Next Article in Journal
Metaverse Acceptance by the Accounting Community as a Premise of Sustainable Behavior
Next Article in Special Issue
Strategic Sensor Placement in Expansive Highway Networks: A Novel Framework for Maximizing Information Gain
Previous Article in Journal
A Model for the Acceptance and Use of Online Meeting Tools
Previous Article in Special Issue
Estimating Benefits of Microtransit for Social Determinants of Health: A Social Return on Investment System Dynamics Model
 
 
Font Type:
Arial Georgia Verdana
Font Size:
Aa Aa Aa
Line Spacing:
Column Width:
Background:
Article

Does Robotaxi Offer a Positive Travel Experience? A Study of the Key Factors That Influence Consumers’ Use of the Robotaxi

1
School of Design, Jiangnan University, Wuxi 214122, China
2
Academy of Arts & Design, Tsinghua University, Beijing 100084, China
3
School of Textile Garment and Design, Changshu Institute of Technology, Changshu 215500, China
*
Author to whom correspondence should be addressed.
Systems 2023, 11(12), 559; https://doi.org/10.3390/systems11120559
Submission received: 23 October 2023 / Revised: 24 November 2023 / Accepted: 28 November 2023 / Published: 29 November 2023
(This article belongs to the Special Issue Decision Making and Policy Analysis in Transportation Planning)

Abstract

:
Presently, robotaxi is being tested in cities such as Beijing, Changsha, Guangzhou, etc., and it remains a relatively new mode of transportation for consumers. Considering that robotaxi is a new mobility model, its popularity has an immediate impact on the function and efficiency of urban traffic, so further research on consumers’ perceptions is necessary in order to improve their acceptance of robotaxi. In this study, we explored the behavioral intention of current users of robotaxi based on their performance expectancy, effort expectation, and perceived risk. Based on the results, it appears that performance expectations and effort expectations positively influence usage intentions, which indicates that improving travel efficiency and lowering the threshold for robotaxi use will assist consumers in accepting it. In terms of consumer behavior, perceived risk negatively impacts usage intention, meaning that personal safety, service quality, and travel experience are important factors. Performance expectancy and effort expectancy are positively correlated, indicating that improving travel efficiency and lowering thresholds are complementary.

1. Introduction

The self-driving automobile, also known as a driverless car or autonomous vehicle (AV), is able to sense the environment and navigate autonomously without the assistance of a driver [1]. The level of vehicle automation, as classified by the Society of Automotive Engineers (SAE) (2016), falls between L1 (driver assistance) and L5 (full driving automation) [2]. It is the goal of major manufacturers, such as Google, Tesla, and Huawei, to achieve L5 autonomous driving, which may be the final form of car driving.
In China, the popularity of intelligent vehicles is increasing, which makes autonomous driving more and more feasible. China’s robotaxi market is expected to reach 15.8 billion yuan in 2022, according to China Robotaxi Industry Development Insights 2022. In the online car-hailing and traditional taxi markets, robotaxi has a penetration rate of 3%. During the period from 2024 to 2027, the market size will increase from 85 billion yuan to 139 billion yuan, and the penetration rate will increase from 15% to 22%. Market size is expected to reach 196.2 billion yuan by 2028, with a penetration rate of 30% [3]. A positive attitude towards unmanned vehicles is also demonstrated by the government and enterprises. Robotaxi is also a future trend and form of transportation.
A driverless vehicle may bring considerable benefits to road safety, flexibility, inclusivity, and sustainability in today’s society, where vehicles are becoming more and more popular [4]. With China’s large population base, daily commuters, tourists, and travelers, unmanned vehicles may have a bright future in this market. From the perspective of taxi companies, robotaxi can reduce the labor cost of taxi drivers and facilitate management, as well as serve as a new technology to attract consumers. From the perspective of consumers, robotaxi may be able to calculate the most efficient route more easily since it is autonomously driven, which may reduce communication issues with drivers. Female consumers may feel that robotaxi will be safer and have additional advantages. Robotaxi can impact the issues associated with security, trust, privacy, accountability, reliability, and transparency [5]. It is still a relatively new travel mode for users, even though robotaxi has been piloted in cities such as Beijing, Changsha, and Guangzhou. As a new mobility model, robotaxi’s popularity has a certain effect on the function and efficiency of urban traffic, so further exploration of consumer perception is necessary in order to improve their acceptance of robotaxi.
This study aims to explore the perceptions of general consumers or potential consumers towards robotaxis and how these perceptions influence their behavioral intention to ultimately use robotaxis by investigating China’s robotaxi users. This study employs variables such as performance expectancy, service expectancy, and perceived risk to establish a hypothetical model to examine the factors influencing consumers’ usage of robotaxis. This research perspective is relatively novel in the current field and aids businesses in deepening their understanding of the underlying motivations of consumers. At a time when urban transportation faces challenges, the promotion of autonomous vehicles becomes particularly crucial.
Additionally, the results of this study can provide governments, businesses, or investors with an in-depth analysis of the robotaxi market outlook from a consumer perspective, offering valuable decision-making direction. Our research can aid in understanding the development of China’s robotaxi market and delve deeper into key factors such as user needs, technological advancement, and market prospects, providing profound insights and robust support for the future development of robotaxis.

2. Theoretical Framework

In order to effectively evaluate consumers’ willingness to use robotaxi and establish consumers’ relevant cognition, this study builds a research framework by selecting relevant constructs as the assessment content involved in the study through literature review and discussion.

