You are currently viewing a new version of our website. To view the old version click .
Systems
  • Review
  • Open Access

29 September 2025

A Review of Human–Robot Collaboration Safety in Construction

,
,
and
1
Department of Construction and Real Estate, Southeast University, Nanjing 210096, China
2
Department of Civil and Environmental Engineering, Technical University of Munich, 80333 Munich, Germany
*
Author to whom correspondence should be addressed.

Abstract

Integrating human–robot collaboration (HRC) into construction sites has significantly enhanced efficiency and quality. However, it also introduces new or intensifies existing risks as it brings in new entities, relationships, and construction activities. Safety remains the top priority and a persistent concern in HRC systems. However, the current literature on human–robot collaboration safety (HRCS) is vast yet fragmented, and a systematic exploration of its status and research trends in the construction context is still lacking. This paper explores advances in HRCS over the past two decades through a mixed quantitative and qualitative analysis method. Initially, 287 related articles were identified by keyword-searching in Scopus, followed by bibliometric analysis using CiteSpace to uncover the knowledge structure and track emerging research trends. Subsequently, a qualitative discussion highlights achievements in HRCS across five dimensions: (1) optimization of remote intelligent machinery; (2) hazard analysis and risk assessment in HRCS; (3) digital twin for safety monitoring; (4) cognitive and psychological impacts; (5) organizational management perspective. This study quantitatively maps the scientific landscape of HRCS at a macro level and qualitatively identifies key research areas. It provides a comprehensive foundation for understanding the evolution of HRCS and exploring future research directions and applications.

1. Introduction

The construction industry grapples with a series of long-term development problems, including low production efficiency, labor shortages, an aging workforce, and severe related illnesses or deaths [1]. Empowered by emerging technologies such as new-generation information technology, biotechnology, new energy, and new materials, intelligent equipment, epitomized by robotics and automation (RA) [2], is spearheading a transformative trend in the construction industry. Robotics and automation (RA) technologies in the construction industry primarily encompass off-site automated prefabricated systems, additive manufacturing, on-site automation and robotic systems, swarm robots for component installation, drones and autonomous driving systems, and wearable exoskeleton systems [3]. It has gradually reshaped the construction industry landscape, fostering a more flexible, automated and intelligent operating environment.
Human–robot collaboration (HRC) at construction sites is receiving growing attention from both academics and practitioners. Several on-site collaborative robots have been deployed to assist workers in tasks such as painting, bricklaying, welding, and drone-based inspections [4]. HRC provides many advantages to help generalized robots quickly adapt to the complex and changeable construction environment. Meanwhile, an HRC system matches typical robot strengths with human skills to reduce manual labor in repetitive and dangerous physical tasks [5], which shows significant improvement in efficiency and quality in practical applications [6,7].
However, the integration of HRC into construction sites introduces new entities, relationships, and construction activities, which in turn give rise to emerging risks or aggravate existing risks. Safety remains the first priority and is a prevailing concern in HRC [8], given that HRC typically involves tight human–robot coupling and shared workspaces on dynamic construction tasks [5], which brings various safety challenges. For example, accidents including collisions and pinch injuries frequently occurs in industrial HRC practice due to robot malfunctions and insufficient sensing capabilities. Furthermore, within dynamic and high-pressure construction environments, workers may suffer psychological stress and discomfort stemming from their interaction with unfamiliar robotic partner [9].
Such emerging safety challenges introduce the necessity of recognizing the state-of-the-art research in construction human–robot collaboration safety (HRCS). However, limited attempts have been made to explore the HRCS in the construction industry. Previous reviews have provided HRC classification methods based on levels of robot autonomy (LoRA) [10] and human–robot relationship patterns [5]. Although both highlighted HRCS as critical issue and major challenge in “future research” sections, neither offered a systematic review of HRCS. More recently, Sun et al. [11] conceptually identified HRCS risks, including physical hazards, attentional costs, and psychological impacts. However, it did not adopt a structured review methodology to synthesize the fragmented literature, nor did it address broader aspects of safety management, such as continuous safety monitoring and organizational and managerial mechanisms. In addition, advanced industrial fields provided valuable references to some extent. Industrial HRCS reviews have synthesized the safety systems [12] and enabling technologies for HRC safety assurance [13], which particularly emphasis on collision-related issues (collision avoidance and post-collision mitigation). While these reviews are valuable, their findings are not easily transferable to construction HRC, since safety concerns are closely tied to specific tasks and systems [14]. Compared with industrial contexts, construction HRC presents unique characteristics, including unstructured working conditions, the inherent dynamic complexity of tasks, and more frequent human–robot interaction [10,15], which makes safety issues even more complex and context-dependent.
Existing research on construction HRCS remains vast, diverse, and fragmented, spanning different construction scenarios, technologies, and management strategies. However, to date, no comprehensive review has systematically synthesized the knowledge landscape specific to construction HRCS. To address this gap, this study conducts a comprehensive mixed-method review and aims to fulfill the following objectives: (1) review the research hotspots and evolutionary trends in HRCS; (2) discuss key areas and recommend future research directions.
First, a bibliometric analysis is conducted to systematically map the scientific landscape of HRCS. Specifically, co-citation analysis, keyword co-occurrence, cluster analysis, and burst detection are employed to uncover the knowledge structure and track emerging research trends. This quantitative method enables an objective understanding of the knowledge structure and its evolution across a large body of literature. Based on these results, a qualitative review is performed to explore in-depth the multifaceted safety and management issues in HRC systems, structured along five key dimensions: (1) Optimization of remote intelligent machinery; (2) Hazard analysis and risk assessment in HRCS; (3) Digital twin for safety monitoring in HRC; (4) Cognitive and psychological impacts in HRC; (5) Organizational management perspective for HRCS.
The remainder of this paper is structured as follows: Section 2 introduces the research methodology, including data collection, bibliometric analysis, and qualitative synthesis. Section 3 presents the findings of the bibliometric analysis. Section 4 discusses the qualitative insights, identifies research gaps, and proposes future directions. Section 5 concludes the paper by summarizing the contributions and implications for HRCS research.

2. Methodology

This review employs a four-stage mixed-method literature review approach to systematically map and interpret the literature on HRCS in construction, as shown in Figure 1. It integrates quantitative bibliometric analysis with qualitative synthesis as core components of the research design. This structured process ensures a comprehensive, evidence-based review of HRCS literature, a procedure validated as scientifically sound in prior studies [16,17]. As this review primarily focuses on bibliometric and qualitative synthesis rather than clinical outcomes, it was not prospectively registered in PROSPERO or any other public registry.
Figure 1. Overview of the research methodology.

