Equivalent Circuit Modeling of a Dual-Gate Graphene FET
Abstract
1. Introduction
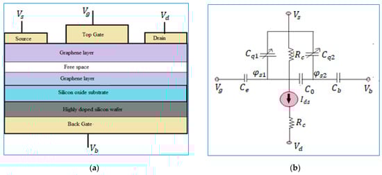
2. Materials and Methods
2.1. Calculation of Threshold Voltage and Surface Potential for Single-Layer Graphene FET
2.2. Surface Potential Calculation for Bilayer Graphene FET
2.3. Relationship between Drain Current and Voltages
2.4. Calculation of Transconductance and Transit Frequency
3. Results and Discussion
3.1. Top-Gate-to-Source Voltage Dependence on Quantum Capacitance and Surface Potential
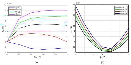
3.2. Relationship between Drain Current and Voltages
3.3. Characteristics of Transconductance and Transit Frequency
3.4. Threshold Voltage Dependence on Back-Gate-to-Source Voltage
4. Proposed Capacitive Model of Multilayer Graphene FET
5. Conclusions
Author Contributions
Funding
Institutional Review Board Statement
Informed Consent Statement
Data Availability Statement
Conflicts of Interest
References
- Iijima, S. Helical microtubules of graphitic carbon. Nature 1991, 354, 56–58. [Google Scholar] [CrossRef]
- Novoselov, K.S.; Geim, A.K.; Morozov, S.V.; Jiang, D.; Zhang, Y.; Dubonos, S.V.; Grigorieva, I.V.; Firsov, A.A. Electric Field Effect in Atomically Thin Carbon Films. Science 2004, 306, 666–669. [Google Scholar] [CrossRef] [PubMed]
- Kedzierski, J.; Hsu, P.; Healey, P.; Wyatt, P.; Keast, C.; Berger, C.; de Heer, W. Epitaxial Graphene transistors on SiC Substrates. IEEE Trans. Electron Devices 2008, 55, 2078–2085. [Google Scholar] [CrossRef]
- Han, M.Y.; Oezyilmaz, B.; Zhang, Y.; Kim, P. Energy Band-Gap Engineering of Graphene Nanoribbons. Phys. Rev. Lett. 2007, 98, 206805. [Google Scholar] [CrossRef]
- Meric, I.; Han, M.Y.; Young, A.F.; Oezyilmaz, B.; Kim, P.; Shepard, K.L. Current saturation in zero-bandgap, top-gated graphene transistors. Nat. Nanotech. 2008, 3, 654–659. [Google Scholar] [CrossRef]
- Kim, K.; Choi, J.-Y.; Kim, T.; Cho, S.-H.; Chung, H.-J. A role for graphene in silicon-based semiconductor devices. Nature 2011, 479, 338–344. [Google Scholar] [CrossRef]
- Lin, Y.-M.; Dimitrakopoulos, C.; Jenkins, K.A.; Farmer, D.B.; Chiu, H.-Y.; Grill, A.; Avouris, P. 100-GHz Transistors from Wafer-Scale Epitaxial Graphene. Science 2010, 327, 662. [Google Scholar] [CrossRef]
- Moon, J.S.; Curtis, D.; Hu, M.; Wong, D.; McGuire, C.; Campbell, P.M.; Jernigan, G.; Tedesco, J.L.; VanMill, B.; Myers-Ward, R.; et al. Stability Degradation in Bottom-gate Graphene Field-effect Transistors. IEEE Electron Device Lett. 2009, 30, 650. [Google Scholar] [CrossRef]
- Jenkins, K.A.; Lin, Y.-M.; Farmer, D.; Dimitrakopoulos, C.; Chiu, H.-Y.; Valdes-Garcia, A.; Avouris, P.; Grill, A. Graphene RF Transistor Performance. ECS Trans. 2020, 28, 3–13. [Google Scholar] [CrossRef]
- Liao, L.; Duan, X. Graphene for radio frequency electronics. Mater. Today 2012, 15, 328–338. [Google Scholar] [CrossRef]
- Novoselov, K.S.; Jiang, D.; Schedin, F.; Booth, T.J.; Khotkevich, V.V.; Morozov, S.V.; Geim, A.K. Two-dimensional atomic crystals. Proc. Natl. Acad. Sci. USA 2005, 102, 10451–10453. [Google Scholar] [CrossRef] [PubMed]