2.1. Performance Expectancy and Effort Expectancy

The subjects of performance expectation and effort expectation are generally discussed together in UTAUT [6] or UTAUT2 [7]. In terms of performance expectancy, it is the degree to which an individual believes that the system will contribute to the improvement of their job performance [6]. The effort expectancy of a system relates to how easy it is for individuals to use it [7]. According to the definition, performance expectancy and effort expectancy refer to the degree to which consumers accept new products and new technologies, i.e., the degree to which they are easy to use and useful [8]. According to this study, performance expectancy refers to the degree to which robotaxi’s travel efficiency meets expectations, while effort expectancy refers to the ease with which it can be used. The study by Kanwaldeep et al. considers performance expectancy when investigating key factors for consumer adoption of autonomous vehicles [9]. According to their study, self-driving cars will perform better than manual-driven vehicles [10]. In addition, effort expectancy has implications for consumers’ behavioral intentions regarding autonomous vehicles [11]. Unmanned vehicles are more likely to be adopted by consumers when their effort expectations are lower [12]. In this study, we focus on performance expectancy and effort expectancy because robotaxi is still in the exploratory stage in China, and there are only a few cities currently being piloted. In addition to conducting research from the viewpoint of unmanned vehicle technology, it is important to look at consumer views, perceptions, and acceptance of robotaxi. While there are similar factors in UTAUT, such as facilitating conditions and social influence, there is a lack of social influence conditions because we are analyzing subjective cognition and robotaxi has not yet established a large-scale presence in China. Due to this, other constructs of UTAUT are not taken into account in this study.

2.2. Perceived Risk

First, perceived risk is associated with psychology research, which relates to consumers’ expectations of negative outcomes when purchasing a particular product [13]. Because driverless cars are a new technology undergoing development, it is understandable that consumers are concerned about them. Unmanned vehicles may cause consumers’ concerns due to online reports [14], media perceptions [15], etc. In addition, consumers may have concerns about hacker attacks, vehicles being remotely controlled, and autonomous driving being disrupted by emergencies [9,16]. Therefore, unmanned vehicles still require improvements in order to be reliable in the face of small probability events [17]. The perceived risk in this study refers to the likelihood that consumers perceive risks associated with robotaxi’s service quality, safety, and travel experience. As consumers weigh risks and benefits before making a final decision [18], the lower the perceived risks, the higher the perceived advantages of unmanned vehicles [18]. Additionally, the less risk consumers perceive, the more likely they are to adopt robotaxi.

2.3. Behavioral Intention

The behavioral intention indicator is an important component of consumer research, since it indicates the likelihood of the consumer taking a particular action [19]. Consumer behavior has also been extensively discussed in the field of unmanned vehicles. Shirley et al. discuss how value orientation, media attention, and scientific knowledge influence Singaporeans’ behavioral intention to use self-driving cars [20]. Ghasri and Vij investigated the influence of media comments and social influence on consumer behavioral intentions, particularly in relation to the distinction between different natural attributes of consumers [21]. Kaur and Rampersad discuss the aspects of security and privacy that consumers are most concerned about [9]. A reduction or elimination of consumer concerns will result in an increase in consumer behavioral intention. According to this study, the consumer’s behavioral intention represents the degree of willingness to ride a robotaxi. An individual’s behavioral intention is positively influenced by positive intentions and negatively influenced by negative intentions. As a result, in this study, the consumers’ intentions to adopt robotaxi may be influenced by their PE and EE, and at the same time, they may be negatively affected by their PR.

3. Research Method and Hypothesis

Based on the research purpose, this study draws up a research structure and integrates and analyzes the theoretical basis of relevant literature in order to carry out research methods and develop a research plan for implementation. This chapter explores the relevant influencing factors that affect consumers’ adoption of robotaxi based on literature research, establishes hypotheses, and uses quantitative questionnaires and scale survey methods to test these hypotheses. Following the reliability analysis and item analysis of the questionnaires, a correlation analysis was performed using a structural equation model. In addition to providing specific practice recommendations, the factors that impact the consumer the most were analyzed.

3.1. Proposed Theoretical Model and Research Hypothesis

Considering the above discussion, this study proposes the following hypotheses and constructs a model based on the hypothetical relationship. The model includes four constructs, performance expectancy (PE), effort expectancy (EE), perceived risk (PR), and behavioral intention (BI), as well as five related research hypotheses (Figure 1).
Hypothesis 1 (H1).
Performance expectancy is significantly positively correlated with the consumers’ behavioral intention of robotaxi.
Hypothesis 2 (H2).
Performance expectancy and consumers’ perceived risk for robotaxi are significantly negatively correlated.
Hypothesis 3 (H3).
Effort expectancy is significantly positively correlated with the consumers’ behavioral intention of robotaxi.
Hypothesis 4 (H4).
Effort expectancy and consumers’ perceived risk for robotaxi are significantly negatively correlated.
Hypothesis 5 (H5).
Perceived risk is significantly negatively correlated with the consumers’ behavioral intention of robotaxi.

3.2. Definitions of Research Variables

According to the research topic and literature relevant to this study, the items of the questionnaire were designed. In Table 1, we present the definition of variable operability and the reference source for the scale.

