Next Article in Journal
Flower Position and Clonal Integration Drive Intra-Individual Floral Trait Variation in Water-Hyacinth (Eichhornia crassipes, Pontederiaceae)
Previous Article in Journal
Biomarkers in Skin Mucus for a Minimally Invasive Approach to Stress in Red Tilapia (Oreochromis sp.) Fry
 
 
Font Type:
Arial Georgia Verdana
Font Size:
Aa Aa Aa
Line Spacing:
Column Width:
Background:
Review

The Important Role of p21-Activated Kinases in Pancreatic Exocrine Function

by
Irene Ramos-Alvarez
and
Robert T. Jensen
*
Digestive Diseases Branch, National Institute of Diabetes and Digestive and Kidney Diseases, National Institutes of Health, Bethesda, MD 20812-1804, USA
*
Author to whom correspondence should be addressed.
Biology 2025, 14(2), 113; https://doi.org/10.3390/biology14020113
Submission received: 11 December 2024 / Revised: 10 January 2025 / Accepted: 15 January 2025 / Published: 22 January 2025

Simple Summary

The p21-activated kinases are a conserved family of serine/threonine protein kinases, which are well-established effectors for the small GTPases, Rho GTPase Cdc42 and Rac. The p21-activated kinase family is divided into two groups with three members each: group I with PAK1–3; and group II with PAK4–6. PAKs have been extensively studied, particularly in normal tissue development, normal and tumor growth/proliferation and its regulation, cytoskeletal organization/adhesion, cell migration, cell cycle progression, proliferation, aging, immune response, cell survival and CNS function, but their possible role(s) in exocrine secretory tissues has been poorly studied, such as in pancreatic tissues (except for their role in islet function). Numerous recent studies, almost entirely in pancreatic exocrine tissue, show that PAKs play an important role in pancreatic exocrine growth/secretion and disease. This study reviews the limited information from older and new/recent studies that suggest that PAKs might be important not only in pancreatic exocrine tissue function but in other exocrine/secretory organs and, therefore, should be studied in more detail in the future. These recent, summarized results include the presence and activation of PAKs by physiological/pathological stimuli, as well as the signaling cascades involved, which, in a number of cases, are novel.

Abstract

The p21-activated kinases (PAKs) are a conserved family of serine/threonine protein kinases, which are effectors for the Rho family GTPases, namely, Rac/Cdc42. PAKs are divided into two groups: group I (PAK1–3) and group II (PAK4–6). Both groups of PAKs have been well studied in apoptosis, protein synthesis, glucose homeostasis, growth (proliferation and survival) and cytoskeletal regulation, as well as in cell motility, proliferation and cycle control. However, little is known about the role of PAKs in the secretory tissues, including in exocrine tissue, such as the exocrine pancreas (except for islet function and pancreatic cancer growth). Recent studies have provided insights supporting the importance of PAKs in exocrine pancreas. This review summarizes the recent insights into the importance of PAKs in the exocrine pancreas by reviewing their presence and activation; the ability of GI hormones/neurotransmitters/GFs/post-receptor activators to activate them; the kinetics of their activation; the participation of exocrine-tissue PAKs in activating the main growth-signaling cascade; their roles in the stimulation of enzyme secretion; finally, their roles in pancreatitis. These insights suggest that PAKs could be more important in exocrine/secretory tissues than currently appreciated and that their roles should be explored in more detail in the future.

1. Introduction

The p21-activated kinases (PAKs) are a conserved family of serine/threonine protein kinases, which are well-established effectors for the small GTPases, Rho GTPase Cdc42 and Rac [1,2]. The PAK family consists of six members that are divided into two subgroups according to their sequence homology and structural and activation characteristics: group I (PAK1–3) and group II (PAK4–6) [1,2,3] (Figure 1).
Both groups of PAKs play central roles in many physiological and pathological processes [4,10,11,12,13,14,15,16,17,18,19]. In group I (PAK1–3), the most studied members are PAK1 and PAK2, whose physiological signaling roles have been extensively studied particularly in the regulation of cell survival, apoptosis, cell motility, protein synthesis, glucose homeostasis, growth and cellular proliferation [2,4,10,11,12,16,17,18,19]. Group II PAK’s, with PAK4 being the most studied member, physiological role has been extensively reported in the regulation of cell morphology, cytoskeletal organization, cell proliferation, cell cycle control, migration and growth [6,13,14,15,20,21]. Both group I and II PAKs have also been extensively studied for their roles in numerous pathologic processes, particularly in human cancer (invasion, metastases, apoptosis, epithelial mesenchymal transformation, DNA repair, angiogenesis and drug resistance) and in inflammation, neurological disorders, diabetes, CNS disorders, cardiac disease infectious diseases and cardiovascular diseases [2,7,22,23,24,25,26].
Although both groups of PAKs have been extensively studied for their physiological/pathological roles in the pancreas, there is very little information on their specific roles in pancreatic exocrine function (secretion and growth). This lack of information also extends, in general, to exocrine secretion from other glands (except for insulin) and secretion, in general, of hormones, enzymes, etc., from other glands. A number of recent studies have provided support for the conclusion that both group I and II PAKs might play important essential roles in both pancreatic physiological responses, including pancreatic enzyme secretion and normal pancreatic growth, as well as pathological disorders of the exocrine pancreas, which would likely have important relevance to their possible role(s) in other exocrine/secretory organs. In this paper, we review these recent studies, providing evidence for the importance of PAKs in pancreatic exocrine tissue including in both secretion/growth and the exocrine pancreatic pathological disorder, pancreatitis, as well as the signaling cascades involved, which have a number of unique features not generally reported in the involvement of PAKs in other well-studied tissues.
Prior to dealing specifically with this area, to understand better the various properties of the two PAK families, we first will briefly discuss the structure and activation of these two groups, as well as their pharmacology and signaling from results available from other tissues in which the PAKs have been well studied.

2. General Structure and Activation of Group I and II PAKs

Group I and II PAKs share a similar structure: an amino-terminal p21-binding domain (PBD), which can bind Rho GTPases (Cdc42/Rac), and a highly conserved serine/threonine kinase domain at the carboxy-terminal [1,2,8,27,28] (Figure 1). Both PAK groups contain an autoinhibitory domain (AID) after the p21-binding domain [1,2,8,27,28] (Figure 1). Moreover, there is considerable homology within the p21-binding domains between group I and II PAKs [27]. Despite these similarities, both group I and II PAKs have important differences in their structure. Group I PAKs have two proline-rich regions (PXXP) in front of the p21-binding domain; a PAK-interacting exchange factor (PIX)-binding domain that binds PAK-interacting exchange factor between the autoinhibitory domain and the serine/threonine kinase domain; a Gβγ-binding domain behind the kinase domain [1,2,8,27,28] (Figure 1A). In group I PAKs, the autoinhibitory domain overlaps with the p21-binding domain, and together they act as a dimer. Group I PAKs’ activation occurs when active Cdc42 or Rac binds to the p21-binding domain, disrupting the interaction between the autoinhibitory domain and the p21-binding domain, leading to a conformational change of group I PAKs resulting in it becoming a monomer, which subsequently becomes auto-phosphorylated [on Thr423 (for PAK1)] [1,2,8,10,27,28] (Figure 1A and Table 1).
In contrast, the autoinhibitory domain of group II PAKs does not overlap with the p21-binding domain, and it is located behind the p21-binding domain [1,2,8,27,28]. Some older activation models suggest that the autoinhibitory domain of group II PAKs, which keeps them inactive, is an autoinhibitory pseudo-substrate domain (PSD) [1,2,8,27,28] (Figure 1B and Table 1). In group II PAKs, the phosphorylation of the activation loop does not trigger kinase activation but may depend on conformational changes [31,32]. This is contrary to group I PAKs, and most kinases, in which phosphorylation of the activation loop is involved directly in generating kinase activation [8,31]. At present, two mechanisms of the activation of group II kinases, particularly for PAK4, have been proposed [8,27,31,32]. In one model, group II PAKs are activated when active Cdc42 binds to the p21-binding domain and causes a conformational change; thus, PAK4 exists as a monomer in the inactive state and remains inactive due to the binding of the kinase domain and the autoinhibitory domain-like sequence [8,27,31,32] (Figure 1B and Table 1). In the second model, the activation of PAK4 is dependent on the reduction in pseudo-substrate domain auto-inhibition mediated by SH3 proteins; Cdc42 binds to the p21-binding domain, reorienting it, and allows the pseudo-substrate domain to bind to SH3 proteins, resulting in the reduction in auto-inhibition and kinase activation [20,29] (Figure 1B and Table 1). The interaction of the pseudo-substrate domain with the p21-binding domain can keeps PAK4 inactive [29]. Differences and similarities in the structure and activation of group I and II PAKs are explained in more detail in Figure 1 and Table 1.
In numerous studies, the activation of group I PAKs is primarily assessed by the determination of the phosphorylation of threonine in the kinase domain (Thr423 in PAK1, Thr402 in PAK2 and Thr421 in PAK3) (Figure 1 and Table 1) [2,8,9,27,28,30]. In contrast, to assess the activation of group II PAKs, serine phosphorylation in the kinase domain is generally used (Ser474 in PAK4, Ser602 in PAK5 and Ser560 in PAK6) (Figure 1 and Table 1) [2,8,9,27,28,30]. Recently, the assessment of the possible roles of the PAKs in various physiological/pathological processes has been greatly helped by the use of various selective antagonists (Table 2).
For group I PAKs, two inhibitors have been most widely used. These included IPA-3, an allosteric inhibitor with >100-fold greater potency for PAK1 than group II PAKs [2,33,34,42,43], and FRAX597, an ATP competitive antagonist with >10,000 nM for PAK2 than PAK4, respectively [34,42,44] (Table 2). Two different inhibitors have been most widely used for PAK4: the ATP competitive antagonist, PF-3785309, which has a selectivity for PAK4, inhibiting it with 40-fold greater potency than PAK2 [2,35,45,46], and another ATP competitive antagonist compound, LCH-7749944 [2,9,36,47] (Table 2).

3. Why Recent Studies of PAK’s Action in Pancreatic Exocrine Function Were Performed?

Isolated results from a number of studies in the literature, performed prior to the recent studies in pancreatic acinar cells, which are reviewed below, provided evidence supporting the possibility that PAKs could be important in the secretion/growth of exocrine pancreas and other exocrine/secretory glands besides its well-studied effects in islets. The primarily function of the exocrine pancreas involves the synthesis and secretion of digestive enzymes/fluid essential for digestion in contrast to the endocrine pancreas, which is involved in the secretion of various hormones, especially insulin, which are essential for many physiological processes. As described briefly above, in general, the effects of PAKs on secretion had not been a well-studied area in any exocrine secretory organ, including the exocrine pancreas. This is in contrast to the endocrine pancreas, where the role of PAKs has been well studied, particularly in response to the insulin synthesis/secretion [6,8,9,11,22,27,28,48,49,50,51,52,53] (Section 6). Nevertheless, some isolated study results are available to suggest that PAKs may play an important role in exocrine gland secretion as well as in exocytosis/secretion by other tissues [1,2,54]. It has been reported that PAKs are involved in mast cell secretion [55,56,57,58,59], and, in the hippocampus, the disruption of PAK1 suppresses inhibitory neurotransmission through an increase in the tonic secretion of endocannabinoids [60]. Furthermore, PAK1 and PAK2 regulate the activation and secretion of TACE/ADAM10 proteases in human embryonic kidney 293T cells [61], and PAK2 is required for platelet secretion [62,63,64]. PAK2 has been found in pituitary secretory granules where it phosphorylates prolactin [65].
Similarly, although the role of PAK’s in exocrine pancreatic growth has not been studied, their roles in tumor growth/aggressiveness/tumor drug resistance have been extensively studied, particularly in pancreatic cancer (Section 8).

4. Recent Insights of Group I and II PAKs’ Roles in Exocrine Pancreas: Presence and Activation

4.1. Presence of Group I and II PAKs in Exocrine Pancreas

In recent studies using isolated dispersed rat pancreatic acini [10,14], the only group I PAKs found was PAK2 [10], and, similarly, from the group II family, only one member was found, PAK4 [14]. In contrast to these studies in rat pancreatic acini, little is known of the expression of group I or II PAK in pancreatic acinar cells in other species or to compare these results to other studies in rodents. Because of that, we compare the results in rat acinar tissue for similarities and differences from previous studies of PAKs in any pancreatic tissue in rat, mice and human, not only from the few studies in exocrine tissue but also with its expression in pancreatic islets from these species and in pancreatic cancer. Contrary to the rat pancreas results above, PAK1 has been reported by some in mouse acinar tissue [66,67] but not by others [68,69]. Furthermore, PAK3 is reported present in mouse acinar cells [70], whereas none was seen in our studies [10,14]. Similarly, our results differ from findings in human pancreatic acinar tissue where no PAK4 expression was reported in one study [68], whereas in a second study, PAK1 was found [71].
These recent results in rat pancreatic acinar tissue are similar to those reporting the presence of PAK2 in murine pancreatic ß cells [72] and in PAK4 in mouse and human islets [49], as well as in the rat insulinoma cell line INS-1 823/13 [49]. However, they differ from numerous studies that report the presence of PAK1 in mouse islets [67,73,74], as well as in human islets [70,71,74] and in the rat insulinoma cell line INS-1 823/13 [73] and murine ß cell lines, MIN6 cells [70]. Furthermore, they differ from the finding of PAK3 in mouse islets [67,70]. These recent results of finding only these two PAKs present in rat pancreatic acinar cells also differ from the results of PAKs found in pancreatic cancer. In pancreatic cancer, all three group I PAKs (PAK1–3), as well as each of group II PAKs (PAK4–5), except for PAK6, have been reported [59,71,75,76,77,78]. PAK1 and PAK4 have received the most attention because they are most frequently overexpressed [75,76]; however, each of the five PAKs has been shown to be important in pancreatic cancer growth. These results demonstrate that the expression of PAK subtypes differs markedly not only between the same pancreatic tissue in different species but also between the different pancreatic tissues (i.e., exocrine, islets and pancreatic cancer).

4.2. Activation of Group I and II PAKs in Exocrine Pancreas

Recent studies [10,14,15] report that both PAK2 and PAK4 present in rat pancreatic acinar tissue are activated by numerous pancreatic physiological secretagogues, including cholecystokinin (CCK), muscarinic cholinergic agonists (carbachol) and bombesin/GRP, which all activate the phospholipase C (PLC) signaling cascade [79,80] (Figure 2A,B and Table 2). However, only PAK4 [10,14,15] was also activated by the hormone/neurotransmitter, endothelin-1, which activates neither PLC nor the cyclic AMP signaling cascade in pancreatic acinar cells [81], as well as was activated by secretin and VIP, which increase cAMP-stimulated signaling cascades [15,82,83,84] (Figure 2B and Figure 3B and Table 2). PAK2 and PAK4 also are activated by numerous pancreatic growth factors [10,14]. While the growth factors EGF, bFGF and PDGF stimulated both PAK2 and PAK4 in pancreatic exocrine tissue, insulin, IGF-1 and HGF only had an effect on PAK4 activation [10,14] (Figure 2C,D and Table 2). Moreover, the stimulation of both pancreatic acinar cell PAK2 and PAK4 by post-receptor activators was only possible with the phorbol ester, TPA, which activates PKC (Table 2), whereas agents stimulating changes in [Ca2+]i, such as thapsigargin, the Ca2+ ionophore, and A23187 (Table 2) or the post-receptor activators of cAMP, 8-Br-cAMP and forskolin (Figure 3A) only stimulated PAK4 [10,14]. These differences, in which pancreatic secretagogues and growth factors and post-receptor activators stimulated PAK2 and/or PAK4, demonstrate that the cellular activation signaling pathways vary markedly between group I (PAK2) and group II (PAK4) PAKs in pancreatic exocrine tissue (Section 5) (Figure 2A–D and Figure 3A and Table 2).
A comparison of these results of the ability of these receptor and post receptor stimulants to activate group I and groups 2 in pancreatic exocrine tissue show both similarities and marked differences in some respects from that reported by these stimulants in other tissues (Table 3).
Similar to the findings in pancreatic acinar cells [10], PDGF and FGF stimulated the activation of group I PAKs, whereas insulin did not, in NIH-3T3 cells [99]; EGF activated PAK2 in mouse skin epidermal cells [103]; EGF and carbachol stimulated a group I PAK in Cos7 cells [92]; and bFGF stimulated cell growth by activating PAK1/PAK2 in PC-12 cells [104,105,106]. Similar to the pancreatic acinar cell findings, group I PAKs are activated in a PLC-dependent manner by angiotensin II [107,108] in vascular smooth muscle cells [107,108], gastrin in colorectal cancer cells and colorectal mucosa cells [109,110] or by Rac1, which is a PAK activator in other tissues as well as group I PAK activation by muscarinic cholinergic agents in fibroblasts or neuroblastoma cells [92] and in smooth muscle cells [111]. Different from what is described above in pancreatic acini with PAK2 [10], endothelin did not activate group I PAKs in myocytes [93]; group I PAKs mediated IGF-1 and insulin signaling in mesothelial cells [115] and in mouse endocrine L cells [116], respectively; HGF regulated PAK1/PAK2 in prostate cancer [117] and epithelial cells [112,118]; and PKA activation was required for PAK activation by other GPCRs [94]. As described in pancreatic acinar cells with PAK4 [14], IGF-1 or PDGF can active PAK4 [9,29]; HGF, EGF and insulin activates PAK4 in epithelial cells [100,101,102]. Although there are no studies on the ability of VIP or secretin to activate PAK4, some studies reported that the activation of some G-protein-coupled receptors, such as those for ß-adrenergic agents, prostaglandins and alpha-MSH, can stimulate PAK4 activation via cAMP in HEK293 cells (human embryonic kidney 293 cells), B16 melanoma cells and MCF7 (breast cancer cells) [94,95,96]. Similarly, it is reported in different cancers with agents that activate cAMP that they can activate PAK4, such as thyroid-stimulating hormones in papillary thyroid cancer [97], C-X-C motif chemokine 12 in prostate cancer [119] and alpha-MSH in B16 melanoma cells [96].
Previous studies have demonstrated that PAK2 and PAK4 can be activated by post-receptor activators in other tissues, as described in the pancreas [10,14,15]. The post-receptor activators of the cAMP pathway, 8-Br-cAMP and forskolin activated Cdc42 in human mesangial cells [113], which is the principal upstream activator of PAK4 [1,2,6,8,27,28]. Moreover, forskolin can activate PAK4 in papillary thyroid cells [97] and in prostate cancer cells [114].

