Gate-Voltage-Modulated Spin Precession in Graphene/WS2 Field-Effect Transistors
Abstract
:1. Introduction
2. Experimental Section
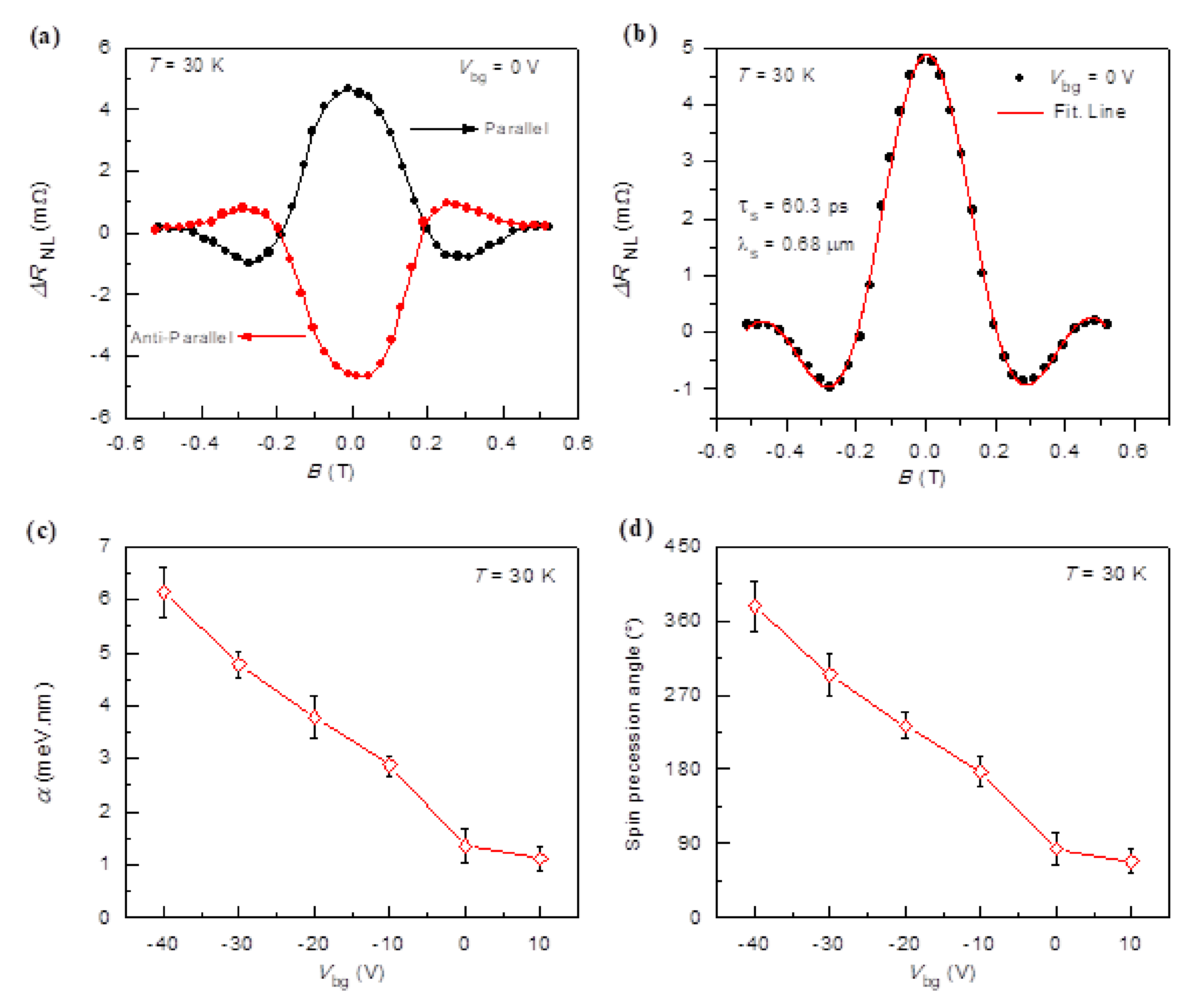
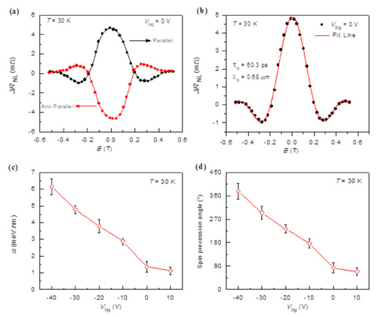
3. Results and Discussion
4. Conclusions
Supplementary Materials
Author Contributions
Funding
Conflicts of Interest
References
- Fert, A. Nobel Lecture: Origin, development, and future of spintronics. Rev. Mod. Phys. 2008, 80, 1517–1530. [Google Scholar] [CrossRef] [Green Version]
- Awschalom, D.D.; Flatté, M.E. Challenges for semiconductor spintronics. Nat. Phys. 2007, 3, 153. [Google Scholar] [CrossRef]
- Datta, S.; Das, B. Electronic analog of the electro-optic modulator. Appl. Phys. Lett. 1990, 56, 665–667. [Google Scholar] [CrossRef]
- Chuang, P.; Ho, S.-C.; Smith, L.W.; Sfigakis, F.; Pepper, M.; Chen, C.-H.; Fan, J.-C.; Griffiths, J.P.; Farrer, I.; Beere, H.E.; et al. All-electric all-semiconductor spin field-effect transistors. Nat. Nanotechnol. 2014, 10, 35. Available online: https://www.nature.com/articles/nnano.2014.296#supplementary-information (accessed on 22 December 2014). [CrossRef] [PubMed] [Green Version]
- Koo, H.C.; Kwon, J.H.; Eom, J.; Chang, J.; Han, S.H.; Johnson, M. Control of Spin Precession in a Spin-Injected Field Effect Transistor. Science 2009, 325, 1515–1518. [Google Scholar] [CrossRef] [PubMed]
- Wunderlich, J.; Park, B.-G.; Irvine, A.C.; Zârbo, L.P.; Rozkotová, E.; Nemec, P.; Novák, V.; Sinova, J.; Jungwirth, T. Spin Hall Effect Transistor. Science 2010, 330, 1801–1804. [Google Scholar] [CrossRef] [PubMed] [Green Version]
- Semenov, Y.G.; Kim, K.W.; Zavada, J.M. Spin field effect transistor with a graphene channel. Appl. Phys. Lett. 2007, 91, 153105. [Google Scholar] [CrossRef]
- Novoselov, K.S.; Geim, A.K.; Morozov, S.V.; Jiang, D.; Zhang, Y.; Dubonos, S.V.; Grigorieva, I.V.; Firsov, A.A. Electric Field Effect in Atomically Thin Carbon Films. Science 2004, 306, 666–669. [Google Scholar] [CrossRef] [Green Version]
- Wen, H.; Dery, H.; Amamou, W.; Zhu, T.; Lin, Z.; Shi, J.; Žutić, I.; Krivorotov, I.; Sham, L.J.; Kawakami, R.K. Experimental Demonstration of xor Operation in Graphene Magnetologic Gates at Room Temperature. Phys. Rev. Appl. 2016, 5, 044003. [Google Scholar] [CrossRef] [Green Version]
- Han, W.; Kawakami, R.K.; Gmitra, M.; Fabian, J. Graphene spintronics. Nat. Nanotechnol. 2014, 9, 794. [Google Scholar] [CrossRef]