2.1. Data Collection

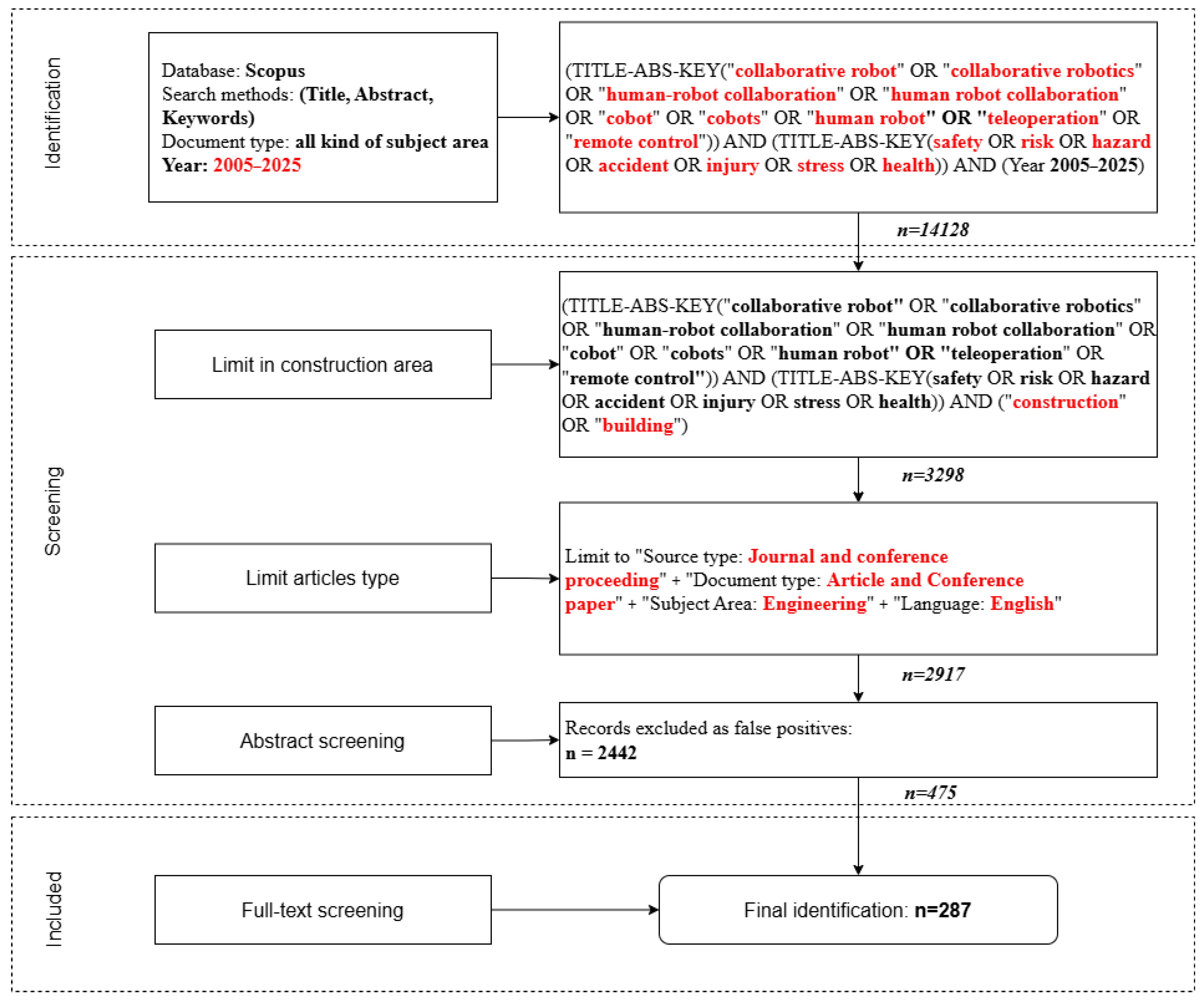
The first step aimed to establish a comprehensive database and implement a rigorous search strategy for bibliometric analysis and qualitative discussion. Scopus was chosen as the data source due to its broad coverage of construction, engineering, and safety-related journals [18,19] and its superiority in indexing interdisciplinary and high-quality journal publications [20,21]. While other databases, such as Web of Science (WOS), American Society of Civil Engineers (ASCE) Library, IEEE library, and Dimensions, were also explored, they did not yield significant additional sources based on keyword searches. A set of keywords related to HRCS was identified to retrieve relevant publications from Scopus, covering the period from 2005 to 2025. The initial search string was as follows:
(TITLE-ABS-KEY (“collaborative robot” OR “collaborative robotics” OR “human–robot collaboration” OR “human robot collaboration” OR “cobot” OR “cobots” OR “human robot” OR “teleoperation” OR “remote control”)) AND (TITLE-ABS-KEY (safety OR risk OR hazard OR accident OR injury OR stress OR health)).
The keyword set was developed with reference to a prior seminal review in HRC and classic review literature in construction safety management. In particular, Zhang et al. [5] in Automation in Construction provided a comprehensive account of HRC terminology, which we adopted as the core basis for HRC search term selection. Zhou [22] in Safety Science conducted an extensive overview and analysis of safety management studies in the construction industry, which ensured the accuracy of the search terms related to construction safety. This ensured that widely used descriptors were systematically incorporated.
This search, last updated on 24 May 2025, initially yielded 14,128 records.

2.2. Literature Screening

The search results included a large number of publications with no relation to the construction robots included (e.g., from biomedical, social services, or manufacturing sectors). Therefore, the first step was to narrow the focus to the construction industry. An additional Boolean “AND” was used with the terms “construction” OR “building,” resulting in a filtered set of 3298 articles.
Then, we screened the types of articles; only journal articles and conference papers were included. The subject area was limited to “engineering”, and the language was limited to English. A total of 381 papers were excluded, and 2917 relevant papers were obtained. Nevertheless, a substantial number of false positives persisted, such as articles on protein construction or industrial robotics not applied to construction. To address this, each record was manually checked through abstract-level screening, leading to the exclusion of 2442 papers (≈83.7% of the filtered corpus). This process resulted in a refined dataset of 475 articles for subsequent eligibility assessment.
The third step is full-text eligibility. A thorough check of the relevance of each article through a full-text screening method was conducted to exclude papers. A further filtration was conducted by integrating a set of inclusion and exclusion criteria adapted from previous review studies [5,17] to ensure credibility, repeatability, and relevance. The criteria were as follows:
(1) Safety Relevance: The article should involve the discussion of safety-related issues, including the technical design and optimization considering safety, safety risk, or ergonomic and physical safety in HRC. (2) Task Context: Only studies focused on typical on-site construction tasks (e.g., bricklaying, welding, or material handling) were included. Articles centered on highly specialized or atypical construction scenarios—such as lunar, deep-sea, or drone-based construction—were excluded. (3) Data Source and Empirical Evidence: Studies must provide first-hand empirical data or report on simulation-based or real-world implementation of HRC systems. Theoretical discussions without application or data support were not considered. (4) Automation Type: Articles discussing fully automated systems or manually operated machines not intended for HRC were excluded, as these do not fall within the defined HRC scope.
Finally, full-text screening was applied, resulting in the exclusion of 188 articles that did not meet the above criteria. As a result, 287 articles were retained for final analysis. Figure 2 presents the Preferred Reporting Items for Systematic Review and Meta-Analysis (PRISMA) flow diagram, which is widely implemented in systematic review studies [23]. The detailed PRISMA 2020 for Abstracts Checklist is provided in the Supplementary Material [24].
Figure 2. PRISMA flowchart.
In addition, to test the robustness of the search strategy, we further conducted a sensitivity analysis using an extended search string:
(TITLE-ABS-KEY (“cooperative manipulation” OR “shared autonomy”)) AND (TITLE-ABS-KEY (safety OR risk OR hazard OR accident OR injury OR stress OR health)).
This search retrieved 16 additional records (<5% increase), which upon manual screening were all found to focus on non-construction domains, including the transportation sector (autonomous vehicles, 5), the industrial sector (robotic arms, 3), the aerospace sector (space/moon robotics, 3), the maritime sector (2), and one record each in medicine, agriculture, and the military. Since none of these directly addressed construction HRCS, they were excluded from the final dataset. This analysis confirms that the initial search string was sufficiently inclusive for construction HRCS research while avoiding unrelated domains, which increases confidence in the comprehensiveness of the review.

2.3. Bibliometric Analysis

A bibliometric analysis was carried out to present the knowledge structure of HRCS in construction. Bibliometric mapping is a visual representation of scientometrics; it provides the spatial representation of how fields, disciplines, specialties, and authors or individual documents are related to one another [25]. CiteSpace, the Bibliometric Analysis tool developed by Dr. Chaomei Chen at Drexel University [26], offers distinct advantages in the visualization and analysis of scientific literature. Compared to other science mapping software tools such as VOSviewer (1.6.20), CiteSpace enables more detailed exploration of node characteristics and helps eliminate data duplication during preprocessing [27,28]. Moreover, it supports data preprocessing functions, such as deduplication, which help ensure cleaner and more reliable analysis results. It has been widely used in previous quantitative literature reviews in the construction field [29,30]. Therefore, this study employs CiteSpace Basic Version 6.3.R1, https://citespace.podia.com/ (accessed on 1 April 2025). as the primary tool for scientometric analysis and knowledge visualization. The bibliometric results are presented in Section 3.

2.4. Qualitative Discussion

Qualitative literature analysis facilitates a deeper understanding of a topic by providing an in-depth discussion. Guided by the bibliometric results (especially keyword co-occurrence and cluster analysis, or burst detection), we conducted an in-depth qualitative synthesis across five safety-focused domains. This step identified the research motivations and representative studies for each HRCS theme, and further discussed the current limitations and directions for future research. The results of the qualitative discussion are presented in Section 4.

