Abstract
In the big data era, global business competition focuses on industrial chain coordination. The whole rural e-commerce industry chain, as an advanced system characterized by digital transformation, is experiencing rapid growth. This paper aims to explore the evolutionary mechanism of collaborative behavior in the digital transformation of platform enterprises and participating enterprises across the whole rural e-commerce industry chain. To achieve this, this paper combines prospect theory and evolutionary game theory, introduces the value function and decision weight of prospect theory, and constructs a two-party game model between platform enterprises and participating enterprises. Based on the demonstration of the impact of individual changes in major objective factors, such as the cooperative innovation benefit coefficient, as well as major behavioral characteristic factors, such as decision-makers’ risk attitude coefficients, on enterprises’ strategic choices, we further reveal the influence of the interaction of key factors on the evolutionary results through case simulations. The findings indicate that when the behavior characteristics of the players are introduced, the threshold interval of the cost–benefit ratio of the two sides to reach the optimal state of decision-making is obviously reduced. Under moderate risk attitudes and degrees of loss sensitivity, enhancing the resource absorption capacity of enterprises in the chain and reducing the potential risk loss of platform enterprises to alleviate the influence of subjective behavior characteristics on cooperation willingness are effective measures. Improving innovation ability is the key factor in alleviating the negative impact of uncertainty on the decision-making of both parties. This paper is one of the few studies to integrate prospect theory with evolutionary game analysis in examining the collaborative behaviors between platform enterprises and participating enterprises. Effective strategies are proposed to promote enterprises achieving synergy.
1. Introduction
In the era of big data, the paradigm of global business competition has shifted from isolated single-point breakthroughs to confront industrial chain coordination systems [1]. Developed countries in Europe and North America possess notable advantages in the global agricultural sector, primarily due to the comprehensive nature of the agricultural industry chain and technological innovation. Cargill, one of the world’s four renowned grain enterprises, is dedicated to employing advanced digital technology to create a comprehensive industry-wide synergy model, including “agricultural integration, logistics, and financial risk management”, thereby maintaining a leading position in the global grain arena. Royal Van Zanten, a prominent Dutch flower breeding company, sustains close collaborations with suppliers, manufacturers, and logistics firms to ensure efficient management of the entire flower product lifecycle, ranging from breeding to production, processing, storage, transport, and sales. In China, the proliferation of rural e-commerce platforms, spurred by advancements in the Internet of Things, radio frequency technology, 5G, and other cutting-edge technologies, has transcended mere agricultural product sales. These platforms increasingly integrate various industrial chain segments, including agricultural production, processing, and logistics; thus, the whole industrial chain of rural e-commerce has developed [2]. For example, the Jingdong Farm initiative uses the JD Group’s expertise in big data technology, brand development, and marketing channels. It collaborates with fundamental agricultural enterprises to comprehensively oversee and manage agricultural production processes, thereby elevating management standards and product quality and facilitating a significant transformation in agricultural enterprises through whole industry chain collaboration. Additionally, Pinduoduo’s (PDD) “rural land cloud shopping” model caters to agricultural cooperatives and farmers in flower-producing regions by aggregating dispersed consumer demand in terms of time and space. This whole rural e-commerce industrial chain not only secures long-term stable orders but also assists in bridging the gap between small-scale farmers, minor products, and the national market. The successful integration of the whole rural e-commerce industrial chain can substantially propel the growth of both upstream and downstream industries. This integration effectively provides a quantitative basis for analyzing the optimal distribution of digital technology, financial resources, talent, and agricultural materials, subsequently unlocking the economic value of data and promoting the high-quality development of rural e-commerce.
The whole industrial chain of rural e-commerce is centered on core platform enterprises and brings together other participating enterprises. It is a new type of business that efficiently integrates rural resources and directly connects agricultural product producers and consumers through modern information technology [3]. Under these circumstances, platform enterprises play a central role. They not only provide trading platforms but also guide upstream and downstream enterprises in the industrial chain to cooperate and jointly improve the level of products and services through data market forecasting and other means. Other participating enterprises play complementary roles in different links of the industrial chain according to their respective professional advantages. Platform enterprises and participating enterprises in the chain share benefits and risks. One party’s behavior leads to changes in the other party’s profit and loss and decision-making, which is ultimately related to the success or failure of the whole industry chain operation [4,5]. Cooperation between platform enterprises and participating enterprises is very important for building an efficient rural e-commerce industry chain. If the cooperation between participants is limited to only “superficial”, it will lead to difficulties in the operation of the whole industry chain or even the failure of the whole project. For example, Missfresh Limited (MF), a leading fresh OTO e-commerce platform in China, has encountered operational challenges because of its inability to establish an effective collaborative innovation relationship with suppliers, compounded by the high-performance costs associated with front-end warehouses [6]. The reason is that the market objectives of platform enterprises and chain participating enterprises are not completely consistent, and there is a coexistence of competition and cooperation. Furthermore, the coordination of the whole industrial chain of rural e-commerce consists of a series of risk cognition and behavior decisions of platform enterprises and participating enterprises in the chain. When faced with uncertainty and information asymmetry, the actor has the characteristics of bounded rationality, showing subjective cognition of information risk profit and loss, which may lead to the failure of the behavioral decision-maker [7]. Therefore, analyzing the collaborative behavior and evolution law between platform enterprises and participating enterprises from the perspective of psychological cognition and perceived value is an important research topic for realizing the digital transformation synergy of the whole industrial chain of rural e-commerce.
In recent years, academic circles have discussed rural e-commerce in terms of the following four aspects: (1) A comprehensive review of rural e-commerce practice models and unique phenomena has focused on the core attributes of information upgrading and industrial spatial clustering, exemplified by the “Taobao village” phenomenon, and the importance of synergy has been emphasized through cases [8]. (2) Analysis of the influence and mechanism of rural e-commerce on rural revitalization. Existing studies mainly discuss how to synchronize talent, resources, and policies to establish an effective mechanism for rural e-commerce to improve rural revitalization [9,10]. (3) Investigating the driving factors of rural e-commerce development, including supportive infrastructure, policy backing, and talent cultivation [11,12]. (4) Exploring the challenges and countermeasures in rural e-commerce and proposing solutions for issues such as the “last mile” dilemma, talent scarcity, and product quality [13]. However, at present, the description of multiagent collaboration in rural e-commerce is limited to a qualitative description and has not been extended to the discussion of internal collaboration among enterprises in the whole industrial chain of rural e-commerce, trailing behind practical advancements in this field. First, the whole industrial chain of rural e-commerce is a dynamic game process between platform enterprises and participating enterprises in the chain. Few studies have explored synergistic win-win solutions among platform enterprises and participating enterprises from the perspective of evolutionary games. Second, in the collaborative process of digital transformation between platform enterprises and participating enterprises, it is necessary to address not only external uncertainty but also the limited rationality of decision-making. If we use only traditional evolutionary game theory, we cannot fully explain the influence of the subjective characteristic factors of the behavior subject (such as risk aversion or preference degree, loss degree, etc.) on behavior decision-making in uncertain situations [14,15,16]. Prospect theory is a useful theory that can reflect the subjective behavior of decision-makers, interpret the value perception preference of decision-makers under uncertainty, and depict the deviation of decision-making behavior under the influence of subjective judgment [17]. Prospect theory provides a new perspective for understanding the collaborative mechanism between platform enterprises and chain-participating enterprises. However, the existing research has not combined prospect theory to study collaborative behavior.
In light of this, this paper examines the intricate interplay among platform enterprises and participating enterprises, the bounded rationality of decision-making entities and the subjective characteristic factors of the behavior subject. By integrating prospect theory and evolutionary game theory, a two-party dynamic model of the evolutionary game is constructed that incorporates the prospect value function. This paper aims to address the following key questions:
(1) How can an evolutionary game model be constructed to accurately reflect the dynamic interactions between platform enterprises and participating enterprises within the rural e-commerce industry chain while accounting for environmental uncertainties and the behavioral characteristics of decision-making entities?
(2) How do changes in key parameters, such as the collaborative innovation benefit coefficient, influence the strategic choices of platform enterprises and participating enterprises?
(3) How do the interactions among key factors, such as the behavioral characteristics of decision-making entities, collectively influence the collaborative behavior of enterprises?
By addressing these questions, this paper aims to provide theoretical support and practical guidance for collaborative innovation within the rural e-commerce industry chain, helping platform enterprises and participating enterprises optimize decision-making in complex and dynamic environments, thereby promoting the sustainable development of collaborative innovation. The potential contributions of this paper are as follows: (1) This article uncovers the “black box” of collaborative decision-making behaviors between platform enterprises and participating enterprises, elucidating their dynamic evolution characteristics and equilibrium strategy selection. Furthermore, it delves deeply into the pivotal conditions that are essential for realizing the optimal combinations of strategies aimed at achieving synergy. (2) Taking into account the characteristics of environmental uncertainty, its impact on the collaborative innovation behavior of platform enterprises and participating enterprises is incorporated into the collaborative innovation revenue function of the model. This inclusion provides a more nuanced understanding of the dynamics at play. (3) We employ prospect theory and replaces objective benefits with prospect value to construct the payoff matrix. This approach not only adjusts the biases inherent in traditional evolutionary game theory and classical expected utility theory when explaining game behaviors but also more accurately reflects the behaviors of platform enterprises and participating enterprises. This adjustment portrays the impact of subjective risk preferences on strategy selection in a more realistic manner. Consequently, it not only enriches the theoretical research on digital transformation of industrial chains but also provides theoretical insights and practical strategies.
The remainder of this paper is structured as follows: Section 2 presents a comprehensive literature review. Section 3 details the assumptions underlying the model and the construction of the game model. Section 4 focuses on numerical simulation analysis, which uses parameter sensitivity analysis to elucidate the decision-making mechanism of collaborative innovation between platform enterprises and participating enterprises. Section 5 concludes the paper, offers theoretical and managerial implications, discusses limitations, and suggests directions for future research.