- Geim, A.K.; Novoselov, K.S. The rise of graphene. Nat. Mater. 2007, 6, 183. [Google Scholar] [CrossRef]
- Panda, J.; Ramu, M.; Karis, O.; Sarkar, T.; Kamalakar, M.V. Ultimate Spin Currents in Commercial Chemical Vapor Deposited Graphene. ACS Nano 2020, 14, 12771–12780. [Google Scholar] [CrossRef]
- Calleja, F.; Ochoa, H.; Garnica, M.; Barja, S.; Navarro, J.J.; Black, A.; Otrokov, M.M.; Chulkov, E.V.; Arnau, A.; Vázquez de Parga, A.L.; et al. Spatial variation of a giant spin–orbit effect induces electron confinement in graphene on Pb islands. Nat. Phys. 2014, 11, 43. Available online: https://www.nature.com/articles/nphys3173#supplementary-information (accessed on 15 December 2014). [CrossRef]
- Balakrishnan, J.; Kok Wai Koon, G.; Jaiswal, M.; Castro Neto, A.H.; Özyilmaz, B. Colossal enhancement of spin–orbit coupling in weakly hydrogenated graphene. Nat. Phys. 2013, 9, 284. Available online: https://www.nature.com/articles/nphys2576#supplementary-information (accessed on 17 March 2013). [CrossRef] [Green Version]
- Avsar, A.; Tan, J.Y.; Taychatanapat, T.; Balakrishnan, J.; Koon, G.K.W.; Yeo, Y.; Lahiri, J.; Carvalho, A.; Rodin, A.S.; O’Farrell, E.C.T.; et al. Spin–orbit proximity effect in graphene. Nat. Commun. 2014, 5, 4875. Available online: https://www.nature.com/articles/ncomms5875#supplementary-information (accessed on 31 July 2014). [CrossRef]
- Wang, Q.H.; Kalantar-Zadeh, K.; Kis, A.; Coleman, J.N.; Strano, M.S. Electronics and optoelectronics of two-dimensional transition metal dichalcogenides. Nat. Nanotechnol. 2012, 7, 699. [Google Scholar] [CrossRef]
- Zhu, Z.Y.; Cheng, Y.C.; Schwingenschlögl, U. Giant spin-orbit-induced spin splitting in two-dimensional transition-metal dichalcogenide semiconductors. Phys. Rev. B 2011, 84, 153402. [Google Scholar] [CrossRef] [Green Version]
- Xiao, D.; Liu, G.-B.; Feng, W.; Xu, X.; Yao, W. Coupled spin and valley physics in monolayers of MoS2 and other group-VI dichalcogenides. Phys. Rev. Lett. 2012, 108, 196802. [Google Scholar] [CrossRef] [Green Version]
- Nitta, J.; Akazaki, T.; Takayanagi, H.; Enoki, T. Gate Control of Spin-Orbit Interaction in an Inverted In0.53Ga0.47 As/In0.52Al0.48As Heterostructure. Phys. Rev. Lett. 1997, 78, 1335. [Google Scholar] [CrossRef]
- Wang, Z.; Ki, D.K.; Chen, H.; Berger, H.; MacDonald, A.H.; Morpurgo, A.F. Strong interface-induced spin–orbit interaction in graphene on WS2. Nat. Commun. 2015, 6, 8339. Available online: https://www.nature.com/articles/ncomms9339#supplementary-information (accessed on 21 August 2015). [CrossRef] [Green Version]