4. Results

This chapter focuses primarily on the research objectives of two stages: the distribution and collection of questionnaires, and the subsequent quantitative analysis of the data. A detailed description of the calculation process and statistical results is provided below:

4.1. Descriptive Analysis of Demographic Variables

From February to May 2022, a Chinese online questionnaire was distributed through the Questionnaire Star network platform to citizens in Beijing, Changsha, Guangzhou, and other cities with robotaxi pilot programs. As robotaxi is still in the pilot stage, consumers in these major cities, particularly those who have experienced autonomous taxis, constitute our primary target for investigation. Additionally, given the preliminary nature of this study, there are no extensive restrictions imposed on the consumer demographic.
In the survey, all subjects click on a link to view the survey description, while they also voluntarily answer the research questions and can launch the survey at any time. In this regard, all subjects are fully informed. After completing the questionnaire and scale, in order to express our gratitude, the subjects will receive a bonus of 15 RMB and a lottery on the platform.
With the exception of demographic variables, all variables were rated using a seven-point Likert scale (1. Strongly disagree; 2. Disagree; 3. Slightly disagree; 4. Neutral; 5. Slightly agree; 6. Agree; 7. Strongly agree). In this study, 750 questionnaires were sent out, and a total of 640 valid samples were obtained, which was in line with Jackson’s estimated parameter-to-sample ratio, greater than 1:10 [24]. The distribution of demographic variables in this study is shown in Table 2 based on the statistical analysis of the data collected from the valid questionnaire.

4.2. Reliability Analysis

This study recruited IBM SPSS 24 software to conduct reliability and validity analysis. A reliability analysis was conducted on the questionnaire in order to remove unstable questions to ensure reliability and discrimination. In Table 3, Cronbach’s α value of each facet is greater than 0.6, and the CITC (corrected item-to-total correlation) is greater than 0.4, indicating high confidence for all constructs [25]. Moreover, deleting any item will result in a lower aspect of Cronbach’s α than the current result, indicating that the item should not be deleted. The comprehensive data show that the data is reliable and can be used for further analysis.

4.3. Exploratory Factor Analysis

An exploratory factor analysis was conducted to test the validity of the questionnaire in this study. The method of analysis used in the calculation process is principal component analysis (PCA). In addition, factor rotation was performed using the varimax method. Table 4 illustrates the results. The KMO (Kaiser–Meyer–Olkin) value of all constructs is greater than 0.5 and the significance of Bartlett’s Sphere test is less than 0.05, indicating that the data meet the criteria for factor analysis [26,27]. A further analysis shows that the commonality of each item exceeds 0.5 and the factor loading that contributes to its construct exceeds 0.6. This suggests that the construct has good validity [28]. In the extraction of new factors, all items belonging to each construct are included. An eigenvalue greater than 1 can only be extracted from one new factor belonging to each construct [29], indicating that it is a good single construct factor [30].

4.4. Measurement Model

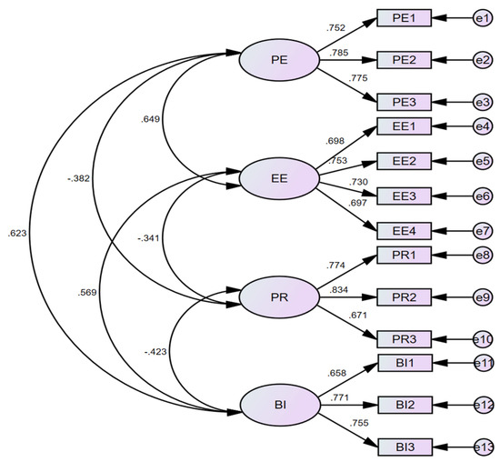
This study used IBM AMOS 22 software for structural equation model analysis. Because a large number of studies have used AMOS for analysis, AMOS is proven to be a reliable structural equation modeling software. In Figure 2, all latent variables are correlated and satisfy the path analysis premise. Moreover, all fit points in this model meet the recommended criteria, as shown in Table 5. This indicates that the first-order confirmatory factor analysis (CFA) model is well-fitted [31].
Table 6 presents the results of convergent validity. Each item in the first-order CFA model has a factor loading greater than 0.5. There was a significant correlation between coefficient estimates and standard errors, t > 1.96, p < 0.05, as indicated in the fit index. Each construct’s combined reliability (CR) exceeds 0.6 [32], and the average variance extracted (AVE) exceeds the base value of 0.36 [33]. According to the results of this study, the questionnaire data show good convergent validity.
The discriminant validity is based on the work of Fornell and Larcker [31]. The model is considered discriminant if the square root of the AVE for each facet is greater than the correlation coefficient between the facets. In this study, all diagonal values are greater than the values outside the diagonal, and therefore all aspects of this study have good discriminant validity (Table 7). This study shows that each construct has good discriminant validity.

4.5. Structural Equation Model

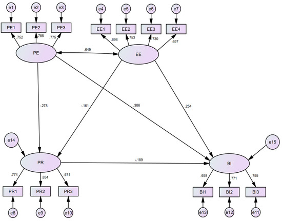
In this study, we used the research of Jackson et al. [34], Kline [35], Schumacker [36], and Hu and Bentler [37], as well as other scholars. To evaluate the fit of the structural model, multiple indicators (MLχ2, DF, χ2/DF, RMSEA, SRMR, AGFI, CFI, NFI, GFI) were selected. As shown in Table 8, the research constructs are measured according to the research assumptions and models. In addition, all standard model fit evaluation indicators satisfy the independent level and combination rule of recommended fit, which indicates that the structural model has a good fit. According to the study, the theoretical framework assumed is consistent with the actual survey results. The path coefficients are shown in Figure 3.
According to Liao and Hu’s research, this study tests the path effect in the model [38]. The test standard was set at * p < 0.1, ** p < 0.05, and *** p < 0.001. As can be seen from Table 9, when PR is the dependent variable, PE has a direct negative effect on PR (p = 0.001, β = −0.278), and EE also has a direct negative effect on PR (p = 0.029, β = −0.161). When BI is the dependent variable, PR negatively affects BI (p = 0.001, β = −0.189), while PE positively affects BI (p = 0.001, β = 0.386). There is a positive indirect effect of PE on BI (p = 0.001, β = 0.052) and a positive impact in total (p = 0.001, β = 0.438). There is a direct positive effect of EE on BI (p = 0.001, β = 0.254), as well as an indirect positive effect (p = 0.016, β = 0.030), with a total positive effect (p = 0.001, β = 0.285).

