage and Low Power Amplifier Topologies. J. Low Power Electron. Appl. 2018, 8, 22. [Google Scholar] [CrossRef]
- Nauta, B. A CMOS transconductance-C filter technique for very high frequencies. IEEE J. Solid-State Circuits 1992, 27, 142–153. [Google Scholar] [CrossRef]
- Barthelemy, H.; Meillere, S.; Gaubert, J.; Dehaese, N.; Bourdel, S. OTA based on CMOS inverters and application in the design of tunable bandpass filter. Analog Integr. Circuits Signal Process. 2008, 57, 169–178. [Google Scholar] [CrossRef]
- Vlassis, S. 0.5 V CMOS inverter-based tunable transconductor. Analog Integr. Circuits Signal Process. 2012, 72, 289–292. [Google Scholar] [CrossRef]
- Vieru, R.G.; Ghinea, R. An ultra low voltage sigma delta modulator with inverter based scalable amplifier. In Proceedings of the 2012 10th International Symposium on Electronics and Telecommunications, Timisoara, Romania, 15–16 November 2012; pp. 3–6. [Google Scholar]
- Khateb, F.; Kulej, T.; Vlassis, S. Extremely low-voltage bulk-driven tunable transconductor. Circuits Syst. Signal Process. 2017, 36, 511–524. [Google Scholar] [CrossRef]
- Centurelli, F.; Della Sala, R.; Scotti, G.; Trifiletti, A. A 0.3 V, Rail-to-Rail, Ultralow-Power, Non-Tailed, Body-Driven, Sub-Threshold Amplifier. Appl. Sci. 2021, 11, 2528. [Google Scholar] [CrossRef]
- Kulej, T.; Khateb, F. A 0.3-V 98-dB Rail-to-Rail OTA in 0.18 μm CMOS. IEEE Access 2020, 8, 27459–27467. [Google Scholar]
- Baghtash, H.F. A 0.4 V, body-driven, fully differential, tail-less OTA based on current push-pull. Microelectron. J. 2020, 99, 104768. [Google Scholar]
- Rodovalho, L.H.; Aiello, O.; Rodrigues, C.R. Ultra-Low-Voltage Inverter-Based Operational Transconductance Amplifiers with Voltage Gain Enhancement by Improved Composite Transistors. Electronics 2020, 9, 1410. [Google Scholar] [CrossRef]
- Niranjan, V.; Kumar, A.; Jain, S.B. Composite transistor cell using dynamic body bias for high gain and low-voltage applications. J. Circuits Syst. Comput. 2014, 23, 1450108. [Google Scholar] [CrossRef]
- Rodovalho, L.H. Push–pull based operational transconductor amplifier topologies for ultra low voltage supplies. Analog. Integr. Circuits Signal Process. 2020, 1–14. [Google Scholar] [CrossRef]
- Schneider, M.C.; Galup-Montoro, C. CMOS Analog Design Using All-Region MOSFET Modeling; Cambridge University Press: Cambridge, UK, 2010. [Google Scholar]
- Galup-Montoro, C.; Schneider, M.C.; Loss, I.J. Series-parallel association of FET’s for high gain and high frequency applications. IEEE J. Solid-State Circuits 1994, 29, 1094–1101. [Google Scholar] [CrossRef]
- Braga, R.A.; Ferreira, L.H.; Coletta, G.D.; Dutra, O.O. A 0.25-V calibration-less inverter-based ota for low-frequency gm-c applications. Microelectron. J. 2019, 83, 62–72. [Google Scholar] [CrossRef]
- Lindert, N.; Sugii, T.; Tang, S.; Hu, C. Dynamic threshold pass-transistor logic for improved delay at lower power supply voltages. IEEE J. Solid-State Circuits 1999, 34, 85–89. [Google Scholar] [CrossRef]
- Clerc, S. The Fourth Terminal: Benefits of Body-Biasing Techniques for FDSOI Circuits and Systems; Springer Nature: Berlin/Heidelberg, Germany, 2020. [Google Scholar]
- Toledo, P.; Aiello, O.; Crovetti, P. A 300mV-Supply Standard-Cell-Based OTA with Digital PWM Offset Calibration. In Proceedings of the IEEE Nordic Conference of Circuits and Systems, Helsinki, Finland, 29–30 October 2019. [Google Scholar]