2. Literature Review
2.1. Research Related to the Whole Rural E-Commerce Industrial Chain and Its Digital Transformation
An industrial chain is formed by industries performing different value creation functions around a core industry, encompassing a functional chain structure that includes producers, manufacturers, distributors, retailers, and end consumers. Industrial organization theory and firm capability theory were the first to describe the basic form of the industrial chain, enriching its connotation from perspectives such as supply chains and value chains [18,19,20,21]. With the development of the internet economy, the whole industrial chain model has emerged, built on the synergy of multiple industrial chains, representing an advanced state of the traditional industrial chain [22,23]. The COFCO Group first proposed and actively implemented the whole industrial chain operation model in 2009. This model is consumer demand-oriented, covering all links from the source of the industrial chain to product sales, ensuring product safety and traceability, and forming a comprehensive process of safe, nutritious, and healthy product supply [24,25].
As rural consumption undergoes accelerated transformation, the rural e-commerce industry structure faces the need for digital transformation and value upgrading. Leading platforms will effectively connect the entire process of rural e-commerce, closely linking other participating enterprises in the chain to jointly build the whole rural e-commerce industrial chain [26]. Digital transformation emphasizes leveraging digital technologies to drive significant changes in specific target entities based on opportunity recognition and value creation [27,28]. In this process, target entities gain new innovative momentum, creating value that was previously difficult to achieve [29]. Resources are the foundation of value creation, and capabilities are the key means to realize value [30]. Regarding the collaborative mechanism of digital transformation in the rural e-commerce industrial chain, in the era of big data, any potential supply, demand, and interaction relationships can be digitized or modeled into data resources [31,32]. Data capabilities are reflected in utilizing the characteristics of data transparency, real-time nature, and dynamic correlation. Through the connection, interaction, and analysis functions of big data, relevant entities can achieve innovation in intelligent production and operation management [33]. However, the existing literature has not clearly revealed the key factors influencing the collaboration in digital transformation of the whole industrial chain and their mechanisms.
2.2. Research Related to the Evolutionary Game of Industrial Chain Synergy
“Collaboration” was first proposed by Haken. In the long-term development process, most systems can transform subsystems from disorderly to orderly collaboration through specific laws [34]. At the macro level, the interaction and cooperation of subsystems cause the system to follow, and the synergistic effect of the system reflects the internal performance of the integrity and relevance of the system. The competitive advantage of the industrial chain depends on the synergistic effect generated by stakeholders through interaction and cooperation [35]. However, the market goals of participants in real situations are not completely consistent, and it is often difficult to achieve real collaborative innovation [36,37]. The literature predominantly highlights the complementarity and coordination of stakeholders concerning elements and functions throughout the industry chain process. However, the majority of these studies concentrate on qualitative analysis, employing research methodologies that include theoretical construction methods, case analysis, and other similar approaches [38,39], and they do not fully reflect the evolutionary game relationships among participants. Evolutionary game theory is widely used in the analysis of group behavior decision-making and provides an effective analytical tool for exploring dynamic games and evolutionary mechanisms among multiple agents in the industrial chain from a micro perspective [40]. Several studies have built an evolutionary game model for the construction waste recycling industry chain [41] and for manufacturing industry chain integration decisions [42] to explore the best strategy combinations. Table 1 compares the characteristics of rural e-commerce industry chains with those of other industrial chains. Both rural e-commerce industry chains and other industrial chains rely on the interaction and cooperation among multiple stakeholders, and both emphasize enhancing competitive advantages through collaborative strategies to benefit all participants. The difference lies in the fact that rural e-commerce faces higher uncertainty in the external environment. Additionally, there are significant differences in risk attitudes among the participants in rural e-commerce, further influencing their decision-making dynamics. However, few studies have used evolutionary game theory to explore the synergy and win-win schemes among platform enterprises and participating enterprises in the digital transformation of the rural e-commerce industry.
Table 1.
Comparison of industrial chain synergy in existing applications and rural e-commerce.
2.3. Application and Practice of Prospect Theory
Prospect theory was proposed by Kahneman in 1979. This theory is applicable for describing the subjective value perception preferences of decision-makers in uncertain situations and describing the impact of subjective judgments on decision-making behavior [14]. Prospect theory is currently employed extensively in various domains, including emergency decision-making [43], financial risk management [44,45], and medical supply management [46]. In the context of industrial chains, the application of this theory is more prevalent at the supply chain level [47,48] and has not yet been extended to include the whole industrial chain. Given the swift evolution of digital technology and the inherent uncertainties embedded within the market environment, platform enterprises and participating enterprises often demonstrate bounded rationality [3]. This constraint stems from various factors, including information asymmetry, psychological expectations, and subjective behavioral preferences, which are in line with prospect theory’s explanation of how variations in decision-makers’ risk preferences influence decision-making amidst uncertainty. Nevertheless, the application of prospect theory to analyze the collaborative digital transformation of platform enterprises and participating enterprises across the whole rural e-commerce industry chain remains a research gap.
2.4. Summary of the Literature
In summary, the existing literature provides a theoretical foundation for studying the digital transformation synergy across the whole rural e-commerce industry chain. However, there are certain research limitations. Firstly, the description of multiagent synergy in the whole industrial chain of rural e-commerce is limited to a qualitative description, which does not fully reflect the evolutionary game relationship between platform enterprises and participating enterprises, nor does it clearly reveal the key factors affecting digital transformation synergy among enterprises. Secondly, in the process of collaborative innovation of the whole rural e-commerce industry chain, complex externalities and the bounded rationality of decision-making subjects also need to be considered, whereas the current research does not consider the changes in the evolutionary relationship caused by external uncertainties and the subjective behavior characteristics of participants. Additionally, the existing research has not combined prospect theory to study collaborative behavior. To fill the above research gaps, this paper combines prospect theory and evolutionary game theory to build an evolutionary game model of digital transformation cooperation between platform enterprises and participating enterprises in the whole industrial chain of rural e-commerce. To demonstrate the influence of a single factor change on the strategy choice of game subjects, this paper further analyzes the influence law of the interaction of key factors on system evolution and stability through numerical simulation.
3. Model Construction
3.1. Scenario Description
A notable feature of rural e-commerce is its reliance on digital technology to match agricultural production with market demands while leveraging platform technology and resources to break down information and market barriers, thus fostering collaboration. During the digital transformation of the whole rural e-commerce industry chain, as the “chain master” of the whole industry chain, platform enterprises integrate rural e-commerce production resources and data elements to empower other participating enterprises in the industry chain. The enterprises participating in rural e-commerce, often SMEs such as agricultural enterprises, local e-commerce firms, and warehousing and logistics companies, typically face dual constraints of capital and technology, making independent innovation challenging. Despite their diverse functions within the chain, these enterprises exhibit a degree of complementarity and dependence on platform enterprises. They rely on the resources and technical support of the platform to realize their potential and enhance their capabilities [3,4,5]. Therefore, this paper divides the main body of the whole industrial chain of rural e-commerce into two groups: platform enterprises and participating enterprises in the chain. In this decision-making process, both platform enterprises and participating enterprises have two choices: “active participation” or “passive participation”. When participating enterprises choose “active participation”, they will have the opportunity to share the benefits of collaborative innovation and obtain potential benefits by enhancing their resource absorption capabilities. However, the implementation of these collaborative strategies necessitates incurring a certain cost associated with collaborative innovation. The platform enterprise also needs to assess its own benefits and costs, as well as potential risks, when deciding whether to actively participate. If the platform enterprise perceives that the participating enterprise possesses the ability to effectively engage in collaborative innovation and can bring long-term benefits, the platform will choose an “active participation” strategy. Conversely, if the platform enterprise deems that the participating enterprise’s capacity for innovation is lacking or the benefits of collaboration are not assured, the platform enterprise may choose either to retain its resources or to seek other potential partners.
In this dynamic game process, based on the hypothesis of a “bounded rational person”, when the two sides cooperate, they continue to optimize the game strategy with the passage of time from the perspective of pursuing the maximization of their own interests until a stable cooperative strategy is finally formed. In particular, in the context of the digital transformation of the whole industrial chain of rural e-commerce, there are external uncertainties and subjective characteristics of decision-makers, such as risk aversion, preference degree, or loss sensitivity, which also have important impacts on the behavioral decision-making of platform enterprises and participating enterprises [3,7].
Figure 1 illustrates the evolutionary game relationship. Based on Figure 1, this paper constructs an evolutionary game model. The model proposed in this paper provides a decision-making framework for both platform enterprises and participating enterprises, aiding them in seeking optimal cooperation strategies. Specifically, platform enterprises can utilize this model to evaluate the innovation potential of their partners and the long-term benefits they bring, thereby optimizing cooperation relationships and resource allocation. Furthermore, the model assists participating enterprises in understanding how to balance costs and benefits in the process of collaborative innovation and adjusting their participation strategies based on the behavior of platform enterprises.
Figure 1.
Game relationship diagram between platform enterprises and participating enterprises.
3.2. Model Assumptions
Assumption 1.
Game players and game strategies. In the whole industrial chain of rural e-commerce, two participant types exist: platform enterprises and participating enterprises. These entities are influenced by the complexity of the digital transformation environment, as well as by information asymmetry and other factors [49], and it is impossible to complete the information. Both sides are boundedly rational, and the game between participants is repeated. The cooperative strategy is chosen to constantly improve and find a satisfactory strategy in interactive learning. The strategy choices available to platform enterprises and participating enterprises encompass {active participation, passive participation}. “Active participation” signifies that platform enterprises and participating enterprises demonstrate a high level of initiative, enthusiasm, and responsibility throughout the collaboration process, ultimately leading to the achievement of synergistic benefits. Conversely, “passive participation” implies that the cooperation between the two parties remains superficial, a mode of engagement that frequently lacks substantial outcomes and may even culminate in the failure of the collaborative project. We assume that the probability of platform enterprises choosing the “active participation” strategy at time t is , the probability of choosing the “passive participation” strategy is , the probability that a participating firm chooses the “active participation” strategy is , and the probability of choosing the “passive participation” strategy is
, of which
Assumption 2.