4.6. Analyzing Moderated Variables

The study further examined the moderating effect of gender as a moderator variable on each pathway, as shown in Table 10. According to the results, only EE had a significant moderating effect on PR when gender was used as a moderator variable.
Further, as shown in Table 11, we compared the path coefficients that moderated the effects of variables. When it comes to perceiving PR, only female consumers are sensitive to EE, whereas men are not.

5. Discussion

The results of the empirical analysis provide some key findings, which are discussed below.
The results of this study demonstrate that PE and EE have positive effects on BI(H1, H3), which is consistent with the results of previous studies [9,39]. It has been demonstrated that consumers’ expectations of whether or not to use robotaxi depend on their perceptions of its travel efficiency and ease of use—robotaxi’s commitment to meeting consumers’ commuting and travel needs in a cost-effective and efficient manner [40]. In this regard, both researchers and related service organizations must take effective measures to improve the PE of potential users in order to increase the degree of acceptance or use of the product [39]. In addition to improving travel efficiency, consumers also value robotaxi’s ease of use. In order to obtain relatively high benefits, consumers must spend the least amount of time, money, and effort (including time and economic costs) [41]. Therefore, it is necessary to work closely with all relevant organizations and departments to develop an easier-to-use travel form, similar to the MaaS system, and to optimize the robotaxi experience.
It has been demonstrated that PE and EE negatively affect PR (H2, H4). Therefore, consumers perceive a lower risk when PE and EE are higher. Based on the interpretation of this study, consumers’ perceptions of robotaxis include service quality [42], safety [9], travel experience, etc. [43]. The higher the robotaxi property, the lower the perceived risk. As a result, consumers’ judgment of PR is influenced by the positive perception of their peers represented by PE and EE. This study found that PR negatively impacted BI(H5). Thus, the higher the PR, the lower the BI of the consumer. A number of studies have confirmed the relationship between risks and BI in the context of autonomous vehicles [43,44]. Therefore, it is necessary to take measures to reduce the risk perception of consumers, thereby improving BI, such as providing timely customer service communication and ensuring the arrival of spare vehicles in the event of a vehicle failure.
It is interesting to note that PE has a direct influence coefficient of 0.386 and a total influence coefficient of 0.438 on BI. EE has a direct influence coefficient of 0.254 on BI, and a total influence coefficient of 0.285. It has been demonstrated that representing PR as a variable intermediary improves the perception of BI by consumers from PE and EE. The reason for this may be that robotaxi already has a certain degree of perfection in its form, function, and service in the current environment and conditions. Some of the concerns of consumers have been addressed by manufacturers and service providers. Consequently, consumers perceive less risk than they expect, which facilitates BI.
Furthermore, this study examined whether gender, as a moderator variable, affects different pathways. When gender was used as a moderator variable, it only had a moderating effect on the pathway from EE to PR. Further analysis reveals that only female consumers have sensitive perceptions. In line with previous research, female consumers may be more sensitive to public relations [45]. The above phenomenon may be attributed to the fact that female consumers are less comfortable with new technologies than male consumers, and they have a greater sense of self-protection and insecurity.

6. Managerial Implication

The contribution of this study lies in deconstructing the impact of performance expectancy, effort expectancy, perceived risk, and gender on users’ intention to use robotaxi, and in providing relevant decision-making directions or suggestions for industry decision-makers.
Firstly, we identified that performance expectancy plays a key role in the model of consumer behavioral intention to use robotaxis. Manufacturers and service providers should adopt the latest technologies and intelligent dispatch systems to optimize service design, reduce consumers’ time costs, and improve overall service efficiency. Additionally, to enhance the convenience experience for users, manufacturers and service providers need to consider offering personalized services and integrated service chains, such as with Mobility-as-a-Service systems. This approach can reduce the learning curve for new users and increase user coverage, making it easier for consumers to use robotaxis. Such measures would help enhance effort expectancy, fostering a positive anticipation of the service among users.
To alleviate consumer concerns about the unknown risks associated with robotaxi services, manufacturers and service providers should offer detailed and transparent information, such as disclosures on safety measures and vehicle maintenance details. Improving transparency in information will help reduce users’ perceived risk, enhance their positive perception of the service, and provide them with a sufficient sense of security. Of course, manufacturers and service providers should also establish and implement stricter safety standards to further enhance the reliability and credibility of the overall service.
Additionally, the study on gender differences in this research reveals the high sensitivity of female consumers to perceived risk. Manufacturers and service providers can adopt differentiated marketing strategies, strengthen safety measures for female consumers, and provide more detailed information to alleviate their safety concerns, encouraging more female consumers to accept and trust robotaxi services. To increase service acceptance, manufacturers and service providers can also educate and inform consumers about the safety and convenience of the service, thereby strengthening positive expectations. Especially for female consumers, targeted advertising that emphasizes the safety of the service can be used to increase their acceptance.