- Chatterjee, S.; Tsividis, Y.; Kinget, P. 0.5-V analog circuit techniques and their application in OTA and filter design. IEEE J. Solid-State Circuits 2005, 40, 2373–2387. [Google Scholar] [CrossRef]
- Toledo, P.; Crovetti, P.; Aiello, O.; Alioto, M. Fully-Digital Rail-to-Rail OTA with Sub-1,000 μm2 Area, 250-mV Minimum Supply and nW Power at 150-pF Load in 180 nm. IEEE Solid-State Circuits Lett. 2020, 3, 474–477. [Google Scholar] [CrossRef]
- Lv, L.; Zhou, X.; Qiao, Z.; Li, Q. Inverter-Based Subthreshold Amplifier Techniques and Their Application in 0.3-V Delta Sigma Modulators. IEEE J. Solid-State Circuits 2019, 54, 1436–1445. [Google Scholar] [CrossRef]
- Manfredini, G.; Catania, A.; Benvenuti, L.; Cicalini, M.; Piotto, M.; Bruschi, P. Ultra-Low-Voltage Inverter-Based Amplifier with Novel Common-Mode Stabilization Loop. Electronics 2020, 9, 1019. [Google Scholar] [CrossRef]
- Ferreira, L.H.; Sonkusale, S.R. A 60-dB gain OTA operating at 0.25-V power supply in 130-nm digital CMOS process. IEEE Trans. Circuits Syst. I Regul. Pap. 2014, 61, 1609–1617. [Google Scholar] [CrossRef]
- Abdelfattah, O.; Roberts, G.W.; Shih, I.; Shih, Y.C. An ultra-low-voltage CMOS process-insensitive self-biased OTA with rail-to-rail input range. IEEE Trans. Circuits Syst. I Regul. Pap. 2015, 62, 2380–2390. [Google Scholar] [CrossRef]
- Veldandi, H.; Shaik, R.A. A 0.3-v pseudo-differential bulk-input ota for low-frequency applications. Circuits Syst. Signal Process. 2018, 37, 5199–5221. [Google Scholar] [CrossRef]




















| (V) | GBW (kHz) | IT (nA) | FoM (V−1) | AV (dB) | VOS (mV) | Power (nW) | |
|---|---|---|---|---|---|---|---|
| TT | 0.3 | 0.209 | 0.911 | 229 | 54 | 0.002 | 0.273 |
| 0.6 | 14.95 | 67.95 | 220 | 73 | 0.003 | 40.77 | |
| SS | 0.3 | 0.070 | 0.307 | 227 | 54 | −0.020 | 0.092 |
| 0.6 | 5.188 | 23.24 | 223 | 72 | 0.001 | 13.94 | |
| SF | 0.3 | 0.338 | 1.414 | 239 | 54 | 0.338 | 0.424 |
| 0.6 | 25.35 | 113.8 | 223 | 73 | 0.018 | 68.26 | |
| FS | 0.3 | 0.241 | 1.097 | 220 | 53 | −0.564 | 0.329 |
| 0.6 | 15.25 | 73.47 | 208 | 73 | −0.010 | 44.08 | |
| FF | 0.3 | 0.615 | 2.642 | 233 | 53 | 0.025 | 0.793 |
| 0.6 | 42.49 | 195.9 | 217 | 72 | 0.006 | 117.5 |
| GBW (kHz) | IT (nA) | FoM (V−1) | AV (dB) | VOS (mV) | Power (nW) | ||||||||
|---|---|---|---|---|---|---|---|---|---|---|---|---|---|
| (V) | |||||||||||||
| Proc. | 0.3 | 0.228 | 0.080 | 0.992 | 0.339 | 229 | 4 | 54 | 0.2 | 0.002 | 0.006 | 0.297 | 0.101 |
| 0.6 | 16.25 | 5.630 | 74.01 | 25.68 | 220 | 3 | 73 | 0.4 | 0.003 | 0.004 | 44.40 | 15.41 | |
| Mis. | 0.3 | 0.210 | 0.009 | 0.915 | 0.020 | 230 | 8 | 54 | 0.6 | 0.060 | 2.984 | 0.275 | 0.006 |
| 0.6 | 15.05 | 0.602 | 68.27 | 1.567 | 220 | 7 | 73 | 0.3 | 0.038 | 3.034 | 40.96 | 0.940 | |
| All | 0.3 | 0.230 | 0.080 | 1.000 | 0.334 | 230 | 9 | 54 | 0.6 | 0.008 | 2.918 | 0.299 | 0.100 |
| 0.6 | 16.34 | 5.678 | 74.27 | 25.48 | 220 | 8 | 73 | 0.7 | 0.060 | 2.955 | 44.56 | 15.29 | |
| [28] + | [30] * | [24] + | [27] * | [29] | [31] * | [21] * | [28] + | [32] + | [33] + | [34] * | [18] * | [19] * | This Work * | Unit | ||
|---|---|---|---|---|---|---|---|---|---|---|---|---|---|---|---|---|
| Technology | 180 | 130 | 130 | 180 | 130 | 180 | 180 | 180 | 130 | 65 | 65 | 180 | 180 | 180 | nm | |