3. Bibliometric Analysis

3.1. Quantitative Analysis

CiteSpace 6.3. R1 Basic in the Windows 11 system was used in this study to visualize bibliometric data and generate the knowledge maps of the selected HRCS publications. The analysis is conducted with a time slicing of 2005–2025, with one year per slice. For threshold selection, the g-index was applied with k = 25, which enables inclusion of both highly cited and emerging references in each slice. This study presents the geographical collaboration network (country/region), co-cited publication, keyword co-occurrence and cluster analysis, and burst detection. To enhance readability and reduce network complexity, Pathfinder and the “pruning sliced networks” option were applied. These parameter settings follow common practices in scientometric research [31] and ensure the transparency and reproducibility of our analysis.
In total, 287 articles were included in the bibliometric analysis. This quantitative overview provides insights into the historical development and distribution of HRCS research in construction. As shown in Figure 3, the annual number of publications on HRCS remained relatively low and fluctuated slightly from 2005 to 2018. However, from 2019 onward, there has been a significant and sustained upward trend, reflecting increasing academic and practical interest in this topic. Notably, the number of journal publications surged, reaching 32 articles in the first half of 2025. This rising trend underscores the growing relevance of HRCS in the construction sector and suggests both opportunities for expanded development and emerging research challenges. The annual publication counts are detailed in Appendix A.
Figure 3. Number of relevant publications between 2005 and 2025. Note: “2025H1” denotes the first half of 2025.
A co-authorship analysis based on individual authors’ geographic area (country/region) is presented in this section to identify international collaboration patterns in the HRCS field. The distribution of publications by country is illustrated in Figure 4. The United States leads in publication output (91 articles), followed by China (41 articles, including Mainland China, Hong Kong, and Taiwan). Other notable contributors include South Korea (11), South Africa (8), the United Kingdom (7), Germany (6), and Italy (6). Additionally, Japan, Switzerland, and the United Arab Emirates each contributed five publications. Analysis of the average publication year indicates that Italy, North African countries, and Hong Kong have demonstrated increasing activity in recent years, while South Korea, Japan, and Denmark were more active in earlier phases of HRCS research.
Figure 4. Geographical collaboration network (country/region) in the HRCS research domain.

3.2. Knowledge Mapping

3.2.1. Co-Citation Sources Analysis

The co-citation network of publication sources is shown in Figure 5 and Table 1. In this network, the size of each node represents the number of citations, with larger nodes indicating higher co-citation frequency. The journal Automation in Construction ranks as the most co-cited source, followed by the Journal of Construction Engineering and Management and the Journal of Computing in Civil Engineering.
Figure 5. Co-citation network of publication sources.
Table 1. Top co-cited publication sources in HRCS research.
Journals such as Journal of Construction Engineering and Management and Journal of Management in Engineering primarily publish research on construction management, with construction safety as a major subtheme, especially in Safety Science.
Meanwhile, Automation in Construction, Advanced Engineering Informatics, Journal of Computing in Civil Engineering, and Sensors focus on technological and computational approaches in construction, often intersecting with robotics and safety systems.
In contrast, journals like Applied Ergonomics, Ergonomics, and Sustainability are not limited to the construction industry but frequently contribute to the broader human–robot safety research, including ergonomic risk assessment, monitoring, and end-effector design.

3.2.2. Keyword Co-Occurrence and Cluster Analysis

A keyword co-occurrence analysis was conducted to identify the research focus and evolution trends in the field of HRCS. The network comprised 548 keyword nodes (N) and 1868 edges (E, co-occurrence links between keywords), as shown in Figure 6. The size of each node reflects the frequency of the corresponding keyword—larger nodes indicate higher occurrence rates.
Figure 6. Network of keyword co-occurrence.
In addition to the foundational keywords such as “human robot collaboration” and “human robot interaction”, the top ten high-frequency keywords include “remote control”, “workers”, “virtual reality construction equipment”, “excavation”, “accident prevention”, “robot programming”, “occupational risk”, and “safety risk” and “digital twin”. The inclusion of both technical (e.g., robot programming and digital twin) and human-centric (e.g., workers and occupational risk) terms highlights the interdisciplinary nature of HRCS research.
Furthermore, the network’s largest connected component (LCC) covers 94%, indicating strong interconnectivity across the dataset and confirming the suitability of the data for cluster analysis. A keyword cluster analysis is grounded in keyword co-occurrence networks, employing statistical clustering algorithms to group co-occurring terms into thematically coherent clusters [32,33]. The keyword clustering analysis in this paper covered nine major clusters (Figure 7), each representing a distinct subdomain of HRCS. To further characterize these clusters, Table 2 reports their statistical attributes, including cluster number, cluster size (quantity of documents), average publication year, silhouette value, and cluster labels generated using both the log-likelihood ratio (LLR) and latent semantic indexing (LSI) methods. The silhouette value measures the homogeneity of each cluster, with values closer to 1.0 indicating higher internal consistency. The cluster labels (LLR/LSI) provide the most representative keywords or terms, facilitating the interpretation of each thematic area. This section selectively highlights the most representative and influential clusters to illustrate key research directions in HRCS.
Figure 7. Keyword co-occurrence clustering.
Table 2. Top co-cited publication sources in HRCS research.
  • Cluster #0: Remote control
Cluster #0, labeled “remote control”, contains the following keywords: fifth-generation mobile communication, construction machinery, VR, human computer, force feedback, and unmanned ground vehicle. The cluster’s color and Literature Average Year of 2015 indicate that it represents an earlier research stage within the HRCS domain.
At this early stage, remote operation technologies were primarily developed to reduce human exposure to hazardous or inaccessible environments, such as in post-disaster rescue scenarios [34]. The robotic systems evolved from traditional hydraulic excavators [35] and cranes [36] to more versatile platforms like the improved multipurpose field robot (IMFR) designed for construction material handling and installation [37].
Meanwhile, the human–robot interaction interfaces also progressed significantly. Bulky screens were gradually replaced by lightweight head-mounted display devices (HMDs), offering more immersive and portable solutions [38]. For instance, Chen et al. [39] developed a markerless augmented reality interface, which was validated to have high usability and contributed to the reduction in unsafe situations.
Advancements were also seen in control devices. For example, D. Kim et al. [40] employed accelerometers and inclinometers worn on the human arm to detect gestures for remote excavator control. Additionally, the integration of haptic feedback devices allowed robots to transmit tactile information to operators, thereby enhancing situational awareness and improving both safety and task accuracy [41].
2.
Cluster #5: Robot Operating System (ROS)
Clusters #5 (“Robot Operating System”) includes keywords such as integrated design, machine design, motion planning, and path, reflecting the critical role of ROS in advancing HRC systems. It contributes significantly to HRCS by optimizing integration, communication, and control. This cluster emphasizes the contribution of ROS to HRCS by optimizing integration, communication, and control of robotic systems.
A significant body of research focuses on the architecture of control systems. For instance, Szabolcsi et al. [42] developed a UAV–UGV Autonomous Collaborative Robot System, which enables close-proximity coordination between ground and aerial robots for safe execution of complex tasks. This demonstrates how ROS-based system architecture supports multiple autonomous robotic collaborations in dynamic environments. Other studies explore feedback mechanisms to enhance HRCS. J. S. Lee et al. [43], for example, proposed an interface combining synchronized visual and haptic feedback. This system provides comprehensive physical cues to human workers, improving proximity sensing and facilitating better awareness of obstacles in the shared workspace.
Furthermore, motion control and path planning are identified as critical aspects of ROS research in construction HRC. For example, Cai et al. [44] introduced a prediction-enabled path planning method that incorporates workers’ predicted trajectories into the robot’s motion control system. This approach ensures both safety and efficiency by enabling robots to adjust in real time to dynamic site conditions. The experimental results showed that the method reduced human–robot collision rates by 23% and achieved a 100% success rate in guiding robots along near-optimal paths to their destinations.
3.
Cluster #6: Efficiency Improvement and Cluster #8: Construction Safety
Clusters #6 (“efficiency improvement”) and #8 (“construction safety”) exhibit thematic overlap. This reflects the dual priorities of safety and productivity in construction management—goals that remain central in the design and implementation of HRC systems. As Ito et al. [45] emphasized, construction tasks must be performed without introducing hazardous mechanical conditions (e.g., machine tilting) while still improving or maintaining productivity.
Cluster #6 (efficiency improvement) includes automation, organizational structure, human–robot team, intelligent construction system, improving remote operability, situational awareness, and MR. Efficiency-oriented studies primarily focus on automation enhancement, human–robot team optimization, and intelligent construction systems. For example, Lv et al. [46] proposed a knowledge-graph-driven framework to optimize task allocation in prefabrication assembly, using an enhanced PageRank (PR) algorithm to facilitate efficient, flexible, and safe HRC. Similarly, M. Wu et al. [47] use an agent-based (AB) multi-fidelity simulation model to evaluate how HRC influences construction productivity. Notably, their model embedded explicit safety constraints, illustrating the balance between safety protocols and operational efficiency.
Cluster #8 (construction safety) includes smart protection helmet, wearable devices, situational awareness, and mental workload. Diverging from the more theoretical focus of the risk assessment cluster, Cluster #8 focuses on practical safety solutions and applications. These include real-time monitoring systems, wearable robotics, and smart helmets designed to prevent injury and enhance situational awareness [48]. For example, Cheng et al. [49] developed a mechanics-based dynamic contact model to estimate forces and deformations during unintended human–robot contact. Such estimations serve as valuable references for safety engineers to adjust protocols based on specific site conditions.
4.
Cluster #7: Platform-based Incorporation
Cluster #7, labeled “Platform-based Incorporation,” includes keywords such as project-based integration, digital fabrication, construction automation, tele-operated excavation system, sensor-based estimation, and robot manipulator efficiency improvement, reflecting a significant shift towards comprehensive, integrated systems that enhance the flexibility and efficiency of robotic platforms in construction.
This cluster emphasizes the project-based integration of robotics, where systems are designed to seamlessly integrate into the larger context of construction projects. Rather than isolated robotic systems, there is a trend towards creating cohesive platforms that incorporate various technological advances to address specific project needs. For instance, Ojha et al. [50] developed a multi-agent robotic system for fall accident prevention by systematically integrating mobile robotic units, multi-sensors, and intelligent algorithms. The system enables proactive safety management by identifying and locating fall hazards. Kim et al. [51] explored human and multi-robot collaboration in tasks such as reinforcing bar connection, concrete pouring, and vibration during pier construction. Similarly, Im et al. [52] designed an inter-robot communication network equipped with data filtering mechanisms to prevent collisions and maintain reliable connectivity among collaborative robots.
Overall, the integration of multi-robot collaboration represents an emerging research direction that is worth further study in the future [53]. Platform-based robotic systems, which integrate robotics, sensing, communication, and automation technologies into unified frameworks, enable more cohesive and adaptable construction solutions. In practical scenarios, for example, concrete operations, multiple robots (placing robots, screeding robots, vibrating robots, etc.) should work collaboratively with workers. This multi-human–multi-robot collaboration model poses critical research value, such as spatial coordination, safety assurance, task scheduling and communication protocols under dynamic site conditions.