4.3. Dose–Response Effect on Group I and II PAK Activation in Exocrine Pancreas

The hormone/neurotransmitter, CCK, is one of the most important physiological regulators of pancreatic exocrine functions (i.e., the secretion, growth and synthesis of enzymes) [80,120,121,122], as well as is important in various exocrine pancreatic pathophysiological processes (such as pancreatitis and cancer growth) [80,120,123,124,125,126]. Numerous studies demonstrate that CCK mediates its actions in various tissues by interacting with the G-protein coupled receptors CCK1-R or CCK2-R, with CCK1-R being specific for CCK, and mediating CCK’s action in the pancreas [80,83,127,128,129,130,131,132,133]. CCK can activate both a high- and low-affinity CCK1 receptor state, which can mediate different cellular responses [80,89,128]. In pancreatic acinar cells, by using the synthetic CCK analogue, CCK-8-JMV, which is a full agonist for the high-affinity CCK1 receptor state and an antagonist for the low-affinity state in rat pancreatic acini [89,90], it has been found in pancreatic acinar cells that PAK2, as well as PAK4 activation, requires the activation of both high and low CCK1-R states [10,14] (Figure 3 and Table 2).
For maximal PAK2 activation, both receptor states are required, with 26% of the full activation of the high-affinity CCK1 receptor state and 74% of the activation of the low-affinity CCK1 receptor state [10] (Figure 3A and Table 2), while 60% of PAK4 maximal CCK-stimulation is due to the activation of the high-affinity CCK1 receptor state and 40% to the activation of the low-affinity CCK1 receptor state [14] (Figure 3B and Table 2). These studies established that the degree of participation of the high or low affinity state activation that is required for the maximal stimulation of PAK2 and PAK4 varies despite the fact that they are closely structurally related. As recently described with PAK2 and PAK4 in pancreatic exocrine cells [10,14], the activation of both high- and low-affinity CCK1 receptor states, although with differences in their relative importance, is also required for the CCK-induced activation of the Src kinases (Lyn and Yes) [134,135], the focal adhesion kinases (p125FAK and PYK2) [128,136], paxillin [128,137] and PKD [91] in pancreatic acini [134]. In contrast to PAK2 and PAK4 in pancreatic acinar cells, CCK-mediated activation in the pancreatic acini of phospholipase D or PI3K requires the activation of only the high-affinity receptor state [138], whereas in the case of PKC-δ [139], CRK-II [140] or SFK activity [141], only the low-affinity CCK1 receptor state is required for activation.
In pancreatic acinar cells, as in a number of other tissues [79,80,82,142], one of the principal signaling cascades with activation of CCK1-R is the stimulation of phospholipase C (PLC), resulting in the generation of inositol phosphates and diacylglycerol, which in turn results in the mobilization of the cellular calcium and activation of PKCs, respectively [79,80,128] (Figure 4 and Figure 5).
A recent study in pancreatic acinar cells found that the activation of PKC, but not changes in cytosolic calcium, by CCK1-R stimulation, is an important mediator for the activation of PAK2 and that 40% of the PKC-independent activation of PAK2 was also PLC-independent [10] (Figure 4). In addition to PKC being involved as an upstream activator of the CCK- and TPA-induced activation of PAK2, this same study suggested that the activation of the high-affinity CCK receptor state requires the activation of the Src-family of kinases (SFKs) for full PAK2 activation [10] (Figure 4). In regard to PAK4 activation in pancreatic acinar cells, another recent study reported that CCK1-R mediates PAK4 activation primarily through PKC activation and, to a lesser extent, through Ca2+ mobilization activation and through both PKD-dependent and independent, as well as SFK signaling cascades [14] (Figure 5). These results demonstrate that CCK1-R activation of PAK2 and PAK4 in the same cell can have both marked similarities and differences.

5. Recent Insights into the Downstream Signaling Cascades of p21-Activated Kinases in Pancreatic Exocrine/Acinar Tissue (Downstream)

Until recent studies, there was no information on how the activation of group I and II PAKs in pancreatic acinar tissue interfaces with the main cell signaling pathways (i.e., c-Raf/MEK/ERK [80,82,145]; the PI3K/Akt/mTor pathway [80,82,146,147,148,149]; and GSK3 and ß-catenin pathways [79,90,101,139,150,151,152]).
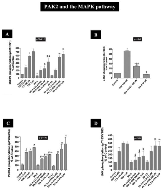
In recent studies in rat pancreatic acinar cells, the CCK1-R activation of both PAK2 and PAK4 has been shown to activate the principal growth/proliferation cascade [121,153], which requires MAPK activation, through Mek1/2 and p44/42 [10,12,14,41] (Figure 4 and Figure 5 and Table 2). In addition, these recent studies show that both PAK2 and PAK4 are important for the CCK1-R activation of the focal adhesion pathways involving PYK2/p125FAK and for the activation of the important scaffolding/adapter proteins, paxillin/p130CAS [12,41] (Figure 4 and Figure 5 and Table 2). Despite these similarities of the roles of PAK2 and PAK4 in the above signaling cascades, there were major differences in the ability of PAK2 or PAK4 to stimulate the PI3K/Akt pathway, which is an important regulator of apoptosis and cell cycle progression in the pancreas [80,122,146,147,148,154]. While PAK2 is an important mediator of the CCK-induced phosphorylation of p85 PI3K and the ability of CCK-and TPA to alter the activation of the PI3K pathway by stimulating dephosphorylation of Akt and p70S6K [12] (Figure 4 and Table 2), PAK4 did not regulate p85 PI3K or Akt nor p70S6K activation [41] (Figure 5 and Table 2). This latter finding differs from the findings in gastric cancer [45], wherein PAK4 is an important regulator of the activation of the PI3K pathway. Another difference between the activated downstream signaling cascades of group I (PAK2) and group II PAKs (PAK4) in pancreatic acinar tissue is that CCK, TPA, secretin and VIP stimulated the activation of ß-catenin and its upstream mediator GSK3 in a PAK4-dependent manner; however, this was not dependent on PAK2 [12,41] (Figure 4 and Figure 5 and Table 2). The latter result contrasts with the ability of the CCK2-R agonist, gastrin, to activate β-catenin signaling, which was mediated by a PAK1-dependent pathway in gastric epithelial cells [37]. A recent study [40] in rat pancreatic acini demonstrated that PAK4 activation is essential in the CCK-mediated activation of cofilin, which is essential for mediating CCK-stimulated growth and enzyme secretion; however, at present, it is unknown if the activation of group I PAK, PAK2, in these cells is also involved [40] (Figure 5 and Table 2).
The recent studies in pancreatic acinar cells reporting that the activation of both group I (PAK2) and group II (PAK4) PAKs [12,41] can result in stimulation or interaction with various adapter/scaffolding proteins, such as p130cas and paxillin, are similar to reports previously in a number of studies in other tissues in the literature. A number of studies report that the activation of various group I PAKs (PAK1 and PAK3) results in the interaction/activating of the α isoforms of paxillin in different cell lines (including the fibroblast cell line, 3Y1, and NRB and CHO.K1 cells) [155,156,157]; the activated PAK1 down-regulated p130CAS in airway smooth muscle cells [158], and PAK4 activation is needed for stimulation for the activation of paxillin in lung cancer cells [159], as well as studies reporting that PAK4 mediates the activation of paxillin in PAK4-transfected MDCK cells [144] and in DU145 prostate cancer cells [160].
Despite the limited information on the ability of PAK4 to regulate the activity of the focal adhesion kinases (PYK2 and p125FAK) or the adapter protein, p130CAS in the pancreas, PAK4 stimulation is needed for the activation of 125FAK in A549 human lung cancer cells [159], and PAK4 activation is associated with morphologic cellular changes in focal adhesions in NIH 3T3 and in prostate cancer [160,161]. However, in valvular interstitial cells with periostin/B1 integrin activation, PAK1 activation is downstream to p125FAK activation [162].
In recent studies [12,41], the CCK1-R activation of the MEK/ERK pathway was dependent on the activation of both group I (PAK2) and group II (PAK4) PAKs by GTPases [12,41]. However, neither PAK2 or PAK4 was required for the activation of the p38 signaling cascade, and the roles of these two different PAKs differed in the activation of the JNK signaling cascade or the activation of c-Raf, with PAK2 activation required but not PAK4 activation [12,41]. Similarly, it has been described in the literature with different members of the MAPK cascade that CCK activates Mek/ERK by a Raf-dependent mechanism [145] and that GTPases are involved in the upstream signaling for JNK activation [163]. Moreover, the group I PAK, PAK1, has been described as a mediator of JNK activation in vascular smooth muscle cells [108]. Furthermore, in numerous normal and tumor cells with various stimuli [164,165], PAK4 activation mediates ERK1/2 stimulation, including in pancreatic cancer cells, in gastric cancer cells and in A549 human lung cancer cells [36,45,68,159], as well as stimulating the Mek1/2 cascade in gastric cancer cells and other tissues [45,164]. However, despite PAK4 leading to Mek/ERK activation in pancreatic acinar cells [41], this is not the case in colon cancer cells where the Raf/Mek/ERK pathway is independent of PAK4 activation [100]. Furthermore, in human epithelial cells, PAK4 activation is needed for p38 stimulation, which is required for enhanced MUC5A main transcription [102], and there is a requirement for the PAK4 activation of JNK in a number of tissues [166,167]. Despite the similarity between group I and II PAKs, the role of both groups of PAKs in the stimulation of MAPK pathways in different cells can vary markedly. Furthermore, within the same cell, such as in pancreatic acinar cells, with the same stimulant (i.e., CCK), the role of group I and group II PAKs (i.e., PAK2/PAK4) in the activation of the different MAPKs can differ. Taken together, these studies demonstrate the importance of PAKs in mediating the CCK- and TPA activation of different MAPKs in pancreatic acinar cells and suggest a participatory role of PAKs in many of the physiological and pathophysiological processes controlled by this pathway in pancreatic acini such as proliferation, regeneration, growth, inflammation and apoptosis [121,153,168,169,170].
A previous study performed in pancreatic acini reported that PAK2 was involved in both dual actions of CCK and TPA on PI3K because PAK2 inhibition reversed both dual actions of CCK and TPA on this pathway by reducing their induced activation of p85 PI3K while reversing its inhibitory effect on Akt activation [12] (Figure 4 and Table 2). However, these results are in contrast with the literature where PAK1 inhibition inhibits Akt [33,62] and GSK-3-β activity [37,62,171,172], and they demonstrate that the activation of PAK2 has a variable role on PI3K/Akt activation in various cells and that with CCK in pancreatic acini, it has a number of novel features. Despite the role of PAK2 in PI3K/Akt activation, all of the changes in Akt were transmitted to its downstream effector P70s6k [173,174]. At present, the mechanisms of these inhibitory effects of CCK on the activity of the Akt pathway in pancreatic acinar cells are unclear [146]; additionally, whether PKC, a PAK2 activator [10] and an Akt inactivator, in other studies [175], is involved in the CCK actions on Akt mediated by PAK is still unknown and requires further research. Similar to the recent findings in pancreatic acinar cells with PAK4 [41], PAK4 activation was independent of PI3K/Akt activation in colon cancer cells [100]. However, PAK4 activation is required for Akt-mediated NF-kB activation and maximal stimulation in pancreatic cancer cells [68,176], for Akt-induced chemoresistance in cervical or gastric cancer cells [45,177], for Akt-mediated enhanced proliferation/invasion in breast cancer cells [178] and for a number of other Akt-stimulated changes in other tumors [179,180]. These results demonstrate that PAK2 and PAK4 involvements with the PI3K/Akt signaling cascade shows wide variation in different cells and that it can differ markedly from the activation of one to another PAK.
Previous studies demonstrate that the CCK and gastrin-related peptides can activate the ß-catenin and GSK3 pathways in both normal and tumor cells [181,182], and, in the pancreas, their activation by CCK could lead to pancreatitis and the stimulation of protein synthesis and growth, as well as pancreatic regeneration after injury and pancreatic development, and act as an important mediator of pancreatic secretion [183,184,185,186,187,188]. Similar to recent results in pancreatic acinar cells [41], PAK4 regulates melanogenesis via the ß-catenin/MITF pathway [96]; PAK4 activates α-MSH/UVB-induced melanogenesis via Wnt/ß-catenin [96]; and the inhibition of PAK4 attenuates nuclear ß-catenin, which reduces the migration, invasion and/or growth in A549 human lung cancer cells [159] and colon cancer cells [189], as well as the growth of normal cells [159].
Most of the studies of the role of group I and II PAKs have been performed with chemical inhibitors (Table 2), such as FRAX597 and PF-3758309 (ATP competitive; PAK2 and PAK4 inhibitors, respectively). These inhibitors were the first ones to be described and are the most used to date. Currently, they are used to study the role of PAK2 and PAK4 in other tissues. Some of these studies included comparative findings with siRNA [40], showing no differences between these inhibitors and the findings using other methods (i.e., siRNA), proving the specificity of these inhibitors for each PAK. However, new inhibitors with higher selectivity among PAKs will help to better understand the specific role of each one of these PAKs.

6. Secretion (Amylase Release and Fluid/Electrolyte Secretion)

Recent studies show for the first time that the activation of both group I PAKs (PAK2) and group II PAKs (PAK4), by the principal physiological pancreatic stimulant, CCK, is essential for the stimulation of pancreatic enzyme secretion [10,14,40,41] (Figure 4 and Figure 5). Complementary to these studies, recent findings show that the stimulation of both the pancreatic acinar cells PAK2 and PAK4 by post-receptor activators was only possible with the phorbol ester, TPA, which activates PKC (Table 2), whereas agents stimulating changes in [Ca2+]i, such as thapsigargin, the Ca2+ ionophore, A23187 (Table 2) or the post-receptor activators of cAMP, 8-Br-cAMP and forskolin (Figure 6A) only stimulated PAK4 [10,14].
Furthermore, the activation of PAK4, by some of these post-receptor activators, has been shown to be essential for the activation of pancreatic acinar Na+, K+-ATPase, which mediates fluid and electrolyte secretion from acinar cells, stimulated by the neurotransmitters/hormones, secretin and vasoactive intestinal peptide (VIP) (Figure 2B and Figure 6 and Table 2). The detailed studies [10,14,40] of the signaling cascades involved with enzyme secretion with PAK2 (Figure 4) and PAK4 (Figure 5) activation demonstrate that the primary signaling cascades for both PAKs with CCK result in the activation of phospholipase C. The subsequent stimulation of SFKs, with the activation of Cdc42/Rac1 also participating, as well as PKD and ERK activation with PAK4 (Figure 4 and Figure 5), can be observed. A more recent study [40] demonstrated that an essential signal member for the stimulation of pancreatic enzyme secretion by activating PAK4 was the activation of protein serine phosphatase 2A (PP2A), resulting in the stimulation of cofilin, which played a pivotal convergent role for a number of other signal cascades participating in pancreatic enzyme secretion [40] (Figure 6). In the case of the PAK4 activation of pancreatic acinar Na+, K+-ATPase, which mediated VIP/secretin-stimulated fluid and electrolyte secretion (Figure 6E,F) [15] in pancreatic acinar cells, the essential signaling pathway activating PAK4 was the stimulation of adenylate cyclase resulting in the activation of both protein kinase A and EPAC (Figure 6C,D) [15]. In contrast to PAK4 (Figure 2A, Figure 5 and Figure 6B and Table 2), VIP/secretin did not activate PAK2 in pancreatic acinar cells and thus was not involved in VIP/secretin-stimulated fluid/electrolyte secretion in these cells (Figure 4 and Table 2) [10].
The recent findings in pancreatic acinar cells showing an essential role for PAKs in pancreatic enzyme secretion, as well as pancreatic acinar fluid and electrolyte secretion, suggest that PAKs may play a much larger role than currently appreciated in secretion/exocytosis from other exocrine glands and secretory tissues including in neural tissue, with the synaptic release of neurotransmitters in both in the CNS and periphery. This conclusion is supported both by the extensive literature reporting the involvement of both group I and group II PAKs in insulin secretion [9,49,50,53] and by isolated studies in the literature that report the involvement of group I PAKs in secretion from a diverse variety of exocrine/secretory cells including from mast cells [57,59,191]; in secretion from pituitary cells [65]; in secretion from platelets [62,63,64]; in the secretion of RACE/ADA10 proteases from both embryonic kidney 293 cells as well as cancer cells [61,192]; in acrosomal exocytosis during sperm capacitation [193]; in the secretion of GLP-1 from intestinal endocrine L cells [194]; in GABA secretion/release during synaptic transmission [195]; in stimulation exocytosis from bovine chromaffin cells [196]; in secretion from vascular smooth muscle cells [197]; and in regulating inhibitory neurotransmission in hippocampal cells [60].