- Wang, Z.; Ki, D.-K.; Khoo, J.Y.; Mauro, D.; Berger, H.; Levitov, L.S.; Morpurgo, A.F. Origin and Magnitude of ‘Designer’ Spin-Orbit Interaction in Graphene on Semiconducting Transition Metal Dichalcogenides. Phys. Rev. X 2016, 6, 041020. [Google Scholar] [CrossRef]
- Island, J.O.; Cui, X.; Lewandowski, C.; Khoo, J.Y.; Spanton, E.M.; Zhou, H.; Rhodes, D.; Hone, J.C.; Taniguchi, T.; Watanabe, K.; et al. Spin–orbit-driven band inversion in bilayer graphene by the van der Waals proximity effect. Nature 2019, 571, 85–89. [Google Scholar] [CrossRef] [PubMed] [Green Version]
- Safeer, C.K.; Ingla-Aynés, J.; Herling, F.; Garcia, J.H.; Vila, M.; Ontoso, N.; Calvo, M.R.; Roche, S.; Hueso, L.E.; Casanova, F. Room-Temperature Spin Hall Effect in Graphene/MoS2 van der Waals Heterostructures. Nano Lett. 2019, 19, 1074–1082. [Google Scholar] [CrossRef] [PubMed] [Green Version]
- Wakamura, T.; Wu, N.J.; Chepelianskii, A.D.; Guéron, S.; Och, M.; Ferrier, M.; Taniguchi, T.; Watanabe, K.; Mattevi, C.; Bouchiat, H. Spin-Orbit-Enhanced Robustness of Supercurrent in Graphene/WS2 Josephson Junctions. Phys. Rev. Lett. 2020, 125, 266801. [Google Scholar] [CrossRef]
- Ingla-Aynés, J.; Herling, F.; Fabian, J.; Hueso, L.E.; Casanova, F. Electrical Control of Valley-Zeeman Spin-Orbit-Coupling--Induced Spin Precession at Room Temperature. Phys. Rev. Lett. 2021, 127, 047202. [Google Scholar] [CrossRef]
- Omar, S.; Madhushankar, B.N.; van Wees, B.J. Large spin-relaxation anisotropy in bilayer-graphene/WS2 heterostructures. Phys. Rev. B 2019, 100, 155415. [Google Scholar] [CrossRef] [Green Version]
- Tiwari, P.; Srivastav, S.K.; Bid, A. Electric-Field-Tunable Valley Zeeman Effect in Bilayer Graphene Heterostructures: Realization of the Spin-Orbit Valve Effect. Phys. Rev. Lett. 2021, 126, 096801. [Google Scholar] [CrossRef]
- Afzal, A.M.; Khan, M.F.; Nazir, G.; Dastgeer, G.; Aftab, S.; Akhtar, I.; Seo, Y.; Eom, J. Gate Modulation of the Spin-orbit Interaction in Bilayer Graphene Encapsulated by WS2 films. Sci. Rep. 2018, 8, 3412. [Google Scholar] [CrossRef]
- Rashba, E.I. Theory of electrical spin injection: Tunnel contacts as a solution of the conductivity mismatch problem. Phys. Rev. B 2000, 62, R16267–R16270. [Google Scholar] [CrossRef] [Green Version]
