Interactive Effects of Light Intensity and Nitrogen Supply on Shoot Emergence and Associated Photosynthetic Traits in Dendrocalamus latiflorus
Simple Summary
Abstract
1. Introduction
2. Materials and Methods
2.1. Study Site
2.2. Study Design
2.3. Investigation of the Number of Emerged Bamboo Shoot Buds
2.4. Determination of Photosynthetic Characteristics of Leaves
2.4.1. Determination of Photosynthetic Pigments
2.4.2. Determination of Gas Exchange Parameters
2.4.3. Determination of Chlorophyll Fluorescence Characteristics
2.5. Determination of Sucrose and Non-Structural Carbohydrates in Leaves
2.6. Determination of Leaf Carbon and Nitrogen Characteristics
2.7. Data Processing and Analysis
3. Results
3.1. Bud Germination Across Shooting Stages
3.2. Photosynthesis in Leaves During Shooting
3.2.1. Photosynthetic Pigments in Leaves During Shooting
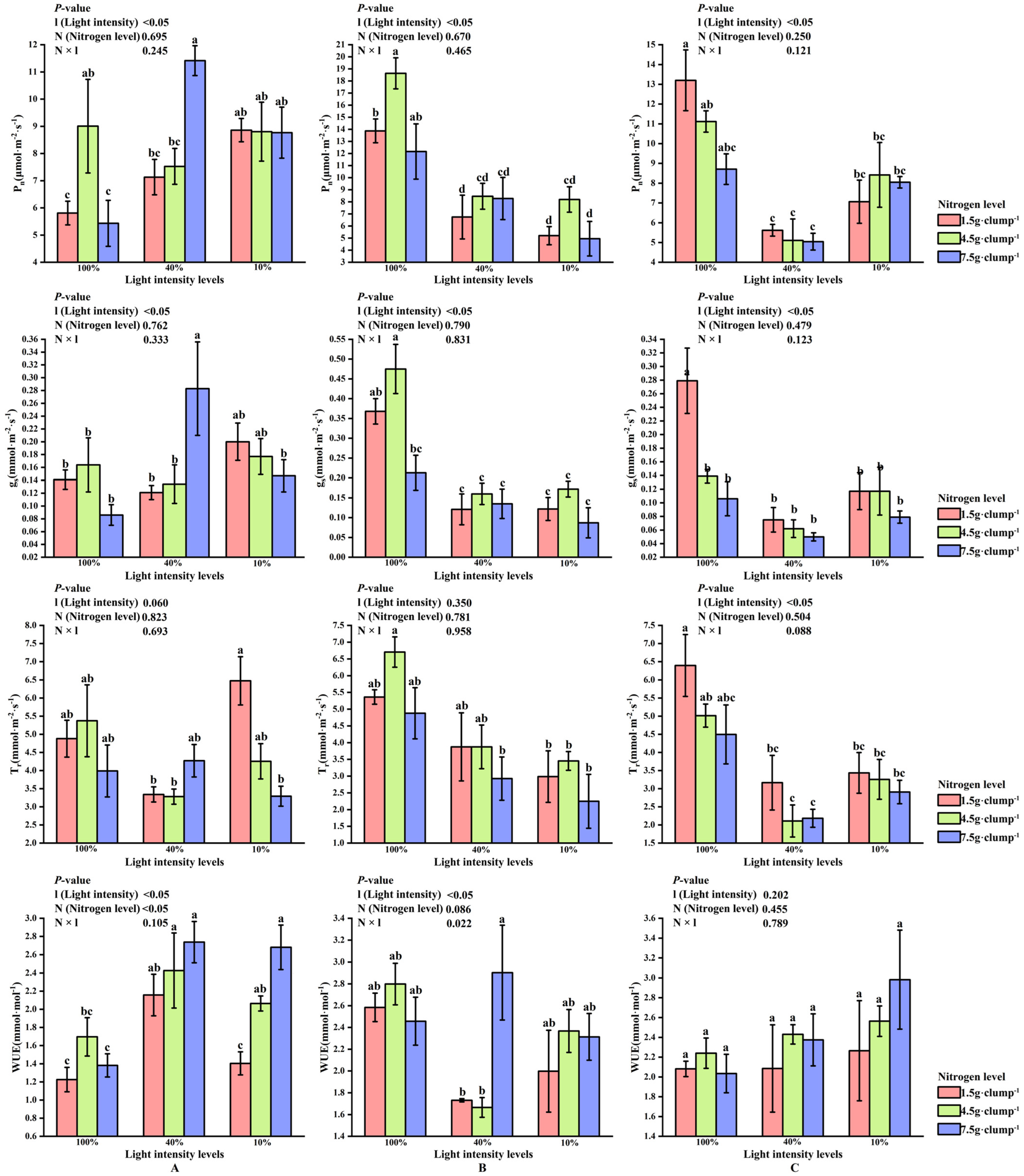
3.2.2. Gas Exchange Parameters in Leaves During Shooting
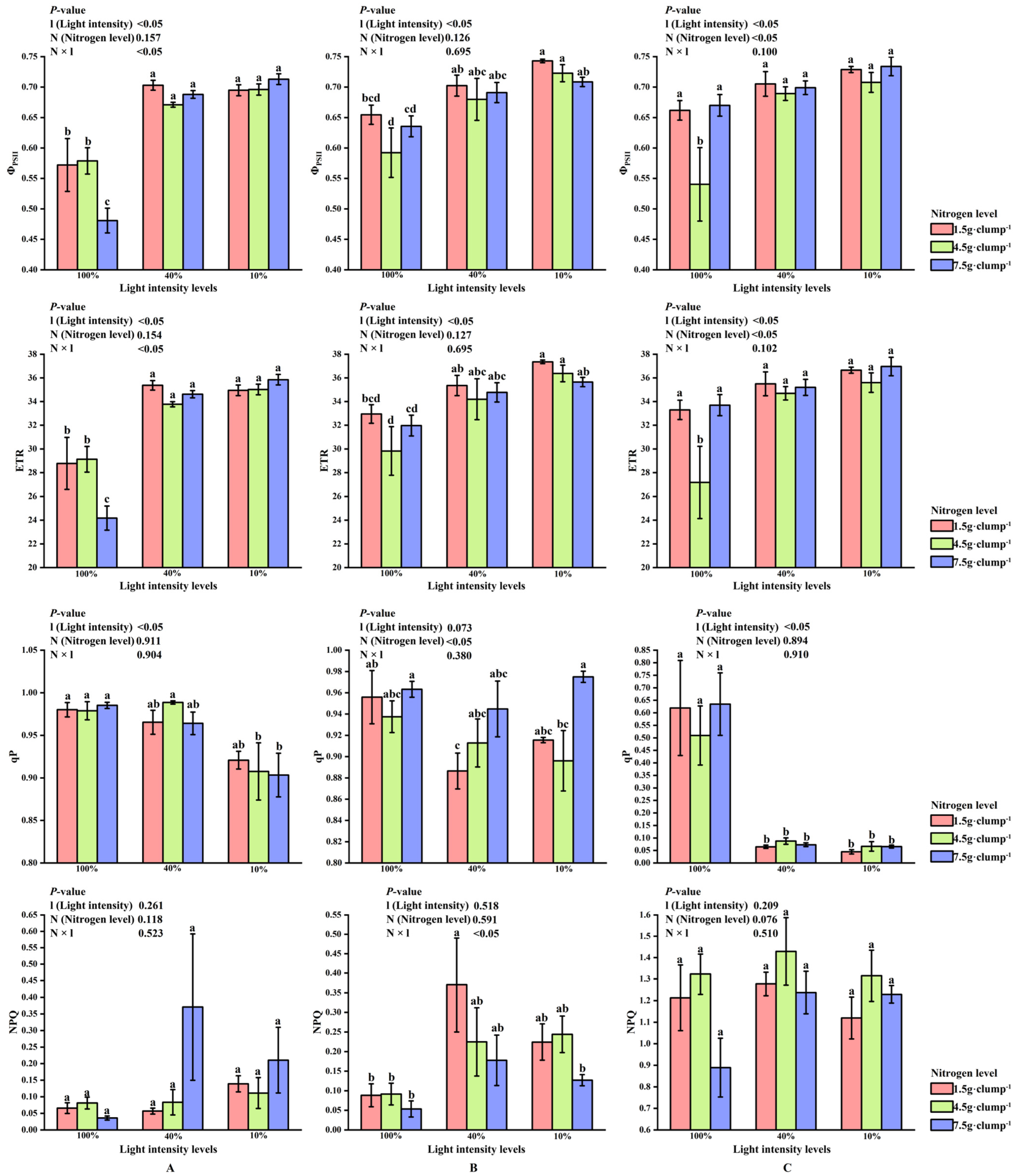
3.2.3. Chlorophyll Fluorescence Parameters in Leaves During Shooting
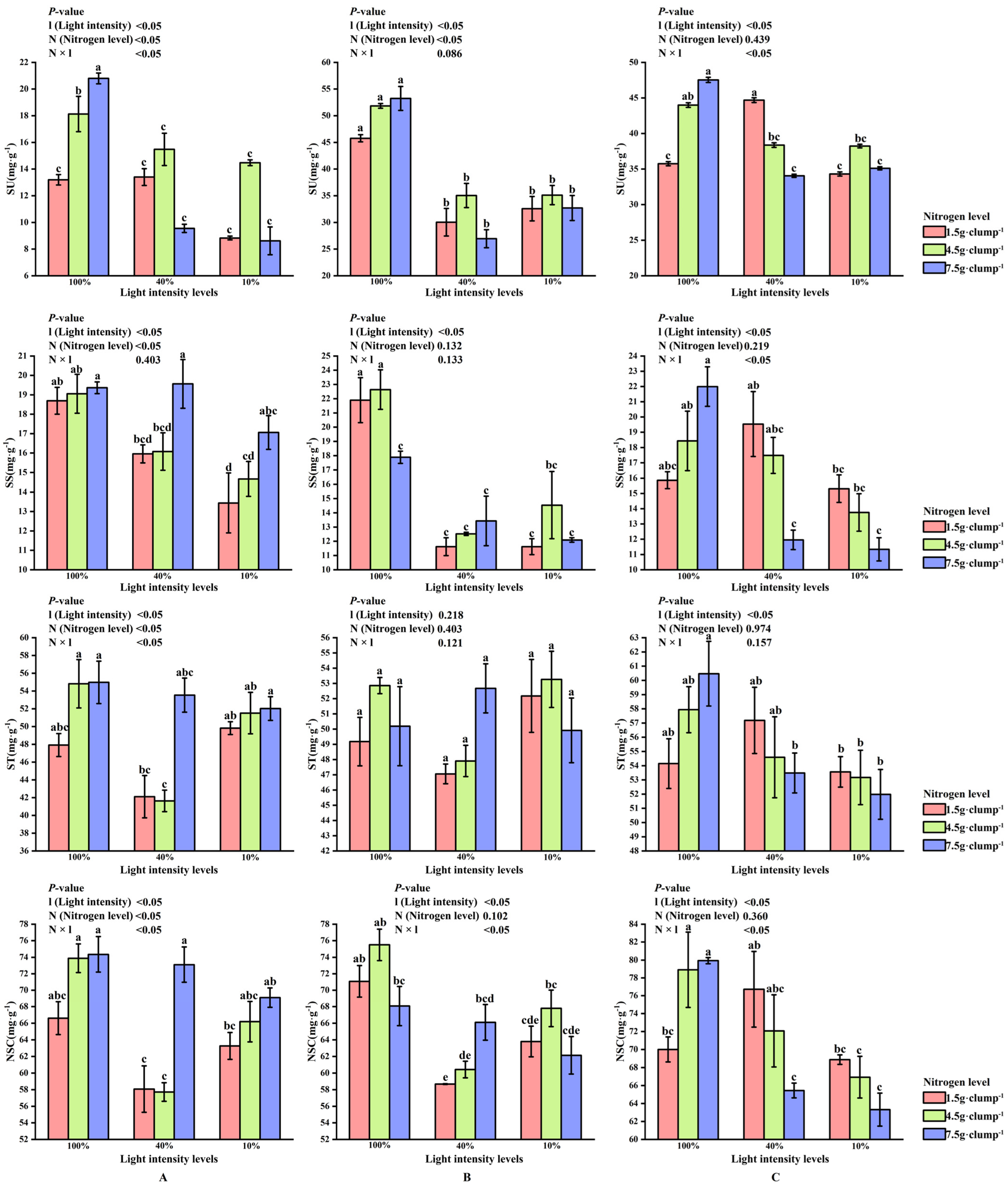
3.2.4. NSC Content in Leaves During Shooting
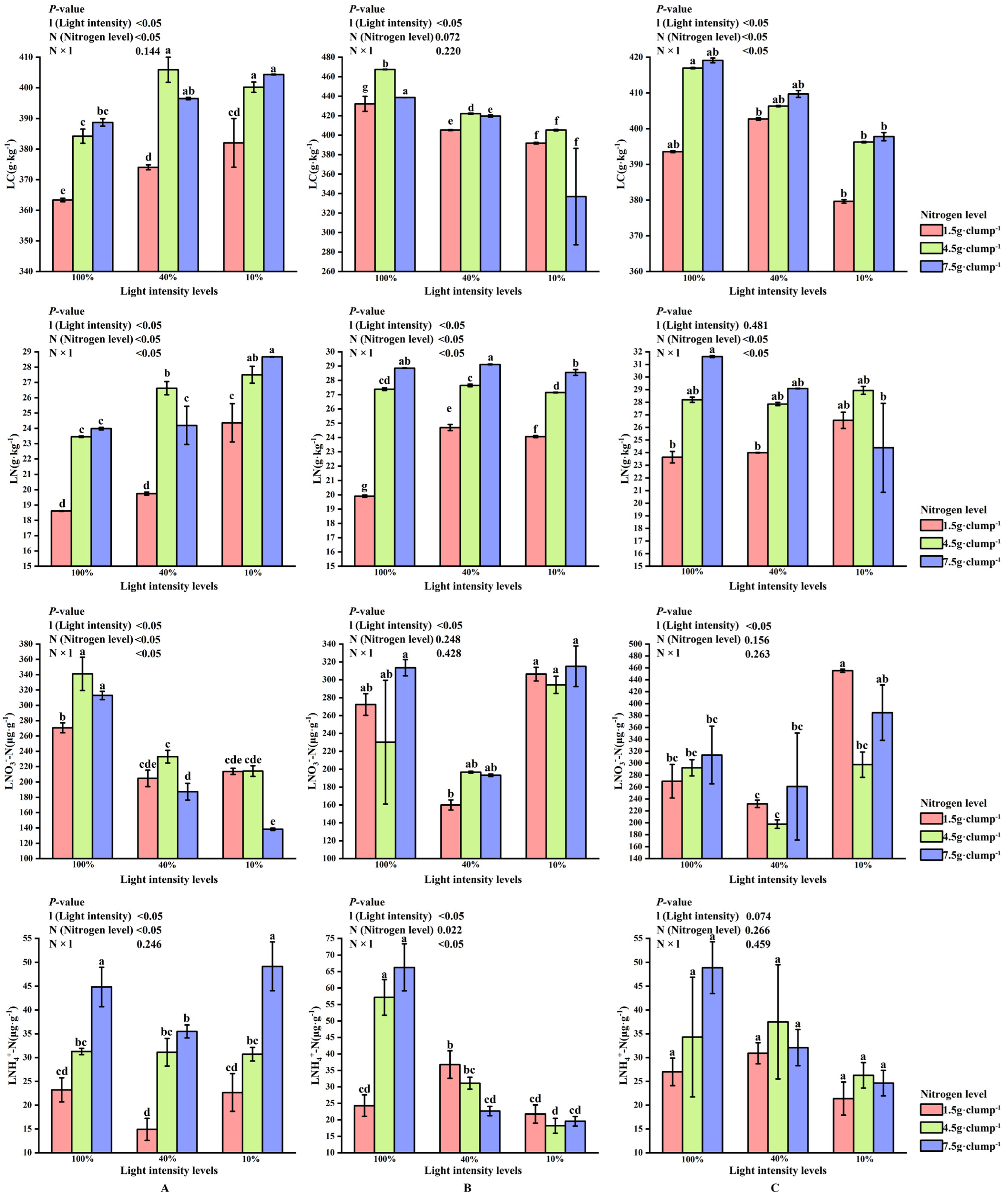
3.3. Carbon and Nitrogen Characteristics in Leaves During Shooting
3.4. Mechanism of Direct and Indirect Pathways Through Which Leaf Functional Traits on Bud Germination
4. Discussion
4.1. Photosynthetic and Biochemical Characteristics
4.2. The Regulatory Mechanism on Photosynthetic Products
4.3. Carbon and Nitrogen in Leaves During Shooting
4.4. Correlation Between Functional Traits of Leaves and Germination Number of Shoots
5. Conclusions
Supplementary Materials
Author Contributions
Funding
Institutional Review Board Statement
Informed Consent Statement
Data Availability Statement
Conflicts of Interest
References