7. Acute Pancreatitis

Acute pancreatitis is an inflammatory disorder starting in the exocrine pancreas, which can progress to involving both peripancreatic as well as remote tissues and is one of the leading causes of gastrointestinal (GI) hospitalizations in the USA and in many countries [198,199]. Acute pancreatitis is characterized by the inflammation, edema and necrosis of pancreatic tissue, which can result in significant morbidity, as well as an overall mortality of 5% [198,199]. The results from numerous studies in different tissue demonstrate that PAKs are an important general mediator of inflammation [24,200], and thus one might suspect their activation could play an important role in acute pancreatitis, which has a prominent inflammatory component. The results from a number of recent studies prove evidence that the activation of p21-activated kinases may play important roles in the pathobiology of acute pancreatitis. In a recent study [12], using a widely used experimental model of acute pancreatitis, which is induced by supramaximal concentrations of CCK in rat pancreatic acinar cells, a number of results supported the conclusion that the activation of group I PAKs (PAK2) plays important roles in the early meditation of acute pancreatitis. The premature activation of the pancreatic digestive enzyme, trypsinogen to trypsin, in the pancreatic acinar cell is considered to be one of the main initiating events in acute pancreatitis [198,201,202]; in this experimental model of acute pancreatitis, this required the CCK activation of PAK2 (Figure 4 and Figure 7 and Table 2).
Furthermore, the activation of reactive oxygen species [ROS] has been reported to play an important role in the pathobiology of acute pancreatitis in various disease models [198,204,205], and this was also found to be dependent on the activation of PAK2 [12] (Figure 4 and Figure 7F and Table 2). In addition, in the supramaximal CCK model as well as other models of acute pancreatitis, acinar cell death can occur and is mediated by the activation of apoptosis and necrosis [198,206,207]. For the stimulation of apoptosis in acute pancreatitis, the activation of caspases 3, 8 and 9 plays an essential role, and, in this recent study [12], the activation of these caspases required the activation of PAK2 (Figure 4 and Figure 7A,C,E and Table 2). Furthermore, the activation of PAK2 was an important mediator of necrosis in this model of acute pancreatitis (Figure 4 and Figure 7B,D and Table 2) [12]. The authors of this study [12] propose that because of the multiple roles of PAK2 in the pathobiology of experimental acute pancreatitis, PAK2 could be an important therapeutic target for the treatment of acute pancreatitis.
The possible importance of group I PAKs in acute pancreatitis is further supported by a recent study in mice using an in vivo supramaximal CCK model of acute pancreatitis [67]. In this model, with the induction of acute pancreatitis, the pancreatic acinar cell group I PAKs (PAK1) were overexpressed, which led to the activation of NF-kB and the p38 signaling cascade, which in turn resulted in the pathological features of acute pancreatitis including serum concentrations of amylase and lipase and increased levels of tissue necrosis factor alpha, interleukin-6 and interleukin beta. This result is consistent with studies in fibroblasts/macrophages, wherein the activation of NF-kB has been shown to require the activation of the group I PAK, PAK1 [208]. These results led the authors to suggest that group I PAK1 inhibitors might be a potential therapy for the treatment of acute pancreatitis [67].
The possibility that the activation of group II PAKs (PAK4) could also be important in the pathogenesis of acute pancreatitis was suggested by a study [209] using the in vitro model of acute pancreatitis by administering taurolithocholic acid to the pancreatic acinar cell line, AR42J cells. This study [209] demonstrated an up-regulation of the PAK4 gene in addition to 21 other genes, raising the possibility it might be a therapeutic drug target.
The studies above providing evidence that the activation of PAKs may play an important role in acute pancreatitis are supported by studies reporting important roles for Ras, Rac and Cdc42 activation in acute pancreatitis. Rac1 and CDC42 are the main activators of PAKs (Table 1), and Ras can activate Rac/Cdc42 [210], resulting in PAK activation. These studies include results from CCK-induced acute pancreatitis [205] in mice, which demonstrated a marked amelioration of the acute pancreatitis with a Rac1 inhibitor, as well as a marked inhibition of acute pancreatitis-associated lung injury after giving the Rac1 1 inhibitor [205]. Other studies demonstrated that the inhibition of Ras signaling decreased the severity of taurocholate induced acute pancreatitis [211] and that the ameliorating effect of the flavone, baicalin, on acute pancreatitis was due in part to its inhibition of Cdc42 [212]. Because the activation of PAKs is the principal effector of the action of these small p21-GTP activators, these results also support the conclusion that the activation of PAKs is important in acute pancreatitis.

8. Pancreatic Tissue Growth (Exocrine, Cancer and Islets)

Previous studies have demonstrated that group I and II PAKs are involved in the signaling pathways related to growth in normal tissue [6,8,11,27,28], as well as neoplastic tissues [7,22,75,213,214]. In numerous normal tissues, several studies have shown that PAKs are involved in both physiological growth and response to injury with the activation of the MAP kinase and PI3K pathway playing prominent roles [6,8,11,27,28]. In neoplastic tissue, PAKs, particularly PAK1, PAK2 and PAK4, have a high level of expression in many cancers with PAK alterations involving gene amplification, fusions, mutations and deletions resulting in PAKs playing key roles in pancreatic cancer [2,75,76,214,215], as well as in lung, colon, gastric, prostate and breast cancer [6,22,27]. In pancreatic cancers and other tumors, PAKs have been shown to play important roles in proliferative signaling in the evasion of apoptosis and the promotion of proliferation, cancer initiation, epithelial mesenchymal transformation, cell survival, migration, invasion, metastasis, inducing angiogenesis and drug resistance and immune responses [2,22,75,215].
The key role in the stimulation of neoplastic growth and transformation in many tumors such as pancreatic cancer is the tumoral activation of Ras, which in turn activates PAKs [216,217] (Figure 4 and Figure 5 and Table 1) [6,11,22]. In pancreatic cancer, a mutation in Ras, most frequently in KRAS, is observed in >85% of pancreatic tumors, which results in a constitutively active Ras, which, in addition to activating PAKs, can activate the MAPK, PI3K, Hedgehog, Wnt and Notch signaling cascades, all of which can affect growth/proliferation [27,75,217,218,219]. KRAS, a small GTPase enzyme that functions as a signal transducer [218], participates in the downstream pathway and activation of the main growth pathway, Raf/Mek/ERK [219,220].
Similar to the well-studied roles of PAKs in the growth behavior of pancreatic cancer and other neoplasms, an important signaling role for PAKs in mediating the growth and mass of pancreatic islets has been reported [48,51,221,222]; however, the role of PAKs in exocrine pancreatic growth has not been studied until recently. Studies have shown that the release of the hormone/neurotransmitter, CCK, plays an essential role in mediating growth in pancreatic exocrine cells by interacting with the CCK1-R’s, resulting in the stimulation of numerous growth stimulatory signaling cascades [82,121,223,224]. Numerous studies have shown that the CCK1-R-mediated activation of the MAP kinase cascade plays an essential, central role in mediating the CCK stimulated growth of pancreatic exocrine cells [121,223,225,226].
Recent studies in the exocrine pancreatic cells using hormonally responsive, dispersed pancreatic acinar cells demonstrate that the activation of both group I PAKs (PAK2) and group II PAKs (PAK4) in these cells is essential for mediating the activation of the ERK1/2 signaling growth cascade (Figure 4, Figure 5, Figure 8C and Figure 9C and Table 2) [12,14].
The results in these studies demonstrated that the signaling cascades for the activation of the two different groups of PAKs, in relation to the activation of the ERK1/2 cascade, differed [12,14,41] (Figure 8A and Figure 9A and Table 2). In the case of PAK2 activation by CCK1-R stimulation [10], the activation of c-Raf with the subsequent activation of Mek1/2 and JNK was an essential upstream effector [10] (Figure 8A,B,D and Table 2), whereas with PAK4 activation, the ERK1/2 activation is both functioning upstream as well as functioning as a downstream mediator of PAK4 activation [14,41] (Figure 5 and Figure 9C and Table 2), and Mek1/2 was also activated by PAK4 [41] (Figure 9A). However, PAK4 did not mediate c-Raf nor JNK activation [41] (Figure 9B,D). These results demonstrate that even though the two groups of PAKs have many structural similarities, in the same cell with the same stimulant (i.e., CCK), stimulating the same key signaling cascade (i.e., ERK1/2 activation), which can result in the same response (i.e., growth), the overall PAK-ERK1/2 signal cascade had some important differences.

9. Conclusions

The main purpose of this paper was to review recent insights into the roles of p21-activated kinases from studies of PAKs in pancreatic exocrine tissue, an area for which there is little information, except for islet function and insulin secretion.
These studies show that, in contrast to pancreatic islets and pancreatic cancer, two pancreatic tissues in which the roles of PAKs have been well studied, in the pancreatic acinar cells only one group I PAK (PAK2) and only one group II PAK (PAK4) are present. These studies show that a number of physiological stimulants, including CCK, as well as a number of growth factors, activate PAK2 and PAK4. Also, they show that both PAKs have similarities and differences in the ability of the secretagogues, including CCK, that stimulate PLC-mediated cascades and those activating the adenylate cascades (VIP/secretin) to activate PAK2 and PAK4. Furthermore, they show that the activation of both PAK2 and PAK4 by CCK is not only rapid and sustained but also required both CCK1 receptor states. The studies of physiological/pathological function show that PAK2 and PAK4 are involved in secretory function and activating the central growth signaling cascade involving the MAPK cascade and that PAK2 activation plays an essential role in the induction of pancreatitis. Furthermore, these studies report the signaling cascades that both activate PAKs in these cells, as well as a number of the distal post PAK signaling cascades, which in a number of cases are novel compared to what is generally found in non-secretory well-studied tissues.
One major limitation of the recent data reviewed in this paper for the possible importance of PAKs in exocrine pancreatic is that it, in large part, comes from studies in rodents. This is the case because compared to these detailed studies of the presence, signaling and function of PAKs in rat pancreatic exocrine tissue, there is, in general, only limited information on comparative studies of the presence or absence of PAKs or their roles in human pancreatic tissues or other species, except for their roles in islet/insulin secretion and pancreatic cancer. The comparison of the available data showed that, in a normal pancreas, the type of group I/group II PAK varies with different species; however, at present, the comparable roles for PAK activation and function have not been studied. This situation is not unique to these studies because, in the case of the cell biology of exocrine pancreatic function, both normally and in diseases such as pancreatitis, almost all the information has come from studies on rats and mice, and, when compared to limited human data, the rodent data have generally provided very important insights, which are also seen with some variation in human tissues. Although no data exist in PAKs for exocrine pancreatic tissues for such a comparison at present, both the above results in other pancreatic exocrine cell biology studies and the limited information from studies of PAKs in human islet/insulin secretion compared to that from rodent islets support the general conclusion that although there may be some variation, the insights from the rodent data are generally applicable to the human situation, except the cell pathway, which may show variations. Furthermore, except for islet cell function, there are no data in the literature from any study that clearly address the point of species differences on PAK function in a given organ. The only data we could find are from studies of PAKs’ importance in insulin secretion from different species. These studies show that in rat, mouse and human islets, reported in the current paper, there can be different PAKs present. However, the studies show that in the different species, PAK1, PAK2 or PAK4 can regulate insulin secretion, suggesting that different group I or group II PAKs may regulate similar islet functions in different species, but at least one is important in their regulation in each species studied.
In conclusion, this paper reviews information from recent studies that show that both group I and group II PAKs could play an important role in the exocrine pancreas by participating in secretory and growth cascades. These results combined with a few isolated reports of the roles of PAKs in other exocrine/secretory tissues suggest that both groups of PAKs could play a much larger role in exocrine/secretory tissues than generally thought at present and thus should be studied in this context in the future. Furthermore, because PAK2 and PAK4 have been related to pancreatic cancer, these two p21-activated kinases could be considered a prognostic and immunotherapeutic marker pancreatic cancer; therefore, future research in this direction should be necessary.

Author Contributions

I.R.-A. and R.T.J. performed detailed literature searches, drafted the review, made tables and figures of the data, provided supporting materials and corrected the review. All authors have read and agreed to the published version of the manuscript.

Funding

This work is partially supported by the Intramural Research Program of the NIDDK, NIH. DK05-3101-29.

Institutional Review Board Statement

Not applicable.

Informed Consent Statement

Not applicable.

Data Availability Statement

No new data have been reported or analyzed in this study.

Conflicts of Interest

The authors declare that the review was conducted in the absence of any commercial or financial relationships that could be construed as a potential conflict of interest.

Abbreviations

AC, adenylyl cyclase; AID, autoinhibitory domain; Akt, protein kinase B; AP-1, activator protein-1; ATP, adenosine triphosphate; bFGF, basic fibroblast growth factor; Ca2+, calcium; cAMP, cyclic adenosine monophosphate; CCK, COOH-terminal octapeptide of cholecystokinin; CCK1-R, CCK 1 receptor; Cdc42, cell division control protein 42; DAG, diacylglycerol; EGF, epidermal growth factor
EPAC, exchange protein activated by cyclic AMP; FAK, focal adhesion kinase.
FRAX597, small-molecule pyridopyrimidinone-group-1-PAK-inhibitor; GF, growth factor; GI, gastrointestinal; GSK3, glycogen synthase kinase 3; GTPase, guanosine-triphosphate-binding protein; HGF, hepatocyte growth factor; IGF, insulin-like growth factor; IPA-3, 1,1′-dithiodi-2-naphthtol; JNK, c-Jun-N-terminal kinase; LCH, LCH-7749944; LDH, lactate dehydrogenase; MAPK/ERK/p44/42, mitogen-activated protein kinase; MARCKS, myristoylated alanine-rich C kinase substrate; MCP-1, monocyte chemotactic protein-1; Mek, MAP kinase; MIP-1α, macrophage inflammatory protein-1α; NF-kB, nuclear factor kB; PAK, p21-activated kinases; PBD, p21-binding domain; PDGF, platelet-derived growth factor; PF, PF-3758309; PI3K, phosphatidylinositol 3-kinase; PKA, protein kinase A; PKC, protein kinase C; PKD, protein kinase D; PLC, phospholipase C; p38, p38 mitogen-activated protein kinase; p70S6K, p70 ribosomal S6 kinase; p125FAK, focal adhesion kinase p125(Fak); p130CAS, adaptor protein p130; ROS, reactive oxygen species; Pi, inorganic phosphatase; PI3K, phosphoinositide 3-kinase; PP, protein phosphatase; PSD, pseudo-substrate domain; PTEN, phosphatase and tensin homolog; PYK2, proline-rich tyrosine kinase 2; Raf, proto-oncogene serine/threonine-protein kinase proto-oncogene; RANTES, regulated on activation, normal T cell expressed and secreted; ROS, reactive oxygen species; Ser and S, serine; SFK, Src family of kinases; SHC, Src homology 1 domain containing transforming protein; SH3, SRC homology 3; STAT3, signal transducer and activator of transcription-3; Thr and T, threonine; TPA, 12-O-tetradecanoylphorbol-13-acetate; VIP, vasoactive intestinal polypeptide; 8-Br-cAMP, 8-Bromoadenosine 3′,5′-cyclic monophosphate sodium salt; 8-CPT-2-Me-cAMP, 8-(4-chlorophenylthio)-2’-O-methyladenosine 3′,5′-cyclic monophosphate sodium.