- Schmidt, G.; Ferrand, D.; Molenkamp, L.W.; Filip, A.T.; van Wees, B.J. Fundamental obstacle for electrical spin injection from a ferromagnetic metal into a diffusive semiconductor. Phys. Rev. B 2000, 62, R4790–R4793. [Google Scholar] [CrossRef] [Green Version]
- Tombros, N.; Jozsa, C.; Popinciuc, M.; Jonkman, H.T.; van Wees, B.J. Electronic spin transport and spin precession in single graphene layers at room temperature. Nature 2007, 448, 571–574. [Google Scholar] [CrossRef] [Green Version]
- Ferrari, A.C.; Meyer, J.; Scardaci, V.; Casiraghi, C.; Lazzeri, M.; Mauri, F.; Piscanec, S.; Jiang, D.; Novoselov, K.; Roth, S. Raman spectrum of graphene and graphene layers. Phys. Rev. Lett. 2006, 97, 187401. [Google Scholar] [CrossRef] [Green Version]
- Park, Y.H.; Choi, J.W.; Kim, H.-J.; Chang, J.; Han, S.H.; Choi, H.-J.; Koo, H.C. Complementary spin transistor using a quantum well channel. Sci. Rep. 2017, 7, 46671. [Google Scholar] [CrossRef]
- Bychkov, Y.A.; Rashba, E.I. Oscillatory effects and the magnetic susceptibility of carriers in inversion layers. J. Phys. C Solid State Phys. 1984, 17, 6039. [Google Scholar] [CrossRef]
- Hikami, S.; Larkin, A.I.; Nagaoka, Y. Spin-Orbit Interaction and Magnetoresistance in the Two Dimensional Random System. Prog. Theor. Phys. 1980, 63, 707–710. [Google Scholar] [CrossRef]
- Yang, B.; Tu, M.-F.; Kim, J.; Wu, Y.; Wang, H.; Alicea, J.; Wu, R.; Bockrath, M.; Shi, J. Tunable spin–orbit coupling and symmetry-protected edge states in graphene/WS2. 2D Mater. 2016, 3, 031012. [Google Scholar] [CrossRef] [Green Version]
- Roland, W. Spin-orbit coupling effects in two-dimensional electron and hole systems. In Springer Tracts in Modern Physiscs; Springer: Berlin/Heidelberg, Germany, 2003; p. 191. [Google Scholar]
- Omar, S.; van Wees, B.J. Graphene-WS 2 heterostructures for tunable spin injection and spin transport. Phys. Rev. B 2017, 95, 081404. [Google Scholar] [CrossRef] [Green Version]
- Matsuki, K.; Ohshima, R.; Leiva, L.; Ando, Y.; Shinjo, T.; Tsuchiya, T.; Shiraishi, M. Spin transport in a lateral spin valve with a suspended Cu channel. Sci. Rep. 2020, 10, 10699. [Google Scholar] [CrossRef]
- Dankert, A.; Dash, S.P. Electrical gate control of spin current in van der Waals heterostructures at room temperature. Nat. Commun. 2017, 8, 16093. Available online: https://www.nature.com/articles/ncomms16093#supplementary-information (accessed on 25 May 2017). [CrossRef]
