Security Investment and Pricing Decisions in Competitive Software Markets: Bug Bounty and In-House Strategies
Abstract
1. Introduction
2. Literature Review
2.1. Software Pricing Strategy
2.2. Cybersecurity Management
2.3. Bug Bounty Programs
3. The Model
3.1. Model Setup
3.2. Consumer Choices and Demands
- (i)
- and ,
- (ii)
- and ,
- (iii)
- and , respectively.
4. Equilibrium Decisions
4.1. No-Action Case (Strategy N)
4.2. In-House Protection Case (Strategy I)
4.3. Bug Bounty Program (Strategy B)
5. Analysis of the Strategies
5.1. Impact on the Firm Pricing Behavior
- (i)
- When the discount factor applied to the inferior firm’s service valuation is low, the superior firm sets the highest price under the bug bounty strategy, i.e., . However, when θ becomes sufficiently large, the superior firm sets the highest price under the no-action strategy, i.e., .
- (ii)
- Regardless of the value of θ, the inferior firm always sets the most expensive price under in-house security strategy, i.e., .
5.2. Impact on the Firm Cybersecurity Investment
- (i)
- Regardless of the development cost of the software service c, the superior firm always exerts greater security effort under the bug bounty strategy, i.e., .
- (ii)
- No matter how high the development cost c is, the inferior firm always exerts greater security effort under the in-house security strategy, i.e., .
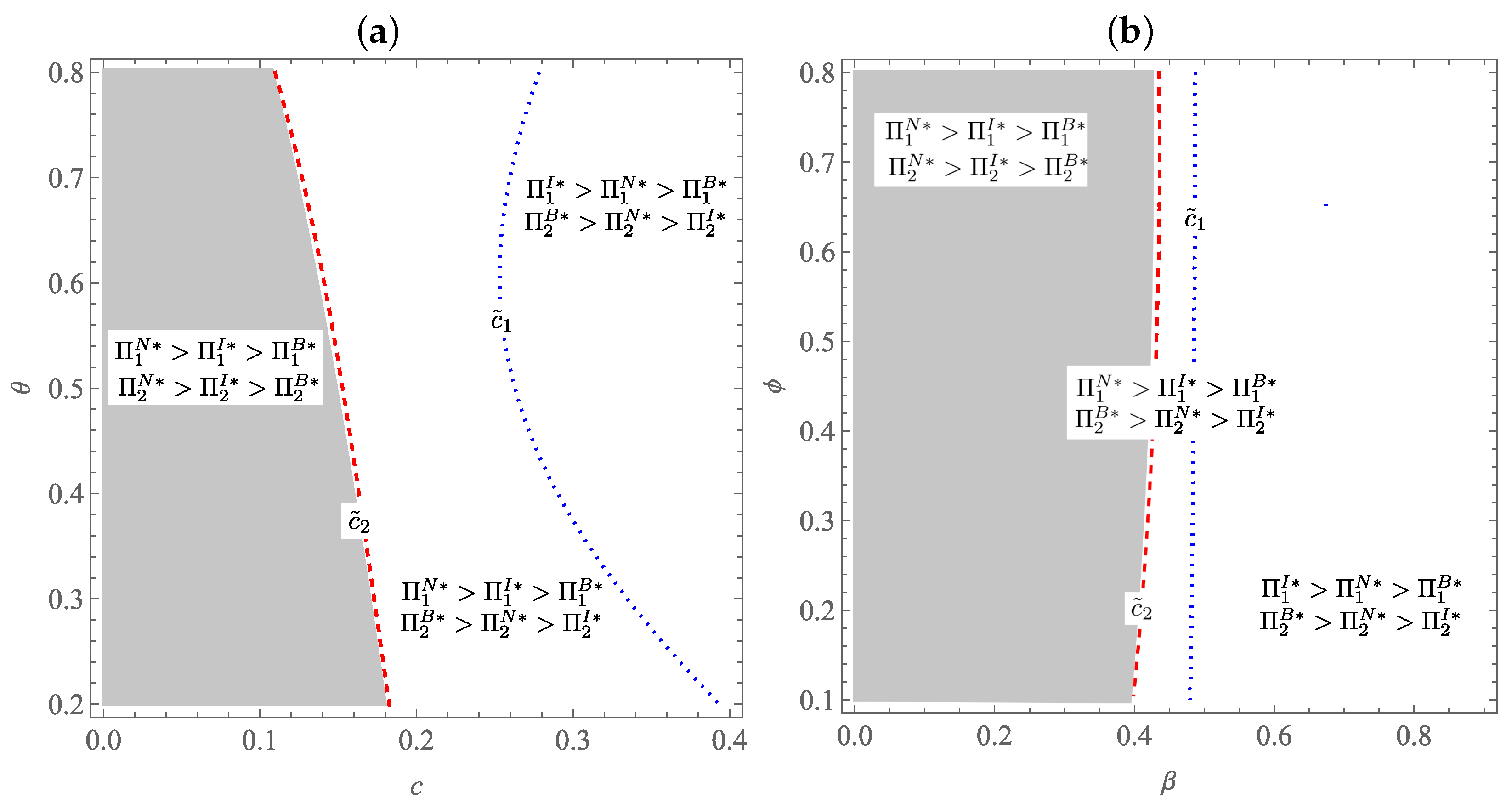
5.3. Impact on the Firm Preferences Toward the Strategies
- (i)
- For the superior firm, when the development cost of the software service is low, the no-action strategy yields the highest profit, i.e., . However, when c is high, the in-house cybersecurity strategy becomes more profitable, i.e., .