References

  1. Kumar, R.; Sanawar, R.; Li, X.; Li, F. Structure, biochemistry, and biology of PAK kinases. Gene 2017, 605, 20–31. [Google Scholar] [CrossRef] [PubMed]
  2. Rane, C.K.; Minden, A. P21 activated kinases: Structure, regulation, and functions. Small GTPases 2014, 5, e28003. [Google Scholar] [CrossRef] [PubMed]
  3. Chetty, A.K.; Ha, B.H.; Boggon, T.J. Rho family GTPase signaling through type II p21-activated kinases. Cell Mol. Life Sci. 2022, 79, 598. [Google Scholar] [CrossRef] [PubMed]
  4. Zhao, Z.S.; Manser, E. PAK family kinases: Physiological roles and regulation. Cell Logist. 2012, 2, 59–68. [Google Scholar] [CrossRef]
  5. Kumar, R.; Gururaj, A.E.; Barnes, C.J. p21-activated kinases in cancer. Nat. Rev. Cancer 2006, 6, 459–471. [Google Scholar] [CrossRef]
  6. Ha, B.H.; Morse, E.M.; Turk, B.E.; Boggon, T.J. Signaling, Regulation, and Specificity of the Type II p21-activated Kinases. J. Biol. Chem. 2015, 290, 12975–12983. [Google Scholar] [CrossRef]
  7. Won, S.Y.; Park, J.J.; Shin, E.Y.; Kim, E.G. PAK4 signaling in health and disease: Defining the PAK4-CREB axis. Exp. Mol. Med. 2019, 51, 1–9. [Google Scholar] [CrossRef]
  8. Yu, X.; Huang, C.; Liu, J.; Shi, X.; Li, X. The significance of PAK4 in signaling and clinicopathology: A review. Open Life Sci. 2022, 17, 586–598. [Google Scholar] [CrossRef]
  9. Shao, Y.G.; Ning, K.; Li, F. Group II p21-activated kinases as therapeutic targets in gastrointestinal cancer. World J. Gastroenterol. 2016, 22, 1224–1235. [Google Scholar] [CrossRef]
  10. Nuche-Berenguer, B.; Jensen, R.T. Gastrointestinal hormones/neurotransmitters and growth factors can activate P21 activated kinase 2 in pancreatic acinar cells by novel mechanisms. Biochim. Biophys. Acta 2015, 1853, 2371–2382. [Google Scholar] [CrossRef]
  11. Bokoch, G.M. Biology of the p21-activated kinases. Annu. Rev. Biochem. 2003, 72, 743–781. [Google Scholar] [CrossRef] [PubMed]
  12. Nuche-Berenguer, B.; Ramos-Alvarez, I.; Jensen, R.T. The p21-activated kinase, PAK2, is important in the activation of numerous pancreatic acinar cell signaling cascades and in the onset of early pancreatitis events. Biochim. Biophys. Acta 2016, 1862, 1122–1136. [Google Scholar] [CrossRef] [PubMed]
  13. Dart, A.E.; Wells, C.M. P21-activated kinase 4–not just one of the PAK. Eur. J. Cell Biol. 2013, 92, 129–138. [Google Scholar] [CrossRef] [PubMed]
  14. Ramos-Alvarez, I.; Jensen, R.T. P21 activated kinase4 in pancreatic acini is activated by GI hormones /growth factors by novel signaling and is needed to stimulate secretory/growth cascades. Am. J. Physiol. Gastrointest. Liver Physiol. 2018, 315, G302–G317. [Google Scholar] [CrossRef]
  15. Ramos-Alvarez, I.; Lee, L.; Jensen, R.T. Cyclic AMP-dependent protein kinase A and EPAC mediate VIP and secretin stimulation of PAK4 and activation of Na(+),K(+)-ATPase in pancreatic acinar cells. Am. J. Physiol. Gastrointest. Liver Physiol. 2019, 316, G263–G277. [Google Scholar] [CrossRef]
  16. Arias-Romero, L.E.; Chernoff, J. A tale of two Paks. Biol. Cell 2008, 100, 97–108. [Google Scholar] [CrossRef]
  17. Molli, P.R.; Li, D.Q.; Murray, B.W.; Rayala, S.K.; Kumar, R. PAK signaling in oncogenesis. Oncogene 2009, 28, 2545–2555. [Google Scholar] [CrossRef]
  18. Lv, Z.; Hu, M.; Zhen, J.; Lin, J.; Wang, Q.; Wang, R. Rac1/PAK1 signaling promotes epithelial-mesenchymal transition of podocytes in vitro via triggering beta-catenin transcriptional activity under high glucose conditions. Int. J. Biochem. Cell Biol. 2013, 45, 255–264. [Google Scholar] [CrossRef]
  19. Rudel, T.; Bokoch, G.M. Membrane and morphological changes in apoptotic cells regulated by caspase-mediated activation of PAK2. Science 1997, 276, 1571–1574. [Google Scholar] [CrossRef]
  20. Abo, A.; Qu, J.; Cammarano, M.S.; Dan, C.; Fritsch, A.; Baud, V.; Belisle, B.; Minden, A. PAK4, a novel effector for Cdc42Hs, is implicated in the reorganization of the actin cytoskeleton and in the formation of filopodia. EMBO J. 1998, 17, 6527–6540. [Google Scholar] [CrossRef]
  21. Li, X.; Li, J.; Li, F. P21 activated kinase 4 binds translation elongation factor eEF1A1 to promote gastric cancer cell migration and invasion. Oncol. Rep. 2017, 37, 2857–2864. [Google Scholar] [CrossRef] [PubMed]
  22. Liu, H.; Liu, K.; Dong, Z. The Role of p21-Activated Kinases in Cancer and Beyond: Where Are We Heading? Front. Cell Dev. Biol. 2021, 9, 641381. [Google Scholar] [CrossRef] [PubMed]
  23. Civiero, L.; Greggio, E. PAKs in the brain: Function and dysfunction. Biochim. Biophys. Acta Mol. Basis. Dis. 2018, 1864, 444–453. [Google Scholar] [CrossRef] [PubMed]
  24. Taglieri, D.M.; Ushio-Fukai, M.; Monasky, M.M. P21-activated kinase in inflammatory and cardiovascular disease. Cell Signal 2014, 26, 2060–2069. [Google Scholar] [CrossRef]
  25. Wang, Y.; Wang, S.; Lei, M.; Boyett, M.; Tsui, H.; Liu, W.; Wang, X. The p21-activated kinase 1 (Pak1) signalling pathway in cardiac disease: From mechanistic study to therapeutic exploration. Br. J. Pharmacol. 2018, 175, 1362–1374. [Google Scholar] [CrossRef]
  26. Zhang, K.; Wang, Y.; Fan, T.; Zeng, C.; Sun, Z.S. The p21-activated kinases in neural cytoskeletal remodeling and related neurological disorders. Protein Cell 2022, 13, 6–25. [Google Scholar] [CrossRef]
  27. Wells, C.M.; Jones, G.E. The emerging importance of group II PAKs. Biochem. J. 2010, 425, 465–473. [Google Scholar] [CrossRef]
  28. Jaffer, Z.M.; Chernoff, J. p21-activated kinases: Three more join the Pak. Int. J. Biochem. Cell Biol. 2002, 34, 713–717. [Google Scholar] [CrossRef]
  29. Eswaran, J.; Lee, W.H.; Debreczeni, J.E.; Filippakopoulos, P.; Turnbull, A.; Fedorov, O.; Deacon, S.W.; Peterson, J.R.; Knapp, S. Crystal Structures of the p21-activated kinases PAK4, PAK5, and PAK6 reveal catalytic domain plasticity of active group II PAKs. Structure 2007, 15, 201–213. [Google Scholar] [CrossRef]
  30. Chong, C.; Tan, L.; Lim, L.; Manser, E. The mechanism of PAK activation. Autophosphorylation events in both regulatory and kinase domains control activity. J. Biol. Chem. 2001, 276, 17347–17353. [Google Scholar] [CrossRef]
  31. Baskaran, Y.; Ng, Y.W.; Selamat, W.; Ling, F.T.; Manser, E. Group I and II mammalian PAKs have different modes of activation by Cdc42. EMBO Rep. 2012, 13, 653–659. [Google Scholar] [CrossRef] [PubMed]
  32. Gasman, S.; Chasserot-Golaz, S.; Bader, M.F.; Vitale, N. Regulation of exocytosis in adrenal chromaffin cells: Focus on ARF and Rho GTPases. Cell Signal 2003, 15, 893–899. [Google Scholar] [CrossRef] [PubMed]
  33. Deacon, S.W.; Beeser, A.; Fukui, J.A.; Rennefahrt, U.E.; Myers, C.; Chernoff, J.; Peterson, J.R. An isoform-selective, small-molecule inhibitor targets the autoregulatory mechanism of p21-activated kinase. Chem. Biol. 2008, 15, 322–331. [Google Scholar]
  34. Rudolph, J.; Crawford, J.J.; Hoeflich, K.P.; Wang, W. Inhibitors of p21-activated kinases (PAKs). J. Med. Chem. 2015, 58, 111–129. [Google Scholar] [CrossRef]
  35. Murray, B.W.; Guo, C.; Piraino, J.; Westwick, J.K.; Zhang, C.; Lamerdin, J.; Dagostino, E.; Knighton, D.; Loi, C.M.; Zager, M.; et al. Small-molecule p21-activated kinase inhibitor PF-3758309 is a potent inhibitor of oncogenic signaling and tumor growth. Proc. Natl. Acad. Sci. USA 2010, 107, 9446–9451. [Google Scholar] [CrossRef]
  36. Zhang, J.; Wang, J.; Guo, Q.; Wang, Y.; Zhou, Y.; Peng, H.; Cheng, M.; Zhao, D.; Li, F. LCH-7749944, a novel and potent p21-activated kinase 4 inhibitor, suppresses proliferation and invasion in human gastric cancer cells. Cancer Lett. 2012, 317, 24–32. [Google Scholar] [CrossRef]
  37. He, H.; Shulkes, A.; Baldwin, G.S. PAK1 interacts with beta-catenin and is required for the regulation of the beta-catenin signalling pathway by gastrins. Biochim. Biophys. Acta 2008, 1783, 1943–1954. [Google Scholar] [CrossRef]
  38. Senapedis, W.; Crochiere, M.; Baloglu, E.; Landesman, Y. Therapeutic Potential of Targeting PAK Signaling. Anticancer Agents Med. Chem. 2016, 16, 75–88. [Google Scholar] [CrossRef]
  39. Mortazavi, F.; Lu, J.; Phan, R.; Lewis, M.; Trinidad, K.; Aljilani, A.; Pezeshkpour, G.; Tamanoi, F. Significance of KRAS/PAK1/Crk pathway in non-small cell lung cancer oncogenesis. BMC Cancer 2015, 15, 381. [Google Scholar] [CrossRef]
  40. Ramos-Alvarez, I.; Lee, L.; Jensen, R.T. Cofilin activation in pancreatic acinar cells plays a pivotal convergent role for mediating CCK-stimulated enzyme secretion and growth. Front. Physiol. 2023, 14, 1147572. [Google Scholar] [CrossRef]
  41. Ramos-Ãlvarez, I.; Lee, L.; Jensen, R.T. Group II p21-activated kinase, PAK4, is needed for activation of focal adhesion kinases, MAPK, GSK3, and B-catenin in rat pancreatic acinar cells. Am. J. Physiol. Gastrointest. Liver Physiol. 2020, 318, G490–G503. [Google Scholar] [CrossRef] [PubMed]
  42. Zhao, Z.S.; Manser, E. Do PAKs make good drug targets? F1000 Biol. Rep. 2010, 2, 70. [Google Scholar] [CrossRef] [PubMed]
  43. Kuzelova, K.; Grebenova, D.; Holoubek, A.; Roselova, P.; Obr, A. Group I PAK inhibitor IPA-3 induces cell death and affects cell adhesivity to fibronectin in human hematopoietic cells. PLoS ONE 2014, 9, e92560. [Google Scholar] [CrossRef] [PubMed]
  44. Zhang, L.; Zhang, B.; Liao, B.; Yuan, S.; Liu, Y.; Liao, Z.; Cheng, B. Platelet-rich plasma in combination with adipose-derived stem cells promotes skin wound healing through activating Rho GTPase-mediated signaling pathway. Am. J. Transl. Res. 2019, 11, 4100–4112. [Google Scholar]
  45. Fu, X.; Feng, J.; Zeng, D.; Ding, Y.; Yu, C.; Yang, B. PAK4 confers cisplatin resistance in gastric cancer cells via PI3K/Akt- and MEK/ERK-dependent pathways. Biosci. Rep. 2014, 34, e00094. [Google Scholar] [CrossRef]
  46. Li, Z.; Li, X.; Xu, L.; Tao, Y.; Yang, C.; Chen, X.; Fang, F.; Wu, Y.; Ding, X.; Zhao, H.; et al. Inhibition of neuroblastoma proliferation by PF-3758309, a small-molecule inhibitor that targets p21-activated kinase 4. Oncol. Rep. 2017, 38, 2705–2716. [Google Scholar] [CrossRef]
  47. Song, K.; Chen, D.; Li, J.; Zhang, J.; Tian, Y.; Xu, X.; Wang, B.; Huang, Z.; Lou, S.; Kang, J.; et al. PAK4 is Required for Meiotic Resumption, Spindle Assembly, and Cortical Migration in Mouse Oocytes During Meiotic Maturation. Adv. Biol. 2024, e2400307. [Google Scholar] [CrossRef]
  48. Ahn, M.; Yoder, S.M.; Wang, Z.; Oh, E.; Ramalingam, L.; Tunduguru, R.; Thurmond, D.C. The p21-activated kinase (PAK1) is involved in diet-induced beta cell mass expansion and survival in mice and human islets. Diabetologia 2016, 59, 2145–2155. [Google Scholar] [CrossRef]
  49. Bergeron, V.; Ghislain, J.; Poitout, V. The P21-activated kinase PAK4 is implicated in fatty-acid potentiation of insulin secretion downstream of free fatty acid receptor 1. Islets 2016, 8, 157–164. [Google Scholar] [CrossRef][Green Version]
  50. Huang, Q.Y.; Lai, X.N.; Qian, X.L.; Lv, L.C.; Li, J.; Duan, J.; Xiao, X.H.; Xiong, L.X. Cdc42: A Novel Regulator of Insulin Secretion and Diabetes-Associated Diseases. Int. J. Mol. Sci. 2019, 20, 179. [Google Scholar] [CrossRef]
  51. Ahn, M.; Dhawan, S.; McCown, E.M.; Garcia, P.A.; Bhattacharya, S.; Stein, R.; Thurmond, D.C. Beta cell-specific PAK1 enrichment ameliorates diet-induced glucose intolerance in mice by promoting insulin biogenesis and minimising beta cell apoptosis. Diabetologia 2024, 68, 152–165. [Google Scholar] [CrossRef] [PubMed]
  52. Ansardamavandi, A.; Nikfarjam, M.; He, H. PAK in Pancreatic Cancer-Associated Vasculature: Implications for Therapeutic Response. Cells 2023, 12, 2692. [Google Scholar] [CrossRef] [PubMed]
  53. Veluthakal, R.; Chepurny, O.G.; Leech, C.A.; Schwede, F.; Holz, G.G.; Thurmond, D.C. Restoration of Glucose-Stimulated Cdc42-Pak1 Activation and Insulin Secretion by a Selective Epac Activator in Type 2 Diabetic Human Islets. Diabetes 2018, 67, 1999–2011. [Google Scholar] [CrossRef]
  54. Chiang, Y.T.; Jin, T. p21-Activated protein kinases and their emerging roles in glucose homeostasis. Am. J. Physiol. Endocrinol. Metab. 2014, 306, E707–E722. [Google Scholar] [CrossRef]
  55. Brown, A.M.; O’Sullivan, A.J.; Gomperts, B.D. Induction of exocytosis from permeabilized mast cells by the guanosine triphosphatases Rac and Cdc42. Mol. Biol. Cell 1998, 9, 1053–1063. [Google Scholar] [CrossRef][Green Version]
  56. Hong-Geller, E.; Cerione, R.A. Cdc42 and Rac stimulate exocytosis of secretory granules by activating the IP(3)/calcium pathway in RBL-2H3 mast cells. J. Cell Biol. 2000, 148, 481–494. [Google Scholar] [CrossRef]
  57. Kosoff, R.; Chow, H.Y.; Radu, M.; Chernoff, J. Pak2 kinase restrains mast cell FcεRI receptor signaling through modulation of Rho protein guanine nucleotide exchange factor (GEF) activity. J. Biol. Chem. 2013, 288, 974–983. [Google Scholar] [CrossRef]
  58. Allen, J.D.; Jaffer, Z.M.; Park, S.J.; Burgin, S.; Hofmann, C.; Sells, M.A.; Chen, S.; Derr-Yellin, E.; Michels, E.G.; McDaniel, A.; et al. p21-activated kinase regulates mast cell degranulation via effects on calcium mobilization and cytoskeletal dynamics. Blood 2009, 113, 2695–2705. [Google Scholar] [CrossRef]
  59. Piccand, J.; Meunier, A.; Merle, C.; Jia, Z.; Barnier, J.V.; Gradwohl, G. Pak3 promotes cell cycle exit and differentiation of beta-cells in the embryonic pancreas and is necessary to maintain glucose homeostasis in adult mice. Diabetes 2014, 63, 203–215. [Google Scholar] [CrossRef]
  60. Xia, S.; Zhou, Z.; Leung, C.; Zhu, Y.; Pan, X.; Qi, J.; Morena, M.; Hill, M.N.; Xie, W.; Jia, Z. p21-activated kinase 1 restricts tonic endocannabinoid signaling in the hippocampus. eLife 2016, 5, e14653. [Google Scholar] [CrossRef]
  61. Lee, J.H.; Wittki, S.; Brau, T.; Dreyer, F.S.; Kratzel, K.; Dindorf, J.; Johnston, I.C.; Gross, S.; Kremmer, E.; Zeidler, R.; et al. HIV Nef, paxillin, and Pak1/2 regulate activation and secretion of TACE/ADAM10 proteases. Mol. Cell 2013, 49, 668–679. [Google Scholar] [CrossRef] [PubMed]
  62. Aslan, J.E.; Itakura, A.; Haley, K.M.; Tormoen, G.W.; Loren, C.P.; Baker, S.M.; Pang, J.; Chernoff, J.; McCarty, O.J. p21 activated kinase signaling coordinates glycoprotein receptor VI-mediated platelet aggregation, lamellipodia formation, and aggregate stability under shear. Arterioscler. Thromb. Vasc. Biol. 2013, 33, 1544–1551. [Google Scholar] [CrossRef] [PubMed]
