Social Distance Monitoring Approach Using Wearable Smart Tags
Abstract
:1. Introduction
- Reviewing the existing smart social distance monitoring systems developed recently to prevent the spread of COVID-19.
- Developing a social distance system that allows the user to monitor social distances between people.
- Testing the efficiency of the developed tags through employment in a large commercial mall in the city of Tabuk.
- Evaluating the developed social distance system through studying the users’ acceptability, overall performance, localization accuracy, and power consumption.
2. Related Works
3. Social Distance Monitoring Approach
3.1. Human Detection Module
- Positive Images: These images include the objects the Haar cascade classifier must identify (faces and eyes in our case).
- Negative Images: These images include everything else that does not contain the objects that need to be identified.
| Algorithm 1. Person Detection Algorithm. |
| Input: Array of images from Raspberry Pi camera Output: Number of persons facing the user 1: let stream is an array of stream bytes received from Pi camera 2: let img is the image formed from the set of streams 3: let gray is the gray image 4: let faces is the number of faces captured in a single frame 5: while (stream > 0) 6: image = camera.capture(stream) 7: gray = cv2.cvtColor(image, cv2.COLOR_BGR2GRAY) 8: faces = face_cascade.detectMultiScale(gray, 1.1, 5) 9: if (faces > 0) 10: return faces 11: else 12: return null 13: end |
3.2. Social Distance Estimation Module
| Algorithm 2. Distance Estimation Algorithm. |
| Input: Wavelengths emitted by the ultrasonic sensor Output: Distance values in centimeters 1: let faces is the number of faces received from Algorithm 1 2: let dist is the distance between the user and heading person 3: while (faces > 0) 4: dist = sensorVal; 5: if (dist < 100) 6: alarm_fun(faces, dist) 7: # the alarm function behaves according to the distance to the 8: # heading person and the number of heading persons 9: end |
3.3. Localization and Broadcasting Module
| Algorithm 3. SD-Tag Localization Algorithm. |
| Input: Wifi signals from the surrounding access points Output: (x, y) coordinates of the SD-Tagi 1: let accessPoint[] is an array of access points that cover SD-Tagi 2: let nAP is the total number of access points (accessPoint.length()) 3: let rssAP[] is an array of received signal strength values from accessPoint[] 4: while (nAP >= 0) 5: rssAP[nAP]=getRSS(accessPoint[nAP]) 6: nAP--; 7: return triangulateLoc(rssAP[]) 8: end |
3.4. Base-Station Processing Module
| Algorithm 4. Processing Data Algorithm at the Base Station. |
| Input: location estimation coordinates (x, y) for each SD-Tag Output: warn all SD-Tags’ users who set in a crowded sector 1: let B.S. is the base-station 2: let loc(SD_Tagi) is the 2d location coordinates for SD-Tagi 3: let nSD_Tags is the total number of operating SD-Tags 4: let facesi is the total number of faces received from SD-Tagi 5: let sectorj is a crowded area in the Park Mall 6: while(nSD_Tags > 0) 7: SD_TagnSD_Tags transmits (x, y) position to BS 8: if(SD_TagnSD_Tags € sectori) 9: transmit_warnings to SD_TagnSD_Tags 10: nSD_Tags--; 11: end |
4. Experimental Results
4.1. Experimental Testbed
4.2. Results
- User Acceptability: This shows the percentage of users’ acceptability for the overall performance of the SD-Tag while traveling inside the Park Mall.
- User Comfortability: This indicates the user comfortability towards the use of the SD-Tag in the Park Mall.
- Ease of Use: This shows how easily users can interact with the SD-Tag and be informed through simple warnings and notifications.
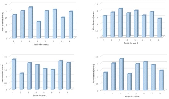
- Social Distance Accuracy: This shows the accuracy of the estimated distance between the SD-Tag user and the heading person(s).
- Localization Accuracy: This estimates the SD-Tags users’ locations, which is a significant issue, in order to position the users located in crowded places.
- Power Consumption: This estimates the total power consumption for each SD-Tag after accomplishing the shopping tasks in the Park Mall.
4.3. Discussion
- The SD-Tag offers an efficient social distancing method for maintaining social distances between people in public places, with an average accuracy of 1.69 m.
- The total cost for the developed SD-Tag is less than 25$, which helps to distribute such tags in different scenarios.
- The SD-Tag is a user-friendly device and is easy to interact with, as shown earlier in Figure 10.
- The SD-Tag achieves minimum power consumption; the tag can work for the whole day with one charge.
- The proposed social distancing monitoring system does not require that all users wear the SD-Tag, as the SD-Tag can monitor the facing area, and then estimate the number of persons in a certain area.