7. Conclusions and Implications

In this study, we examined the factors that influence consumers’ adoption of robotaxi as a mode of transportation, specifically consumers’ perception of five constructs: PE, EE, PR, and BI. We used structural equation modeling to estimate the relationship between constructs and examined the moderating effect of gender. Our results can provide a certain degree of reference value for consumers, practitioners, and government agencies.
Based on the results, all assumptions are valid. PR stimulated PE and EE effects on BI through its role as a mediator. Gender as a moderator variable affects the effect of EE on PR. According to the hypotheses presented in this study, PE and EE have a positive impact on BI. This positive impact occurs as a result of consumers learning about robotaxi’s related systems, processes, and collection of related information, and then making a decision accordingly. Furthermore, the negative factors of robotaxi may also negatively affect consumers’ expectations, thereby affecting BI.
The academic contribution of this study is the deconstruction of UTAUT and the inclusion of PR as a mediating variable in PE, EE, and BI. Based on the results, it proves that the four constructs are causally related, which lays a certain foundation for further research related to unmanned driving and has a certain value as a reference for future researchers.
This study has a number of limitations that may suggest directions for future research:
  • Although all aspects of this study are related, there may be some latent variables or second-order aspects that have not been explored and discussed. To enhance the model’s explanatory power and improve its performance, researchers can add new facets, including second-order facets. As an example, the influence or interference of supplementary news media on consumers.
  • There are different responses of men and women to the use of robotaxi, and subsequent research will be able to investigate further into the internal reasons for these differences. In addition, it may also be able to conduct detailed research, analysis, or discussion on other different attributes associated with consumers.
  • Structural equation modeling has been used as the primary method of analysis and research of quantitative research papers. In the future, qualitative research (expert interviews, field investigations, etc.) may be added to complement quantitative data to convey deeper meanings.
  • Considering the focus of the study on Chinese consumers, researchers may be able to compare Chinese and foreign consumers in the future and facilitate the coordination of the different conditions on a global scale in the future.

Author Contributions

Conceptualization, C.Y., C.G. and W.W.; methodology, C.Y. and C.G.; formal analysis, C.G. and W.W.; data curation, C.G.; writing—original draft preparation, C.Y.; writing—review and editing, C.Y. All authors have read and agreed to the published version of the manuscript.

Funding

This work was supported by Jiangsu Education Department (Philosophy and Social Sciences Projects of Higher Education, grant number 2022SJYB1508).

Institutional Review Board Statement

Not applicable.

Informed Consent Statement

Not applicable.

Data Availability Statement

Data are contained within the article.

Acknowledgments

We are grateful to Jie Sun for her work. We also thank the anonymous reviewers who provided valuable comments on the manuscript.

Conflicts of Interest

The authors declare no conflict of interest.