  63. Pandey, D.; Goyal, P.; Dwivedi, S.; Siess, W. Unraveling a novel Rac1-mediated signaling pathway that regulates cofilin dephosphorylation and secretion in thrombin-stimulated platelets. Blood 2009, 114, 415–424. [Google Scholar] [CrossRef] [PubMed]
  64. Duan, X.; Perveen, R.; Dandamudi, A.; Adili, R.; Johnson, J.; Funk, K.; Berryman, M.; Davis, A.K.; Holinstat, M.; Zheng, Y.; et al. Pharmacologic targeting of Cdc42 GTPase by a small molecule Cdc42 activity-specific inhibitor prevents platelet activation and thrombosis. Sci. Rep. 2021, 11, 13170. [Google Scholar] [CrossRef] [PubMed]
  65. Tuazon, P.T.; Lorenson, M.Y.; Walker, A.M.; Traugh, J.A. p21-activated protein kinase gamma-PAK in pituitary secretory granules phosphorylates prolactin. FEBS Lett. 2002, 515, 84–88. [Google Scholar] [CrossRef]
  66. Zhao, M.; Rabieifar, P.; Costa, T.D.F.; Zhuang, T.; Minden, A.; Lohr, M.; Heuchel, R.; Stromblad, S. Pdx1-Cre-driven conditional gene depletion suggests PAK4 as dispensable for mouse pancreas development. Sci. Rep. 2017, 7, 7031. [Google Scholar] [CrossRef]
  67. Zhu, M.; Xu, Y.; Zhang, W.; Gu, T.; Wang, D. Inhibition of PAK1 alleviates cerulein-induced acute pancreatitis via p38 and NF-κB pathways. Biosci. Rep. 2019, 39, BSR20182221. [Google Scholar] [CrossRef]
  68. Tyagi, N.; Bhardwaj, A.; Singh, A.P.; McClellan, S.; Carter, J.E.; Singh, S. p-21 activated kinase 4 promotes proliferation and survival of pancreatic cancer cells through AKT- and ERK-dependent activation of NF-kappaB pathway. Oncotarget 2014, 30, 8778–8789. [Google Scholar] [CrossRef]
  69. Yeo, D.; He, H.; Patel, O.; Lowy, A.M.; Baldwin, G.S.; Nikfarjam, M. FRAX597, a PAK1 inhibitor, synergistically reduces pancreatic cancer growth when combined with gemcitabine. BMC. Cancer 2016, 16, 24. [Google Scholar] [CrossRef]
  70. Kalwat, M.A.; Yoder, S.M.; Wang, Z.; Thurmond, D.C. A p21-activated kinase (PAK1) signaling cascade coordinately regulates F-actin remodeling and insulin granule exocytosis in pancreatic beta cells. Biochem. Pharmacol. 2013, 85, 808–816. [Google Scholar] [CrossRef]
  71. Jagadeeshan, S.; Krishnamoorthy, Y.R.; Singhal, M.; Subramanian, A.; Mavuluri, J.; Lakshmi, A.; Roshini, A.; Baskar, G.; Ravi, M.; Joseph, L.D.; et al. Transcriptional regulation of fibronectin by p21-activated kinase-1 modulates pancreatic tumorigenesis. Oncogene 2015, 34, 455–464. [Google Scholar] [CrossRef] [PubMed]
  72. Wang, Z.; Oh, E.; Thurmond, D.C. Glucose-stimulated Cdc42 signaling is essential for the second phase of insulin secretion. J. Biol. Chem. 2007, 282, 9536–9546. [Google Scholar] [CrossRef] [PubMed]
  73. Sorrenson, B.; Dissanayake, W.C.; Hu, F.; Lee, K.L.; Shepherd, P.R. A role for PAK1 mediated phosphorylation of β-catenin Ser552 in the regulation of insulin secretion. Biochem. J. 2021, 478, 1605–1615. [Google Scholar] [CrossRef] [PubMed]
  74. Wang, Z.; Oh, E.; Clapp, D.W.; Chernoff, J.; Thurmond, D.C. Inhibition or ablation of p21-activated kinase (PAK1) disrupts glucose homeostatic mechanisms in vivo. J. Biol. Chem. 2011, 286, 41359–41367. [Google Scholar] [CrossRef]
  75. Yeo, D.; He, H.; Baldwin, G.S.; Nikfarjam, M. The role of p21-activated kinases in pancreatic cancer. Pancreas 2015, 44, 363–369. [Google Scholar] [CrossRef]
  76. Wang, K.; Baldwin, G.S.; Nikfarjam, M.; He, H. p21-activated kinase signalling in pancreatic cancer: New insights into tumour biology and immune modulation. World J. Gastroenterol. 2018, 24, 3709–3723. [Google Scholar] [CrossRef]
  77. Wu, H.Y.; Yang, M.C.; Ding, L.Y.; Chen, C.S.; Chu, P.C. p21-Activated kinase 3 promotes cancer stem cell phenotypes through activating the Akt-GSK3β-β-catenin signaling pathway in pancreatic cancer cells. Cancer Lett. 2019, 456, 13–22. [Google Scholar] [CrossRef]
  78. Matsumoto, M.; Collins, J.G.; Kitahata, L.M.; Yuge, O.; Tanaka, A. A comparison of the effects of alfentanil applied to the spinal cord and intravenous alfentanil on noxiously evoked activity of dorsal horn neurons in the cat spinal cord. Anesth. Analg. 1986, 65, 145–150. [Google Scholar]
  79. Jensen, R.T. Receptors on pancreatic acinar cells. In Physiology of the Gastrointestinal Tract, 3rd ed.; Johnson, L.R., Jacobson, E.D., Christensen, J., Alpers, D.H., Walsh, J.H., Eds.; Raven Press: New York, NY, USA, 1994; Volume 2, pp. 1377–1446. [Google Scholar]
  80. Dufresne, M.; Seva, C.; Fourmy, D. Cholecystokinin and gastrin receptors. Physiol. Rev. 2006, 86, 805–847. [Google Scholar] [CrossRef]
  81. Hildebrand, P.; Mrozinski, J.E., Jr.; Mantey, S.A.; Patto, R.J.; Jensen, R.T. Pancreatic acini possess endothelin receptors whose internalization is regulated by PLC-activating agents. Am. J. Physiol. 1993, 264, G984–G993. [Google Scholar] [CrossRef]
  82. Williams, J.A. Cholecystokinin (CCK) Regulation of Pancreatic Acinar Cells: Physiological Actions and Signal Transduction Mechanisms. Compr. Physiol. 2019, 9, 535–564. [Google Scholar] [PubMed]
  83. Jensen, R.T.; Gardner, J.D. Identification and characterization of receptors for secretagogues on pancreatic acinar cells. Fed. Proc. 1981, 40, 2486–2496. [Google Scholar] [PubMed]
  84. Bissonnette, B.M.; Collen, M.J.; Adachi, H.; Jensen, R.T.; Gardner, J.D. Receptors for vasoactive intestinal peptide and secretin on rat pancreatic acini. Am. J. Physiol. 1984, 246, G710–G717. [Google Scholar] [CrossRef] [PubMed]
  85. Gatti, A.; Huang, Z.; Tuazon, P.T.; Traugh, J.A. Multisite autophosphorylation of p21-activated protein kinase gamma-PAK as a function of activation. J. Biol. Chem. 1999, 274, 8022–8028. [Google Scholar] [CrossRef]
  86. Pulkkinen, K.; Renkema, G.H.; Kirchhoff, F.; Saksela, K. Nef associates with p21-activated kinase 2 in a p21-GTPase-dependent dynamic activation complex within lipid rafts. J. Virol. 2004, 78, 12773–12780. [Google Scholar] [CrossRef]
  87. Jakobi, R.; Chen, C.J.; Tuazon, P.T.; Traugh, J.A. Molecular cloning and sequencing of the cytostatic G protein-activated protein kinase PAK I. J. Biol. Chem. 1996, 271, 6206–6211. [Google Scholar] [CrossRef]
  88. Tuazon, P.T.; Chinwah, M.; Traugh, J.A. Autophosphorylation and protein kinase activity of p21-activated protein kinase gamma-PAK are differentially affected by magnesium and manganese. Biochemistry 1998, 37, 17024–17029. [Google Scholar] [CrossRef]
  89. Sato, S.; Stark, H.A.; Martinez, J.; Beaven, M.A.; Jensen, R.T.; Gardner, J.D. Receptor occupation, calcium mobilization and amylase release in pancreatic acini: Effect of CCK-JMV-180. Am. J. Physiol. 1989, 257, G202–G209. [Google Scholar] [CrossRef]
  90. Stark, H.A.; Sharp, C.M.; Sutliff, V.E.; Martinez, J.; Jensen, R.T.; Gardner, J.D. CCK-JMV 180: A peptide that distinguishes high affinity cholecystokinin receptors from low affinity cholecystokinin receptors. Biochim. Biophys. Acta 1989, 1010, 145–150. [Google Scholar] [CrossRef]
  91. Berna, M.J.; Hoffmann, K.M.; Tapia, J.A.; Thill, M.; Pace, A.; Mantey, S.A.; Jensen, R.T. CCK causes PKD1 activation in pancreatic acini by signaling through PKC-delta and PKC-independent pathways. Biochim. Biophys. Acta 2007, 1773, 483–501. [Google Scholar] [CrossRef]
  92. Menard, R.E.; Mattingly, R.R. Cell surface receptors activate p21-activated kinase 1 via multiple Ras and PI3-kinase-dependent pathways. Cell. Signal. 2003, 15, 1099–1109. [Google Scholar] [CrossRef] [PubMed]
  93. Clerk, A.; Sugden, P.H. Activation of p21-activated protein kinase alpha (alpha PAK) by hyperosmotic shock in neonatal ventricular myocytes. FEBS Lett. 1997, 403, 23–25. [Google Scholar] [CrossRef] [PubMed]
  94. Bachmann, V.A.; Bister, K.; Stefan, E. Interplay of PKA and Rac: Fine-tuning of Rac localization and signaling. Small GTPases 2013, 4, 247–251. [Google Scholar] [CrossRef] [PubMed][Green Version]
  95. Barrows, D.; He, J.Z.; Parsons, R. PREX1 Protein Function Is Negatively Regulated Downstream of Receptor Tyrosine Kinase Activation by p21-activated Kinases (PAKs). J. Biol. Chem. 2016, 291, 20042–20054. [Google Scholar] [CrossRef] [PubMed]
  96. Yun, C.Y.; You, S.T.; Kim, J.H.; Chung, J.H.; Han, S.B.; Shin, E.Y.; Kim, E.G. p21-activated kinase 4 critically regulates melanogenesis via activation of the CREB/MITF and beta-catenin/MITF pathways. J. Invest. Dermatol. 2015, 135, 1385–1394. [Google Scholar] [CrossRef]
  97. Xie, X.; Shi, X.; Guan, H.; Guo, Q.; Fan, C.; Dong, W.; Wang, G.; Li, F.; Shan, Z.; Cao, L.; et al. P21-activated kinase 4 involves TSH induced papillary thyroid cancer cell proliferation. Oncotarget 2017, 8, 24882–24891. [Google Scholar] [CrossRef]
  98. Naswa, N.; Sharma, P.; Gupta, S.K.; Karunanithi, S.; Reddy, R.M.; Patnecha, M.; Lata, S.; Kumar, R.; Malhotra, A.; Bal, C. Dual tracer functional imaging of gastroenteropancreatic neuroendocrine tumors using 68Ga-DOTA-NOC PET-CT and 18F-FDG PET-CT: Competitive or complimentary? Clin. Nucl. Med. 2014, 39, e27–e34. [Google Scholar] [CrossRef]
  99. Beeser, A.; Jaffer, Z.M.; Hofmann, C.; Chernoff, J. Role of group A p21-activated kinases in activation of extracellular-regulated kinase by growth factors. J. Biol. Chem. 2005, 280, 36609–36615. [Google Scholar] [CrossRef]
  100. Tabusa, H.; Brooks, T.; Massey, A.J. Knockdown of PAK4 or PAK1 inhibits the proliferation of mutant KRAS colon cancer cells independently of RAF/MEK/ERK and PI3K/AKT signaling. Mol. Cancer Res. 2013, 11, 109–121. [Google Scholar] [CrossRef]
  101. Bowers, S.L.; Norden, P.R.; Davis, G.E. Molecular Signaling Pathways Controlling Vascular Tube Morphogenesis and Pericyte-Induced Tube Maturation in 3D Extracellular Matrices. Adv. Pharmacol. 2016, 77, 241–280. [Google Scholar]
  102. Huang, Y.; Mikami, F.; Jono, H.; Zhang, W.; Weng, X.; Koga, T.; Xu, H.; Yan, C.; Kai, H.; Li, J.D. Opposing roles of PAK2 and PAK4 in synergistic induction of MUC5AC mucin by bacterium NTHi and EGF. Biochem. Biophys. Res. Commun. 2007, 359, 691–696. [Google Scholar] [CrossRef] [PubMed][Green Version]
  103. Li, T.; Zhang, J.; Zhu, F.; Wen, W.; Zykova, T.; Li, X.; Liu, K.; Peng, C.; Ma, W.; Shi, G.; et al. P21-activated protein kinase (PAK2)-mediated c-Jun phosphorylation at 5 threonine sites promotes cell transformation. Carcinogenesis 2011, 32, 659–666. [Google Scholar] [CrossRef] [PubMed]
  104. Shin, E.Y.; Shim, E.S.; Lee, C.S.; Kim, H.K.; Kim, E.G. Phosphorylation of RhoGDI1 by p21-activated kinase 2 mediates basic fibroblast growth factor-stimulated neurite outgrowth in PC12 cells. Biochem. Biophys. Res. Commun. 2009, 379, 384–389. [Google Scholar] [CrossRef]
  105. Kang, M.J.; Seo, J.S.; Park, W.Y. Caveolin-1 inhibits neurite growth by blocking Rac1/Cdc42 and p21-activated kinase 1 interactions. Neuroreport 2006, 17, 823–827. [Google Scholar] [CrossRef]
  106. Shin, K.S.; Shin, E.Y.; Lee, C.S.; Quan, S.H.; Woo, K.N.; Soung, N.K.; Kwak, S.J.; Kim, S.R.; Kim, E.G. Basic fibroblast growth factor-induced translocation of p21-activated kinase to the membrane is independent of phospholipase C-gamma1 in the differentiation of PC12 cells. Exp. Mol. Med. 2002, 34, 172–176. [Google Scholar] [CrossRef][Green Version]
  107. Woolfolk, E.A.; Eguchi, S.; Ohtsu, H.; Nakashima, H.; Ueno, H.; Gerthoffer, W.T.; Motley, E.D. Angiotensin II-induced activation of p21-activated kinase 1 requires Ca2+ and protein kinase C{delta} in vascular smooth muscle cells. Am. J. Physiol. Cell Physiol. 2005, 289, C1286–C1294. [Google Scholar] [CrossRef]
  108. Schmitz, U.; Ishida, T.; Ishida, M.; Surapisitchat, J.; Hasham, M.I.; Pelech, S.; Berk, B.C. Angiotensin II stimulates p21-activated kinase in vascular smooth muscle cells: Role in activation of JNK. Circ. Res. 1998, 82, 1272–1278. [Google Scholar] [CrossRef]
  109. Huynh, N.; Yim, M.; Chernoff, J.; Shulkes, A.; Baldwin, G.S.; He, H. Demonstration and biological significance of a gastrin-P21-activated kinase 1 feedback loop in colorectal cancer cells. Physiol. Rep. 2014, 2, e12048. [Google Scholar] [CrossRef]
  110. Huynh, N.; Yim, M.; Chernoff, J.; Shulkes, A.; Baldwin, G.S.; He, H. p-21-Activated kinase 1 mediates gastrin-stimulated proliferation in the colorectal mucosa via multiple signaling pathways. Am. J. Physiol. Gastrointest. Liver Physiol. 2013, 304, G561–G567. [Google Scholar] [CrossRef]
  111. Murthy, K.S.; Zhou, H.; Grider, J.R.; Brautigan, D.L.; Eto, M.; Makhlouf, G.M. Differential signalling by muscarinic receptors in smooth muscle: m2-mediated inactivation of myosin light chain kinase via Gi3, Cdc42/Rac1 and p21-activated kinase 1 pathway, and m3-mediated MLC20 (20 kDa regulatory light chain of myosin II) phosphorylation via Rho-associated kinase/myosin phosphatase targeting subunit 1 and protein kinase C/CPI-17 pathway. Biochem. J. 2003, 374, 145–155. [Google Scholar]
  112. Royal, I.; Lamarche-Vane, N.; Lamorte, L.; Kaibuchi, K.; Park, M. Activation of cdc42, rac, PAK, and rho-kinase in response to hepatocyte growth factor differentially regulates epithelial cell colony spreading and dissociation. Mol. Biol. Cell 2000, 11, 1709–1725. [Google Scholar] [CrossRef] [PubMed]
  113. Chahdi, A.; Miller, B.; Sorokin, A. Endothelin 1 induces beta 1Pix translocation and Cdc42 activation via protein kinase A-dependent pathway. J. Biol. Chem. 2005, 280, 578–584. [Google Scholar] [CrossRef] [PubMed]
  114. Park, M.H.; Lee, H.S.; Lee, C.S.; You, S.T.; Kim, D.J.; Park, B.H.; Kang, M.J.; Heo, W.D.; Shin, E.Y.; Schwartz, M.A.; et al. p21-Activated kinase 4 promotes prostate cancer progression through CREB. Oncogene 2013, 32, 2475–2482. [Google Scholar] [CrossRef] [PubMed]
  115. Qiao, M.; Shapiro, P.; Kumar, R.; Passaniti, A. Insulin-like growth factor-1 regulates endogenous RUNX2 activity in endothelial cells through a phosphatidylinositol 3-kinase/ERK-dependent and Akt-independent signaling pathway. J. Biol. Chem. 2004, 279, 42709–42718. [Google Scholar] [CrossRef]