3.2.3. Burst Detection

Burst detection refers to keywords that exhibit abrupt surges in usage frequency within a defined timeframe, signaling emerging research hotspots and evolving trends in the domain. Burst term analysis, grounded in Kleinberg’s temporal detection algorithm [54] which enables the identification of pivotal periods during which particular topics garnered heightened scholarly attention. Figure 8 reveals a clear temporal progression of HRCS, while also offering forward-looking insights into emerging research trends.
Figure 8. Keyword burst detection.
Prior to 2011, early burst terms were primarily associated with the remote control and teleoperation of construction machinery, especially in hazardous or hard-to-reach environments. This reflects the initial phase of integrating intelligent machines into construction environments.
Around 2015, keywords such as “virtual reality” and “augmented reality” experienced a significant increase, introducing new interaction modalities aimed at enhancing remote operability and situational awareness [38,55].
In recent years (2021–2025), the focus has become more concrete and safety-oriented. Emerging burst terms include “safety risk” [14,48], “monitoring” [56,57], and “end effector” [58,59]. These trends suggest a shift from general safety discussions to more specific, technically grounded approaches in safety design and control for HRC systems.
In conclusion, these burst terms highlight a paradigm shift in HRCS research—from general technological integration to more nuanced concerns related to human factors, ergonomic risk, and context-aware safety control in construction environments.

4. Discussion of Qualitative Review Findings in Construction HRCS

Following the bibliometric evidence, a qualitative synthesis was conducted to provide deeper insights into the HRCS research field. Specifically, based on keyword co-occurrence clusters and the most salient burst terms, cross-validating these structures yielded five meta-themes: (1) optimization of remote intelligent machinery; (2) hazard analysis and risk assessment in HRCS; (3) digital twin for safety monitoring in HRC; (4) cognitive and psychological impacts in HRC; (5) organizational management perspective for HRCS. This cross-validation ensures that the dimensions are firmly grounded in the quantitative mapping results. See Table 3.
Table 3. Cross-walk between meta-themes and clusters/burst terms.

4.1. Optimization of Remote Intelligent Machinery

This dimension is anchored in Cluster #0 “remote control” and the burst terms “teleoperation system,” “excavator,” and “augmented reality,” highlighting the longstanding role of remote operation in construction HRCS.
Safety motivation: Teleoperation enables remote operation of heavy equipment such as excavators and cranes, thereby removing operators from hazardous environments like excavation, welding, and demolition tasks [7,60,72]. Early developments, including the human-arm-based excavator control [40] and attention-based crane interfaces [39], demonstrated the potential of intuitive teleoperation to reduce direct exposure to risks on-site.
Technical evolution: Subsequent research expanded these systems with cameras and computer vision to strengthen situational awareness, though limitations in perception and control accuracy persisted [73,74]. Recent work has integrated immersive interfaces—head-mounted displays (HMDs), augmented reality (AR), and virtual reality (VR)—into teleoperation loops, widening the operator’s field of view and enhancing concentration during complex tasks [60,75,76]. Beyond vision, force and tactile feedback have become critical in preventing unsafe maneuvers. Haptic master devices, gradually replacing conventional joysticks, transmit contact information from the robot to the operator, improving precision and reducing collision risks [77,78]. For example, Nagano et al. (2020) validated a tactile feedback system in construction teleoperation, showing how vibration cues enhanced both accuracy and safety performance [41].
Limitations and future work: Teleoperation in HRCS has evolved from early prototypes toward immersive, feedback-rich systems that enhance situational awareness and safety. However, most studies remain prototype- or simulator-based, with limited validation in real, large-scale construction projects. Existing systems also struggle to balance immersion, responsiveness, and stability when integrating multimodal feedback (visual, haptic, AR/VR). Future research should focus on scalable field implementations, especially integrating teleoperation with autonomous assistance and real-time safety monitoring, to ensure robust and adaptive performance in dynamic construction environments.

4.2. Hazard Analysis and Risk Assessment in HRCS

This dimension is primarily anchored in Cluster #1 “risk assessment” and the burst terms “safety risk” and “monitoring”, highlighting that hazard identification and evaluation form the backbone of HRCS research.
Safety motivation: A comprehensive hazard analysis and risk assessment is essential to determine whether, and which, safeguards are required to mitigate the identified risks [79]. Although the ISO 10218-1/2 standard [80] defines foundational safety frameworks for collaborative robots, they are designed for industrial robots and focus primarily on mechanical parameters (e.g., contact force and velocity). These provisions are insufficient for the dynamic, unstructured, and multi-stakeholder construction environment, where risks are more context-dependent.
Current approaches and representative studies: To address this gap, several studies identified and discussed potential safety risk factors specific to construction HRC. Zhang et al. [5] explored four safety collaboration modes in the construction context and identified ten risk factors across human, robotic, and environmental dimensions. Sun et al. [11] classified HRC scenarios into proximal and distal interactions based on task proximity requirements, further identifying the physical risks, attentional costs, and psychological impacts within each scenario. Similarly, Okpala et al. [14] applied the Delphi method to rank identified risks across three construction tasks (e.g., drywall installation, bricklaying, and concrete grinding and polishing). A notable finding was the significant variation in hazard severity and consequence types across different robotic systems, whereas the same technology exhibited a degree of consistency when applied to different tasks. A recent methodological advance is the integration of T–S fault tree analysis with Bayesian networks for lifecycle safety risk assessment of collaborative robotics by Wang et al. [61], which enables both forward prediction and backward diagnosis through probabilistic inference. This hybrid scheme exemplifies a proactive shift by quantifying causal propagation and supporting evidence updating, compared to the predominantly static and reactive checklists in prior studies.
Limitations and future work: Despite these advances, most hazard analyses remain reactive, emphasizing post hoc identification rather than proactive risk prevention. Current methods rarely integrate multi-source monitoring data (e.g., sensor logs, physiological signals, near-miss reports) to enable real-time detection and early warning. A promising future direction is to embed probabilistic models into data-driven monitoring systems, thereby advancing HRCS management from static taxonomies toward dynamic and predictive approaches.

4.3. Digital Twin for Safety Monitoring in HRC

This dimension is anchored in Cluster #3 “digital twin” and the burst terms “automation” and “monitoring”, reflecting the increasing emphasis on virtual–physical integration to support proactive HRCS management.
Research motivation: Unlike traditional 3D simulations, digital twins create a synchronized virtual replica of physical assets, enriched with data communication and real-time feedback [81,82]. In the context of HRCS, this capability is critical for monitoring dynamic and hazardous construction environments where conventional safety controls are insufficient.
Current approaches and representative studies: Lin et al. [63] developed a digital twin-enabled safety monitoring system (SMS) and proposed a dynamic protective separation distance (PSD) calculation method for real-time safety monitoring in seamless HRC. The system was validated in both static and dynamic conflict situations, demonstrating its capability to enhance safety assurance. Similarly, Wang et al. [64] proposed an interactive and immersive process-level digital twin (I2PL-DT) embedded in a VR environment, enabling integrated task planning, visualization, and supervision of collaborative construction work.
Limitations and future work: Despite promising advances, most digital twin applications in HRCS remain conceptual or lab-based, with limited validation on live construction sites. Current efforts emphasize visualization and planning but rarely integrate multi-source field data (e.g., wearable sensors, IoT-enabled equipment) required for adaptive and predictive monitoring. Future research should prioritize embedding scalable, data-driven digital twin frameworks into construction workflows, enabling their transition from prototypes to robust, real-time safety assurance systems.