Benefits and costs. Synergistic innovation benefits are produced by platform enterprises and participating enterprises through digital transformation [50]. These benefits depend on the degree of digital empowerment within platform enterprises and the coefficient of return on co-innovation
(). In addition to being affected by the ability of the parties to cooperate and their level of effort, the coefficient of return on synergistic innovation across the rural e-commerce industry chain, , is also affected by the rural system, technological environment, social culture and other environmental uncertainties. According to Shao et al. [51], since environmental uncertainties may be both good and bad, we assume that denotes environmental uncertainty and that indicates the impact of the innovation capacity of both parties on the benefits of cooperation (); it is possible to set the coefficient of return to co-innovation , defined as . The following is a hypothetical distribution of the benefits of collaborative innovation to platform enterprises and participating enterprises. It is assumed that the proportions of platform enterprises and participating enterprises receiving the distribution of the benefits of collaborative innovation are and , respectively, of which ; then, the platform enterprises and participating enterprises can obtain the benefits of co-innovation: and , respectively. The costs incurred by the platform firms and the participating firms in choosing collaborative innovation are and , respectively.
Assumption 3.
Potential risks and benefits. In light of the intricate complexity of the whole rural e-commerce industrial chain, characterized by dynamic turnover among its components, platform enterprises must consider the spillover risk associated with digital technology when formulating strategic decisions [52]. We assume that the digital technology spillover risk is , with a probability of occurrence of (). For participating enterprises, the digital empowerment they acquire not only leads to immediate benefits in this digital transformation but also holds the potential for long-term advantages in terms of increased levels of digital skills in the stock , where is the resource absorptive capacity coefficient () [53]. The probability that a potential gain event occurs is ().
Assumption 4.
Prospect theory. During the collaborative decision-making process between platform enterprises and participating enterprises, numerous uncertainties exist, including the intricacies of digital technology, the unpredictability of expected returns, and the risk of spillovers in resource sharing. Prospect theory posits that decision-makers act irrationally under conditions of uncertainty, not solely driven by maximizing self-utility but rather influenced by their own perceived value of strategic gains and losses [14]. As outlined by Tversky and Kahneman [17], the perceived value of platform enterprises and participating enterprises can be quantified using the value function and decision weight functions or , of which
Here, is the objective probability of event . The weighting function is the influence of on the overall effect, characterized by an inverted S distribution. The larger the value of the perception coefficient is, the less curved the curve is. is the deviation of the actual benefit to the community decision-making after the event and the reference point of reference , or . is the risk attitude coefficient and indicates the concavity of the power function of value concerning relative gains and losses. Here, represents the coefficient of aversion to earnings risk, and denotes the coefficient of preference for risk of loss.
Specifically, represents the risk aversion coefficient of platform enterprises toward cooperative benefits, represents the risk aversion coefficient of participating enterprises toward cooperative benefits, represents the risk aversion coefficient of participating enterprises toward potential benefits, represents the risk preference coefficient of platform enterprises toward collaboration costs, represents the risk preference coefficient of the participating enterprise toward collaboration costs, and represents the risk preference coefficient of platform enterprises toward potential loss. () is the loss aversion coefficient. A larger value of signifies that the decision-maker is more sensitive to perceived losses than to gains. The prospect value function is employed instead of the expected utility function to more accurately depict the impact of the psychological motivation and subjective emotions of actors in the rural e-commerce industry chain-wide digital transformation synergy on strategy selection. The reference point, , serves as the benchmark for decision-makers to evaluate profit and loss. In this case, we consider the gain when both decision-makers choose the strategies {passive participation, passive participation} as the reference point, and at this juncture, the perceived value of both parties is zero.
The main parameters are described in Table 2.
Table 2.
Description of parameters.
3.3. Model Construction
Given the aforementioned assumption and by employing prospect theory, we constructed a digital transformation synergistic evolution game model for platform enterprises and participating enterprises within the whole industry chain of rural e-commerce. The revenue prospect matrix for both sides of the game is presented in Table 3.
Table 3.
Matrix of earnings prospects.
The expected prospect value for platform enterprises choosing “active participation” is
The expected prospect value for platform enterprises choosing “passive participation” is as follows:
The average prospect value for platform enterprises is
According to Equations (1)–(3), the dynamic equation for the replication of platform enterprises is
The desired prospect value for participating enterprises choosing “active participation” is as follows:
The desired prospect value for participating enterprises choosing “passive participation” is as follows:
The average prospect for participating enterprises is as follows:
In accordance with Equations (5)–(7), the equation for the replication dynamics of the participating enterprise is as follows:
Equations (4) and (8) are connected to form the two-dimensional dynamic system of the platform enterprise and the participating enterprises:
By setting , obtains the evolutionary equilibrium points , , , , and when . ,
To replicate the dynamic equations , , we calculate the partial derivatives, obtain the Jacobi matrix , and calculate the determinants of the Jacobi matrix and :
3.4. Evolutionary Equilibrium Stability Analysis
Utilizing Friedman’s [54] Jacobian matrix judgment criteria for reference, we conduct an analysis of the partial stability of the equilibrium point; when and , it is ascertained to be an evolutionary stability strategy (ESS). The stability analysis of the partial equilibrium point is carried out in four scenarios, as depicted in Table 4. Here, , , , .
Table 4.
Stability analysis of partial equilibrium points.
Table 4 indicates that, in the initial three scenarios described above, is the only stabilization point, and {passive participation, passive participation} constitutes the evolutionary stabilization strategy. In the Scenario 4, and are the stabilization points, with {passive participation, passive participation} and {active participation, active participation} being the evolutionary stabilization strategies. Based on Table 4, we can further construct the evolutionary phase diagrams for platform enterprises and participating enterprises under four different scenarios (shown in Figure 2).
Figure 2.
Phase diagram of the evolutionary game under four scenarios.
We further explore the presence of {active participation, active participation} in which of the four scenarios and the reasons behind it through a detailed description of each scenario. (1) Scenario 1: When and , the synergistic innovation benefit is low; this situation generally occurs in the early stage of the digital transformation of the whole rural e-commerce industry chain, when the platform enterprise and the participating enterprises are in the value collision stage and when the understanding of each other’s business logic is insufficient. Both sides believe that the benefits gained through digital transformation cannot compensate for the cost and ultimately converge to a stable state after many repeated games {passive participation, passive participation}. (2) Scenario 2: When and , with the gradual development of the whole rural e-commerce industry chain, digital transformation generated high gains in co-innovation. However, when the benefit distribution factor is excessively high, participating enterprises encounter a situation where the total benefits and potential gains from co-innovation are insufficient to cover the costs. Under such circumstances, platform enterprises assume a dominant position in the industry chain, and participating enterprises confront the risk of value encroachment. For example, in the rural e-commerce industry chain dominated by large platforms, platforms and consumers often reap primary benefits, while merchant and logistics profit margins are squeezed. In the long run, this scenario can perpetuate an unequal distribution of income within the industry chain, ultimately leading to the system evolving towards a state of {passive participation, passive participation}. (3) Scenario 3: When and , the distribution of benefits from co-innovation was not reasonable at this point, although co-innovation generated large benefits (for which was too low). Platform enterprises believe that the advantages of opting for collaborative innovation outweigh the combined costs and risks associated with digital technology spillovers. Consequently, platform enterprises take actions to unilaterally modify the platform’s rules or even suppress or obstruct participating enterprises due to their perceived threat of interest. This ultimately results in the evolution of the strategy combination into the state of {passive participation, passive participation}. (4) Scenario 4: When and , the platform enterprise and participating enterprises believe that the benefits of digital transformation surpass the total costs and spillover risks. This scenario typically arises in the mature stage of the digital transformation of the rural e-commerce industry chain, where both parties share common values and trust each other. In this scenario, two evolutionary stabilization strategies emerge: {passive participation, passive participation} and {active participation, active participation}.
Through the above four scenarios, we find that only in Scenario 4 may both parties evolve to the optimal state of {active participation, active participation}. In Scenario 4, as depicted in Figure 2, , and saddle points form the whole rural e-commerce industry chain. These points evolve into a critical line marked as BEC, exhibiting different strategic directions. When the system is in the lower-right area of the critical line BEC, both platform enterprises and participating enterprises converge to . Conversely, when the system resides in the upper-right region of the critical line BEC, the system converges to point , where both platform enterprises and participating enterprises opt for the “active participation” strategy.
Since {active participation, active participation} represents the optimal state, our focus is on analyzing the key factors affecting the system’s evolution to . On the basis of pooled probability calculations, the probability of the system converging to is as follows:
Equation (13) shows that the parameters that affect the convergence of platform enterprises and participating enterprises to the optimal state include objective factors and main behavior characteristics factors. The objective factors include the early input cost of collaborative innovation income, the distribution ratio of collaborative innovation income, and uncertainty. The main behavioral characteristic factors include the risk aversion coefficient, risk preference coefficient, and loss sensitivity coefficient. According to evolutionary game theory [55], it is necessary to discuss the influence of a single parameter change on the evolutionary results. Therefore, we further discuss the single changes in the key factors that affect the convergence of the system to the optimal point .
(1) Analysis of the main objective factors
Proposition 1.
The larger the coefficient of return to co-innovation is for both sides of the game, or , the stronger the collaborative innovation motivation of both parties, and the greater the probability that the system converges to the optimal state {active participation, active participation}.