  116. Chiang, Y.A.; Shao, W.; Xu, X.X.; Chernoff, J.; Jin, T. P21-activated protein kinase 1 (Pak1) mediates the cross talk between insulin and beta-catenin on proglucagon gene expression and its ablation affects glucose homeostasis in male C57BL/6 mice. Endocrinology 2013, 154, 77–88. [Google Scholar] [CrossRef]
  117. Bright, M.D.; Garner, A.P.; Ridley, A.J. PAK1 and PAK2 have different roles in HGF-induced morphological responses. Cell. Signal. 2009, 21, 1738–1747. [Google Scholar] [CrossRef]
  118. Miao, H.; Nickel, C.H.; Cantley, L.G.; Bruggeman, L.A.; Bennardo, L.N.; Wang, B. EphA kinase activation regulates HGF-induced epithelial branching morphogenesis. J. Cell Biol. 2003, 162, 1281–1292. [Google Scholar] [CrossRef]
  119. Bhardwaj, A.; Srivastava, S.K.; Singh, S.; Arora, S.; Tyagi, N.; Andrews, J.; McClellan, S.; Carter, J.E.; Singh, A.P. CXCL12/CXCR4 signaling counteracts docetaxel-induced microtubule stabilization via p21-activated kinase 4-dependent activation of LIM domain kinase 1. Oncotarget 2014, 5, 11490–11500. [Google Scholar] [CrossRef]
  120. Jensen, R.T. Involvement of cholecystokinin/gastrin-related peptides and their receptors in clinical gastrointestinal disorders. Pharmacol. Toxicol. 2002, 91, 333–350. [Google Scholar] [CrossRef]
  121. Williams, J.A. Regulation of Normal and Adaptative Pancreatic Growth. Pancreapedia Exocrine Pancreas Knowl. Base 2020. [Google Scholar] [CrossRef]
  122. Sans, M.D.; Williams, J.A. The mTor Signaling Pathway and regulation of Pancreatlc Function. Pancreapedia Exocrine Pancreas Knowl. Base 2021. [Google Scholar] [CrossRef]
  123. Lankisch, T.O.; Nozu, F.; Owyang, C.; Tsunoda, Y. High-affinity cholecystokinin type A receptor/cytosolic phospholipase A2 pathways mediate Ca2+ oscillations via a positive feedback regulation by calmodulin kinase in pancreatic acini. Eur. J. Cell Biol. 1999, 78, 632–641. [Google Scholar] [CrossRef] [PubMed]
  124. Bi, Y.; Williams, J.A. A role for Rho and Rac in secretagogue-induced amylase release by pancreatic acini. Am. J. Physiol. (Cell Physiol.) 2005, 289, C22–C32. [Google Scholar] [CrossRef] [PubMed]
  125. Bi, Y.; Page, S.L.; Williams, J.A. Rho and Rac promote acinar morphological changes, actin reorganization, and amylase secretion. Am. J. Physiol. (Gastrointest. Liver Physiol.) 2005, 289, G561–G570. [Google Scholar] [CrossRef]
  126. Sabbatini, M.E.; Bi, Y.; Ji, B.; Ernst, S.A.; Williams, J.A. CCK activates RhoA and Rac1 differentially through Galpha13 and Galphaq in mouse pancreatic acini. Am. J. Physiol. Cell Physiol. 2010, 298, C592–C601. [Google Scholar] [CrossRef]
  127. Weber, H.C. Regulation and signaling of human bombesin receptors and their biological effects. Curr. Opin. Endocrinol. Diabetes Obes. 2009, 16, 66–71. [Google Scholar] [CrossRef]
  128. Tapia, J.A.; Ferris, H.A.; Jensen, R.T.; Marin, L.J. Cholecystokinin activates PYK2/CAKb, by a phospholipase C-dependent mechanism, and its association with the mitogen-activated protein kinase signaling pathway in pancreatic acinar cells. J. Biol. Chem. 1999, 274, 31261–31271. [Google Scholar] [CrossRef]
  129. Nuche-Berenguer, B.; Moreno, P.; Jensen, R.T. Elucidation of the Roles of the Src kinases in pancreatic acinar cell signaling. J. Cell Biochem. 2015, 116, 22–36. [Google Scholar] [CrossRef]
  130. Lynch, G.; Kohler, S.; Leser, J.; Beil, M.; Garcia-Marin, L.J.; Lutz, M.P. The tyrosine kinase Yes regulates actin structure and secretion during pancreatic acinar cell damage in rats. Pflug. Arch. 2004, 447, 445–451. [Google Scholar] [CrossRef]
  131. Nozu, F.; Owyang, C.; Tsunoda, Y. Involvement of phosphoinositide 3-kinase and its association with pp60src in cholecystokinin-stimulated pancreatic acinar cells. Eur. J. Cell Biol. 2000, 79, 803–809. [Google Scholar] [CrossRef]
  132. Redondo, P.C.; Lajas, A.I.; Salido, G.M.; Gonzalez, A.; Rosado, J.A.; Pariente, J.A. Evidence for secretion-like coupling involving pp60src in the activation and maintenance of store-mediated Ca2+ entry in mouse pancreatic acinar cells. Biochem. J. 2003, 370, 255–263. [Google Scholar] [CrossRef] [PubMed]
  133. Piiper, A.; Elez, R.; You, S.J.; Kronenberger, B.; Loitsch, S.; Roche, S.; Zeuzem, S. Cholecystokinin stimulates extracellular signal-regulated kinase through activation of the epidermal growth factor receptor, Yes, and protein kinase C. Signal amplification at the level of Raf by activation of protein kinase Cepsilon. J. Biol. Chem. 2003, 278, 7065–7072. [Google Scholar] [CrossRef] [PubMed]
  134. Pace, A.; Tapia, J.A.; Garcia-Marin, L.J.; Jensen, R.T. The Src family kinase, Lyn, is activated in pancreatic acinar cells by gastrointestinal hormones/neurotransmitters and growth factors which stimulate its association with numerous other signaling molecules. Biochim. Biophys. Acta 2006, 1763, 356–365. [Google Scholar] [CrossRef]
  135. Sancho, V.; Nuche-Berenguer, B.; Jensen, R.T. The Src kinase Yes is activated in pancreatic acinar cells by gastrointestinal hormones/neurotransmitters, but not pancreatic growth factors, which stimulate its association with numerous other signaling molecules. Biochim. Biophys. Acta 2012, 1823, 1285–1294. [Google Scholar] [CrossRef]
  136. Pace, A.; Garcia-Marin, L.J.; Tapia, J.A.; Bragado, M.J.; Jensen, R.T. Phosphospecific site tyrosine phosphorylation of p125FAK and proline-rich kinase 2 is differentially regulated by cholecystokinin receptor A activation in pancreatic acini. J. Biol. Chem. 2003, 278, 19008–19016. [Google Scholar] [CrossRef]
  137. Garcia, L.J.; Rosado, J.A.; Gonzalez, A.; Jensen, R.T. Cholecystokinin-stimulated tyrosine phosphorylation of p125FAK and paxillin is mediated by phospholipase C-dependent and -independent mechanisms and requires the integrity of the actin cytoskeleton and participation of p21rho. Biochem. J. 1997, 327, 461–472. [Google Scholar] [CrossRef]
  138. Rivard, N.; Rydzewska, G.; Lods, J.S.; Martinez, J.; Morisset, J. Pancreas growth, tyrosine kinase, PtdIns 3-kinase, and PLD involve high-affinity CCK-receptor occupation. Am. J. Physiol. 1994, 266, G62–G70. [Google Scholar] [CrossRef]
  139. Tapia, J.A.; Garcia-Marin, L.J.; Jensen, R.T. Cholecystokinin-stimulated protein kinase C-delta activation, tyrosine phosphorylation and translocation is mediated by Src tyrosine kinases in pancreatic acinar cells. J. Biol. Chem. 2003, 12, 35220–35230. [Google Scholar] [CrossRef]
  140. Andreoletti, A.G.; Bragado, M.J.; Tapia, J.A.; Jensen, R.T.; Garcia-Marin, L.J. Cholecystokinin rapidly stimulates CrK11 function in vivo in rat pancreatic acini: Formation of crk-11-protein complexes. Eur. J. Biochem. 2003, 270, 4706–4713. [Google Scholar] [CrossRef]
  141. Tsunoda, Y.; Yoshida, H.; Nozu, F. Receptor-operated Ca2+ influx and its association with the Src family in secretagogue-stimulated pancreatic acini. Biochem. Biophys. Res. Commun. 2004, 314, 916–924. [Google Scholar] [CrossRef]
  142. Jensen, R.T.; Wank, S.A.; Rowley, W.H.; Sato, S.; Gardner, J.D. Interaction of CCK with pancreatic acinar cells. Trends Pharmacol. Sci. 1989, 10, 418–423. [Google Scholar] [CrossRef] [PubMed]
  143. Li, K.S.; Xiao, P.; Zhang, D.L.; Hou, X.B.; Ge, L.; Yang, D.X.; Liu, H.D.; He, D.F.; Chen, X.; Han, K.R.; et al. Identification of para-Substituted Benzoic Acid Derivatives as Potent Inhibitors of the Protein Phosphatase Slingshot. ChemMedChem 2015, 10, 1980–1987. [Google Scholar] [CrossRef] [PubMed]
  144. Wells, C.M.; Abo, A.; Ridley, A.J. PAK4 is activated via PI3K in HGF-stimulated epithelial cells. J. Cell Sci. 2002, 115, 3947–3956. [Google Scholar] [CrossRef] [PubMed]
  145. Dabrowski, A.; Groblewski, G.E.; Schafer, C.; Guan, K.L.; Williams, J.A. Cholecystokinin and EGF activate a MAPK cascade by different mechanisms in rat pancreatic acinar cells. Am. J. Physiol. 1997, 273, C1472–C1479. [Google Scholar] [CrossRef]
  146. Berna, M.J.; Tapia, J.A.; Sancho, V.; Thill, M.; Pace, A.; Hoffmann, K.M.; Gonzalez-Fernandez, L.; Jensen, R.T. Gastrointestinal growth factors and hormones have divergent effects on Akt activation. Cell Signal 2009, 21, 622–638. [Google Scholar] [CrossRef]
  147. Gukovsky, I.; Cheng, J.H.; Nam, K.J.; Lee, O.T.; Lugea, A.; Fischer, L.; Penninger, J.M.; Pandol, S.J.; Gukovskaya, A.S. Phosphatidylinositide 3-kinase gamma regulates key pathologic responses to cholecystokinin in pancreatic acinar cells. Gastroenterology 2004, 126, 554–566. [Google Scholar] [CrossRef]
  148. Smith, J.P.; Fonkoua, L.K.; Moody, T.W. The Role of Gastrin and CCK Receptors in Pancreatic Cancer and other Malignancies. Int. J. Biol. Sci. 2016, 12, 283–291. [Google Scholar] [CrossRef]
  149. Wong, L.E.; Reynolds, A.B.; Dissanayaka, N.T.; Minden, A. p120-catenin is a binding partner and substrate for Group B Pak kinases. J. Cell Biochem. 2010, 110, 1244–1254. [Google Scholar] [CrossRef]
  150. Berna, M.J.; Tapia, J.A.; Sancho, V.; Jensen, R.T. Progress in developing cholecystokinin (CCK)/gastrin receptor ligands that have therapeutic potential. Curr. Opin. Pharmacol. 2007, 7, 583–592. [Google Scholar] [CrossRef]
  151. He, H.; Baldwin, G.S. Rho GTPases and p21-activated kinase in the regulation of proliferation and apoptosis by gastrins. Int. J. Biochem. Cell Biol. 2008, 40, 2018–2022. [Google Scholar] [CrossRef]
  152. Tapia, J.A.; Camello, C.; Jensen, R.T.; Garcia, L.J. EGF stimulates tyrosine-phosphorylation of focal adhesion kinase (p125FAK) and paxillin in rat pancreatic acinar cells by a phospholipase C-independent process that depends on P13-K, the small GTP-binding protein, Rho and the integrity of the actin cytoskeleton. Biochim. Biophys. Acta 1999, 1448, 486–499. [Google Scholar] [PubMed]
  153. Morisset, J.; Aliaga, J.C.; Calvo, E.L.; Bourassa, J.; Rivard, N. Expression and modulation of p42/p44 MAPKs and cell cycle regulatory proteins in rat pancreas regeneration. Am. J. Physiol. 1999, 277, G953–G959. [Google Scholar] [CrossRef] [PubMed]
  154. Takahashi, H.; Okamura, D.; Starr, M.E.; Saito, H.; Evers, B.M. Age-dependent reduction of the PI3K regulatory subunit p85alpha suppresses pancreatic acinar cell proliferation. Aging Cell 2012, 11, 305–314. [Google Scholar] [CrossRef]
  155. Hashimoto, S.; Tsubouchi, A.; Mazaki, Y.; Sabe, H. Interaction of paxillin with p21-activated Kinase (PAK). Association of paxillin alpha with the kinase-inactive and the Cdc42-activated forms of PAK3. J. Biol. Chem. 2001, 276, 6037–6045. [Google Scholar] [CrossRef]
  156. Brown, M.C.; West, K.A.; Turner, C.E. Paxillin-dependent paxillin kinase linker and p21-activated kinase localization to focal adhesions involves a multistep activation pathway. Mol. Biol. Cell 2002, 13, 1550–1565. [Google Scholar] [CrossRef]
  157. Turner, C.E.; Brown, M.C.; Perrotta, J.A.; Riedy, M.C.; Nikolopoulos, S.N.; McDonald, A.R.; Bagrodia, S.; Thomas, S.; Leventhal, P.S. Paxillin LD4 motif binds PAK and PIX through a novel 95-kD ankyrin repeat, ARF-GAP protein: A role in cytoskeletal remodeling. J. Cell Biol. 1999, 145, 851–863. [Google Scholar] [CrossRef]
  158. Wang, R.; Li, Q.F.; Anfinogenova, Y.; Tang, D.D. Dissociation of Crk-associated substrate from the vimentin network is regulated by p21-activated kinase on ACh activation of airway smooth muscle. Am. J. Physiol. Lung Cell Mol. Physiol. 2007, 292, L240–L248. [Google Scholar] [CrossRef]
  159. Ryu, B.J.; Lee, H.; Kim, S.H.; Heo, J.N.; Choi, S.W.; Yeon, J.T.; Lee, J.; Lee, J.; Cho, J.Y.; Kim, S.H.; et al. PF-3758309, p21-activated kinase 4 inhibitor, suppresses migration and invasion of A549 human lung cancer cells via regulation of CREB, NF-kappaB, and beta-catenin signalings. Mol. Cell Biochem. 2014, 389, 69–77. [Google Scholar] [CrossRef]
  160. Wells, C.M.; Whale, A.D.; Parsons, M.; Masters, J.R.; Jones, G.E. PAK4: A pluripotent kinase that regulates prostate cancer cell adhesion. J. Cell Sci. 2010, 123, 1663–1673. [Google Scholar] [CrossRef]
  161. Qu, J.; Cammarano, M.S.; Shi, Q.; Ha, K.C.; de Lanerolle, P.; Minden, A. Activated PAK4 regulates cell adhesion and anchorage-independent growth. Mol. Cell Biol. 2001, 21, 3523–3533. [Google Scholar] [CrossRef]
  162. Ghatak, S.; Misra, S.; Moreno-Rodrigue, R.A.; Hascall, V.C.; Leone, G.W.; Markwald, R.R. Periostin/beta1integrin interaction regulates p21-activated kinases in valvular interstitial cell survival and in actin cytoskeleton reorganization. Biochim. Biophys. Acta Gen. Subj. 2019, 1863, 813–829. [Google Scholar] [CrossRef] [PubMed]
  163. Bogoyevitch, M.A.; Ngoei, K.R.; Zhao, T.T.; Yeap, Y.Y.; Ng, D.C. c-Jun N-terminal kinase (JNK) signaling: Recent advances and challenges. Biochim. Biophys. Acta 2010, 1804, 463–475. [Google Scholar] [CrossRef]
  164. Bachmann, V.A.; Riml, A.; Huber, R.G.; Baillie, G.S.; Liedl, K.R.; Valovka, T.; Stefan, E. Reciprocal regulation of PKA and Rac signaling. Proc. Natl. Acad. Sci. USA 2013, 110, 8531–8536. [Google Scholar] [CrossRef] [PubMed]
  165. Li, S.Q.; Wang, Z.H.; Mi, X.G.; Liu, L.; Tan, Y. MiR-199a/b-3p suppresses migration and invasion of breast cancer cells by downregulating PAK4/MEK/ERK signaling pathway. IUBMB Life 2015, 67, 768–777. [Google Scholar] [CrossRef] [PubMed]
  166. Ha, U.H.; Lim, J.H.; Kim, H.J.; Wu, W.; Jin, S.; Xu, H.; Li, J.D. MKP1 regulates the induction of MUC5AC mucin by Streptococcus pneumoniae pneumolysin by inhibiting the PAK4-JNK signaling pathway. J. Biol. Chem. 2008, 283, 30624–30631. [Google Scholar] [CrossRef]
  167. He, W.; Zhao, Z.; Anees, A.; Li, Y.; Ashraf, U.; Chen, Z.; Song, Y.; Chen, H.; Cao, S.; Ye, J. p21-Activated Kinase 4 Signaling Promotes Japanese Encephalitis Virus-Mediated Inflammation in Astrocytes. Front. Cell. Infect. Microbiol. 2017, 7, 271. [Google Scholar] [CrossRef]
  168. Dabrowski, A.; Tribillo, I.; Dabrowska, M.I.; Wereszczynska-Siemiatkowska, U.; Gabryelewicz, A. Activation of mitogen-activated protein kinases in different models of pancreatic acinar cell damage. Z. Gastroenterol. 2000, 38, 469–481. [Google Scholar] [CrossRef]
  169. Dabrowski, A.; Boguslowicz, C.; Dabrowska, M.; Tribillo, I.; Gabryelewicz, A. Reactive oxygen species activate mitogen-activated protein kinases in pancreatic acinar cells. Pancreas 2000, 21, 376–384. [Google Scholar] [CrossRef]