- Fan, L.L.; Zhang, Y.Y.; Lin, Y.F.; Rong, J.D.; Chen, L.G.; Chen, N.Z.; Zheng, Y.S. Comparison of light response characteristics and optimal models of Dendrocalamus latiflorus seedings under shading conditions. J. Fujian Agric. For. Univ. (Nat. Sci. Ed.) 2021, 50, 364–371. [Google Scholar]
- Lin, M.X.; Su, J.L.; Zhu, P.K.; Chen, L.Y.; He, T.Y.; Chen, L.G.; Rong, J.D.; Zheng, Y.S. Effects of different nitrogen application levels on photosynthetic characteristics and key enzymes activities in nitrogen metabolism of Dendrocalamus latiflorus. Shangdong Agric. Sci. 2024, 56, 87–91. [Google Scholar] [CrossRef]
- Sakakibara, H.; Takei, K.; Hirose, N. Interactions between nitrogen and cytokinin in the regulation of metabolism and development. Trends Plant Sci. 2006, 11, 440–448. [Google Scholar] [CrossRef] [PubMed]
- Kun, K.; Wang, S.S.; Song, W.Z.; Zhang, J.; Wang, Y.; Liu, Q.; Yu, J.; Ye, Y.; Li, S.; Chen, J.; et al. Enhanced sustainable green revolution yield via nitrogen-responsive chromatin modulation in rice. Science 2020, 367, eaa2046. [Google Scholar] [CrossRef]
- Jin, Z.X.; Zhang, Y.L.; Pan, D.; Tong, L.G.; Li, D.; Li, M.Y.; Wang, H.H.; Han, Y.F.; Zhang, Z.C. Correlationanalysis of plant carbon-nitrogen content and tiller-related gene expression with rice tiller formation. J. Northeast. Agric. Univ. 2017, 48, 10–18. [Google Scholar] [CrossRef]
- Li, W.S.; Zeng, F.L.; Wang, X.Y.; Wang, J.Y.; Wang, G.J. Effect of shading on gas exchange and chlorophyll fluorescence of rice leaves in tillering stage. Southwest China J. Agric. Sci. 2018, 31, 289–295. [Google Scholar]
- Qiu, L.H.; Li, Q.; Huang, X.; Luo, H.M.; Chen, R.F.; Wu, J.M.; Li, Y.R.; Chen, D. Low light stress affected the balance of endogenous hormones in sugarcane leaves and tillering process. Plant Physiol. J. Plant Physiol. J. 2017, 53, 280–290. [Google Scholar] [CrossRef]
- Wang, C.Z.; Gao, L.M.; Sun, Y.M.; Wang, B.; Guo, S.W. The effect of weak light stress on leaf photosynthetic characteristics in super hybrid rice and conventional rice at tillering stage. J. Nanjing Agric. Univ. 2019, 42, 111–117. [Google Scholar]