References

  1. Du, H.; Zhu, G.; Zheng, J. Why travelers trust and accept self-driving cars: An empirical study. Travel Behav. Soc. 2021, 22, 1–9. [Google Scholar] [CrossRef]
  2. Hamburger, Y.A.; Sela, Y.; Kaufman, S.; Wellingstein, T.; Stein, N.; Sivan, J. Personality and the autonomous vehicle: Overcoming psychological barriers to the driverless car. Technol. Soc. 2022, 69, 101971. [Google Scholar] [CrossRef]
  3. Microcomputer. Driverless Overtaking on a Curve in China. Available online: https://baijiahao.baidu.com/s?id=1743095020214119806&wfr=spider&for=pc (accessed on 6 May 2022).
  4. González-González, E.; Nogués, S.; Stead, D. Automated vehicles and the city of tomorrow: A backcasting approach. Cities 2019, 94, 153–160. [Google Scholar] [CrossRef]
  5. Fagnant, D.J.; Kockelman, K. Preparing a nation for autonomous vehicles: Opportunities, barriers and policy recommendations. Transp. Res. Part A Policy Pract. 2015, 77, 167–181. [Google Scholar] [CrossRef]
  6. Venkatesh, V.; Morris, M.G.; Davis, G.B.; Davis, F.D. User acceptance of information technology: Toward a unified view. MIS Q. 2003, 27, 425–478. [Google Scholar] [CrossRef]
  7. Ain, N.; Kaur, K.; Waheed, M. The influence of learning value on learning management system use: An extension of utaut2. Inf. Dev. 2015, 32, 1306–1321. [Google Scholar] [CrossRef]
  8. Nordhoff, S.; Louw, T.; Innamaa, S.; Lehtonen, E.; Beuster, A.; Torrao, G.; Bjorvatn, A.; Kessel, T.; Malin, F.; Happee, R.; et al. Using the utaut2 model to explain public acceptance of conditionally automated (l3) cars: A questionnaire study among 9,118 car drivers from eight european countries. Transp. Res. Part F Traffic Psychol. Behav. 2020, 74, 280–297. [Google Scholar] [CrossRef]
  9. Kaur, K.; Rampersad, G. Trust in driverless cars: Investigating key factors influencing the adoption of driverless cars. J. Eng. Technol. Manag. 2018, 48, 87–96. [Google Scholar] [CrossRef]
  10. Kyriakidis, M.; Happee, R.; de Winter, J.C.F. Public opinion on automated driving: Results of an international questionnaire among 5000 respondents. Transp. Res. Part F Traffic Psychol. Behav. 2015, 32, 127–140. [Google Scholar] [CrossRef]
  11. Nordhoff, S.; Malmsten, V.; van Arem, B.; Liu, P.; Happee, R. A structural equation modeling approach for the acceptance of driverless automated shuttles based on constructs from the unified theory of acceptance and use of technology and the diffusion of innovation theory. Transp. Res. Part F Traffic Psychol. Behav. 2021, 78, 58–73. [Google Scholar] [CrossRef]
  12. van der Waal, N.E.; de Wit, J.; Bol, N.; Ebbers, W.; Hooft, L.; Metting, E.; van der Laan, L.N. Predictors of contact tracing app adoption: Integrating the utaut, hbm and contextual factors. Technol. Soc. 2022, 71, 102101. [Google Scholar] [CrossRef]
  13. Dunn, M.G.; Murphy, P.E.; Skelly, G.U. Research note: The influence of perceived risk on brand preference for supermarket products. J. Retail. 1986, 62, 204–216. [Google Scholar]
  14. Wakabayashi, D. Self-Driving Uber Car Kills Arizona Pedestrian, Where Robots Roam. Available online: https://www.nytimes.com/2018/03/19/technology/uber-driverless-fatality.html (accessed on 15 July 2022).
  15. Anania, E.C.; Rice, S.; Walters, N.W.; Pierce, M.; Winter, S.R.; Milner, M.N. The effects of positive and negative information on consumers’ willingness to ride in a driverless vehicle. Transp. Policy 2018, 72, 218–224. [Google Scholar] [CrossRef]
  16. Ring, T. Connected cars—The next targe tfor hackers. Netw. Secur. 2015, 2015, 11–16. [Google Scholar] [CrossRef]
  17. Waldrop, M.M. Autonomous vehicles: No drivers required. Nature 2015, 518, 20–23. [Google Scholar] [CrossRef]
  18. Wang, S.; Wang, J.; Lin, S.; Li, J. Public perceptions and acceptance of nuclear energy in china: The role of public knowledge, perceived benefit, perceived risk and public engagement. Energy Policy 2019, 126, 352–360. [Google Scholar] [CrossRef]
  19. Fishbein, M.; Ajzen, I. Belief, attitude, intention, and behavior: An introduction to theory and research. Philos. Rhetor. 1977, 6, 244–245. [Google Scholar]
  20. Ho, S.S.; Leow, V.J.X.; Leung, Y.W. Driving without the brain? Effects of value predispositions, media attention, and science knowledge on public willingness to use driverless cars in singapore. Transp. Res. Part F Traffic Psychol. Behav. 2020, 71, 49–61. [Google Scholar] [CrossRef]
  21. Ghasri, M.; Vij, A. The potential impact of media commentary and social influence on consumer preferences for driverless cars. Transp. Res. Part C Emerg. Technol. 2021, 127, 103132. [Google Scholar] [CrossRef]
  22. Venkatesh, V.; Thong, J.Y.L.; Xu, X. Consumer acceptance and use of information technology: Extending the unified theory of acceptance and use of technology. MIS Q. 2012, 36, 157–178. [Google Scholar] [CrossRef]
  23. Abbasi, G.A.; Kumaravelu, J.; Goh, Y.-N.; Dara Singh, K.S. Understanding the intention to revisit a destination by expanding the theory of planned behaviour (tpb). Span. J. Mark.-ESIC 2021, 25, 282–311. [Google Scholar] [CrossRef]
  24. Jackson, D.L. Revisiting sample size and number of parameter estimates: Some support for the n:Q hypothesis. Struct. Equ. Model. Multidiscip. J. 2003, 10, 128–141. [Google Scholar] [CrossRef]
  25. Zijlmans, E.A.; Tijmstra, J.; Van der Ark, L.A.; Sijtsma, K. Item-score reliability as a selection tool in test construction. Front. Psychol. 2019, 9, 2298. [Google Scholar] [CrossRef] [PubMed]
  26. Kaiser, H.F. An index of factorial simplicity. Psychometrika 1974, 39, 31–36. [Google Scholar] [CrossRef]
  27. Norusis, M. SPSS Professional Statistics; Prentice-Hall: Upper Sadler River, NJ, USA, 1998. [Google Scholar]
  28. Osborne, J.W. Best Practices in Quantitative Methods; Sage: Thousand Oaks, CA, USA, 2008. [Google Scholar]
  29. Harman, H. Modern Factor Analysis; University of Chicago Press: Chicago, IL, USA, 1960. [Google Scholar]
  30. Kohli, A.K.; Shervani, T.A.; Challagalla, G.N. Learning and performance orientation of salespeople: The role of supervisors. J. Mark. Res. 1998, 35, 263–274. [Google Scholar] [CrossRef]
  31. Fornell, C.; Larcker, D.F. Evaluating structural equation models with unobservable variables and measurement error. J. Mark. Res. 1981, 18, 39–50. [Google Scholar] [CrossRef]
  32. Liang, A.R.-D.; Lim, W.M. Exploring the online buying behavior of specialty food shoppers. Int. J. Hosp. Manag. 2011, 30, 855–865. [Google Scholar] [CrossRef]
  33. Fernandes, D.W.; Moori, R.G.; Filho, V.A.V. Logistic service quality as a mediator between logistics capabilities and customer satisfaction. Rev. Gest. 2018, 25, 358–372. [Google Scholar] [CrossRef]
  34. Jackson, D.L.; Gillaspy Jr, J.A.; Purc-Stephenson, R. Reporting practices in confirmatory factor analysis: An overview and some recommendations. Psychol. Methods 2009, 14, 6. [Google Scholar] [CrossRef]
  35. Kline, R.B. Principles and Practice of Structural Equation Modeling, 4th ed.; Guilford Publications: New York, NY, USA, 2015. [Google Scholar]
  36. Whittaker, T.A. A Beginner’s Guide to Structural Equation Modeling; Taylor & Francis: Abingdon, UK, 2011. [Google Scholar]
  37. Hu, L.t.; Bentler, P.M. Cutoff criteria for fit indexes in covariance structure analysis: Conventional criteria versus new alternatives. Struct. Equ. Model. Multidiscip. J. 1999, 6, 1–55. [Google Scholar] [CrossRef]
  38. Liao, H.-L.; Lu, H.-P. The role of experience and innovation characteristics in the adoption and continued use of e-learning websites. Comput. Educ. 2008, 51, 1405–1416. [Google Scholar] [CrossRef]