Proof.
takes the first-order derivative of the coefficient of return on co-innovation and yields
Therefore, is the increasing function of the coefficient of return on co-innovation ; as increases, the probability of system evolution to increases. This shows that when the income generated through collaboration is greater, platform enterprises and participating enterprises are more inclined to choose to actively participate in digital transformation collaboration. □
Proposition 2.
The greater the costs and incurred by platform enterprises and participating enterprises in choosing collaborative innovation strategies are, the smaller the probability that the system converges to the optimal state {active participation, active participation}.
Proof.
takes the first-order derivatives for and , respectively, and yields
Therefore, is the decreasing function of the preliminary input costs and . This shows that when platform enterprises and participating enterprises choose collaborative innovation, the higher the cost is, the more unfavorable it is for both parties to choose to actively participate in collaboration. □
Proposition 3.
The proportional distribution of the benefits of collaborative innovation has a unique optimal value that maximizes the probability that the system converges to the optimal state {active participation, active participation}.
Proof.
takes the first-order derivative for the proportional distribution of the benefits of collaborative innovation and yields
Since the proportional distributions of the benefits of collaborative innovation and probability are non-monotonic relations, taking the second-order derivative for yields
With the first-order derivative , when , the maximum value of occurs. When , the probability that the system converges to the optimal state is maximized. This shows that there is an optimal synergistic income distribution ratio that makes the system converge to the optimal state faster. A reasonable income distribution can not only stimulate the innovation power of platform enterprises but also inspire participating enterprises to participate in innovation activities more actively. □
(2) Analysis of the main behavioral characteristic factors
Proposition 4.
The greater the risk aversion coefficient of participants in the face of a gain , , and
is, the greater the probability that the system converges to the optimal state {active participation, active participation}.
Proof.
Taking the first-order derivatives for , , and yields
Therefore, is the increasing function of the return risk aversion coefficient , . This finding shows that when platform enterprises and participating enterprises face benefits, the more rational and prudent they are, the more conducive they are to positive collaborative behavior. □
Proposition 5.
The larger the coefficients of the risk preferences of participants when facing losses , , and are, the smaller the probability that the system converges to the optimal state {active participation, active participation}.
Proof.
takes the first-order derivatives for , , , respectively, and yields
Therefore, is the decreasing function of the risk preference coefficient , , . This shows that the smaller the risk preference coefficient when facing losses is, the more careful the risk assessment is, and the more beneficial it is to the occurrence of collaborative innovation behavior between the two parties. □
Proposition 6.
The smaller the loss sensitivity factor of the participants is, the greater the probability that the system converges to the optimal state {active participation, active participation}.
Proof.
takes the first-order derivatives for and yields
Therefore, is the decreasing function of the loss sensitivity factor. This shows that when the decision-making subject is less concerned about losses, it is more conducive to positive cooperation between the two sides. A smaller loss factor is helpful for cooperation and makes it easier for both parties to cooperate.
In addition to the above influencing factors, environmental uncertainties also impact the strategy choices of platform enterprises and participating enterprises within the whole industry chain of rural e-commerce. However, the influence of these uncertainties on the convergence state of the system cannot be judged intuitively, and the results are analyzed via numerical simulation for evolution. □
4. Case Analysis and Numerical Simulation
The previous analysis primarily focused on the impact of individual changes in key factors on the strategic choices of decision-makers. However, in the context of digital transformation of the whole rural e-commerce industry chain, these influencing factors are interconnected and interact in complex ways. This raises a critical question: How do the synergistic effects of key factors shape collaborative dynamics between platform enterprises and participating enterprises during the digital transformation process? The primary objective of this paper is to identify the specific conditions under which platform enterprises and participating enterprises evolve toward strategies of active participation by analyzing the synergistic effects of key factors through sensitivity analysis. According to evolutionary game theory, sensitivity analysis is an important tool for evaluating the robustness of models and the credibility of results [55]. Building on the examination of the individual effects of key factors, this paper further explores the specific parameter conditions that promote the evolution of strategies toward {active participation, active participation} for both platform enterprises and participating enterprises.
To ensure the reliability of the research results, we considered a demonstration base of the rural e-commerce industry chain located in Shandong Province, China, which focuses on the production and sales of fruit and vegetable products. Since 2019, the demonstration base has relied on the e-commerce platform to build the whole industrial chain, collaborating with other participating enterprises along the chain for digital transformation. It has successfully transferred product marketing channels to the online market. To establish the relationship between the theoretical model and the actual case, we collected operational data from the demonstration base, including cost structures, revenue streams, and digital transformation outcomes, which were used to calibrate the model parameters. On the basis of the case study, we follow the following principles to set the initial values of parameters: (1) Necessary conditions for system evolution to :, . (2) According to the experimental measurements in the classic paper by Tversky and Kahneman on prospect theory [17], the initial value of the value function is set as follows: the risk attitude coefficient , loss avoidance coefficient , and perception coefficient . The determination of these coefficients primarily relies on experimental research and statistical analysis within behavioral economics. By designing various experimental scenarios, collecting decision-making data from participants when confronted with different gains and losses, and subsequently analyzing and fitting these data using statistical methods, empirical values for these coefficients are obtained [17]. (3) Because the cost–benefit ratio (BCR) is the core basis for the decision-making of both platform enterprises and chain-participating enterprises [56], we calculated the BCR values based on the case study. According to the cost–benefit characteristics of platform enterprises and participating enterprises along with the industrial chain in the case, four groups of BCR values are set to simulate the influence of BCR changes on the system evolution results, as shown in Table 5. The values of , , and in Table 5 were derived from the operational data of the demonstration base, reflecting the actual cost structures of platform enterprises and participating enterprises. The smaller the BCR, the more mature the industrial chain, the higher the level of digital empowerment for platform enterprises, the stronger the resource absorption capacity of participating enterprises, and consequently, the higher the coefficient of collaborative innovation income for both.
Table 5.
Initial values of the parameters.
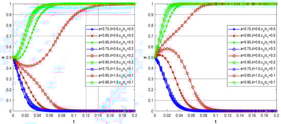
4.1. Sensitivity Analysis of Evolutionary Outcomes to Variations in the BCR
To explore the influence of the BCR on the evolution path, this paper simulates two situations: ignoring the behavioral characteristics of both decision-makers and adding the main behavioral characteristics.
First, when behavior characteristics are not considered, the influence of BCR values of 0.2, 0.4, 0.5, and 0.6 on the evolution results of platform enterprises and participating enterprises is simulated. As shown in Figure 3a,b, there is a threshold for the BCR between 0.5 and 0.6. When the BCR is lower than this threshold, both parties tend to choose “active participation” because of sufficient profit space. However, once the BCR exceeds this threshold, the high cost becomes a constraint factor, and overcoming the negative impact of cost pressure on innovation power regardless of the distribution ratio of collaborative innovation income between platform enterprises and participating enterprises is difficult.
Figure 3.
Sensitivity analysis of evolutionary outcomes to variations in the BCR. (a,b) Evolutionary outcomes without behavioral characteristics. (c,d) Evolutionary outcomes with behavioral characteristics.
Furthermore, when the behavior characteristic factors of decision-makers are added, as shown in Figure 3c,d, the threshold interval of the BCR for the evolution of the system toward active participation decreases significantly, from 0.5~0.6 intervals in (a) and (b) to 0.2~0.4 intervals. This shows that the main behavior characteristics of platform enterprises and participating enterprises are the key factors that cannot be ignored in the decision-making process. Furthermore, when the BCR is higher than this new threshold range, even if the income distribution ratio of collaborative innovation is carried out, reversing the evolution trend of both parties’ decision-making to passive participation is difficult.
4.2. Sensitivity Analysis of Evolutionary Outcomes to Behavioral Characteristic Factors of Decision-Makers
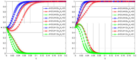
We chose the case of BCR = 0.2, in Figure 3c,d (the strategy of both parties evolved in the direction of “active participation”). The influence of the interaction between the behavior characteristics of decision-makers and the absorption capacity of potential risk resources on the evolution results is simulated by sensitivity analysis.