- Cisse, A.; Zhao, X.; Fu, W.; Kim, R.E.R.; Chen, T.; Tao, L.; Feng, B. Non-photochemical quenching involved in the regulation of photosynthesis of rice leaves under high nitrogen conditions. Int. J. Mol. Sci. 2020, 21, 2115. [Google Scholar] [CrossRef]
- Wang, X.Y.; Zhang, Y.; Fan, X.H. Response of photosynthetic and fluorescence characteristics to nitrogen addition by seedlings of four dominant tree species in broadleaved-Korean pine forest. J. Beijing For. Univ. 2024, 46, 69–79. [Google Scholar]
- Deng, B.; Yan, L.P.; Liu, G.H.; Xu, M.Y. Effects of shading and fertilization on growth and nitrogen accumulation of Phoebe zhennan seedlings. J. Zhejiang AF Univ. 2020, 37, 489–495. [Google Scholar]
- Liu, J.; Tang, D.Q.; Fu, Y.; Zhou, M.B. Research progress on differentiation and development of lateral buds and bamboo shoot buds of model plants. J. Agric. Biotechnol. 2017, 25, 788–804. [Google Scholar]
- Xu, Y.R. The Effect of Temperature on Phyllostachys violascens Shooting. Master’s Thesis, Zhejiang Agriculture and Forestry University, Hangzhou, China, 2020. [Google Scholar]
- Wang, X.X.; Liu, L.; Zhang, J.; Wang, Y.K.; Wen, G.S.; Gao, R.F.; Gao, Y.; Zhang, R.M. Changes of photosynthetic pigment and photosynthetic enzyme activity in stems of Phyllostachys edulis during rapid growth stage after shooting. Chin. J. Plant Ecol. 2012, 36, 456–462. [Google Scholar] [CrossRef]
- Wu, W. Analysis of Transcriptome and Biochemical Indexes after Releasing Growth Inhibition of Phyllostachys violascens Shoots. Master’s Thesis, Zhejiang Agriculture and Forestry University, Hangzhou, China, 2018. [Google Scholar]
- Gao, J.F. Plant Physiology; Higher Education Press: Beijing, China, 2006. [Google Scholar]