4.4. Cognitive and Psychological Impacts in HRC

This dimension is supported by Cluster #6 “efficiency improvement” and Cluster #8 “construction safety”—particularly the burst term “mental workload”—which highlight that cognitive and psychological responses are inseparable from HRCS.
Research motivation: Beyond physical hazards, HRC frequently triggers cognitive load, distraction, and adverse emotional responses such as stress, fatigue, and frustration [65,68,83,84]. Among these, perceived safety is especially critical, as workers often report discomfort or anxiety when operating in close proximity to robots [85,86], which can directly lead to unsafe behaviors [87].
Current approaches and representative studies: Cognitive ergonomics has therefore become a key research domain in HRCS. Unpredictable or high-speed robot motions have been identified as major triggers of stress and reduced situational awareness [9,88]. To address this, Liu et al. developed a brainwave-driven collaboration model, dynamically adjusting robot speed and proximity based on EEG-derived worker states to mitigate cognitive overload [67]. Trust-building strategies have also been explored: You et al. demonstrated that physical separation and immersive virtual environments (IVEs) can enhance perceived safety and acceptance of collaboration [55]. Meanwhile, advances in interface design have focused on enhancing focus and situational awareness, as shown in Chen et al. [39] (attention-based interface) and Carvalho et al. [89] (haptic force feedback interface). Collectively, these studies illustrate how real-time adaptation, trust mechanisms, and ergonomic interface design converge to address psychological safety in HRCS.
Limitations and future work: Current studies on cognitive and psychological impacts in HRCS remain fragmented and largely experimental, with limited longitudinal evidence linking psychological stress to behavioral safety outcomes. Many interventions are confined to laboratory or simulation settings, raising concerns about their ecological validity. Future research should embed cognitive ergonomics and trust mechanisms into field-deployable monitoring systems, combining physiological sensing, interface design, and immersive training. Such integration would enable HRCS to move beyond physical risk control, toward a holistic safety paradigm that encompasses both mental well-being and behavioral reliability in dynamic construction environments.

4.5. Organizational Management Perspective for HRCS

This dimension corresponds to Cluster #6 “efficiency improvement”, particularly the terms “organizational structure” and “human–robot team”, which highlight the role of managerial strategies in shaping safe and effective collaboration.
Research motivation: Effective organizational management strategies are essential for minimizing and responding to potential hazards that may arise on-site. Beyond technical safeguards, organizational management determines how humans and robots are scheduled, trained, and integrated into construction workflows. Task allocation and safety training are thus two critical levers for minimizing risks and enhancing HRCS performance.
Current approaches and representative studies: From the task management perspective, studies emphasize dynamic scheduling and workload regulation. J. S. Lee and Ham [66] demonstrated that excessive schedule pressure significantly increases cognitive load and degrades worker performance. To mitigate this, D. Lee et al. introduced a digital twin–driven deep reinforcement learning approach for adaptive task allocation, enabling robots to adjust trajectories or speed when safety incidents are detected [69]. Similarly, Liau and Ryu proposed a genetic algorithm–based allocation model that optimized ergonomic risks and agent capabilities, effectively improving both efficiency and safety [90].
From the training perspective, immersive learning technologies are increasingly applied. VR-based platforms have been shown to enhance workers’ safety knowledge and task readiness [91,92,93]. Shayesteh et al. further advanced this line of research by combining VR training with physiological signal monitoring, enabling objective assessment of cognitive load and training effectiveness [71]. Feedback collected through such simulations not only improves safety behavior but also enriches understanding of HRC applications and risks in the AEC field [5].
Limitations and future work: Despite progress, most organizational approaches remain technology- or training-specific, lacking integration into broader safety management systems. Task allocation models are rarely tested at scale on dynamic sites, and VR-based training often overlooks long-term transfer of learning to real projects. Future work should pursue integrated management frameworks that combine adaptive task scheduling, immersive training, and real-time feedback loops, ensuring that HRCS is embedded within both daily operations and organizational culture.

5. Conclusions

This literature review investigates human–robot collaboration safety (HRCS) in construction, drawing on 287 publications from 2005 to 2025. Since 2019, the number of HRCS-related studies has increased sharply, highlighting the rising significance of this field in both academic research and industry practice. This paper adopts a mixed-method approach, combining bibliometric analysis with qualitative synthesis.
In the bibliometric review, a knowledge map was constructed to visually uncover the intellectual structure of HRCS, including (1) geographical collaboration network at the country/region level, (2) co-cited publication sources, (3) keyword co-occurrence and cluster analysis, and (4) burst detection. Based on these quantitative results, especially keyword clusters and burst terms, a qualitative synthesis was developed, structured into five dimensions: (1) optimization of remote intelligent machinery, (2) hazard analysis and risk assessment, (3) digital twin for safety monitoring, (4) cognitive and psychological impacts, and (5) organizational management strategies.
The combination of bibliometric and qualitative analyses provides valuable insights into the interdisciplinary nature of HRCS, revealing both technological advances and human-centered challenges. Specifically, this review highlights the crucial role of safety technologies such as teleoperation, digital twins, and immersive interfaces in enhancing situational awareness and reducing risks in construction environments. It also underscores the importance of integrating cognitive ergonomics, trust-building mechanisms, and organizational management strategies for improving safety performance in HRC systems.
Despite these advances, there are several limitations to the current study. The data was solely extracted from Scopus, and only journal articles and conference papers published in English were included, which may limit the comprehensiveness of the dataset. The search strategy, while comprehensive, may not have captured emerging terms or included publications from other databases such as WoS, Google Scholar, and CNKI. Future research should expand the scope by incorporating multi-database and multilingual searches, including gray literature and case studies, to ensure broader coverage of the field. Moreover, an empirical-only inclusion criterion was adopted to ensure that the bibliometric mapping was grounded in verifiable data. Future systematic reviews could broaden the scope by integrating both empirical and conceptual/theoretical sources to provide a more holistic synthesis. In addition, integrating topic discovery techniques (e.g., LDA, BERTopic) and making the dataset and code publicly available would enhance reproducibility and transparency.
Substantively, the findings from the studies included in this review point to several key areas for future research. Future studies should validate the five identified dimensions through large-scale field deployments, focus on integrating data-driven monitoring systems with digital twin technologies and real-time risk detection, and explore proactive risk management approaches for HRCS in dynamic construction environments. By addressing the limitations discussed and exploring the future research directions identified, HRCS can be better integrated into construction practices, enhancing both safety and efficiency in human–robot collaborative systems.

Supplementary Materials

The following supporting information can be downloaded at: https://www.mdpi.com/article/10.3390/systems13100856/s1, PRISMA 2020 for Abstracts Checklist.

Funding

This work was supported by the National Key Research and Development Program of China (No. 2023YFC3804300) and the National Natural Science Foundation of China (Grant Nos. 52378492 and 72301068).

Data Availability Statements

The data presented in this study are available upon request from the corresponding author.

Conflicts of Interest

The authors declare no conflict of interest.

Appendix A

YearNumber of Publications
ConferenceJournal
200510
200643
200712
200850
200931
201023
201140
201212
201311
201413
201540
201723
201842
2019117
2020146
20211310
2022910
2023622
20243626
2025H11632