5. Conclusions
Author Contributions
Funding
Acknowledgments
Conflicts of Interest
References
- Sun, C.; Zhai, Z. The efficacy of social distance and ventilation effectiveness in preventing COVID-19 transmission. Sustain. Cities Soc. 2020, 62, 102390. [Google Scholar] [CrossRef] [PubMed]
- Cunha, A.O.; Loureiro, J.V.; Guimarães, R.L. Design and Development of a Wearable Device for Monitoring Social Distance using Received Signal Strength Indicator. In Proceedings of the Brazilian Symposium on Multimedia and the Web, São Luís, Brazil, 30 November–4 December 2020; pp. 57–60. [Google Scholar]
- Bian, S.; Zhou, B.; Bello, H.; Lukowicz, P. A wearable magnetic field based proximity sensing system for monitoring COVID-19 social distancing. In Proceedings of the 2020 International Symposium on Wearable Computers, Cancún, Mexico, 12–17 September 2020; pp. 22–26. [Google Scholar]
- Kobayashi, Y.; Taniguchi, Y.; Ochi, Y.; Iguchi, N. A System for Monitoring Social Distancing Using Microcomputer Modules on University Campuses. In Proceedings of the 2020 IEEE International Conference on Consumer Electronics-Asia (ICCE-Asia), Busan, Korea, 1–3 November 2020; pp. 1–4. [Google Scholar]
- Neelavathy Pari, S.; Vasu, B.; Geetha, A.V. Monitoring Social Distancing by Smart Phone App in the effect of COVID-19. Glob. J. Comput. Sci. Technol. 2020, 9, 946–953. [Google Scholar]
- Munir, M.S.; Abedin, S.F.; Hong, C.S. A risk-sensitive social distance recommendation system via Bluetooth to-wards the COVID-19 private safety. Proc. Natl. Inst. Inf. Sci. Technol. 2020, 1028–1030. [Google Scholar]
- Rajasekar, S.J.S. An Enhanced IoT Based Tracing and Tracking Model for COVID-19 Cases. SN Comput. Sci. 2021, 2, 1–4. [Google Scholar] [CrossRef] [PubMed]
- Jahmunah, V.; Sudarshan, V.K.; Oh, S.L.; Gururajan, R.; Gururajan, R.; Zhou, X.; Tao, X.; Faust, O.; Ciaccio, E.J.; Ng, K.H.; et al. Future IoT tools for COVID-19 contact tracing and prediction: A review of the state-of-the-science. IMA 2021, 31, 455–471. [Google Scholar]
- Lubis, A.F. Basari Proximity-Based COVID-19 Contact Tracing System Devices for Locally Problems Solution. In Proceedings of the 2020 3rd International Seminar on Research of Information Technology and Intelligent Systems (ISRITI), Yogyakarta, Indonesia, 10 December 2020; pp. 365–370. [Google Scholar]
- Alrashidi, M. Social Distancing in Indoor Spaces: An Intelligent Guide Based on the Internet of Things: COVID-19 as a Case Study. Computers 2020, 9, 91. [Google Scholar] [CrossRef]
- Alhmiedat, T.; Salem, A.A. A Hybrid Range-free Localization Algorithm for ZigBee Wireless Sensor Networks. Int. Arab. J. Inf. Technol. 2017, 14, 647–653. [Google Scholar]
- Sun, Y.; Zhang, X.; Wang, X.; Zhang, X. Device-free wireless localization using artificial neural networks in wireless sensor networks. Wirel. Commun. Mob. Comput. 2018, 2018. [Google Scholar] [CrossRef]
- Alhmiedat, T. May. An adaptive indoor positioning algorithm for ZigBee WSN. In Proceedings of the Fifth International Conference on the Innovative Computing Technology, Galcia, Spain, 20–22 May 2015; pp. 51–55. [Google Scholar]
- Ahmed, I.; Ahmad, M.; Rodrigues, J.J.; Jeon, G.; Din, S. A deep learning-based social distance monitoring framework for COVID-19. Sustain. Cities Soc. 2021, 65, 102571. [Google Scholar] [CrossRef] [PubMed]
- Ahmed, I.; Ahmad, M.; Jeon, G. Social distance monitoring framework using deep learning architecture to control infection transmission of COVID-19 pandemic. Sustain. Cities Soc. 2021, 69, 102777. [Google Scholar] [CrossRef] [PubMed]
- Rahim, A.; Maqbool, A.; Rana, T. Monitoring social distancing under various low light conditions with deep learning and a single motionless time of flight camera. PLoS ONE 2021, 16, e0247440. [Google Scholar] [CrossRef] [PubMed]
- Al-Khazraji, A.; Nehad, A.E. Smart Monitoring System for Physical Distancing. In Proceedings of the 2020 Second International Sustainability and Resilience Conference: Technology and Innovation in Building Designs (51154), Sakheer, Bahrain, 11–12 November 2020; pp. 1–3. [Google Scholar]
- Bashir, A.; Izhar, U.; Jones, C. IoT-Based COVID-19 SOP Compliance and Monitoring System for Businesses and Public Offices. Eng. Proc. 2020, 2, 14. [Google Scholar]