- (ii)
- For the inferior firm, when c is low, the no-action strategy yields the highest profit, i.e., . However, when c is significant, the bug bounty strategy becomes more profitable, i.e., .
- (i)
- When and .
- (ii)
- When .
- (iii)
- When and .
- (i)
- , , and .
- (ii)
- , and .
6. Discussion and Conclusions
6.1. Discussion
6.2. Managerial Implications
6.3. Conclusions
Funding
Data Availability Statement
Conflicts of Interest
Appendix A
- The discrepancy between and is
- The discrepancy between and is
- The discrepancy between and isDue towe can obtain a threshold by solving , given byThus, , if and only if (iff) .
- The discrepancy between and is
- The discrepancy between and is
- The discrepancy between and isThus, always holds.
- The discrepancy between and is
- The discrepancy between and is
References
- Anderson, R.; Moore, T. The economics of information security. Science 2006, 5799, 610. [Google Scholar] [CrossRef] [PubMed]
- Gordon, L.A.; Loeb, M.P.; Zhou, L. Investing in cybersecurity: Insights from the gordon-loeb model. J. Inf. Secur. 2016, 2, 49. [Google Scholar] [CrossRef]
- Raymond, E.S. The Cathedral & the Bazaar: Musings on Linux and Open Source by an Accidental Revolutionary, 1st ed.; O’Reilly Media: Sebastopol, CA, USA, 2001. [Google Scholar]
- Ruohonen, J.; Hyrynsalmi, S.; Leppänen, V. A mixed methods probe into the direct disclosure of software vulnerabilities. Comput. Hum. Behav. 2020, 103, 161. [Google Scholar] [CrossRef]
- Daryna, A. Google Bug Bounty Program Paid a Record $12 Million Last Year. The Record. 2023. Available online: https://therecord.media/google-bug-bounty-program-2022-12-million (accessed on 26 June 2025).
- Aanchal, G. Celebrating Ten Years of the Microsoft Bug Bounty Program and More Than $60M Awarded. Microsoft. 2023. Available online: https://msrc.microsoft.com/blog/2023/11/celebrating-ten-years-of-the-microsoft-bug-bounty-program-and-more-than-60m-awarded/ (accessed on 27 June 2025).
- Neta, O. Looking Back at Our Bug Bounty Program in 2022. Meta. 2022. Available online: https://about.fb.com/news/2022/12/metas-bug-bounty-program-2022/ (accessed on 27 June 2025).
- Davey, W. Apple Confirms iPhone Hacking Reward of $1.5 Million. Forbes. 2019. Available online: https://www.forbes.com/sites/daveywinder/2019/12/20/apple-confirms-iphone-hacking-reward-of-15-million/ (accessed on 27 June 2025).
- Robert, L. Intel: More Than 90% of Our Vulnerabilities Found via Research. Darkreading. 2021. Available online: https://www.darkreading.com/vulnerabilities-threats/intel-more-than-90-of-our-vulnerabilities-found-via-research (accessed on 27 June 2025).