References

  1. OSHA (Occupational Safety and Health Administration); OSHA Technical Manual (OTM). Chapter—Industrial Robot Systems and Industrial Robot System Safety; OSHA Directive TED; OSHA: Washington, DC, USA, 2021.
  2. Davila Delgado, J.M.; Oyedele, L.; Ajayi, A.; Akanbi, L.; Akinade, O.; Bilal, M.; Owolabi, H. Robotics and Automated Systems in Construction: Understanding Industry-Specific Challenges for Adoption. J. Build. Eng. 2019, 26, 100868. [Google Scholar] [CrossRef]
  3. Bock, T. Construction Robotics. Auton. Robots 2007, 22, 201–209. [Google Scholar] [CrossRef]
  4. Kim, S.; Peavy, M.; Huang, P.-C.; Kim, K. Development of BIM-Integrated Construction Robot Task Planning and Simulation System. Autom. Constr. 2021, 127, 103720. [Google Scholar] [CrossRef]
  5. Zhang, M.; Xu, R.; Wu, H.; Pan, J.; Luo, X. Human-Robot Collaboration for on-Site Construction. Autom. Constr. 2023, 150, 104812. [Google Scholar] [CrossRef]
  6. Brosque, C.; Skeie, G.; Fischer, M. Comparative Analysis of Manual and Robotic Concrete Drilling for Installation Hangers. J. Constr. Eng. Manag. 2021, 147, 05021001. [Google Scholar] [CrossRef]
  7. Lee, J.S.; Ham, Y.; Park, H.; Kim, J. Challenges, Tasks, and Opportunities in Teleoperation of Excavator toward Human-in-the-Loop Construction Automation. Autom. Constr. 2022, 135, 104119. [Google Scholar] [CrossRef]
  8. Li, S.; Zheng, P.; Liu, S.; Wang, Z.; Wang, X.V.; Zheng, L.; Wang, L. Proactive Human–Robot Collaboration: Mutual-Cognitive, Predictable, and Self-Organising Perspectives. Robot. Comput.-Integr. Manuf. 2023, 81, 102510. [Google Scholar] [CrossRef]
  9. Villani, V.; Pini, F.; Leali, F.; Secchi, C. Survey on Human–Robot Collaboration in Industrial Settings: Safety, Intuitive Interfaces and Applications. Mechatronics 2018, 55, 248–266. [Google Scholar] [CrossRef]
  10. Liang, C.-J.; Wang, X.; Kamat, V.R.; Menassa, C.C. Human-Robot Collaboration in Construction: Classification and Research Trends. J. Constr. Eng. Manag. 2021, 147, 03121006. [Google Scholar] [CrossRef]
  11. Sun, Y.; Jeelani, I.; Gheisari, M. Safe Human-Robot Collaboration in Construction: A Conceptual Perspective. J. Saf. Res. 2023, 86, 39–51. [Google Scholar] [CrossRef]
  12. Robla-Gómez, S.; Becerra, V.M.; Llata, J.R.; González-Sarabia, E.; Torre-Ferrero, C.; Pérez-Oria, J. Working Together: A Review on Safe Human-Robot Collaboration in Industrial Environments. IEEE Access 2017, 5, 26754–26773. [Google Scholar] [CrossRef]
  13. Li, W.; Hu, Y.; Zhou, Y.; Pham, D.T. Safe Human–Robot Collaboration for Industrial Settings: A Survey. J. Intell. Manuf. 2024, 35, 2235–2261. [Google Scholar] [CrossRef]
  14. Okpala, I.; Nnaji, C.; Gambatese, J. Assessment Tool for Human–Robot Interaction Safety Risks during Construction Operations. J. Constr. Eng. Manag. 2023, 149, 04022145. [Google Scholar] [CrossRef]
  15. Gervasi, R.; Mastrogiacomo, L.; Franceschini, F. A Conceptual Framework to Evaluate Human-Robot Collaboration. Int. J. Adv. Manuf. Technol. 2020, 108, 841–865. [Google Scholar] [CrossRef]
  16. Ohueri, C.C.; Masrom, M.A.N.; Noguchi, M. Human-Robot Collaboration for Building Deconstruction in the Context of Construction 5.0. Autom. Constr. 2024, 167, 105723. [Google Scholar] [CrossRef]
  17. Xiao, B.; Chen, C.; Yin, X. Recent Advancements of Robotics in Construction. Autom. Constr. 2022, 144, 104591. [Google Scholar] [CrossRef]
  18. Jin, R.; Zou, P.X.W.; Piroozfar, P.; Wood, H.; Yang, Y.; Yan, L.; Han, Y. A Science Mapping Approach Based Review of Construction Safety Research. Saf. Sci. 2019, 113, 285–297. [Google Scholar] [CrossRef]
  19. Zhang, Y.; Liu, H.; Kang, S.-C.; Al-Hussein, M. Virtual Reality Applications for the Built Environment: Research Trends and Opportunities. Autom. Constr. 2020, 118, 103311. [Google Scholar] [CrossRef]
  20. Hosseini, M.R.; Martek, I.; Zavadskas, E.K.; Aibinu, A.A.; Arashpour, M.; Chileshe, N. Critical Evaluation of Off-Site Construction Research: A Scientometric Analysis. Autom. Constr. 2018, 87, 235–247. [Google Scholar] [CrossRef]
  21. Mongeon, P.; Paul-Hus, A. The Journal Coverage of Web of Science and Scopus: A Comparative Analysis. Scientometrics 2016, 106, 213–228. [Google Scholar] [CrossRef]
  22. Zhou, Z.; Goh, Y.M.; Li, Q. Overview and Analysis of Safety Management Studies in the Construction Industry. Saf. Sci. 2015, 72, 337–350. [Google Scholar] [CrossRef]
  23. Moher, D.; Liberati, A.; Tetzlaff, J.; Altman, D.G.; Prisma Group. Preferred Reporting Items for Systematic Reviews and Meta-Analyses: The PRISMA Statement. Ann. Intern. Med. 2009, 151, 4. [Google Scholar] [CrossRef] [PubMed]
  24. Page, M.J.; McKenzie, J.E.; Bossuyt, P.M.; Boutron, I.; Hoffmann, T.C.; Mulrow, C.D.; Shamseer, L.; Tetzlaff, J.M.; Akl, E.A.; Brennan, S.E.; et al. The PRISMA 2020 Statement: An Updated Guideline for Reporting System-atic Reviews. BMJ 2021, 372, n71. [Google Scholar] [CrossRef] [PubMed]
  25. Small, H. Visualizing Science by Citation Mapping. J. Am. Soc. Inf. Sci. 1999, 50, 799–813. [Google Scholar] [CrossRef]
  26. Chen, C. ENTERING 2014. Int. Surg. 2014, 99, 1. [Google Scholar] [CrossRef]
  27. Cui, K.; Li, W.; Wang, M.; He, Z. The Impacts of Electric Vehicle Scale-up Development on Emission Reduction: Mapping the Field and Providing a Research Agenda. Pol. J. Environ. Stud. 2023, 32, 4639–4651. [Google Scholar] [CrossRef]
  28. Ye, Q.; Zhou, R.; Asmi, F. Evaluating the Impact of the Pandemic Crisis on the Aviation Industry. Transp. Res. Rec. 2022, 2677. [Google Scholar] [CrossRef]
  29. Ding, Y.; Ma, J.; Luo, X. Applications of Natural Language Processing in Construction. Autom. Constr. 2022, 136, 104169. [Google Scholar] [CrossRef]
  30. Wen, Q.-J.; Ren, Z.-J.; Lu, H.; Wu, J.-F. The Progress and Trend of BIM Research: A Bibliometrics-Based Visualization Analysis. Autom. Constr. 2021, 124, 103558. [Google Scholar] [CrossRef]
  31. Chen, C. CiteSpace II: Detecting and Visualizing Emerging Trends and Transient Patterns in Scientific Literature. J. Am. Soc. Inf. Sci. Technol. 2006, 57, 359–377. [Google Scholar] [CrossRef]
  32. Kim, M.C.; Zhu, Y.; Chen, C. How Are They Different? A Quantitative Domain Comparison of Information Visualization and Data Visualization (2000–2014). Scientometrics 2016, 107, 123–165. [Google Scholar] [CrossRef]
  33. Lin, G.-X.; Chen, C.-M.; Rui, G.; Hu, B.-S. Research Relating to Three-Dimensional (3D) Printing in Spine Surgery: A Bibliometric Analysis. Eur. Spine J. 2023, 32, 395–407. [Google Scholar] [CrossRef]
  34. Sasaki, T.; Nagai, T.; Kawashima, K. Remote Control of Backhoe for Rescue Activities Using Pneumatic Robot System. In Proceedings of the ICRA 2006, Orlando, FL, USA, 15–19 May 2006; Volume 2006, pp. 3177–3182. [Google Scholar]
  35. Sasaki, T.; Kawashima, K. Development of a Remote Control System for Construction Machinery for Rescue Activities with a Pneumatic Robot. Adv. Robot. 2006, 20, 213–232. [Google Scholar] [CrossRef]