- Lichtenthaler, H.K. Chlorophylls and carotenoids: Pigments of photosynthetic bi-omembranes. Methods Enzymol. 1987, 148, 350–382. [Google Scholar]
- Liu, J.; Yang, J.Y.; Zhang, P.J.; Song, X.M.; Zhang, L.J. Study on diurnal variation of photosynthetic and water physiological and ecological characteristics of Caragana stenophylla. Chin. J. Grassl. 2011, 33, 75–81. [Google Scholar]
- Yang, H.L. Study on Diurnal Variation Characteristics and Differences of Photosynthesis and Chlorophyll Fluorescence of Five Sympodial Bamboos. Master’s Thesis, Fujian Agriculture and Forestry University, Fuzhou, China, 2014. [Google Scholar]
- Liu, Q.Q.; Ma, X.Q.; Huang, Z.J.; Guo, S.; Wang, D.Y.; Wang, C.H.; Liu, B. Effects of light intensity on morphological characteristics and leaf non-structural carbon content of Cunninghamia lanceolata (Lamb.) Hook. Seedlings. Acta Ecol. Sin. 2019, 39, 4455–4462. [Google Scholar]
- Yu, Y. Effects of Tree Size and Competition on Biomass and Allocation of Carbon, Nitrogen and Phosphorus Accumulation of Afforestation Tree Species in Qingdao. Master’s Thesis, Northeast Forestry University, Harbin, China, 2025. [Google Scholar]
- Fu, W.; Wang, Y.; Ye, Y.; Zhen, S.; Zhou, B.; Wang, Y.; Hu, Y.; Zhao, Y.; Huang, Y. Grain yields and nitrogen use efficiencies in different types of stay-green maize in response to nitrogen fertilizer. Plants 2020, 9, 474. [Google Scholar] [CrossRef]
- Cai, J.G.; Wei, M.Q.; Zhang, Y.; Wei, Y.L. Effects of shading on photosynthetic characteristics and chlorophyll fluorescence parameters in leaves of Hydrangea macrophylla. Chin. J. Plant Ecol. 2017, 41, 570–576. [Google Scholar]
- Yorio, N.C.; Goins, G.D.; Kagie, H.R.; Wheeler, R.M.; Sager, J.C. Improving spinach, radish, and lettuce growth under red light-emitting diodes (LEDs) with blue light supplementation. HortScience 2001, 36, 380–383. [Google Scholar] [CrossRef] [PubMed]
- Evans, J.R. Photosynthesis and nitrogen relationships in leaves of C3 plants. Oecologia 1989, 78, 9–19. [Google Scholar] [CrossRef]