- Omar, S.; van Wees, B.J. Spin transport in high-mobility graphene on WS2 substrate with electric-field tunable proximity spin-orbit interaction. Phys. Rev. B 2018, 97, 045414. [Google Scholar] [CrossRef] [Green Version]
- Cummings, A.W.; Garcia, J.H.; Fabian, J.; Roche, S. Giant Spin Lifetime Anisotropy in Graphene Induced by Proximity Effects. Phys. Rev. Lett. 2017, 119, 206601. [Google Scholar] [CrossRef] [Green Version]
- Han, W.; Kawakami, R.K. Spin Relaxation in Single-Layer and Bilayer Graphene. Phys. Rev. Lett. 2011, 107, 047207. [Google Scholar] [CrossRef]
- Guimarães, M.H.D.; Zomer, P.J.; Ingla-Aynés, J.; Brant, J.C.; Tombros, N.; van Wees, B.J. Controlling Spin Relaxation in Hexagonal BN-Encapsulated Graphene with a Transverse Electric Field. Phys. Rev. Lett. 2014, 113, 086602. [Google Scholar] [CrossRef]
- Min, H.; Hill, J.E.; Sinitsyn, N.A.; Sahu, B.R.; Kleinman, L.; MacDonald, A.H. Intrinsic and Rashba spin-orbit interactions in graphene sheets. Phys. Rev. B 2006, 74, 165310. [Google Scholar] [CrossRef] [Green Version]
- Zou, K.; Hong, X.; Zhu, J. Effective mass of electrons and holes in bilayer graphene: Electron-hole asymmetry and electron-electron interaction. Phys. Rev. B 2011, 84, 085408. [Google Scholar] [CrossRef] [Green Version]



Publisher’s Note: MDPI stays neutral with regard to jurisdictional claims in published maps and institutional affiliations. |
© 2021 by the authors. Licensee MDPI, Basel, Switzerland. This article is an open access article distributed under the terms and conditions of the Creative Commons Attribution (CC BY) license (https://creativecommons.org/licenses/by/4.0/).
Share and Cite
Afzal, A.M.; Khan, M.F.; Eom, J. Gate-Voltage-Modulated Spin Precession in Graphene/WS2 Field-Effect Transistors. Electronics 2021, 10, 2879. https://doi.org/10.3390/electronics10222879
Afzal AM, Khan MF, Eom J. Gate-Voltage-Modulated Spin Precession in Graphene/WS2 Field-Effect Transistors. Electronics. 2021; 10(22):2879. https://doi.org/10.3390/electronics10222879
Chicago/Turabian StyleAfzal, Amir Muhammad, Muhammad Farooq Khan, and Jonghwa Eom. 2021. "Gate-Voltage-Modulated Spin Precession in Graphene/WS2 Field-Effect Transistors" Electronics 10, no. 22: 2879. https://doi.org/10.3390/electronics10222879
APA StyleAfzal, A. M., Khan, M. F., & Eom, J. (2021). Gate-Voltage-Modulated Spin Precession in Graphene/WS2 Field-Effect Transistors. Electronics, 10(22), 2879. https://doi.org/10.3390/electronics10222879