- Chatfield, A.T.; Reddick, C.G. Crowdsourced cybersecurity innovation: The case of the pentagon’s vulnerability reward program. Inf. Polity 2018, 2, 177. [Google Scholar] [CrossRef]
- Walshe, T.; Simpson, A. An empirical study of bug bounty programs. In Proceedings of the 2020 IEEE 2nd International Workshop on Intelligent Bug Fixing (IBF), London, ON, Canada, 18 February 2020; p. 45. [Google Scholar]
- Zhao, M.; Laszka, A.; Grossklags, J. Devising effective policies for bug-bounty platforms and security vulnerability discovery. J. Inf. Policy 2017, 7, 372. [Google Scholar] [CrossRef][Green Version]
- Fielder, A.; Panaousis, E.; Malacaria, P.; Hankin, C.; Smeraldi, F. Decision support approaches for cyber security investment. Decis. Support Syst. 2016, 86, 13. [Google Scholar] [CrossRef]
- Feng, N.; Zhou, T.; Feng, H.; Li, M. Optimal launch timing of bug bounty programs for software products under different licensing models. J. Assoc. Inf. Syst. 2024, 2, 239. [Google Scholar] [CrossRef]
- Trello. Operations and Security. Atlassian. 2025. Available online: https://trello.com/legal/security (accessed on 18 February 2025).
- Michael, C.; Sri, T. Introducing Google Cloud’s New Vulnerability Reward Program. Google Clound. 2024. Available online: https://cloud.google.com/blog/products/identity-security/google-cloud-launches-new-vulnerability-rewards-program (accessed on 18 February 2025).
- Dropbox. Bug Bounty Program. Dropbox.Tach. 2025. Available online: https://dropbox.tech/tag-results.bug-bounty-program (accessed on 18 February 2025).
- Lexi, C. The Biggest Security Risks to Your Salesforce Org. Varonis. 2023. Available online: https://www.varonis.com/blog/security-risks-to-your-salesforce-org (accessed on 18 February 2025).
- Chen, W.; Zou, Y. Why zoom is not doomed yet: Privacy and security crisis response in the COVID-19 pandemic. Am. Behav. Sci. 2023, 00027642231155367. [Google Scholar] [CrossRef]
- Feng, H.; Jiang, Z.; Liu, D. Quality, pricing, and release time. MIS Q. 2018, 1, 333. [Google Scholar] [CrossRef]
- Guo, Z.; Ma, D. A model of competition between perpetual software and software as a service. MIS Q. 2018, 1, 101. [Google Scholar] [CrossRef]
- Zhang, Z. Competitive pricing strategies for software and saas products. Inf. Manag. 2020, 8, 103367. [Google Scholar] [CrossRef]
- Zhang, Z.; Nan, G.; Li, M.; Tan, Y. Competitive entry of information goods under quality uncertainty. Manag. Sci. 2022, 4, 2869. [Google Scholar] [CrossRef]
- Sun, Y.; Wang, Z.-J.; Deveci, M.; Chen, Z.-S. Optimal releasing strategy of enterprise software firms facing the competition from cloud providers. Expert Syst. Appl. 2024, 236, 121264. [Google Scholar] [CrossRef]
- Tang, H.; Ai, X.; He, H.; Guo, S. Business expansion strategy of two competing software platforms: Envelopment vs. connection. Electron. Commer. Res. 2024, 4, 2239. [Google Scholar] [CrossRef]
- Lee, C.H.; Geng, X.; Raghunathan, S. Mandatory standards and organizational information security. Inf. Syst. Res. 2016, 1, 70. [Google Scholar] [CrossRef]
- Feng, N.; Chen, Y.; Feng, H.; Li, D.; Li, M. To outsource or not: The impact of information leakage risk on information security strategy. Inf. Manag. 2020, 5, 103215. [Google Scholar] [CrossRef]
- Li, H.; Yoo, S.; Kettinger, W.J. The roles of it strategies and security investments in reducing organizational security breaches. J. Manag. Inf. 2021, 1, 222. [Google Scholar] [CrossRef]
- Wu, Y.; Tayi, G.K.; Feng, G.; Fung, R.Y. Managing information security outsourcing in a dynamic cooperation environment. J. Assoc. Inf. Syst. 2021, 3, 2. [Google Scholar] [CrossRef]
- Aljaradat, A.; Sarkar, G.; Shukla, S.K. Modelling cybersecurity impacts on digital payment adoption: A game theoretic approach. J. Econ. Criminol. 2024, 5, 100089. [Google Scholar] [CrossRef]