- Yang, D.; Yurtsever, E.; Renganathan, V.; Redmill, K.; Özgüner, Ü. A Vision-Based Social Distancing and Critical Density Detection System for COVID-19. Sensors 2021, 21, 4608. [Google Scholar] [CrossRef] [PubMed]
- Chen, Z.; Fan, T.; Zhao, X.; Liang, J.; Shen, C.; Chen, H.; Manocha, D.; Pan, J.; Zhang, W. Autonomous Social Distancing in Urban Environments Using a Quadruped Robot. IEEE Access 2021, 9, 8392–8403. [Google Scholar] [CrossRef]
- Sathyamoorthy, A.J.; Patel, U.; Savle, Y.A.; Paul, M.; Manocha, D. COVID-Robot: Monitoring social distancing constraints in crowded scenarios. arXiv 2020, arXiv:2008.06585. [Google Scholar]
- Ramadass, L.; Arunachalam, S.; Sagayasree, Z. Applying deep learning algorithms to maintain social distance in a public place through drone technology. Int. J. Pervasive Comput. Commun. 2020, 16, 223–234. [Google Scholar] [CrossRef]
- Viola, P.; Jones, M. Rapid object detection using a boosted cascade of simple features. In Proceedings of the 2001 IEEE Computer Society Conference on Computer Vision and Pattern Recognition. CVPR 2001, Kauai, HI, USA, 8–14 December 2001. [Google Scholar] [CrossRef]
- Cech, J.; Soukupova, T. Real-time eye blink detection using facial landmarks. In Proceedings of the 21st Computer Vision Winter Workshop, Rimske Toplice, Slovenia, 3–5 February 2016; pp. 1–8. [Google Scholar]
- Alhmiedat, T.A.; Yang, S.H. A ZigBee-based mobile tracking system through wireless sensor networks. Int. J. Adv. Mechatron. Syst. 2008, 1, 63–70. [Google Scholar] [CrossRef] [Green Version]














| Wearable Units | Standalone Monitoring Units | ||
|---|---|---|---|
| Fixed Camera | Robots | ||
| Deployment | Easy to deploy, tags are distributed to users | Complicated, requires intensive deployment task, and clear line of sight | Easy to deploy, mobile robots are self-navigated |
| Reliability | High, depends on the employed technology | Medium, due to the presence of walls and obstacles in the area of interest | High, since the robot can navigate the area of interest |
| Coverage | High, depends on the number of available tags | Low depends on the structure of the area of interest, including walls and obstacles | Medium depends on the number of deployed robots |
| Cost | Low, depends on the technology employed in the developed tag | Medium depends on the number of installed monitoring units | High, the robotics technology is still high in cost |
| Maintenance | Easy to maintain, failed tags can be easily replaced | Hard to maintain, monitoring units usually deployed in unreachable positions | Hard to maintain, robot systems are complicated |
| Component | Model Name |
|---|---|
| Processor | Raspberry pi zero w 1-GHz single core |
| camera | Raspberry pi camera V1.3 |
| Range finder sensor | LV-MaxSonar-EZ0 |
| Power supply | 330 mAH |
| Camera resolution | 280, 160 |
| Specification | Details |
|---|---|
| Camera name | Raspberry pi camera V1.3 |
| Resolution | 5 megapixels |
| CCD size | ¼ inch |
| Field of view | 150 degree |
| Sensor best resolution | 1080p |
Publisher’s Note: MDPI stays neutral with regard to jurisdictional claims in published maps and institutional affiliations. |
© 2021 by the authors. Licensee MDPI, Basel, Switzerland. This article is an open access article distributed under the terms and conditions of the Creative Commons Attribution (CC BY) license (https://creativecommons.org/licenses/by/4.0/).
Share and Cite
Alhmiedat, T.; Aborokbah, M. Social Distance Monitoring Approach Using Wearable Smart Tags. Electronics 2021, 10, 2435. https://doi.org/10.3390/electronics10192435
Alhmiedat T, Aborokbah M. Social Distance Monitoring Approach Using Wearable Smart Tags. Electronics. 2021; 10(19):2435. https://doi.org/10.3390/electronics10192435
Chicago/Turabian StyleAlhmiedat, Tareq, and Majed Aborokbah. 2021. "Social Distance Monitoring Approach Using Wearable Smart Tags" Electronics 10, no. 19: 2435. https://doi.org/10.3390/electronics10192435
APA StyleAlhmiedat, T., & Aborokbah, M. (2021). Social Distance Monitoring Approach Using Wearable Smart Tags. Electronics, 10(19), 2435. https://doi.org/10.3390/electronics10192435