4.2.1. Sensitivity Analysis of Evolutionary Outcomes to the Interplay Among Risk Aversion Coefficients, Potential Risks, and Resource Absorption Capabilities
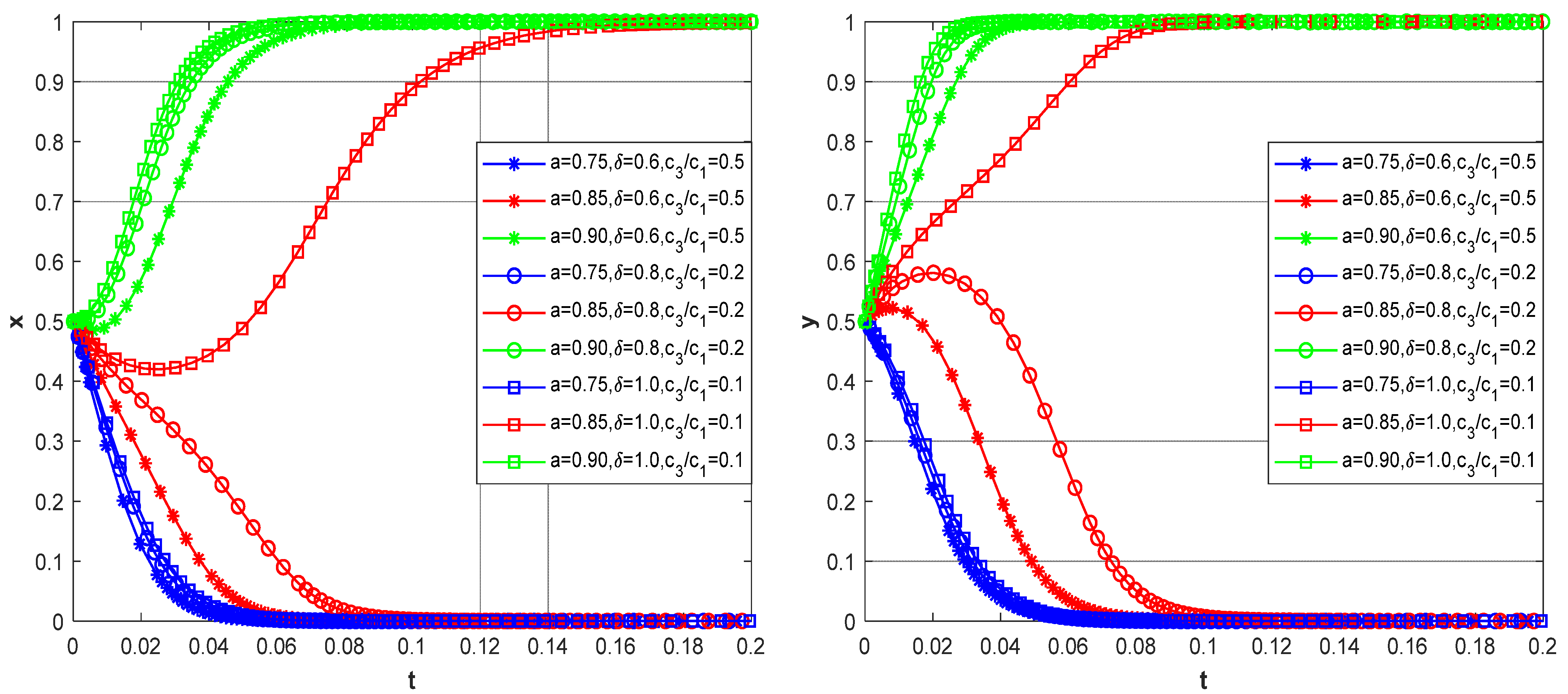
The risk aversion coefficients are set as 0.75, 0.85, and 0.9, and the adjustment effect caused by the change in the resource absorptive capacity coefficient and potential risk is considered. Figure 4 shows that with a decrease in the value of the risk aversion coefficient in the face of income, both parties show more irrational characteristics, and the risk aversion coefficient will have a negative effect on the strategic choices of both parties and even lead to strategic choices deviating from the original expected “active participation” direction and tending to “passive participation” instead.
Figure 4.
Sensitivity analysis of evolutionary outcomes to the interplay among the risk aversion coefficient, potential risks, and resource absorption capabilities.
Moreover, as the resource absorption capacity increases to a higher level and the ratio of potential risk to input cost increases, these positive factors effectively mitigate the adverse effects of the risk aversion coefficient and even completely offset this effect in some cases. Specifically, stronger resource absorptive capacity means that the participating enterprises can utilize and transform resources more effectively, thus improving the success rate and income level of strategy implementation, which weakens the necessity of risk avoidance to a certain extent. At the same time, when the ratio of potential risk to input cost is significant, the loss risk faced by platform enterprises is reduced, which further enhances their confidence in adopting active strategies. Notably, there is a threshold of the risk aversion coefficient between 0.75 and 0.85 in the face of income. When it is lower than this threshold, it reflects the psychological characteristics of risk aversion. At this time, even if the potential risk of platform enterprises or the resource absorption capacity of participating enterprises is increased, the adverse effects caused by the risk aversion coefficient cannot be effectively improved.
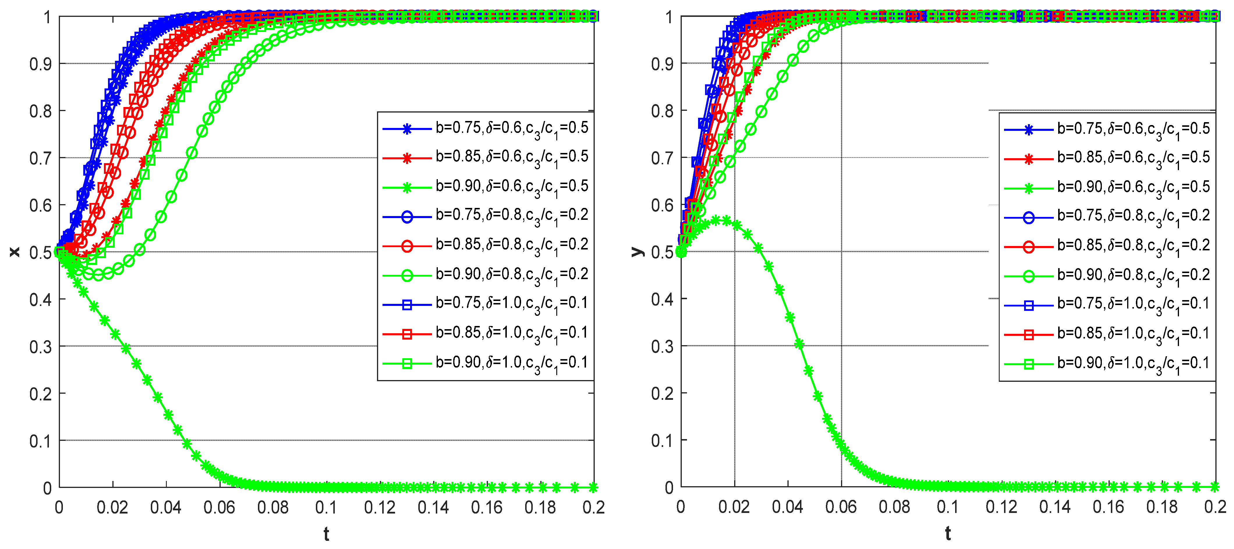
4.2.2. Sensitivity Analysis of Evolutionary Outcomes to the Interplay Among Risk Preference Coefficients, Potential Risks, and Resource Absorption Capabilities
The risk preference coefficients are set as 0.75, 0.85 and 0.9, and the adjustment effect caused by the change in the resource absorption capacity coefficient and potential risk is considered. Figure 5 shows that with the increase in the risk aversion coefficient in the face of losses, both parties present more irrational characteristics, and the risk preference coefficient has a negative effect on the strategic choices of both parties and even leads to the strategic choices deviating from the original expected “active participation” direction and tending toward “passive participation” instead. In addition, increasing the resource absorptive capacity coefficient and the ratio of potential risk to input cost can effectively alleviate the inhibitory effect of the risk preference coefficient on the willingness to “active participation”, thus guaranteeing the smooth realization of collaborative innovation.
Figure 5.
Sensitivity analysis of evolutionary outcomes to the interplay among risk preference coefficients, potential risks, and resource absorption capabilities.
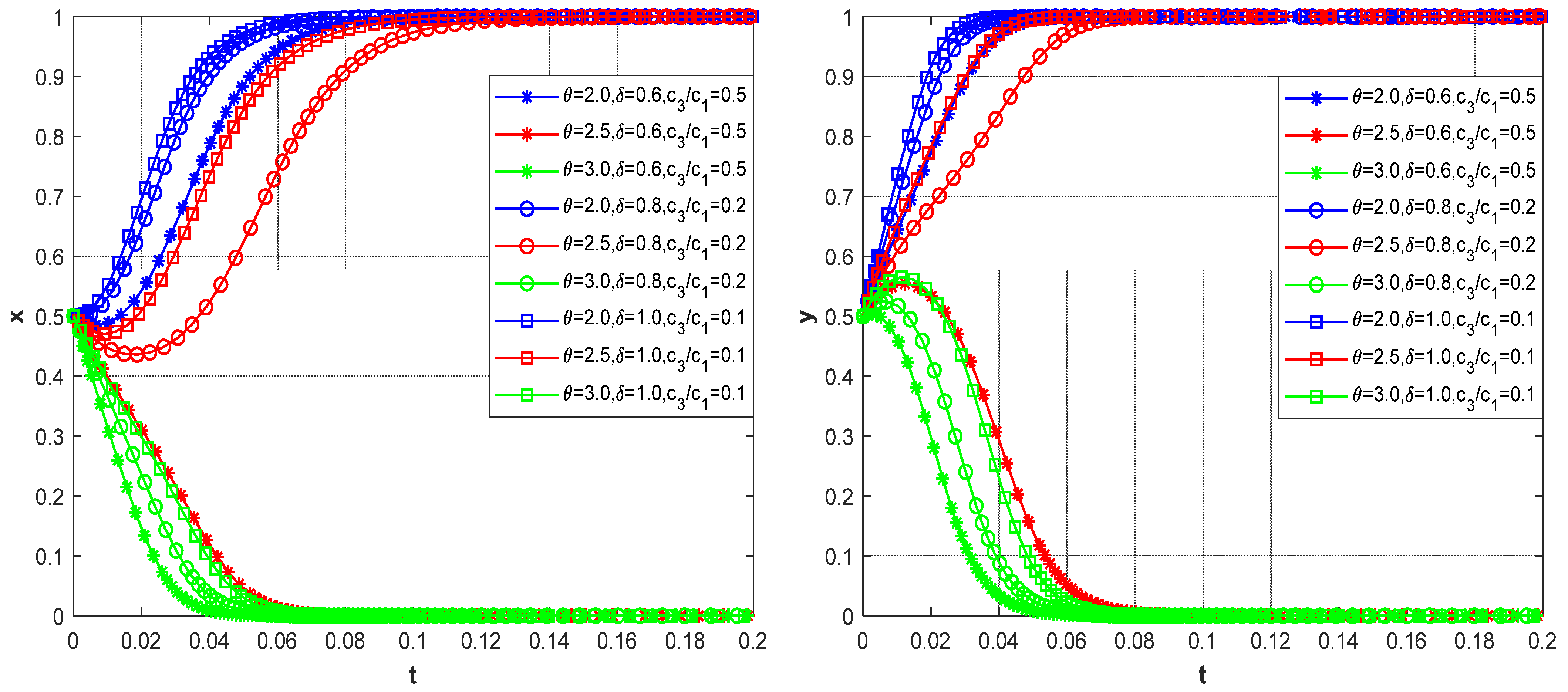
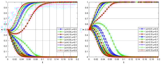
4.2.3. Sensitivity Analysis of Evolutionary Outcomes to the Interplay Among the Loss Sensitivity Factor, Potential Risks, and Resource Absorption Capabilities
The results of prospect theory research show that most people are more interested in losses than gains; that is, they have a loss effect (). The loss sensitivity coefficients are set to 2, 2.5 and 3, and the adjustment effect resulting from the change in the resource absorption capacity coefficient and potential risks is considered. Figure 6 shows that the existence of a loss sensitivity coefficient has an obvious inhibitory effect on the strategy choice of “active participation” of platform enterprises and participating enterprises, and with the increase in this coefficient, its negative effect becomes increasingly obvious.