- Makino, A.; Mae, T.; Ohira, K. Photosynthesis and ribulose-1,5-bisphosphate carboxylase in rice leaves. Plant Cell Physiol. 1997, 38, 207–215. [Google Scholar] [CrossRef]
- Zhang, Z.S.; Li, Y.T.; Gao, H.Y.; Yang, C.; Meng, Q.W. Characterization of photosynthetic gas exchange in leaves under simulated adaxial and abaxial surfaces alternant irradiation. Sci. Rep. 2016, 6, 26963. [Google Scholar] [CrossRef]
- Guan, Y.X.; Lin, B.; Ling, B.Y. Effects of light-nitrogen interaction on photosynthetic pigments, fluorescence characteristics and energy conversion in Zea mays leaves. Plant Nutr. Fertil. Sci. 2000, 6, 152–158. [Google Scholar]
- Liu, G.S.; Qiao, X.R.; Wang, F.; Yang, C.; Guo, Q.Y.; Yun, F. Effects of light intensity on photosynthetic capabilities growth and quality of flue-cured tobacco. Acta Bot. Boreal.-Occident. Sin. 2007, 27, 1833–1837. [Google Scholar] [CrossRef]
- Lichtenthaler, H.K.; Ac, A.; Marek, M.V.; Kalina, J.; Urban, O. Differnet in pinment composition photosynthetic rates and chlorophyll fluorescence images of sun and shade leaves of four tree species. Plant Physiol. Biochem. 2007, 45, 577–588. [Google Scholar] [CrossRef] [PubMed]
- Kasai, M. Regulation of leaf photosynthetic rate correlating with leaf carbohydrate status and activation state of Rubisco under a variety of photosynthetic source/sink balances. Physiol. Plant. 2008, 134, 216–226. [Google Scholar] [CrossRef]
- Yu, X.B.; An, J.G.; Liang, J.Q.; Yang, W.Y.; Zeng, Z.Q.; Feng, J.; Wu, H.Y.; Zhang, M.R. Effects of shading and relighting on photosynthetic performance and carbon metabolism of soybean leaves. Southwest China J. Agric. Sci. 2024, 37, 1471–1479. [Google Scholar]
- Urban, A.; Rogowski, P.; Wasilewska-Dębowska, W.; Romanowska, E. Understanding maize response to nitrogen limitation in different light conditions for the improvement of photosynthesis. Plants 2021, 10, 1932. [Google Scholar] [CrossRef]