  36. Top, F.; Krottenthaler, J.; Fottner, J. Evaluation of Remote Crane Operation with an Intuitive Tablet Interface and Boom Tip Control; Institute of Electrical and Electronics Engineers Inc.: New York, NY, USA, 2020; Volume 2020, pp. 3275–3282. [Google Scholar]
  37. Lee, S.; Yu, S.; Yu, S.; Han, C. An Improved Multipurpose Field Robot for Installing Construction Materials. Robotica 2010, 28, 945–957. [Google Scholar] [CrossRef]
  38. Le, Q.H.; Bae, J.-I.; Jeong, Y.-M.; Nguyen, C.T.; Yang, S.-Y. Development of the Flexible Observation System for a Virtual Reality Excavator Using the Head Tracking System; Institute of Electrical and Electronics Engineers Inc.: New York, NY, USA, 2015; pp. 841–846. [Google Scholar]
  39. Chen, Y.-C.; Chi, H.-L.; Kang, S.-C.; Hsieh, S.-H. Attention-Based User Interface Design for a Tele-Operated Crane. J. Comput. Civ. Eng. 2016, 30, 04015030. [Google Scholar] [CrossRef]
  40. Kim, D.; Kim, J.; Lee, K.; Park, C.; Song, J.; Kang, D. Excavator Tele-Operation System Using a Human Arm. Autom. Constr. 2009, 18, 173–182. [Google Scholar] [CrossRef]
  41. Nagano, H.; Takenouchi, H.; Cao, N.; Konyo, M.; Tadokoro, S. Tactile Feedback System of High-Frequency Vibration Signals for Supporting Delicate Teleoperation of Construction Robots. Adv. Robot. 2020, 34, 730–743. [Google Scholar] [CrossRef]
  42. Szabolcsi, R.; Molnár, G.; Wuhrl, T. Conceptual Design of a UAV-UGV Autonomous Collaborative Robot System; Institute of Electrical and Electronics Engineers Inc.: New York, NY, USA, 2024; pp. 207–211. [Google Scholar]
  43. Lee, J.S.; Oh, S.; Park, H.; Ham, Y. Feedback System for Enhancing Human-Robot Interaction Performance in Construction Robots; American Society of Civil Engineers (ASCE): Reston, VA, USA, 2024; Volume 1, pp. 79–88. [Google Scholar]
  44. Cai, J.; Du, A.; Liang, X.; Li, S. Prediction-Based Path Planning for Safe and Efficient Human-Robot Collaboration in Construction via Deep Reinforcement Learning. J. Comput. Civ. Eng. 2023, 37, 04022046. [Google Scholar] [CrossRef]
  45. Ito, M.; Raima, C.; Saiki, S.; Yamazaki, Y.; Kurita, Y. Effects of Machine Instability Feedback on Safety during Digging Operation in Teleoperated Excavators. IEEE Access 2021, 9, 28987–28998. [Google Scholar] [CrossRef]
  46. Lv, M.; Feng, Z.; Yang, X.; Liu, B. A Method for Human–Robot Complementary Collaborative Assembly Based on Knowledge Graph. CCF Trans. Pervasive Comput. Interact. 2025, 7, 70–86. [Google Scholar] [CrossRef]
  47. Wu, M.; Lin, J.-R.; Zhang, X.-H. How Human-Robot Collaboration Impacts Construction Productivity: An Agent-Based Multi-Fidelity Modeling Approach. Adv. Eng. Inform. 2022, 52, 101589. [Google Scholar] [CrossRef]
  48. Lin, J.; Li, Q.; Zhu, R.; Cai, Y.; You, L.; Zou, L.; Liu, S. Coupled Risk Assessment of Construction Workers’ Unsafe Behaviors in Human-Robot Interactions; International Association for Automation and Robotics in Construction (IAARC): Oulu, Finland, 2024; pp. 585–592. [Google Scholar]
  49. Cheng, M.H.; Liang, C.-J.; Dominguez, E.G. Safe Operations of Construction Robots on Human-Robot Collaborative Construction Sites; International Association for Automation and Robotics in Construction (IAARC): Oulu, Finland, 2024; pp. 9–16. [Google Scholar]
  50. Ojha, A.; Liu, Y.; Shayesteh, S.; Jebelli, H.; Sitzabee, W.E. Affordable Multiagent Robotic System for Same-Level Fall Hazard Detection in Indoor Construction Environments. J. Comput. Civ. Eng. 2023, 37, 04022042. [Google Scholar] [CrossRef]
  51. Kim, H.-G.; Park, J.-H.; Kim, J.-C.; Hwang, J.-H.; Park, J.-W.; Park, I.-G.; Lee, H.-J.; Noh, K.; Choi, Y.-H.; Suh, J.-H. Development of a Multi-Robot System for Pier Construction. Machines 2024, 12, 385. [Google Scholar] [CrossRef]
  52. Im, H.; Lee, C.-E.; Cho, Y.-J. Radio Mapping Scheme Using Collective Intelligent Robots for Teleoperation in Unstructured Environments. In Proceedings of the The 23rd IEEE International Symposium on Robot and Human Interactive Communication, Edinburgh, UK, 25–29 August 2014; pp. 856–861. [Google Scholar]
  53. Wei, H.-H.; Zhang, Y.; Sun, X.; Chen, J.; Li, S. Intelligent Robots and Human-Robot Collaboration in the Construction Industry: A Review. J. Intell. Constr. 2023, 1, 1–12. [Google Scholar] [CrossRef]
  54. Kleinberg, J. Bursty and Hierarchical Structure in Streams. Data Min. Knowl. Discov. 2003, 7, 373–397. [Google Scholar] [CrossRef]
  55. You, S.; Kim, J.-H.; Lee, S.; Kamat, V.; Robert, L.P. Enhancing Perceived Safety in Human–Robot Collaborative Construction Using Immersive Virtual Environments. Autom. Constr. 2018, 96, 161–170. [Google Scholar] [CrossRef]
  56. Akbar, A.; Song, J.; Kwon, S.W. Remote Monitoring System and Controller for the Construction Machinery Using AR Smart Glasses; International Association for Automation and Robotics in Construction (IAARC): Oulu, Finland, 2021; Volume 2021, pp. 475–482. [Google Scholar]
  57. Liu, Y.; Habibnezhad, M.; Jebelli, H.; Monga, V. Worker-in-the-Loop Cyber-Physical System for Safe Human-Robot Collaboration in Construction; American Society of Civil Engineers (ASCE): Reston, VA, USA, 2021; pp. 1075–1083. [Google Scholar]
  58. Senk, V.; Ghazanfari, M.; Rasoulzadeh, S.; Vasylevska, K.; Kovacs, B.I.; Mortezapoor, S.; Vonach, E.; Kovacic, I.; Füssl, J.; Kaufmann, H.; et al. HeXA: Haptic-Enhanced eXtended Reality Framework for Material-Informed Architectural Design. J. Build. Eng. 2025, 108, 112707. [Google Scholar] [CrossRef]
  59. Yang, T.; Arashpour, M.; Abdi, E. Critical Review of Load Handover in Construction Cranes. J. Archit. Eng. 2025, 31, 03125001. [Google Scholar] [CrossRef]
  60. Le, Q.H.; Lee, J.W.; Yang, S.Y. Remote Control of Excavator Using Head Tracking and Flexible Monitoring Method. Autom. Constr. 2017, 81, 99–111. [Google Scholar] [CrossRef]
  61. Wang, L.; Huang, Y.; Wang, Y.; Gu, B.; Li, B.; Fang, D. Comprehensive Lifecycle Safety Risk Assessment for Construction Robotics Using T-S Fault Tree Analysis and Bayesian Network. Autom. Constr. 2025, 172, 106041. [Google Scholar] [CrossRef]
  62. Nnaji, C.; Okpala, I.; Gambatese, J.; Jin, Z. Controlling Safety and Health Challenges Intrinsic in Exoskeleton Use in Construction. Saf. Sci. 2023, 157, 105943. [Google Scholar] [CrossRef]
  63. Lin, X.; Guo, Z.; Jin, X.; Guo, H. Digital Twin-Enabled Safety Monitoring System for Seamless Worker-Robot Collaboration in Construction. Autom. Constr. 2025, 174, 106147. [Google Scholar] [CrossRef]
  64. Wang, X.; Liang, C.-J.; Menassa, C.C.; Kamat, V.R. Interactive and Immersive Process-Level Digital Twin for Collaborative Human–Robot Construction Work. J. Comput. Civ. Eng. 2021, 35, 04021023. [Google Scholar] [CrossRef]
  65. Lu, L.; Xie, Z.; Wang, H.; Li, L.; Xu, X. Mental Stress and Safety Awareness during Human-Robot Collaboration—Review. Appl. Ergon. 2022, 105, 103832. [Google Scholar] [CrossRef] [PubMed]
  66. Lee, J.S.; Ham, Y. The Effect of Time Pressure on Human-Robot Interaction Performance During Excavator Teleoperation; American Society of Civil Engineers (ASCE): Reston, VA, USA, 2024; pp. 505–512. [Google Scholar]