Figure 6.
Sensitivity analysis of evolutionary outcomes to the interplay among the loss sensitivity factor, potential risks, and resource absorption capabilities.
Moreover, the coefficient has a threshold in the range of 2.5~3. Once the coefficient exceeds the threshold, it is difficult to effectively alleviate the negative effects even if the strategy of potential loss or improved resource absorption capacity is adopted. This is because, given the high loss coefficient, enterprises tend to adopt conservative strategies, such as independent research and development or low-risk cooperation, rather than actively participating to avoid possible high losses. Moreover, even if enterprises choose “active participation”, the high loss sensitivity coefficient may lead to their hesitation in decision-making and slow action in the process of cooperation, weaken the overall efficiency and achievements of the innovation process, and finally evolve into “passive participation”. In contrast, when the loss sensitivity coefficient is lower than the threshold value, that is, when the degree of loss is moderate, the potential loss and improvement in the resource absorption capacity effectively improve the negative impact of the loss sensitivity coefficient.
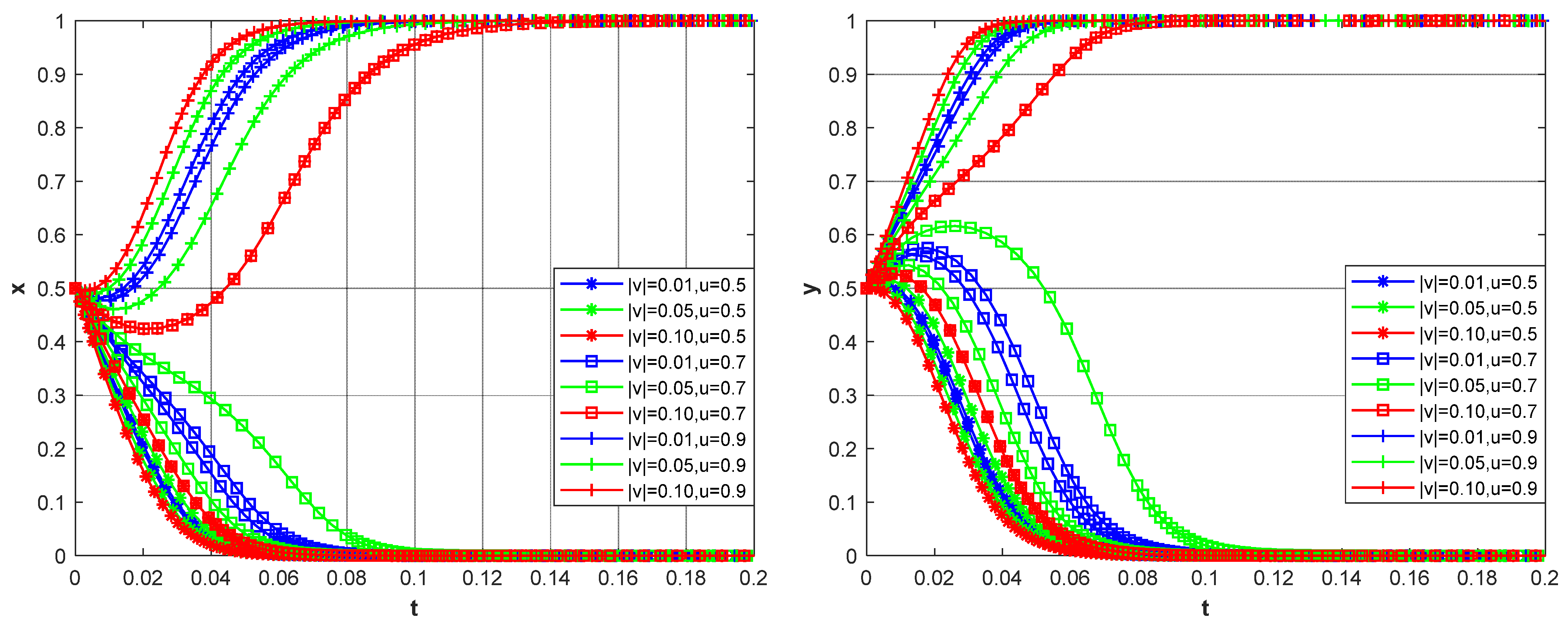
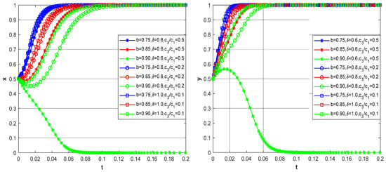
4.3. Sensitivity Analysis of Evolutionary Outcomes to the Interplay Between Collaborative Innovation Capability and Environmental Uncertainty
Additionally, we selected the case of BCR = 0.2, in Figure 3c,d (the strategic choices of both parties eventually evolve in the direction of “active participation”) to simulate the influence of collaborative innovation capability and uncertain interaction on the evolution results. The collaborative innovation ability of both parties is set to 0.3, 0.6 and 0.9, and the degree of uncertainty is set to 0.01, 0.050, and 1.
As shown in Figure 7, when the cooperation ability of both parties is at a low level (), even if the uncertainty is reduced to , the platform enterprises and participating enterprises still choose the “passive participation” strategy. This shows that in the case of insufficient innovation ability, even if the outside is relatively stable, it is difficult to stimulate synergy between the two sides.
Figure 7.
Sensitivity analysis of evolutionary outcomes to the interplay between collaborative innovation capability and environmental uncertainty.
However, under the same degree of uncertainty, with an improvement in the collaborative innovation ability of both sides to , the strategy choices of both sides gradually turn in the direction of active participation, and the evolution track is improved.
Furthermore, when the collaborative innovation ability of both sides is promoted to a higher level (), the influence of uncertainty on the evolution results tends to be stable, and the strategies of both sides of the game converge at “active participation”. With the significant improvement in the innovation ability of platform enterprises and participating enterprises, they can cope with uncertainties more flexibly and firmly choose active participation strategies. Therefore, in the digital transformation of the whole rural e-commerce industry chain, improving the innovation ability of participants is one of the important factors in resisting the influence of uncertainty on collaborative innovation behavior.
4.4. Discussion
The results presented in this paper provide valuable insights into the evolutionary dynamics of platform enterprises and participating enterprises under varying conditions of benefit–cost ratios, behavioral characteristics, and environmental factors. Compared to existing research on the rural e-commerce industry chain [26,36], this paper achieves a dual breakthrough: transcending qualitative descriptions and innovatively integrating evolutionary game theory and prospect theory to construct a model. This model identifies key factors and delves into their interactions, offering a new perspective and tool for understanding the chain’s evolution.
The sensitivity analysis of evolutionary outcomes to variations in the BCR highlights a critical threshold between 0.5 and 0.6 when behavioral characteristics are not considered. Below this threshold, both parties tend to choose “active participation” due to sufficient profit space. However, once the BCR exceeds this threshold, the high cost becomes a significant constraint, making it difficult to sustain active participation regardless of the income distribution ratio. This finding underscores the importance of cost management in collaborative innovation. When behavioral characteristics are introduced, the threshold interval for the BCR decreases significantly to 0.2~0.4. This indicates that the behavioral characteristics of decision-makers play a crucial role in shaping the evolution path of the system. Specifically, the risk aversion and preference coefficients, as well as the loss sensitivity factor, significantly impact the strategic choices of both parties. These findings highlight the need to incorporate behavioral economics into the analysis of collaborative innovation [14,17], which is a key objective of this paper.
The interplay among risk aversion coefficients, potential risks, and resource absorption capabilities reveals that a decrease in the risk aversion coefficient leads to more irrational characteristics and a tendency towards “passive participation”. However, increasing the resource absorption capacity and the ratio of potential risk to input cost can mitigate these adverse effects. This suggests that enhancing the resource absorption capacity of participating enterprises and managing potential risks effectively can promote active participation, even in the presence of high-risk aversion. Similarly, the risk preference coefficient has a negative effect on the strategic choices of both parties, but this can be alleviated by increasing the resource absorption capacity and the ratio of potential risk to input cost. These findings emphasize the importance of resource management and risk assessment in fostering collaborative innovation.
The loss sensitivity factor also plays a significant role in the decision-making process. A high loss sensitivity coefficient inhibits active participation, and once it exceeds a certain threshold, it becomes difficult to mitigate its negative effects. This underscores the importance of managing loss sensitivity in collaborative innovation, particularly in high-risk environments. The sensitivity analysis of evolutionary outcomes to the interplay between collaborative innovation capability and environmental uncertainty reveals that a higher level of collaborative innovation ability can stabilize the influence of uncertainty and promote active participation. This suggests that enhancing the collaborative innovation capability of both platform enterprises and participating enterprises is crucial for resisting the negative impact of environmental uncertainty. This finding is particularly relevant for the digital transformation of the rural e-commerce industry chain, where improving the innovation ability of participants is essential for fostering collaborative innovation.