  170. Ramnath, R.D.; Sun, J.; Bhatia, M. Involvement of SRC family kinases in substance P-induced chemokine production in mouse pancreatic acinar cells and its significance in acute pancreatitis. J. Pharmacol. Exp. Ther. 2009, 329, 418–428. [Google Scholar] [CrossRef]
  171. Chow, H.Y.; Jubb, A.M.; Koch, J.N.; Jaffer, Z.M.; Stepanova, D.; Campbell, D.A.; Duron, S.G.; O’Farrell, M.; Cai, K.Q.; Klein-Szanto, A.J.; et al. p21-Activated kinase 1 is required for efficient tumor formation and progression in a Ras-mediated skin cancer model. Cancer Res. 2012, 72, 5966–5975. [Google Scholar] [CrossRef]
  172. Cho, S.M.; Lee, E.O.; Kim, S.H.; Lee, H.J. Essential oil of Pinus koraiensis inhibits cell proliferation and migration via inhibition of p21-activated kinase 1 pathway in HCT116 colorectal cancer cells. BMC Complement. Altern. Med. 2014, 14, 275. [Google Scholar] [CrossRef] [PubMed]
  173. Chen, J.; Fang, Y. A novel pathway regulating the mammalian target of rapamycin (mTOR) signaling. Biochem. Pharmacol. 2002, 64, 1071–1077. [Google Scholar] [CrossRef]
  174. Gingras, A.C.; Raught, B.; Sonenberg, N. Regulation of translation initiation by FRAP/mTOR. Genes Dev. 2001, 15, 807–826. [Google Scholar] [CrossRef] [PubMed]
  175. Li, L.; Sampat, K.; Hu, N.; Zakari, J.; Yuspa, S.H. Protein kinase C negatively regulates Akt activity and modifies UVC-induced apoptosis in mouse keratinocytes. J. Biol. Chem. 2006, 281, 3237–3243. [Google Scholar] [CrossRef]
  176. King, H.; Thillai, K.; Whale, A.; Arumugam, P.; Eldaly, H.; Kocher, H.M.; Wells, C.M. PAK4 interacts with p85 alpha: Implications for pancreatic cancer cell migration. Sci. Rep. 2017, 7, 42575. [Google Scholar] [CrossRef]
  177. Shu, X.R.; Wu, J.; Sun, H.; Chi, L.Q.; Wang, J.H. PAK4 confers the malignance of cervical cancers and contributes to the cisplatin-resistance in cervical cancer cells via PI3K/AKT pathway. Diagn. Pathol. 2015, 10, 177. [Google Scholar] [CrossRef]
  178. He, L.F.; Xu, H.W.; Chen, M.; Xian, Z.R.; Wen, X.F.; Chen, M.N.; Du, C.W.; Huang, W.H.; Wu, J.D.; Zhang, G.J. Activated-PAK4 predicts worse prognosis in breast cancer and promotes tumorigenesis through activation of PI3K/AKT signaling. Oncotarget 2017, 8, 17573–17585. [Google Scholar] [CrossRef]
  179. Kim, H.; Woo, D.J.; Kim, S.Y.; Yang, E.G. p21-activated kinase 4 regulates HIF-1alpha translation in cancer cells. Biochem. Biophys. Res. Commun. 2017, 486, 270–276. [Google Scholar] [CrossRef]
  180. Thillai, K.; Lam, H.; Sarker, D.; Wells, C.M. Deciphering the link between PI3K and PAK: An opportunity to target key pathways in pancreatic cancer? Oncotarget 2017, 8, 14173–14191. [Google Scholar] [CrossRef]
  181. Cao, J.; Yu, J.P.; Liu, C.H.; Zhou, L.; Yu, H.G. Effects of gastrin 17 on beta-catenin/Tcf-4 pathway in Colo320WT colon cancer cells. World J. Gastroenterol. 2006, 12, 7482–7487. [Google Scholar] [CrossRef]
  182. Sans, M.D.; Kimball, S.R.; Williams, J.A. Effect of CCK and intracellular calcium to regulate eIF2B and protein synthesis in rat pancreatic acinar cells. Am. J. Physiol. Gastrointest. Liver Physiol. 2002, 282, G267–G276. [Google Scholar] [CrossRef] [PubMed][Green Version]
  183. Beurel, E.; Grieco, S.F.; Jope, R.S. Glycogen synthase kinase-3 (GSK3): Regulation, actions, and diseases. Pharmacol. Ther. 2015, 148, 114–131. [Google Scholar] [CrossRef] [PubMed]
  184. Cuzzocrea, S.; Malleo, G.; Genovese, T.; Mazzon, E.; Esposito, E.; Muia, C.; Abdelrahman, M.; Di Paola, R.; Thiemermann, C. Effects of glycogen synthase kinase-3beta inhibition on the development of cerulein-induced acute pancreatitis in mice. Crit. Care Med. 2007, 35, 2811–2821. [Google Scholar] [PubMed]
  185. Guo, L.; Sans, M.D.; Hou, Y.; Ernst, S.A.; Williams, J.A. c-Jun/AP-1 is required for CCK-induced pancreatic acinar cell dedifferentiation and DNA synthesis in vitro. Am. J. Physiol. Gastrointest. Liver Physiol. 2012, 302, G1381–G1396. [Google Scholar] [CrossRef][Green Version]
  186. Hu, Y.; Wan, R.; Yu, G.; Shen, J.; Ni, J.; Yin, G.; Xing, M.; Chen, C.; Fan, Y.; Xiao, W.; et al. Imbalance of Wnt/Dkk negative feedback promotes persistent activation of pancreatic stellate cells in chronic pancreatitis. PLoS ONE 2014, 9, e95145. [Google Scholar] [CrossRef]
  187. Huang, H.L.; Tang, G.D.; Liang, Z.H.; Qin, M.B.; Wang, X.M.; Chang, R.J.; Qin, H.P. Role of Wnt/beta-catenin pathway agonist SKL2001 in Caerulein-induced acute pancreatitis. Can. J. Physiol. Pharmacol. 2019, 97, 15–22. [Google Scholar] [CrossRef]
  188. Sorrenson, B.; Cognard, E.; Lee, K.L.; Dissanayake, W.C.; Fu, Y.; Han, W.; Hughes, W.E.; Shepherd, P.R. A Critical Role for beta-Catenin in Modulating Levels of Insulin Secretion from beta-Cells by Regulating Actin Cytoskeleton and Insulin Vesicle Localization. J. Biol. Chem. 2016, 291, 25888–25900. [Google Scholar] [CrossRef]
  189. Yamada, N.; Noguchi, S.; Mori, t.; Naoe, T.; Maruo, K.; Akao, Y. Tumor-suppressive microRNA-145 targets catenin delta-1 to regulate Wnt/beta-catenin signaling in human colon cancer cells. Cancer Lett. 2013, 335, 332–342. [Google Scholar] [CrossRef]
  190. Yang, Y.; Dai, M.; Wilson, T.M.; Omelchenko, I.; Klimek, J.E.; Wilmarth, P.A.; David, L.L.; Nuttall, A.L.; Gillespie, P.G.; Shi, X. Na+/K+-ATPase alpha1 identified as an abundant protein in the blood-labyrinth barrier that plays an essential role in the barrier integrity. PLoS ONE 2011, 6, e16547. [Google Scholar]
  191. Kunimura, K.; Akiyoshi, S.; Uruno, T.; Matsubara, K.; Sakata, D.; Morino, K.; Hirotani, K.; Fukui, Y. DOCK2 regulates MRGPRX2/B2-mediated mast cell degranulation and drug-induced anaphylaxis. J. Allergy Clin. Immunol. 2023, 151, 1585–1594. [Google Scholar] [CrossRef]
  192. Rider, L.; Oladimeji, P.; Diakonova, M. PAK1 regulates breast cancer cell invasion through secretion of matrix metalloproteinases in response to prolactin and three-dimensional collagen IV. Mol. Endocrinol. 2013, 27, 1048–1064. [Google Scholar] [CrossRef] [PubMed]
  193. Schiavi-Ehrenhaus, L.J.; Romarowski, A.; Jabloñski, M.; Krapf, D.; Luque, G.M.; Buffone, M.G. The early molecular events leading to COFILIN phosphorylation during mouse sperm capacitation are essential for acrosomal exocytosis. J. Biol. Chem. 2022, 298, 101988. [Google Scholar] [CrossRef] [PubMed]
  194. Lim, G.E.; Xu, M.; Sun, J.; Jin, T.; Brubaker, P.L. The rho guanosine 5′-triphosphatase, cell division cycle 42, is required for insulin-induced actin remodeling and glucagon-like peptide-1 secretion in the intestinal endocrine L cell. Endocrinology 2009, 150, 5249–5261. [Google Scholar] [CrossRef] [PubMed]
  195. Xia, S.; Zhou, Z.; Jia, Z. PAK1 regulates inhibitory synaptic function via a novel mechanism mediated by endocannabinoids. Small GTPases 2018, 9, 322–326. [Google Scholar] [CrossRef]
  196. Li, Q.; Ho, C.S.; Marinescu, V.; Bhatti, H.; Bokoch, G.M.; Ernst, S.A.; Holz, R.W.; Stuenkel, E.L. Facilitation of Ca(2+)-dependent exocytosis by Rac1-GTPase in bovine chromaffin cells. J. Physiol. 2003, 550, 431–445. [Google Scholar] [CrossRef]
  197. Suzuki, J.; Jin, Z.G.; Meoli, D.F.; Matoba, T.; Berk, B.C. Cyclophilin A is secreted by a vesicular pathway in vascular smooth muscle cells. Circ. Res. 2006, 98, 811–817. [Google Scholar] [CrossRef]
  198. Pandol, S.J.; Saluja, A.K.; Imrie, C.W.; Banks, P.A. Acute pancreatitis: Bench to the bedside. Gastroenterology 2007, 132, 1127–1151. [Google Scholar] [CrossRef]
  199. Lankisch, P.G.; Apte, M.; Banks, P.A. Acute pancreatitis. Lancet 2015, 386, 85–96. [Google Scholar] [CrossRef]
  200. Dammann, K.; Khare, V.; Gasche, C. Republished: Tracing PAKs from GI inflammation to cancer. Postgrad. Med. J. 2014, 90, 657–668. [Google Scholar] [CrossRef]
  201. Ji, B.; Gaiser, S.; Chen, X.; Ernst, S.A.; Logsdon, C.D. Intracellular trypsin induces pancreatic acinar cell death but not NF-kappaB activation. J. Biol. Chem. 2009, 284, 17488–17498. [Google Scholar] [CrossRef]
  202. Dixit, A.D.R.K.; Dudeja, V.; Saluja, A.K. Role of trypinsinogen activation in genesis of pancreatitis. Pancreapedia Exocrine Pancreas Knowl. Base 2016. [Google Scholar] [CrossRef]
  203. Tonelli, F.; Giudici, F.; Nesi, G.; Batignani, G.; Brandi, M.L. Operation for insulinomas in multiple endocrine neoplasia type 1: When pancreatoduodenectomy is appropriate. Surgery 2017, 161, 727–734. [Google Scholar] [CrossRef] [PubMed]
  204. Granados, M.P.; Salido, G.M.; Pariente, J.A.; Gonzalez, A. Generation of ROS in response to CCK-8 stimulation in mouse pancreatic acinar cells. Mitochondrion 2004, 3, 285–296. [Google Scholar] [CrossRef] [PubMed]
  205. Binker, M.G.; Binker-Cosen, A.A.; Gaisano, H.Y.; Cosen-Binker, L.I. Inhibition of Rac1 decreases the severity of pancreatitis and pancreatitis-associated lung injury in mice. Exp. Physiol. 2008, 93, 1091–1103. [Google Scholar] [CrossRef] [PubMed]
  206. Mareninova, O.A.; Sung, K.F.; Hong, P.; Lugea, A.; Pandol, S.J.; Gukovsky, I.; Gukovskaya, A.S. Cell death in pancreatitis: Caspases protect from necrotizing pancreatitis. J. Biol. Chem. 2006, 281, 3370–3381. [Google Scholar] [CrossRef]
  207. Kaiser, A.M.; Saluja, A.K.; Sengupta, A.; Saluja, M.; Steer, M.L. Relationship between severity, necrosis, and apoptosis in five models of experimental acute pancreatitis. Am. J. Physiol. 1995, 269, C1295–C1304. [Google Scholar] [CrossRef]
  208. Frost, J.A.; Swantek, J.L.; Stippec, S.; Yin, M.J.; Gaynor, R.; Cobb, M.H. Stimulation of NFkappa B activity by multiple signaling pathways requires PAK1. J. Biol. Chem. 2000, 275, 19693–19699. [Google Scholar] [CrossRef]
  209. Ma, B.; Wu, L.; Lu, M.; Gao, B.; Qiao, X.; Sun, B.; Xue, D.; Zhang, W. Differentially expressed kinase genes associated with trypsinogen activation in rat pancreatic acinar cells treated with taurolithocholic acid 3-sulfate. Mol. Med. Rep. 2013, 7, 1591–1596. [Google Scholar] [CrossRef]
  210. Tang, Y.; Yu, J.; Field, J. Signals from the Ras, Rac, and Rho GTPases converge on the Pak protein kinase in Rat-1 fibroblasts. Mol. Cell. Biol. 1999, 19, 1881–1891. [Google Scholar] [CrossRef]
  211. Yu, C.; Merza, M.; Luo, L.; Thorlacius, H. Inhibition of Ras signalling reduces neutrophil infiltration and tissue damage in severe acute pancreatitis. Eur. J. Pharmacol. 2015, 746, 245–251. [Google Scholar] [CrossRef]
  212. Zhen, J.; Chen, W.; Liu, Y.; Zang, X. Baicalin Protects Against Acute Pancreatitis Involving JNK Signaling Pathway via Regulating miR-15a. Am. J. Chin. Med. 2021, 49, 147–161. [Google Scholar] [CrossRef] [PubMed]
  213. Chan, P.M.; Manser, E. PAKs in human disease. Prog. Mol. Biol. Transl. Sci. 2012, 106, 171–187. [Google Scholar] [PubMed]
  214. Rane, C.K.; Minden, A. P21 activated kinase signaling in cancer. Semin. Cancer Biol. 2019, 54, 40–49. [Google Scholar] [CrossRef] [PubMed]
  215. Ye, D.Z.; Field, J. PAK signaling in cancer. Cell Logist. 2012, 2, 105–116. [Google Scholar] [CrossRef]
  216. Chen, A.; Tang, Y.; Zhuo, Y.; Wang, Q.; Pahk, A.; Field, J. Ras activation of PAK protein kinases. Methods Enzymol. 2001, 333, 55–61. [Google Scholar]
  217. Adamopoulos, C.; Cave, D.D.; Papavassiliou, A.G. Inhibition of the RAF/MEK/ERK Signaling Cascade in Pancreatic Cancer: Recent Advances and Future Perspectives. Int. J. Mol. Sci. 2024, 25, 1631. [Google Scholar] [CrossRef]
  218. Miller-Phillips, L.; Collisson, E.A. RAS and Other Molecular Targets in Pancreatic Cancer: The Next Wave Is Coming. Curr. Treat. Options Oncol. 2023, 24, 1088–1101. [Google Scholar] [CrossRef]
  219. Downward, J. Targeting RAS signalling pathways in cancer therapy. Nat. Rev. Cancer 2003, 3, 11–22. [Google Scholar] [CrossRef]
  220. Wittinghofer, A.; Pai, E.F. The structure of Ras protein: A model for a universal molecular switch. Trends Biochem. Sci. 1991, 16, 382–387. [Google Scholar] [CrossRef]
  221. Zhao, H.; Tao, S. MiRNA-221 protects islet β cell function in gestational diabetes mellitus by targeting PAK1. Biochem. Biophys. Res. Commun. 2019, 520, 218–224. [Google Scholar] [CrossRef]
  222. Chen, Y.C.; Fueger, P.T.; Wang, Z. Depletion of PAK1 enhances ubiquitin-mediated survivin degradation in pancreatic β-cells. Islets 2013, 5, 22–28. [Google Scholar] [CrossRef] [PubMed]
  223. Holtz, B.J.; Lodewyk, K.B.; Sebolt-Leopold, J.S.; Ernst, S.A.; Williams, J.A. ERK activation is required for CCK-mediated pancreatic adaptive growth in mice. Am. J. Physiol. Gastrointest. Liver Physiol. 2014, 307, G700–G710. [Google Scholar] [CrossRef] [PubMed]
  224. Zhou, Q.; Melton, D.A. Pancreas regeneration. Nature 2018, 557, 351–358. [Google Scholar] [CrossRef] [PubMed]
  225. Socorro, M.; Esni, F. Pancreatic Regeneration: Models, Mechanisms and Inconsistencies. Pancreapedia Exocrine Pancreas Knowl. Base 2020. [Google Scholar] [CrossRef]
  226. Douziech, N.; Calvo, E.; Laine, J.; Morisset, J. Activation of MAP kinases in growth responsive pancreatic cancer cells. Cell Signal 1999, 11, 591–602. [Google Scholar] [CrossRef]
Figure 1. Structure of group I (A) and group II (B) PAKs. The PAK family consists of six members that are divided into two subgroups according to their sequence homology and structural and activation characteristics: group I (PAK1–3) and group II (PAK4–6) [1,2,3,4,5]. All PAKs have a proline rich region (Biology 14 00113 i001), N-terminal regulatory domain and a conserved C-terminal serine/threonine kinase domain. Group I PAKs have a PIX-binding domain, Gβγ-binding domain, and AID behind the PBD, which acts with the PBD as a dimer. Group II PAKs have an additional AID-like domain (PSD) that exists alone [1,3,6,7,8,9]. Numbers indicate the number of the amino acids at the boundaries of various subdivisions. Abbreviations: PBD, p21-binding domain; PIX, PAK-interacting exchange factor; AID, autoinhibitory domain; PSD, pseudo-substrate domain.