- Yan, L.F.; Yang, Q.P.; Zheng, W.H.; Huang, K.; Zhao, F.X. Responses of non-structural carbohydrates in above-ground tissues/organs and root to shading and light restoration in Cunninghamia lanceolata saplings. Acta Bot. Boreali-Occident. Sin. 2020, 40, 311–318. [Google Scholar]
- Huang, L.P. Study on the Effects of Light-Nitrogen Interaction on the Growth and Physiological Characteristics of Erythrophleum fordii Seedlings; Guangxi University: Nanning, China, 2018. [Google Scholar]
- Liu, J.W. Omics-Based Study on the Metabolism of C/N and Biosynthesis of Main Quality Related Components in Tea Plants Affected by Nitrogen. Ph.D. Thesis, Chinese Academy of Agricultural Sciences, Beijing, China, 2016. [Google Scholar]
- Chen, J.; Shen, Z.J.; Lu, W.Z.; Liu, X.; Wu, F.H.; Gao, G.F.; Liu, Y.L.; Wu, C.S.; Yan, C.L.; Fan, H.Q.; et al. Leaf miner-induced morphological, physiological and molecular changes in mangrove plant Avicennia marina (Forsk.) Vierh. Tree Physiol. 2017, 37, 82–97. [Google Scholar]
- Peltoniemi, M.S.; Duursma, R.A.; Medlyn, B.E. Co-optimal distribution of leaf nitrogen and hydraulic conductance in plant canopies. Tree Physiol. 2012, 32, 510–519. [Google Scholar] [CrossRef]
- Harmens, H.; Hayes, F.; Sharps, K.; Mills, G.; Calatayud, V. Leaf traits and photosynthetic responses of Betula pendula saplings to a range of ground-level ozone concentrations at a range of nitrogen loads. J. Plant Physiol. 2017, 211, 42–52. [Google Scholar] [CrossRef]
- Hermans, C.; Hammond, J.P.; White, P.J.; Verbruggen, N. How do plants respond to nutrient shortage by biomass allocation? Trends Plant Sci. 2006, 11, 610–617. [Google Scholar] [CrossRef]
- Wang, B.S.; Ma, M.Y.; Lu, H.G.; Meng, Q.; Li, G.; Yang, X. Photosynthesis, sucrose metabolism, and starch accumulation in two NILs of winter wheat. Photosynth. Res. 2015, 126, 363–373. [Google Scholar] [CrossRef] [PubMed]