- Maillart, T.; Zhao, M.; Grossklags, J.; Chuang, J. Given enough eyeballs, all bugs are shallow? revisiting eric raymond with bug bounty programs. J. Cybersecur. 2017, 2, 81. [Google Scholar] [CrossRef]
- Subramanian, H.C.; Malladi, S. Bug bounty marketplaces and enabling responsible vulnerability disclosure: An empirical analysis. J. Database Manag. 2021, 1, 38. [Google Scholar] [CrossRef]
- Akgul, O.; Eghtesad, T.; Elazari, A.; Gnawali, O.; Grossklags, J.; Mazurek, M.L.; Votipka, D.; Laszka, A. Bug {Hunters’} perspectives on the challenges and benefits of the bug bounty ecosystem. In Proceedings of the 32nd USENIX Security Symposium (USENIX Security 23), Anaheim, CA, USA, 9–11 August 2023; p. 2275. [Google Scholar]
- Zhang, L.; Demirezen, E.M.; Kumar, S. How to make my bug bounty cost-effective? A game-theoretical model. Inf. Syst. Res. 2024, 36, 1031–1053. [Google Scholar] [CrossRef]
- Wu, C.H.; Chamnisampan, N.; Sin, L. Freemium vs. Deterrence: Optimizing revenue in the face of piracy competition. J. Bus. Res. 2025, 194, 115354. [Google Scholar] [CrossRef]
- Chiang, W.-y.K.; Chhajed, D.; Hess, J.D. Direct marketing, indirect profits: A strategic analysis of dual-channel supply-chain design. Manag. Sci. 2003, 1, 1. [Google Scholar] [CrossRef]
- McWilliams, B. Money-back guarantees: Helping the low-quality retailer. Manag. Sci. 2012, 8, 1521. [Google Scholar] [CrossRef]
- Chamnisampan, N.; Wu, C.-H. Frenemies: Exploring interfirm credit between an incumbent and a capital-constrained startup. Int. Trans. Oper. Res. 2024. [Google Scholar] [CrossRef]
- Zhu, F.; Iansiti, M. Entry into platform-based markets. Strateg. Manag. 2012, 1, 88. [Google Scholar] [CrossRef]
- Pepall, L.M.; Richards, D.J. The simple economics of brand stretching. J. Bus. 2002, 3, 535. [Google Scholar] [CrossRef]
- Emily, B. SOC 2 vs. ISO 27001: What’s the Difference and Which Standard Do You Need? Secureframe. 2024. Available online: https://secureframe.com/blog/soc-2-vs-iso-27001 (accessed on 1 July 2025).
- Dropbox. ISO Certification. Dropbox. 2025. Available online: https://www.dropbox.com/business/trust/compliance/certifications-compliance (accessed on 27 June 2025).
- Raymond, C. How to Leverage Cybersecurity Audits to Enhance Customer Confidence Decrypt Compliance. Vocal. 2025. Available online: https://vocal.media/01/how-to-leverage-cybersecurity-audits-to-enhance-customer-confidence-decrypt-compliance (accessed on 27 June 2025).
- Shulman, J.D.; Geng, X. Add-on pricing by asymmetric firms. Manag. Sci. 2013, 4, 899. [Google Scholar] [CrossRef]
- Wu, D.; Nan, G.; Li, M. Optimal software upgrade strategy: Should we sell products or premium services in the presence of piracy? Electron. Commer. Res. Appl. 2018, 28, 219. [Google Scholar] [CrossRef]
- Walden, J.; Stuckman, J.; Scandariato, R. Predicting vulnerable components: Software metrics vs text mining. In Proceedings of the 2014 IEEE 25th International Symposium on Software Reliability Engineering, Naples, Italy, 3–6 November 2014; p. 23. [Google Scholar]



| Business | Firm | Strategy | How the Firm Deals with Cybersecurity | 
|---|---|---|---|
| Freemium [15] | Trello | No-action | Relies on third-party cloud providers (AWS, Google Cloud) for security instead of investing in dedicated cybersecurity measures. | 
| Cloud services [16] | Google Cloud | Bug Bounty | Operates a Vulnerability Reward Program (VRP) where external researchers find and report security flaws for cash rewards. | 
| Cloud services [17] | Dropbox | Bug Bounty | Uses HackerOne for bug bounty programs, paying external ethical hackers to identify vulnerabilities. | 
| Software & CRM [18] | Salesforce | In-House | Employs internal security teams to handle cybersecurity; does not use a public bug bounty program due to regulatory and compliance needs. | 
| Software & CRM [19] | Zoom (pre-pandemic) | In-House | Initially relied solely on internal security teams before increasing external security measures after cybersecurity concerns during COVID-19. | 