- Novoselov, K.S.; Geim, A.K.; Morozov, S.V.; Jiang, D.; Katsnelson, M.I.; Grigorieva, I.V.; Dubonos, S.V.; Firsov, A.A. Two-dimensional gas of massless Dirac fermions in graphene. Nature 2005, 438, 197–200. [Google Scholar] [CrossRef] [PubMed]
- Zhang, Y.; Tan, Y.-W.; Stormer, H.L.; Kim, P. Experimental observation of the quantum Hall effect and Berry’s phase in graphene. Nature 2005, 438, 201–204. [Google Scholar] [CrossRef]
- Bolotin, K.I.; Sikes, K.J.; Jiang, Z.; Klima, M.; Fudenberg, G.; Hone, J.; Kim, P.; Stormer, H.L. Ultrahigh electron mobility in suspended graphene. Solid State Commun. 2008, 146, 351–355. [Google Scholar] [CrossRef]
- Lee, S.; Jagannathan, B.; Narasimha, S.; Chou, A.; Zamdmer, N.; Johnson, J.; Williams, R.; Wagner, L.; Kim, J.; Plouchart, J.-O.; et al. Record RF performance of 45-nm SOI CMOS technology. In Proceedings of the 2007 IEEE International Electron Devices Meeting, Washington, DC, USA, 10–12 December 2007; pp. 568–571. [Google Scholar]
- Liao, L.; Bai, J.; Cheng, R.; Lin, Y.-C.; Jiang, S.; Qu, Y.; Huang, Y.; Duan, X. Sub-100 nm Channel Length Graphene Transistors. Nano Lett. 2010, 10, 3952–3956. [Google Scholar] [CrossRef] [PubMed]
- Adam, S.; Hwang, E.H.; Galitski, V.; Das Sarma, S. A self-consistent theory for graphene transport. Proc. Natl. Acad. Sci. USA 2007, 104, 18392–18397. [Google Scholar] [CrossRef] [PubMed]
- Robinson, J.A.; Labella, M.; Zhu, M.; Hollander, M.; Kasarda, R.; Hughes, Z.; Trumbull, K.; Cavalero, R.; Snyder, D. Contacting graphene. Appl. Phys. Lett. 2011, 98, 053103. [Google Scholar] [CrossRef]
- Nagashio, K.; Nishimura, T.; Kita, K.; Toriumi, A. Metal/graphene contact as a performance killer of ultra-high mobility graphene analysis of intrinsic mobility and contact resistance. In Proceedings of the 2009 IEEE International Electron Devices Meeting (IEDM), Baltimore, MD, USA, 7–9 December 2009; Volume 9, pp. 565–568. [Google Scholar]
- Umoh, I.J.; Kazmierski, T.J.; Al-Hashimi, B.M. A Dual-Gate Graphene FET Model for Circuit Simulation—SPICE Implementation. IEEE Trans. Nanotechnol. 2013, 12, 427–435. [Google Scholar] [CrossRef]
- Umoh, I.J.; Kazmierski, T.J.; Al-Hashimi, B.M. Multilayer Graphene FET Compact Circuit-Level Model with Temperature Effects. IEEE Trans. Nanotechnol. 2014, 13, 805–813. [Google Scholar] [CrossRef]
- Rodriguez, S.; Vaziri, S.; Smith, A.; Fregonese, S.; Östling, M.; Lemme, M.C.; Rusu, A. A Comprehensive Graphene FET Model for Circuit Design. IEEE Trans. Electron Devices 2014, 61, 1199–1206. [Google Scholar] [CrossRef]
- Cao, T.T.; Nguyen, V.C.; Nguyen, H.B.; Bui, H.T.; Vu, T.T.; Phan, N.H.; Phan, B.T.; Hoang, L.; Bayle, M.; Paillet, M.; et al. Fabrication of few-layer graphene film based field effect transistor and its application for trace-detection of herbicide atrazine. Adv. Nat. Sci. Nanosci. Nanotechnol. 2016, 7, 035007. [Google Scholar] [CrossRef]
- Krajewska, A.; Pasternak, I.; Sobon, G.; Sotor, J.; Przewloka, A.; Ciuk, T.; Sobieski, J.; Grzonka, J.; Abramski, K.M.; Strupinski, W. Fabrication and applications of multi-layer graphene stack on transparent polymer. Appl. Phys. Lett. 2017, 110, 041901. [Google Scholar] [CrossRef]