  39. Bernhard, C.; Oberfeld, D.; Hoffmann, C.; Weismüller, D.; Hecht, H. User acceptance of automated public transport: Valence of an autonomous minibus experience. Transp. Res. Part F Traffic Psychol. Behav. 2020, 70, 109–123. [Google Scholar] [CrossRef]
  40. Madigan, R.; Louw, T.; Wilbrink, M.; Schieben, A.; Merat, N. What influences the decision to use automated public transport? Using utaut to understand public acceptance of automated road transport systems. Transp. Res. Part F Traffic Psychol. Behav. 2017, 50, 55–64. [Google Scholar] [CrossRef]
  41. Smyth, J.; Chen, H.; Donzella, V.; Woodman, R. Public acceptance of driver state monitoring for automated vehicles: Applying the utaut framework. Transp. Res. Part F Traffic Psychol. Behav. 2021, 83, 179–191. [Google Scholar] [CrossRef]
  42. Papadima, G.; Genitsaris, E.; Karagiotas, I.; Naniopoulos, A.; Nalmpantis, D. Investigation of acceptance of driverless buses in the city of trikala and optimization of the service using conjoint analysis. Util. Policy 2020, 62, 100994. [Google Scholar] [CrossRef]
  43. Jing, P.; Du, L.; Chen, Y.; Shi, Y.; Zhan, F.; Xie, J. Factors that influence parents’ intentions of using autonomous vehicles to transport children to and from school. Accid. Anal. Prev. 2021, 152, 105991. [Google Scholar] [CrossRef]
  44. Potoglou, D.; Whittle, C.; Tsouros, I.; Whitmarsh, L. Consumer intentions for alternative fuelled and autonomous vehicles: A segmentation analysis across six countries. Transp. Res. Part D Transp. Environ. 2020, 79, 102243. [Google Scholar] [CrossRef]
  45. Rice, S.; Winter, S.R. Do gender and age affect willingness to ride in driverless vehicles: If so, then why? Technol. Soc. 2019, 58, 101145. [Google Scholar] [CrossRef]
Figure 1. The model developed in this study.
Figure 1. The model developed in this study.
Systems 11 00559 g001
Figure 2. CFA model.
Figure 2. CFA model.
Systems 11 00559 g002
Figure 3. Structural equation model.
Figure 3. Structural equation model.
Systems 11 00559 g003
Table 1. Reference sources for variables and items.
Table 1. Reference sources for variables and items.
VariableOperational DefinitionReference
Performance expectancyThe degree to which robotaxi is expected to improve travel efficiency.[22]
Effort expectancyThe degree to which robotaxi is easy to use.[22]
Perceived riskThe degree of the consumers’ perception of the risk associated with quality of service, safety, and travel experience.[23]
Behavioral intentionThe degree of the consumers’ intention to use robotaxi.[22]
Table 2. Definitions of variable operability and reference scales.
Table 2. Definitions of variable operability and reference scales.
SampleCategoryNumberPercentage (%)
GenderMale31749.531
Female32350.469
AgeUnder 22538.281
23–3025139.219
31–4022034.375
41–50548.438
Over 51629.688
Marital statusMarried44469.375
Not Married19630.625
IncomeUnder 400010215.937
4001–600013721.406
6001–12,00026040.625
12,001–18,00010215.937
Over 18,001396.094
Education backgroundThe junior high school level and below101.563
Secondary school or high school426.563
College or university48876.250
A graduate degree or higher20015.625
OccupationCivil servant7311.406
Clerk25339.531
Worker8813.750
Public Service Agencies8012.500
Student7111.094
Self-employed7511.719
AreaEastern Region40262.813
Central Region11017.188
West Region9615.000
Northeast Region314.844
Hong Kong, Macao, and Taiwan10.156
Table 3. Results of the reliability analysis.
Table 3. Results of the reliability analysis.
DimensionItemCITCCronbach’s α after Item DeletionCronbach’s α
PEPE10.6330.7750.814
PE20.6890.718
PE30.6710.737
EEEE10.6340.7620.812
EE20.6430.758
EE30.6040.776
EE40.6400.759
PRPR10.6580.7150.800
PR20.7020.666
PR30.5810.791
BIBI10.5530.7420.769
BI20.6470.639
BI30.6120.680
Table 4. Exploratory factor analysis results.
Table 4. Exploratory factor analysis results.
ConstructItemKMOBartlett’s Sphere TestCommonalityFactor LoadingEigenvalueTotal Variation Explained
PEPE10.7120.0000.6950.8342.18672.852%
PE20.7550.869
PE30.7360.858
EEEE10.7880.0000.6450.8032.55863.962%
EE20.6550.809
EE30.6100.781
EE40.6500.806
PRPR10.6910.0000.7300.8552.14671.527%
PR20.7720.879
PR30.6430.802
BIBI10.6860.0000.6250.7912.05468.467%
BI20.7340.856
BI30.6950.834
Table 5. Model fitting index comparison results of CFA.
Table 5. Model fitting index comparison results of CFA.
Common Indicesχ2/dfRMSEAGFIAGFINFICFISRMR
Judgment criteria<3<0.08>0.9>0.9>0.9>0.9<0.08
CFA value2.6330.0510.9630.9430.9530.9700.040
CCLFM value2.6780.0510.9700.9420.9530.9700.040
Note: χ2/df: normed Chi-square; RMSEA: root-mean-square-error approximation; GFI: goodness-of-fit index; AGFI: adjusted goodness-of-fit index; NFI: normative fit index; CFI: comparative fit index; SRMR: standardized root-mean-square residual.
Table 6. Convergent validity of CFA.
Table 6. Convergent validity of CFA.
ConstructItemsFactor Loadingt ValueSEp ValueSMCAVECR
PEPE10.75220.5480.1630.0010.5650.5940.815
PE20.78521.7490.1670.0010.617
PE30.77521.3740.1660.0010.601
EEEE10.69818.5610.1780.0010.4870.5180.811
EE20.75320.5060.1610.0010.566
EE30.73019.6970.1660.0010.533
EE40.69718.5420.1720.0010.486
PRPR10.77420.6000.2000.0010.5990.5820.805
PR20.83422.4750.1870.0010.696
PR30.67117.4720.1840.0010.451
BIBI10.65816.8540.1710.0010.4330.5320.773
BI20.77120.4330.1780.0010.595
BI30.75519.9160.1630.0010.570
Note: SE: standard error; SMC: square multiple correlation; CR: composite reliability; AVE: average variance extracted.
Table 7. Discriminant validity.
Table 7. Discriminant validity.
PEEEPRBI
PE0.771
EE0.523 *0.720
PR−0.324 *−0.286 *0.763
BI0.501 *0.447 *−0.351 *0.729
* The level of significance is 0.05.
Table 8. Adaptability of SEM.
Table 8. Adaptability of SEM.
Common Indicesχ2/dfRMSEAGFIAGFINFICFISRMR
Judgment criteria<3<0.08>0.9>0.9>0.9>0.9<0.08
Value2.6330.0510.9630.9430.9530.9700.040
Note: χ2/df: normed chi-square; RMSEA: root-mean-square-error approximation; GFI: goodness-of-fit index; AGFI: adjusted goodness-of-fit index; NFI: normative fit index; CFI: comparative fit index; SRMR: standardized root-mean-square residual.
Table 9. Direct and indirect effects.
Table 9. Direct and indirect effects.
PathDirect EffectIndirect EffectTotal Effect
βB-C Sig.βB-C Sig.βB-S Sig.
PE→PR−0.2780.001 *//−0.2780.001 *
EE→PR−0.1610.029 *//−0.1610.029 *
PE→BI0.3860.001 *0.0520.001*0.4380.001 *
EE→BI0.2540.001 *0.0300.016*0.2850.001 *
PR→BI−0.1890.001 *//−0.1890.001 *
* The level of significance is 0.05.
Table 10. Results of mediation effect.
Table 10. Results of mediation effect.
Moderating VariableIVDVCMINp
GenderPEPR1.3130.252
EEPR5.5600.018 *
PEBI1.7170.190
EEBI1.1290.288
PRBI3.4920.062
* The level of significance is 0.05. Note: IV: independent variable; DV: dependent variable; CMIN: chi-square.
Table 11. Comparison between path coefficients with significant moderating effects.
Table 11. Comparison between path coefficients with significant moderating effects.
Moderating VariablePathβp
GenderMaleEE→PR−0.0060.953
Female−0.3370.002 *
* The level of significance is 0.05.
Disclaimer/Publisher’s Note: The statements, opinions and data contained in all publications are solely those of the individual author(s) and contributor(s) and not of MDPI and/or the editor(s). MDPI and/or the editor(s) disclaim responsibility for any injury to people or property resulting from any ideas, methods, instructions or products referred to in the content.