- Yao, C.J.; Guo, S.M.; Ma, Y.C.; Lai, X.L.; Yang, X.H. Effects of drought stress on photosynthesis and chlorophyll fluorescence characteristics of four Cassia species. Pratacultural Sci. 2017, 34, 1880–1888. [Google Scholar]
- Zahra, J.; Nazim, H.; Cai, S.; Han, Y.; Wu, D.; Zhang, B.; Haider, S.I.; Zhang, G. The influence of salinity on cell ultrastructures and photosynthetic apparatus of barley genotypes differing in salt stress tolerance. Acta Physiol. Plant. 2014, 36, 1261–1269. [Google Scholar] [CrossRef]
- Jiang, Y. Comprehensive Evaluation of Photosynthetic Characteristics of Local Pear Germplasm Resources in Xinjiang; Xinjiang Agricultural University: Urumqi, China, 2024. [Google Scholar]
- Chen, G.L.; Pang, D.B.; Ma, J.P.; Wan, H.Y.; Wang, J.F.; Li, J.Y.; Chen, L.; Li, X.B. Study on characteristics of photosynthesis and water use efficiency of 10 typical plants in Helan Mountain. Acta Bot. Boreal.-Occident. Sin. 2021, 41, 290–299. [Google Scholar]
- Li, X.; Feng, W.; Zeng, X.C. Advances in chlorophyll fluorescence analysis technology and its application. Acta Bot. Boreal.-Occident. Sin. 2006, 26, 2186–2196. [Google Scholar]
- Li, D.H. Structure and Function of Photosystem II and Chloroplast-Induced Apoptosis; Tsinghua University: Beijing, China, 2004. [Google Scholar]
- Zong, H.; Zhang, X.D.; Li, M.X.; Chen, X.H. Effects of Urbanization on Flowering Phenology of Landscape Plants. World For. Res. 2024, 37, 45–53. [Google Scholar]
- Lin, Y.; Tsay, Y.F. Study of vacuole glycerate transporter NPF8.4 reveals a new role of photorespiration in C/N balance. Nat. Plants 2023, 9, 803–816. [Google Scholar] [CrossRef]









| Fertilization Times | N1 (1.5 g·clump−1) | N2 (4.5 g·clump−1) | N3 (7.5 g·clump−1) |
|---|---|---|---|
| I | 0.45 | 1.35 | 2.25 |
| II | 0.60 | 1.80 | 3.00 |
| III | 0.45 | 1.35 | 2.25 |