In summary, the findings of this paper provide a comprehensive understanding of the factors influencing the evolution of collaborative innovation strategies. By incorporating behavioral characteristics and environmental factors into the analysis, the study offers valuable insights into the decision-making processes of platform enterprises and participating enterprises. These findings not only align closely with the research objectives but also highlight the critical role of cost management, resource absorption capacity, risk assessment, and innovation capability in shaping the evolutionary trajectory of collaborative innovation within the rural e-commerce industry chain, offering valuable practical implications for enterprises.
5. Conclusions and Implications
This paper focuses on examining the synergistic dynamics between platform enterprises and participating enterprises during their digital transformation across the whole rural e-commerce industry chain. To align the research findings with the intricate market conditions and uncertainties prevalent in rural e-commerce, we introduce prospect theory, which assumes finite rationality. This theory incorporates the subjective preferences of the involved parties into an evolutionary game model, shedding light on the behavioral inclinations of platform enterprises and participating enterprises from the perspective of value perception. On the basis of a theoretical study of the influence of single factors such as the income coefficient of collaborative innovation, early input cost–benefit, the allocation ratio, and subjective risk preference on the evolution results of collaborative innovation, this paper reveals the influence of the interaction of key factors on the evolution results through case simulation and sensitivity analysis and explores the parameter conditions for realizing collaborative innovation between platform enterprises and participating enterprises. This paper combines prospect theory with evolutionary game theory, which not only offers a novel research perspective for understanding the collaborative evolutionary mechanisms of digital transformation between platform enterprises and participating enterprises across the whole rural e-commerce industry chain but also provides decision-making insights for enterprises to optimize their competitive and cooperative strategies.
5.1. Conclusions
Our study yields the following conclusions: (1) Enhancing the innovation benefit coefficient effectively achieves the optimal stable strategy. The existence of a unique optimal benefit distribution ratio facilitates the convergence of platform enterprises and participating enterprises toward a stable and active participation strategy. Excessive upfront input costs hinder the willingness of platform enterprises and participating enterprises to cooperate. (2) When the behavior characteristics of decision-makers are considered, the threshold interval of the cost–benefit ratio for both parties to reach the optimal decision state clearly decreases. Under the premise of a moderate risk attitude and degree of loss sensitivity, improving the resource absorption capacity of enterprises in the chain and platform can effectively alleviate the negative impact of subjective behavior characteristics on cooperation willingness. (3) The stronger the innovation ability of platform enterprises and participating enterprises is, the stronger their ability to cope with uncertainty and the easier it is to realize collaborative innovation.
5.2. Research Implications
5.2.1. Theoretical Implications
This paper introduces prospect theory into evolutionary game theory, which not only enriches the application scenarios of evolutionary game theory but also reveals the important role of subjective psychological and behavioral characteristics that may not be fully captured by the model in cooperative decision-making. This combination provides new research ideas and theoretical tools for theoretical research on industrial chain synergy mechanisms, enterprise cooperation strategies, and other fields.
In addition, this paper reveals the key role of players’ subjective behavior characteristics, such as risk attitudes and degree of loss sensitivity, in cooperative decision-making. When theoretical models and practical problems are constructed, we must fully consider the psychological and behavioral characteristics of participants to obtain conclusions that are more realistic.
5.2.2. Practical Implications
The findings of this paper provide insights into the management of collaborative decision-making between platform enterprises and participating enterprises. (1) Platform enterprises and participating enterprises should actively seek opportunities for resource integration and exchange with partners in order to control their cost–benefit ratio. It is essential to identify how to extract and share accumulated industry advantages, overcome capacity constraints, and carry out collaborative innovation with all participants in the industrial chain to jointly enhance the profitability of collaborative innovation. On the other hand, the initial input cost should be controlled, efficiency improvement should be realized, and expenditures and open sources should be reduced. (2) The optimal income distribution ratio is vital for preventing “winner-take-all” and “big data dominance” scenarios in the digital transformation of the whole industry chain. A social system for regulating the rural e-commerce market should be established and improved to crack down on unfair competition behaviors. Promoting a mindset of group collaboration and resource sharing among stakeholders will help safeguard the interests of all parties involved. (3) Prospect theory should be used to improve business decision-making. On the one hand, enterprises should be aware of their subjective risk preference characteristics, fully understand market competition and industry trends, improve emotional intelligence through reasonable risk assessment and income trade-offs, find appropriate expected balance points, make timely corrections, and make rational decisions. On the other hand, enterprises should constantly improve their resource absorption capacity and risk management level and alleviate the negative impact of subjective behavior characteristics on cooperation willingness. (4) Due to the heterogeneity of industry or technical capabilities between platform enterprises and participating enterprises, enterprises should prioritize their innovation capabilities, such as communication learning and effort, when selecting partners to ensure the effective integration of resources in digital transformation and jointly cope with uncertain challenges.
5.3. Research Limitations and Future Directions
This paper has certain limitations that suggest directions for future research. (1) We recognize that the whole industrial chain of rural e-commerce includes many participants, such as producers, manufacturers, distributors and retailers. Considering that platform enterprises play a core role, although the participating enterprises in the chain have different functions, they have common characteristics. Therefore, this paper divides the game subjects of the whole rural e-commerce industry chain into two categories: core platform enterprises and participating enterprises in the chain. This division may sacrifice some of the details of complex interactions. Future research can further refine the classification of participants to further explore the interaction and influence among enterprises. (2) The model in this paper does not consider the important role of the government in the process of rural e-commerce, especially in providing policy support. Future research can consider the government as a key stakeholder and construct a tripartite evolutionary game model to more comprehensively illustrate the strategic choices and interactions among the various stakeholders. Through such expansion, we can evaluate the complex dynamics of rural e-commerce more comprehensively and provide a more accurate decision-making basis for policy makers.
Author Contributions
Conceptualization, Y.W.; Formal analysis, Y.W.; Investigation, Y.W.; Software, J.X.; Validation, J.X.; Writing—original draft, Y.W. and J.X.; Writing—review and editing, Y.W. and J.X. All authors have read and agreed to the published version of the manuscript.
Funding
This work was supported by the National Social Science Foundation of China (No. 21BJY227) and the Social Science Planning Project of Shandong Province (No. 23CJJJ25).
Data Availability Statement
The original contributions presented in the study are included in the article; further inquiries can be directed to the corresponding author.
Conflicts of Interest
The authors declare no conflicts of interest.
References
- Al-Omoush, K.S.; de Lucas, A.; del Val, M.T. The role of e-supply chain collaboration in collaborative innovation and value-co creation. J. Bus. Res. 2023, 158, 113647. [Google Scholar] [CrossRef]
- Yang, X.; Jiang, Y.; Chen, X.; Jia, F. ICT-empowered rural e-commerce development in China: An adaptive structuration perspective. Int. J. Technol. Manag. 2023, 95, 90–119. [Google Scholar] [CrossRef]
- Yang, X.; Zhang, Y.; Li, L. Can Digital Agriculture Realize the Sustainable Development of Rural E-commerce? In Innovation of Digital Economy: Cases from China; Springer: Berlin/Heidelberg, Germany, 2023; pp. 143–151. [Google Scholar]
- Prajapati, D.; Chan, F.T.; Daultani, Y.; Pratap, S. Sustainable vehicle routing of agro-food grains in the e-commerce industry. Int. J. Prod. Res. 2022, 60, 7319–7344. [Google Scholar] [CrossRef]
- Ning, S. A Study on the Factors that Restrict the Development of China’s Rural E-commerce and Countermeasures. Agro Food Ind. Hi-Tech 2017, 28, 3664–3667. [Google Scholar]
- Dai, D.N.; Stephens, P.; Si, Z. E-grocery as a new site of financialization? Financial drivers of the rise and fall of China’s E-grocery sector. Food Secur. 2024, 16, 471–485. [Google Scholar] [CrossRef]
- Hiam, S.; Gilles, T. Digitalization and Platforms in Agriculture: Organizations, Power Asymmetry, and Collective Action Solutions. 2020. ETLA Working Papers No 78. Available online: http://pub.etla.fi/ETLA-Working-Papers-78.pdf (accessed on 13 January 2025).