- Shen, X.; Wang, Z.; Wu, Y.; Liu, X.; He, Y.-B.; Kim, J.-K. Multilayer Graphene Enables Higher Efficiency in Improving Thermal Conductivities of Graphene/Epoxy Composites. Nano Lett. 2016, 16, 3585–3593. [Google Scholar] [CrossRef] [PubMed]
- Fang, T.; Konar, A.; Xing, H.; Jena, D. Carrier statistics and quantum capacitance of graphene sheets and ribbons. Appl. Phys. Lett. 2007, 91, 092109. [Google Scholar] [CrossRef]
- Das, A.; Pisana, S.; Chakraborty, B.; Piscanec, S.; Saha, S.K.; Waghmare, U.V.; Novoselov, K.S.; Krishnamurthy, H.R.; Geim, A.K.; Ferrari, A.C.; et al. Monitoring dopants by Raman scattering in an electrochemically top-gated graphene transistor. Nat. Nanotechnol. 2008, 3, 210–215. [Google Scholar] [CrossRef] [PubMed]
- Laitinen, A.; Paraoanu, G.S.; Oksanen, M.; Craciun, M.F.; Russo, S.; Sonin, E.; Hakonen, P. Contact doping, Klein tunneling, and asymmetry of shot noise in suspended graphene. Phys. Rev. B 2016, 93, 115413. [Google Scholar] [CrossRef]
- Brews, J. A charge-sheet model of the MOSFET. Solid-State Electron. 1978, 21, 345–355. [Google Scholar] [CrossRef]
- Gray, P.R.; Hurst, P.J.; Lewis, S.H.; Meyer, R.G. Analysis and Design of Analog Integrated Circuits, 5th ed.; Wiley: NewYork, NY, USA, 2010. [Google Scholar]
- Sze, S.M.; Ng, K.K. Physics of Semiconductor Devices; Wiley-Interscience: NewYork, NY, USA, 2007. [Google Scholar]
- Scott, B.W.; Leburton, J.-P. Modeling of the Output and Transfer Characteristics of Graphene Field-Effect Transistors. IEEE Trans. Nanotechnol. 2011, 10, 1113–1119. [Google Scholar] [CrossRef]
- Wallace, P.R. The Band Theory of Graphite. Phys. Rev. 2002, 71, 622–634. [Google Scholar] [CrossRef]








| Model Parameter | Test Value | Estimated Value |
|---|---|---|
| L (µm) | 1 | 440 |
| W (µm) | 2.1 | 1 |
| 15 | 15 | |
| 4.5 | 4.5 | |
| 16.0 | 16.0 | |
| 3.9 | 3.9 | |
| 1.45 | 1.45 | |
| 2.7 | 2.7 | |
| 600 | 700 | |
| 120 | 120 | |
| 850 | 850 | |
| +40 | +40 |
Publisher’s Note: MDPI stays neutral with regard to jurisdictional claims in published maps and institutional affiliations. |
© 2020 by the authors. Licensee MDPI, Basel, Switzerland. This article is an open access article distributed under the terms and conditions of the Creative Commons Attribution (CC BY) license (http://creativecommons.org/licenses/by/4.0/).
Share and Cite
Hasan, S.; Kouzani, A.Z.; Mahmud, M.A.P. Equivalent Circuit Modeling of a Dual-Gate Graphene FET. Electronics 2021, 10, 63. https://doi.org/10.3390/electronics10010063
Hasan S, Kouzani AZ, Mahmud MAP. Equivalent Circuit Modeling of a Dual-Gate Graphene FET. Electronics. 2021; 10(1):63. https://doi.org/10.3390/electronics10010063
Chicago/Turabian StyleHasan, Saima, Abbas Z. Kouzani, and M A Parvez Mahmud. 2021. "Equivalent Circuit Modeling of a Dual-Gate Graphene FET" Electronics 10, no. 1: 63. https://doi.org/10.3390/electronics10010063
APA StyleHasan, S., Kouzani, A. Z., & Mahmud, M. A. P. (2021). Equivalent Circuit Modeling of a Dual-Gate Graphene FET. Electronics, 10(1), 63. https://doi.org/10.3390/electronics10010063