| Input | GD | GD | GD | GD | GD | GD | GD | BD | BD | BD | BD | BD | GD | GD | - | |
| Output | FD | FD | FD | SE | SE | FD | FD | FD | SE | FD | SE | FD | SE | SE | - | |
| N. of Stages | 2 | 2 | 1 | 2 | 2 | 1 | 1 | 2 | 2 | 3 | 2 | 2 | 1 | 1 | - | |
| Die Area | 17,000 | - | 52,000 | 1426 | 982 | 800 | - | 26,000 | 83,000 | 5000 | 3000 | 5000 | 727 | 1026 | μm2 | |
| VDD | 0.5 | 0.3 | 0.25 | 0.3 | 0.3 | 0.3 | 0.5 | 0.5 | 0.25 | 0.35 | 0.3 | 0.4 | 0.3 | 0.3 | 0.6 | V |
| Power | 75,000 | 1800 | 55 | 2 | 2.4 | 10.5 | 140 | 17,000 | 18 | 17,000 | 51 | 300 | 0.50 | 0.273 | 40.8 | nW |
| Voltage Gain | 62 | 50 | 25 | 35 | 30 | 23 | 64 | 52 | 60 | 43 | 60 | 81 | 51 | 54 | 73 | dB |
| V. Gain/ N. Stages | 31 | 25 | 25 | 18 | 15 | 23 | 64 | 26 | 30 | 14 | 30 | 41 | 51 | 54 | 73 | dB |
| CMRR | 75 | - | 43 | - | - | - | 54 | 78 | - | 46 | 126 | 126 | 37 | 54 | 73 | dB |
| PSRR | 81 | - | 47 | - | - | - | 51 | 76 | - | 35 | 90 | 79 | 41 | 59 | 79 | dB |
| Offset Voltage | 6.0 | - | - | - | - | - | - | 9.0 | 8.4 | - | 7.3 | - | 5.4 | 8.7 | 8.9 | mV |
| Input R. Noise | 225 | 38 | 139 | - | - | - | 225 | 3300 | 2820 | 213 | 809 | 2160 | 362 | nV/ | ||
| THD | 1 | - | 0.1 | 3 | 1 | - | - | 1 | 0.2 | 0.3 | - | - | 1 | 1 | 1 | % |
| Input Range | 712 | - | 19 | 100 | 270 | - | - | 400 | 150 | - | - | - | 35 | 120 | 370 | mV |
| GBW | 10,000 | 9100 | 7.23 | 0.89 | 0.25 | 8.0 | 100 | 3600 | 1.88 | 3600 | 70 | 280.4 | 0.74 | 0.21 | 15.0 | kHz |
| Phase Margin | 60 | 76 | 90 | 76 | - | 86 | 90 | 53 | 56 | 53 | 59 | 90 | 90 | 90 | ° | |
| CL | 20 | 2 | 30 | 80 | 150 | 10 | 10 | 20 | 15 | 3 | 5 | 5 | 10 | 10 | 10 | pF |
| FoM | 133 | 303 | 143 | 1020 | 468 | 229 | 370 | 22 | 29 | 22 | 20 | 187 | 443 | 229 | 220 | V−1 |
| Voltage Gain Improvement Technique | MGS/PF | MGS | RA | DIG | DIG | - | TA | MGS/PF | MGS/PF | MGS | MGS | MGS | ICT | ICT | ICT | - |
Publisher’s Note: MDPI stays neutral with regard to jurisdictional claims in published maps and institutional affiliations. |
© 2021 by the authors. Licensee MDPI, Basel, Switzerland. This article is an open access article distributed under the terms and conditions of the Creative Commons Attribution (CC BY) license (https://creativecommons.org/licenses/by/4.0/).
Share and Cite
Rodovalho, L.H.; Ramos Rodrigues, C.; Aiello, O. Self-Biased and Supply-Voltage Scalable Inverter-Based Operational Transconductance Amplifier with Improved Composite Transistors. Electronics 2021, 10, 935. https://doi.org/10.3390/electronics10080935
Rodovalho LH, Ramos Rodrigues C, Aiello O. Self-Biased and Supply-Voltage Scalable Inverter-Based Operational Transconductance Amplifier with Improved Composite Transistors. Electronics. 2021; 10(8):935. https://doi.org/10.3390/electronics10080935
Chicago/Turabian StyleRodovalho, Luis Henrique, Cesar Ramos Rodrigues, and Orazio Aiello. 2021. "Self-Biased and Supply-Voltage Scalable Inverter-Based Operational Transconductance Amplifier with Improved Composite Transistors" Electronics 10, no. 8: 935. https://doi.org/10.3390/electronics10080935
APA StyleRodovalho, L. H., Ramos Rodrigues, C., & Aiello, O. (2021). Self-Biased and Supply-Voltage Scalable Inverter-Based Operational Transconductance Amplifier with Improved Composite Transistors. Electronics, 10(8), 935. https://doi.org/10.3390/electronics10080935