Share and Cite

MDPI and ACS Style

Yang, C.; Gu, C.; Wei, W. Does Robotaxi Offer a Positive Travel Experience? A Study of the Key Factors That Influence Consumers’ Use of the Robotaxi. Systems 2023, 11, 559. https://doi.org/10.3390/systems11120559

AMA Style

Yang C, Gu C, Wei W. Does Robotaxi Offer a Positive Travel Experience? A Study of the Key Factors That Influence Consumers’ Use of the Robotaxi. Systems. 2023; 11(12):559. https://doi.org/10.3390/systems11120559

Chicago/Turabian Style

Yang, Chun, Chao Gu, and Wei Wei. 2023. "Does Robotaxi Offer a Positive Travel Experience? A Study of the Key Factors That Influence Consumers’ Use of the Robotaxi" Systems 11, no. 12: 559. https://doi.org/10.3390/systems11120559

APA Style

Yang, C., Gu, C., & Wei, W. (2023). Does Robotaxi Offer a Positive Travel Experience? A Study of the Key Factors That Influence Consumers’ Use of the Robotaxi. Systems, 11(12), 559. https://doi.org/10.3390/systems11120559

Note that from the first issue of 2016, this journal uses article numbers instead of page numbers. See further details here.

Article Metrics

Back to TopTop