| Total amount | 1.50 | 4.50 | 7.50 |
Disclaimer/Publisher’s Note: The statements, opinions and data contained in all publications are solely those of the individual author(s) and contributor(s) and not of MDPI and/or the editor(s). MDPI and/or the editor(s) disclaim responsibility for any injury to people or property resulting from any ideas, methods, instructions or products referred to in the content. |
© 2025 by the authors. Licensee MDPI, Basel, Switzerland. This article is an open access article distributed under the terms and conditions of the Creative Commons Attribution (CC BY) license.
Share and Cite
Rong, J.; Liu, J.; Lei, H.; Lin, Y.; Wang, J.; Guo, Q.; Seerat, A.; He, T.; Chen, L.; Zheng, Y.; et al. Interactive Effects of Light Intensity and Nitrogen Supply on Shoot Emergence and Associated Photosynthetic Traits in Dendrocalamus latiflorus. Biology 2026, 15, 49. https://doi.org/10.3390/biology15010049
Rong J, Liu J, Lei H, Lin Y, Wang J, Guo Q, Seerat A, He T, Chen L, Zheng Y, et al. Interactive Effects of Light Intensity and Nitrogen Supply on Shoot Emergence and Associated Photosynthetic Traits in Dendrocalamus latiflorus. Biology. 2026; 15(1):49. https://doi.org/10.3390/biology15010049
Chicago/Turabian StyleRong, Jundong, Jiaying Liu, Heng Lei, Yuchen Lin, Jiawei Wang, Qiulan Guo, Azra Seerat, Tianyou He, Liguang Chen, Yushan Zheng, and et al. 2026. "Interactive Effects of Light Intensity and Nitrogen Supply on Shoot Emergence and Associated Photosynthetic Traits in Dendrocalamus latiflorus" Biology 15, no. 1: 49. https://doi.org/10.3390/biology15010049
APA StyleRong, J., Liu, J., Lei, H., Lin, Y., Wang, J., Guo, Q., Seerat, A., He, T., Chen, L., Zheng, Y., & Fan, L. (2026). Interactive Effects of Light Intensity and Nitrogen Supply on Shoot Emergence and Associated Photosynthetic Traits in Dendrocalamus latiflorus. Biology, 15(1), 49. https://doi.org/10.3390/biology15010049