| Author (s) | Cyber | Bug Bounty | Firm | Player | Decision | 
|---|---|---|---|---|---|
| (Year) | Security | Program | Competition | Variable | |
| This study | ✓ | ✓ | ✓ | Software firms | Prices, in-house | 
| effort, bounty | |||||
| investment | |||||
| Fielder et al. [13] | ✓ | Security managers, | Security | ||
| attackers | investment | ||||
| Lee et al. [26] | ✓ | A firm | Compliance | ||
| investment | |||||
| Maillart et al. [31] | ✓ | BBP managers, | Engagement | ||
| Zhao et al. [12] | ✓ | ✓ | Platform, hackers | Reward policy, | |
| validation | |||||
| Feng et al. [20] | ✓ | SaaS entrants | Quality, pricing | ||
| Guo and Ma [21] | ✓ | Incumbent, entrant | Prices | ||
| Zhang [22] | ✓ | Incumbent, entrant | Prices | ||
| Zhang et al. [23] | ✓ | Incumbent, entrant | Timing, pricing | ||
| Feng et al. [27] | ✓ | Firms, MSSPs | Outsourcing level | ||
| Li et al. [28] | ✓ | Firms | Security investment | ||
| Wu et al. [29] | ✓ | Firms, MSSPs | Prices | ||
| Subramanian and Malladi [32] | ✓ | ✓ | Platform, hackers | Price, reward | |
| Aljaradat et al. [30] | ✓ | Users | Cybersecurity | ||
| effort level | |||||
| Feng et al. [14] | ✓ | ✓ | Firms | Launch strategy | |
| Sun et al. [24] | ✓ | Software firms | Prices | ||
| Tang et al. [25] | ✓ | Platforms | Prices | ||
| Zhang et al. [34] | ✓ | ✓ | Firms | Bounty cost | 
| Notation | Description | 
|---|---|
| Indices | |
| i | Index for firm, (superior firm, inferior firm, respectively) | 
| j | Index for strategies, (no-action, in-house protection, bug bounty program, | 
| respectively) | |
| Parameters | |
| The consumer’s initial utility of services | |
| The discount factor applied to the inferior firm’s service valuation, | |
| c | The development cost of software service | 
| The cost-efficiency of in-house security spending of Firm i | |
| The cost-efficiency of bug bounty spending of Firm i | |
| Potential loss of cyberattack from using Firm i’s service | |
| Firm i’s cyber attack loss from hacker unvulnerability | |
| The average benefit of user gain from bug bounty program | |
| The average benefit of user gain from in-house security | |
| The probability that a hacker ethically reports a vulnerability | |
| Decision variables | |
| Firm i’s software subscription price in Strategy j | |
| Firm i’s in-house protection effort in Strategy I | |
| Firm i’s bug bounty investment in Strategy B | |
| Disclaimer/Publisher’s Note: The statements, opinions and data contained in all publications are solely those of the individual author(s) and contributor(s) and not of MDPI and/or the editor(s). MDPI and/or the editor(s) disclaim responsibility for any injury to people or property resulting from any ideas, methods, instructions or products referred to in the content. | 
© 2025 by the author. Licensee MDPI, Basel, Switzerland. This article is an open access article distributed under the terms and conditions of the Creative Commons Attribution (CC BY) license (https://creativecommons.org/licenses/by/4.0/).
Share and Cite
Chamnisampan, N. Security Investment and Pricing Decisions in Competitive Software Markets: Bug Bounty and In-House Strategies. Systems 2025, 13, 552. https://doi.org/10.3390/systems13070552
Chamnisampan N. Security Investment and Pricing Decisions in Competitive Software Markets: Bug Bounty and In-House Strategies. Systems. 2025; 13(7):552. https://doi.org/10.3390/systems13070552
Chicago/Turabian StyleChamnisampan, Netnapha. 2025. "Security Investment and Pricing Decisions in Competitive Software Markets: Bug Bounty and In-House Strategies" Systems 13, no. 7: 552. https://doi.org/10.3390/systems13070552
APA StyleChamnisampan, N. (2025). Security Investment and Pricing Decisions in Competitive Software Markets: Bug Bounty and In-House Strategies. Systems, 13(7), 552. https://doi.org/10.3390/systems13070552
 
        


 
       