  67. Liu, Y.; Habibnezhad, M.; Jebelli, H. Brainwave-Driven Human-Robot Collaboration in Construction. Autom. Constr. 2021, 124, 103556. [Google Scholar] [CrossRef]
  68. Baek, F.; Kim, D.; Lee, G.; Choi, B.; Lee, S. Effect of Human Emotional Responses on Human-Robot Team Pty in Construction. Autom. Constr. 2024, 166, 105608. [Google Scholar] [CrossRef]
  69. Lee, D.; Lee, S.; Masoud, N.; Krishnan, M.S.; Li, V.C. Digital Twin-Driven Deep Reinforcement Learning for Adaptive Task Allocation in Robotic Construction. Adv. Eng. Inform. 2022, 53, 101710. [Google Scholar] [CrossRef]
  70. Adami, P.; Rodrigues, P.B.; Woods, P.J.; Becerik-Gerber, B.; Soibelman, L.; Copur-Gencturk, Y.; Lucas, G. Effectiveness of VR-Based Training on Improving Construction Workers’ Knowledge, Skills, and Safety Behavior in Robotic Teleoperation. Adv. Eng. Inform. 2021, 50, 101431. [Google Scholar] [CrossRef]
  71. Shayesteh, S.; Ojha, A.; Liu, Y.; Jebelli, H. Human-Robot Teaming in Construction: Evaluative Safety Training through the Integration of Immersive Technologies and Wearable Physiological Sensing. Saf. Sci. 2023, 159, 106019. [Google Scholar] [CrossRef]
  72. Yamamoto, H.; Ishimatsu, Y.; Ageishi, S.; Ikeda, N.; Endo, K.; Masuda, M.; Uchida, M.; Yamaguchi, H. Example of Experimental Use of 3D Measurement System for Construction Robot Based on Component Design Concept. Int. Symp. Autom. Robot. Constr. ISARC Proc. 2006, 252–257. [Google Scholar] [CrossRef]
  73. Roldán, J.J.; Peña-Tapia, E.; Garzón-Ramos, D.; de León, J.; Garzón, M.; del Cerro, J.; Barrientos, A. Multi-Robot Systems, Virtual Reality and ROS: Developing a New Generation of Operator Interfaces. In Robot Operating System (ROS); Springer: Cham, Switzerland, 2019; pp. 29–64. ISBN 978-3-319-91590-6. [Google Scholar]
  74. Hashimoto, S.; Ishida, A.; Inami, M.; Igarashi, T. Touchme: An Augmented Reality Based Remote Robot Manipulation. In Proceedings of the ICAT2011, Osaka, Japan, 28–30 November 2011. [Google Scholar]
  75. Gil, M.S.; Kang, M.S.; Lee, S.H.; Kim, D.; Kim, B.; Han, C.S. Proposal of Installation Method of Heavy Duty Glass Using Intuitive Manipulation Device. Int. Symp. Autom. Robot. Constr. ISARC Proc. 2011, 82–88. [Google Scholar] [CrossRef]
  76. Kurien, M.; Kim, M.-K.; Kopsida, M.; Brilakis, I. Real-Time Simulation of Construction Workers Using Combined Human Body and Hand Tracking for Robotic Construction Worker System. Autom. Constr. 2018, 86, 125–137. [Google Scholar] [CrossRef]
  77. Hirabayashi, T.; Akizono, J.; Yamamoto, T.; Sakai, H.; Yano, H. Teleoperation of Construction Machines with Haptic Information for Underwater Applications. Autom. Constr. 2006, 15, 563–570. [Google Scholar] [CrossRef]
  78. Oh, K.W.; Kim, D.; Hong, D.; Park, J.-H.; Hong, S. Design of a Haptic Device for Excavator Equipped with Crusher; Vilnius Gediminas Technical University: Vilnius, Lithuania, 2008; pp. 202–208. [Google Scholar]
  79. Franklin, C.S.; Dominguez, E.G.; Fryman, J.D.; Lewandowski, M.L. Collaborative Robotics: New Era of Human–Robot Cooperation in the Workplace. J. Saf. Res. 2020, 74, 153–160. [Google Scholar] [CrossRef]
  80. ISO ISO/TS 15066; Robots and Robotic Devices—Collaborative Robots. ISO: Geneva, Switzerland, 2016.
  81. Wang, X.V.; Kemény, Z.; Váncza, J.; Wang, L. Human–Robot Collaborative Assembly in Cyber-Physical Production: Classification Framework and Implementation. CIRP Ann. 2017, 66, 5–8. [Google Scholar] [CrossRef]
  82. Deng, M.; Menassa, C.C.; Kamat, V.R. Kamat From BIM to Digital Twins: A Systematic Review of the Evolution of Intelligent Building Representations in the AEC-FM Industry. J. Inf. Technol. Constr. 2021, 26, 58–83. [Google Scholar] [CrossRef]
  83. Meissner, A.; Trübswetter, A.; Conti-Kufner, A.S.; Schmidtler, J. Friend or Foe? Understanding Assembly Workers’ Acceptance of Human-Robot Collaboration. J. Hum.-Robot Interact. 2020, 10, 1–30. [Google Scholar] [CrossRef]
  84. Zorzenon, R.; Lizarelli, F.L.; de A. Moura, D.B.A. What Is the Potential Impact of Industry 4.0 on Health and Safety at Work? Saf. Sci. 2022, 153, 105802. [Google Scholar] [CrossRef]
  85. Bartneck, C.; Kulić, D.; Croft, E.; Zoghbi, S. Measurement Instruments for the Anthropomorphism, Animacy, Likeability, Perceived Intelligence, and Perceived Safety of Robots. Int. J. Soc. Robot. 2009, 1, 71–81. [Google Scholar] [CrossRef]
  86. Chuan Tan, J.T.; Duan, F.; Zhang, Y.; Kato, R.; Arai, T. Safety Design and Development of Human-Robot Collaboration in Cellular Manufacturing. In Proceedings of the 2009 IEEE International Conference on Automation Science and Engineering, Bangalore, India, 22–25 August 2009; pp. 537–542. [Google Scholar]
  87. Jeelani, I.; Gheisari, M. Safety Challenges of Human-Drone Interactions on Construction Jobsites. In Automation and Robotics in the Architecture, Engineering, and Construction Industry; Jebelli, H., Habibnezhad, M., Shayesteh, S., Asadi, S., Lee, S., Eds.; Springer International Publishing: Cham, Switzerland, 2022; pp. 143–164. ISBN 978-3-030-77163-8. [Google Scholar]
  88. Sarvghadi, H.; Reinhardt, A.; Semmelhack, E.A. A Survey of Wearable Devices to Capture Human Factors for Human-Robot Collaboration. Pervasive Mob. Comput. 2025, 110, 102048. [Google Scholar] [CrossRef]
  89. Carvalho, L.; Rezeck, P.; Lima, M.V.; Pinto, L.; Freitas, G.; Nascimento, E.R.; MacHaret, D.G.; Chaimowicz, L.; Pessin, G.; Campos, M.F.M. On the Evaluation of Force Feedback Augmented Teleoperation of Excavator-like Mobile Manipulators; IEEE Computer Society: Washington, DC, USA, 2020; Volume 2020, pp. 1401–1407. [Google Scholar]
  90. Liau, Y.Y.; Ryu, K. Genetic Algorithm-Based Task Allocation in Multiple Modes of Human–Robot Collaboration Systems with Two Cobots. Int. J. Adv. Manuf. Technol. 2022, 119, 7291–7309. [Google Scholar] [CrossRef]
  91. Adami, P.; Becerik-Gerber, B.; Soibelman, L.; Doleck, T.; Copur-Gencturk, Y.; Lucas, G. An Immersive Virtual Learning Environment for Worker-Robot Collaboration on Construction Sites; Institute of Electrical and Electronics Engineers Inc.: New York, NY, USA, 2020; Volume 2020, pp. 2400–2411. [Google Scholar]
  92. Adami, P.; Rodrigues, P.B.; Woods, P.J.; Becerik-Gerber, B.; Soibelman, L.; Copur-Gencturk, Y.; Lucas, G. Impact of VR-Based Training on Human–Robot Interaction for Remote Operating Construction Robots. J. Comput. Civ. Eng. 2022, 36, 04022006. [Google Scholar] [CrossRef]
  93. Onososen, A.; Musonda, I. VR-BASED TRAINING METHODS IN ENHANCING COMMUNICATION WITHIN HUMAN-ROBOT TEAMS IN CONSTRUCTION; Association of Researchers in Construction Management: London, UK, 2024; pp. 121–128. [Google Scholar]
Disclaimer/Publisher’s Note: The statements, opinions and data contained in all publications are solely those of the individual author(s) and contributor(s) and not of MDPI and/or the editor(s). MDPI and/or the editor(s) disclaim responsibility for any injury to people or property resulting from any ideas, methods, instructions or products referred to in the content.

Article Metrics

Citations

Article Access Statistics

Multiple requests from the same IP address are counted as one view.