- Lin, J.; Li, H.; Lin, M.; Li, C. Rural e-commerce in China: Spatial dynamics of Taobao Villages development in Zhejiang Province. Growth Chang. 2022, 53, 1082–1101. [Google Scholar] [CrossRef]
- Chao, P.; Biao, M.; Zhang, C. Poverty alleviation through e-commerce: Village involvement and demonstration policies in rural China. J. Integr. Agric. 2021, 20, 998–1011. [Google Scholar]
- Liu, Y.; Zhou, M. Can rural e-commerce narrow the urban–rural income gap? Evidence from coverage of Taobao villages in China. China Agric. Econ. Rev. 2023, 15, 580–603. [Google Scholar] [CrossRef]
- Qin, Y.; Fang, Y. The effects of e-commerce on regional poverty reduction: Evidence from China’s rural e-commerce demonstration county program. China World Econ. 2022, 30, 161–186. [Google Scholar] [CrossRef]
- He, D.; Ceder, A.A.; Zhang, W.; Guan, W.; Qi, G. Optimization of a rural bus service integrated with e-commerce deliveries guided by a new sustainable policy in China. Transp. Res. Part E Logist. Transp. Rev. 2023, 172, 103069. [Google Scholar] [CrossRef]
- Liu, W. Route optimization for last-mile distribution of rural E-commerce logistics based on ant colony optimization. IEEE Access 2020, 8, 12179–12187. [Google Scholar] [CrossRef]
- Kahneman, D. Prospect theory: An analysis of decisions under risk. Econometrica 1979, 47, 278. [Google Scholar] [CrossRef]
- Tom, S.M.; Fox, C.R.; Trepel, C.; Poldrack, R.A. The neural basis of loss aversion in decision-making under risk. Science 2007, 315, 515–518. [Google Scholar] [CrossRef]
- Sawa, R.; Wu, J. Prospect dynamics and loss dominance. Games Econ. Behav. 2018, 112, 98–124. [Google Scholar] [CrossRef]
- Tversky, A.; Kahneman, D. Advances in prospect theory: Cumulative representation of uncertainty. J. Risk Uncertain. 1992, 5, 297–323. [Google Scholar] [CrossRef]
- Bain, J.S. Industrial Organization; John Willey & Sons: Hoboken, NJ, USA, 1968. [Google Scholar]
- Mullainathan, S.; Scharfstein, D. Do firm boundaries matter? Am. Econ. Rev. 2001, 91, 195–199. [Google Scholar] [CrossRef][Green Version]
- Prahalad, C.K.; Hamel, G. The core competence of the corporation. In Knowledge and Strategy; Routledge: London, UK, 2009; pp. 41–59. [Google Scholar]
- Mahoney, J.T.; Pandian, J.R. The resource-based view within the conversation of strategic management. Strateg. Manag. J. 1992, 13, 363–380. [Google Scholar] [CrossRef]
- Crandall, P.G.; O’Bryan, C.A.; Babu, D.; Jarvis, N.; Davis, M.L.; Buser, M.; Adam, B.; Marcy, J.; Ricke, S.C. Whole-chain traceability, is it possible to trace your hamburger to a particular steer, a US perspective. Meat Sci. 2013, 95, 137–144. [Google Scholar] [CrossRef]
- Liu, Y.; Yang, Z.; Zhu, C.; Zhang, B.; Li, H. The eco-agricultural industrial chain: The meaning, content and practices. Int. J. Environ. Res. Public Health 2023, 20, 3281. [Google Scholar] [CrossRef] [PubMed]
- Chen, W.; Feng, G.; Zhang, C.; Liu, P.; Ren, W.; Cao, N.; Ding, J. Development and application of big data platform for garlic industry chain. Comput. Mater. Contin. 2019, 58, 229. [Google Scholar] [CrossRef]
- Pfeiffer, J.; Gabriel, A.; Gandorfer, M. Understanding the public attitudinal acceptance of digital farming technologies: A nationwide survey in Germany. Agric. Hum. Values 2021, 38, 107–128. [Google Scholar] [CrossRef]
- Liu, K.; Wang, M. Exploration of Digital Countryside in the Context of Rural Revitalization Based on the Financial Industry and E-Commerce. Inf. Syst. Econ. 2023, 4, 12–25. [Google Scholar]
- Castro, R. SMEs must go online—E-commerce as an escape hatch for resilience and survivability. J. Theor. Appl. Electron. Commer. Res. 2021, 16, 3043–3062. [Google Scholar] [CrossRef]
- Kwilinski, A. The relationship between sustainable development and digital transformation: Bibliometric analysis. Virtual Econ. 2023, 6, 56–69. [Google Scholar] [CrossRef] [PubMed]
- Mubarak, M.F.; Tiwari, S.; Petraite, M.; Mubarik, M.; Raja Mohd Rasi, R.Z. How Industry 4.0 technologies and open innovation can improve green innovation performance? Manag. Environ. Qual. Int. J. 2021, 32, 1007–1022. [Google Scholar] [CrossRef]
- Sirmon, D.G.; Hitt, M.A.; Ireland, R.D.; Gilbert, B.A. Resource orchestration to create competitive advantage: Breadth, depth, and life cycle effects. J. Manag. 2011, 37, 1390–1412. [Google Scholar] [CrossRef]
- Mazzei, M.J.; Noble, D. Big data dreams: A framework for corporate strategy. Bus. Horiz. 2017, 60, 405–414. [Google Scholar] [CrossRef]
- Abbasi, R.; Martinez, P.; Ahmad, R. The digitization of agricultural industry–a systematic literature review on agriculture 4.0. Smart Agric. Technol. 2022, 2, 100042. [Google Scholar] [CrossRef]
- Zhou, L.; Jiang, Z.; Geng, N.; Niu, Y.; Cui, F.; Liu, K.; Qi, N. Production and operations management for intelligent manufacturing: A systematic literature review. Int. J. Prod. Res. 2022, 60, 808–846. [Google Scholar] [CrossRef]
- Haken, H. An Introduction Nonequilibrium Phase Transitions and Self-Organization in Physics; Chemistry, and Biology; Springer: Berlin/Heidelberg, Germany, 1983; pp. 206–216. [Google Scholar]
- Teng, Y.; Mao, C.; Liu, G.; Wang, X. Analysis of stakeholder relationships in the industry chain of industrialized building in China. J. Clean. Prod. 2017, 152, 387–398. [Google Scholar] [CrossRef]
- Tianqi, Z. Paths for upgrade and transformation of E-commerce of China’s fresh agricultural products based on whole industry supply chain. Asian Agric. Res. 2017, 9, 1–4. [Google Scholar]
- Li, Y.; Li, N.; Li, Z. Evolution of carbon emissions in China’s digital economy: An empirical analysis from an entire industry chain perspective. J. Clean. Prod. 2023, 414, 137419. [Google Scholar] [CrossRef]
- Howieson, J.; Lawley, M. Implementing Whole of Chain Analysis for the Seafood Industry: A Toolbox Approach. In Australian and New Zealand Marketing Academy (ANZMAC) Annual Conference 2010 Proceedings, 2010; Department of Management, College of Business and Economics, University of Canterbury: Christchurch, New Zealand, 2010; pp. 1–8. [Google Scholar]
- Haizhong, A.; Huajiao, L. Theory and research advances in whole industrial chain of strategic mineral resources. Resour. Ind. 2022, 24, 8. [Google Scholar]
- Smith, J.M.; Price, G.R. The logic of animal conflict. Nature 1973, 246, 15–18. [Google Scholar] [CrossRef]
- Liu, J.; Teng, Y. Evolution game analysis on behavioral strategies of multiple stakeholders in construction waste resource industry chain. Environ. Sci. Pollut. Res. 2023, 30, 19030–19046. [Google Scholar] [CrossRef] [PubMed]
- Yu, N.; Zhao, C. Chain innovation mechanism of the manufacturing industry in the yangtze river delta of china based on evolutionary game. Sustainability 2021, 13, 9729. [Google Scholar] [CrossRef]
- Wang, L.; Zhang, Z.-X.; Wang, Y.-M. A prospect theory-based interval dynamic reference point method for emergency decision making. Expert Syst. Appl. 2015, 42, 9379–9388. [Google Scholar] [CrossRef]
- Abdellaoui, M.; Bleichrodt, H.; Kammoun, H. Do financial professionals behave according to prospect theory? An experimental study. Theory Decis. 2013, 74, 411–429. [Google Scholar] [CrossRef]
- Hasan, F.; Kayani, U.N.; Choudhury, T. Behavioral risk preferences and dividend changes: Exploring the linkages with prospect theory through empirical analysis. Glob. J. Flex. Syst. Manag. 2023, 24, 517–535. [Google Scholar] [CrossRef]
- Zheng, Q.; Liu, X.; Wang, W.; Wu, Q.; Deveci, M.; Pamucar, D. The integrated prospect theory with consensus model for risk analysis of human error factors in the clinical use of medical devices. Expert Syst. Appl. 2023, 217, 119507. [Google Scholar] [CrossRef]
- Liu, W.; Liu, C.; Ge, M. An order allocation model for the two-echelon logistics service supply chain based on cumulative prospect theory. J. Purch. Supply Manag. 2013, 19, 39–48. [Google Scholar] [CrossRef]
- Rezvani, M.S.; Amoozad Mahdiraji, H.; Abbasian, E.; Mehregan, M. Evaluation of Cooperation Strategy in Financial Services Supply Chain Based on Prospect Theory and Game Theory. Iran. J. Account. Audit. Financ. 2023, 7, 93–108. [Google Scholar]
- Nambisan, S.; Wright, M.; Feldman, M. The digital transformation of innovation and entrepreneurship: Progress, challenges and key themes. Res. Policy 2019, 48, 103773. [Google Scholar] [CrossRef]
- Cennamo, C. Competing in digital markets: A platform-based perspective. Acad. Manag. Perspect. 2021, 35, 265–291. [Google Scholar] [CrossRef]
- Shao, L.; Wu, X.; Zhang, F. Sourcing competition under cost uncertainty and information asymmetry. Prod. Oper. Manag. 2020, 29, 447–461. [Google Scholar] [CrossRef]
- Liu, J.; Yang, L. “Dual-Track” platform governance on content: A comparative study between China and United States. Policy Internet 2022, 14, 304–323. [Google Scholar] [CrossRef]
- Li, H.; Yang, Z.; Jin, C.; Wang, J. How an industrial internet platform empowers the digital transformation of SMEs: Theoretical mechanism and business model. J. Knowl. Manag. 2023, 27, 105–120. [Google Scholar] [CrossRef]
- Friedman, D. Evolutionary games in economics. Econom. J. Econom. Soc. 1991, 59, 637–666. [Google Scholar] [CrossRef]
- Weibull, J.W. Evolutionary Game Theory; MIT Press: Cambridge, MA, USA, 1997. [Google Scholar]
- Couture, V.; Faber, B.; Gu, Y.; Liu, L. E-Commerce Integration and Economic Development: Evidence from China; National Bureau of Economic Research: Cambridge, MA, USA, 2018; Volume 24383. [Google Scholar]
Disclaimer/Publisher’s Note: The statements, opinions and data contained in all publications are solely those of the individual author(s) and contributor(s) and not of MDPI and/or the editor(s). MDPI and/or the editor(s) disclaim responsibility for any injury to people or property resulting from any ideas, methods, instructions or products referred to in the content. |
© 2025 by the authors. Licensee MDPI, Basel, Switzerland. This article is an open access article distributed under the terms and conditions of the Creative Commons Attribution (CC BY) license (https://creativecommons.org/licenses/by/4.0/).