Figure 1. Structure of group I (A) and group II (B) PAKs. The PAK family consists of six members that are divided into two subgroups according to their sequence homology and structural and activation characteristics: group I (PAK1–3) and group II (PAK4–6) [1,2,3,4,5]. All PAKs have a proline rich region (Biology 14 00113 i001), N-terminal regulatory domain and a conserved C-terminal serine/threonine kinase domain. Group I PAKs have a PIX-binding domain, Gβγ-binding domain, and AID behind the PBD, which acts with the PBD as a dimer. Group II PAKs have an additional AID-like domain (PSD) that exists alone [1,3,6,7,8,9]. Numbers indicate the number of the amino acids at the boundaries of various subdivisions. Abbreviations: PBD, p21-binding domain; PIX, PAK-interacting exchange factor; AID, autoinhibitory domain; PSD, pseudo-substrate domain.
Biology 14 00113 g001
Figure 2. Ability of various pancreatic secretagogues, pancreatic growth factors and post-receptor activators to stimulate activation of PAK2 (A,C) and PAK4 (B,D) (i.e., measured by detecting phosphorylation of T402 and S474, which has been shown to be essential for PAK2 and PAK4 protein kinase activity, respectively [9,29,85,86,87,88]) in rat pancreatic acini. (A,B) Ability of various pancreatic acinar secretagogues [10,14,15,79,83] [cholecystokinin (CCK-8, 1 nM, 1 min), carbachol (10 uM, 1 min), bombesin (1 nM, 1 min), vasoactive intestinal peptide (VIP) (10 nM, 1 min), secretin (10 nM, 1 min) or endothelin-1 (10 nM, 1 min)] to activate PAK2 or PAK4 in isolated pancreatic acini. (C,D) Ability of various pancreatic growth factors [10,14,15,79,83] [insulin (INS, 1 uM, 10 min), insulin-like growth factor 1 (IGF-1, 100 nM, 10 min), hepatocyte growth factor (HGF, 1 nM, 10 min), epidermal growth factor (EGF, 10 nM, 5 min), basic fibroblast growth factor (bFGF, 100 ng/mL, 5 min) and platelet-derived growth factor (PDGF, 100 ng/mL, 10 min)] to activate PAK2 or PAK4 in the pancreatic acini. Isolated pancreatic acini were incubated in the absence or presence of these pancreatic secretagogues, pancreatic growth factors and post-receptor activators at the indicated concentrations and time incubations and then lysed. The cell lysates were subjected to Western blotting and analyzed using anti-pT402 PAK2 or anti-pS474 PAK4 and, as loading control, anti-total PAK2 or PAK4. Bands were visualized using chemiluminescence and quantified by densitometry. Results are expressed as % control phosphorylation. Top: Results of a representative blot of five independent experiments. Bottom: Mean ± SE of six independent experiments. *, p < 0.05 compared with the control. These results are modified from the figures and data in [10,14,15]. These results show that various pancreatic growth factors and secretagogues can activate both PAK2 and PAK4 in pancreatic exocrine tissue, but they are similar with some stimulants and differ with others.
Figure 2. Ability of various pancreatic secretagogues, pancreatic growth factors and post-receptor activators to stimulate activation of PAK2 (A,C) and PAK4 (B,D) (i.e., measured by detecting phosphorylation of T402 and S474, which has been shown to be essential for PAK2 and PAK4 protein kinase activity, respectively [9,29,85,86,87,88]) in rat pancreatic acini. (A,B) Ability of various pancreatic acinar secretagogues [10,14,15,79,83] [cholecystokinin (CCK-8, 1 nM, 1 min), carbachol (10 uM, 1 min), bombesin (1 nM, 1 min), vasoactive intestinal peptide (VIP) (10 nM, 1 min), secretin (10 nM, 1 min) or endothelin-1 (10 nM, 1 min)] to activate PAK2 or PAK4 in isolated pancreatic acini. (C,D) Ability of various pancreatic growth factors [10,14,15,79,83] [insulin (INS, 1 uM, 10 min), insulin-like growth factor 1 (IGF-1, 100 nM, 10 min), hepatocyte growth factor (HGF, 1 nM, 10 min), epidermal growth factor (EGF, 10 nM, 5 min), basic fibroblast growth factor (bFGF, 100 ng/mL, 5 min) and platelet-derived growth factor (PDGF, 100 ng/mL, 10 min)] to activate PAK2 or PAK4 in the pancreatic acini. Isolated pancreatic acini were incubated in the absence or presence of these pancreatic secretagogues, pancreatic growth factors and post-receptor activators at the indicated concentrations and time incubations and then lysed. The cell lysates were subjected to Western blotting and analyzed using anti-pT402 PAK2 or anti-pS474 PAK4 and, as loading control, anti-total PAK2 or PAK4. Bands were visualized using chemiluminescence and quantified by densitometry. Results are expressed as % control phosphorylation. Top: Results of a representative blot of five independent experiments. Bottom: Mean ± SE of six independent experiments. *, p < 0.05 compared with the control. These results are modified from the figures and data in [10,14,15]. These results show that various pancreatic growth factors and secretagogues can activate both PAK2 and PAK4 in pancreatic exocrine tissue, but they are similar with some stimulants and differ with others.
Biology 14 00113 g002
Figure 3. Dose–response effect of cholecystokinin (CCK)-8 and CCK-JMV (a synthetic CCK analog that distinguishes high/low affinity CCK1-R receptor states [10,14,89,90,91]) to activate PAK2 (A) and PAK4 (B) (i.e., measured by detecting phosphorylation of T402 and S474, which has been shown to be essential for PAK2 and PAK4 protein kinase activity, respectively [9,29,85,86,87,88], in rat pancreatic acini. Isolated pancreatic acini were incubated in the absence or presence of CCK-8 and CCK-JMV (at the indicated concentrations) for 3 min and then lysed. Results are expressed as means ± SE of three independent experiments. Results are expressed as % of basal stimulation of the control group (PAK2: CCK-8 100 nM; 904 ± 140% of control. PAK4: CCK-8 1 nM; 193 ± 15% of control). * p < 0.05 compared with the control. These results are modified from the figures and data in [10,14]. These results show that both activation of the high and the low affinity CCK1-R receptor states are need for full activation of either PAK2 or PAK4 by CCK.
Figure 3. Dose–response effect of cholecystokinin (CCK)-8 and CCK-JMV (a synthetic CCK analog that distinguishes high/low affinity CCK1-R receptor states [10,14,89,90,91]) to activate PAK2 (A) and PAK4 (B) (i.e., measured by detecting phosphorylation of T402 and S474, which has been shown to be essential for PAK2 and PAK4 protein kinase activity, respectively [9,29,85,86,87,88], in rat pancreatic acini. Isolated pancreatic acini were incubated in the absence or presence of CCK-8 and CCK-JMV (at the indicated concentrations) for 3 min and then lysed. Results are expressed as means ± SE of three independent experiments. Results are expressed as % of basal stimulation of the control group (PAK2: CCK-8 100 nM; 904 ± 140% of control. PAK4: CCK-8 1 nM; 193 ± 15% of control). * p < 0.05 compared with the control. These results are modified from the figures and data in [10,14]. These results show that both activation of the high and the low affinity CCK1-R receptor states are need for full activation of either PAK2 or PAK4 by CCK.
Biology 14 00113 g003
Figure 4. Schematic diagram summarizing the signaling cascade for CCK activation and signaling roles of PAK2 from recent studies in rat pancreatic acinar cells [10,12]. In rat pancreatic acinar cells, maximal activation of PAK2 (i.e., measured by detecting phosphorylation of T402, which has been shown to be essential for PAK2 protein kinase activity [85,86,87,88]) requires activation of Cdc42/Rac1 and phospholipase C, resulting in PKC activation. PAK2 activation involves both PLC-dependent and independent cascades with the PLC-dependent cascade mediated by PKC activation, with changes in Ca2+ not being involved. PAK2 also requires SFK-dependent and SFK-independent signaling. However, changes in PI3K are not involved, but a major component of PAK2 activation mediated by CCK-activation is Cdc42/Rac1 [10]. Activation of PAK2 is needed to stimulate several signaling kinases including MAPKs (Mek1/2, p44/42 and JNK); FAKs (p125FAK and PYK2); scaffolding proteins (paxillin and p130CAS); caspases 3, 8 and 9; LDH release; and ROS generation, which are important in mediating numerous cellular functions [10,12]. The activation of PAK2 has a unique dual role in altering the activity of the PI3K–Akt pathway, which is required for the stimulation of p85, and also in mediating the inhibition of Akt activity via the dephosphorylation of Akt [10,12]. These results are drawn from the figures and data in [10,12]. These results show that PAK2 activation is essential for the CCK-mediated activation of pancreatic acinar growth cascades and enzyme secretion, as well as in CCK-mediated experimental pancreatitis. However, PAK2 was not activated by VIP or secretin, the main stimulants for fluid and electrolyte secretion.
Figure 4. Schematic diagram summarizing the signaling cascade for CCK activation and signaling roles of PAK2 from recent studies in rat pancreatic acinar cells [10,12]. In rat pancreatic acinar cells, maximal activation of PAK2 (i.e., measured by detecting phosphorylation of T402, which has been shown to be essential for PAK2 protein kinase activity [85,86,87,88]) requires activation of Cdc42/Rac1 and phospholipase C, resulting in PKC activation. PAK2 activation involves both PLC-dependent and independent cascades with the PLC-dependent cascade mediated by PKC activation, with changes in Ca2+ not being involved. PAK2 also requires SFK-dependent and SFK-independent signaling. However, changes in PI3K are not involved, but a major component of PAK2 activation mediated by CCK-activation is Cdc42/Rac1 [10]. Activation of PAK2 is needed to stimulate several signaling kinases including MAPKs (Mek1/2, p44/42 and JNK); FAKs (p125FAK and PYK2); scaffolding proteins (paxillin and p130CAS); caspases 3, 8 and 9; LDH release; and ROS generation, which are important in mediating numerous cellular functions [10,12]. The activation of PAK2 has a unique dual role in altering the activity of the PI3K–Akt pathway, which is required for the stimulation of p85, and also in mediating the inhibition of Akt activity via the dephosphorylation of Akt [10,12]. These results are drawn from the figures and data in [10,12]. These results show that PAK2 activation is essential for the CCK-mediated activation of pancreatic acinar growth cascades and enzyme secretion, as well as in CCK-mediated experimental pancreatitis. However, PAK2 was not activated by VIP or secretin, the main stimulants for fluid and electrolyte secretion.
Biology 14 00113 g004
Figure 5. Schematic diagram summarizing the signaling cascade for activation and signaling role of PAK4 in response to CCK, secretin or VIP from recent studies [14,41,143] in rat pancreatic acinar cells. Maximal activation of PAK4 by CCK-8 (i.e., measured by detecting phosphorylation of S474, which has been shown to be essential for PAK4 protein kinase activity, as well as reflecting its degree of activation, Refs. [9,29]), requires activation of primarily PKC, with a lesser contribution by changes in cytosolic calcium. PKC mediates both Src family kinase (SFK) and protein kinase D (PKD) activation with the latter resulting in ERK1/2 activation and Cdc42 activation. This in turn can stimulate PAK4 activation partially via a p38 mechanism [14]. However, changes in PI3K are not involved in pancreatic acini in contrast to what is reported in a number of other tissues with other stimulants [45,144]. The ERK1/2 and PAK4 inhibition studies demonstrate that CCK-8-mediated ERK1/2 activation and PAK4 activation reciprocally regulate each other’s activation [14]. Activation of PAK4 by secretin in pancreatic acinar cells requires activation of PKA and by VIP requires EPAC; however, both secretin and VIP induced CREB phosphorylation through EPAC. PAK4 activation is important for Na+, K+-ATPase phosphorylation, and Na+, K+-ATPase activity [15]. Activation of PAK4 is needed to stimulate several signaling kinases including MAPKs (Mek1/2 and p44/42), FAKs (p125FAK and PYK2); scaffolding proteins (paxillin and p130CAS); GSK3 and ß-Catenin; and PP2A and cofilin, which are important in mediating numerous cellular functions [14,40,41]. These results are drawn from the figures and data in [14,15,40,41]. These results show that the signaling cascades for secretin, CCK and VIP mediated the PAK4 activation and stimulation of acinar growth, enzyme secretion and fluid/electrolyte secretion. It is unknown what role, if any, PAK4 plays in CCK-induced experimental pancreatitis.
Figure 5. Schematic diagram summarizing the signaling cascade for activation and signaling role of PAK4 in response to CCK, secretin or VIP from recent studies [14,41,143] in rat pancreatic acinar cells. Maximal activation of PAK4 by CCK-8 (i.e., measured by detecting phosphorylation of S474, which has been shown to be essential for PAK4 protein kinase activity, as well as reflecting its degree of activation, Refs. [9,29]), requires activation of primarily PKC, with a lesser contribution by changes in cytosolic calcium. PKC mediates both Src family kinase (SFK) and protein kinase D (PKD) activation with the latter resulting in ERK1/2 activation and Cdc42 activation. This in turn can stimulate PAK4 activation partially via a p38 mechanism [14]. However, changes in PI3K are not involved in pancreatic acini in contrast to what is reported in a number of other tissues with other stimulants [45,144]. The ERK1/2 and PAK4 inhibition studies demonstrate that CCK-8-mediated ERK1/2 activation and PAK4 activation reciprocally regulate each other’s activation [14]. Activation of PAK4 by secretin in pancreatic acinar cells requires activation of PKA and by VIP requires EPAC; however, both secretin and VIP induced CREB phosphorylation through EPAC. PAK4 activation is important for Na+, K+-ATPase phosphorylation, and Na+, K+-ATPase activity [15]. Activation of PAK4 is needed to stimulate several signaling kinases including MAPKs (Mek1/2 and p44/42), FAKs (p125FAK and PYK2); scaffolding proteins (paxillin and p130CAS); GSK3 and ß-Catenin; and PP2A and cofilin, which are important in mediating numerous cellular functions [14,40,41]. These results are drawn from the figures and data in [14,15,40,41]. These results show that the signaling cascades for secretin, CCK and VIP mediated the PAK4 activation and stimulation of acinar growth, enzyme secretion and fluid/electrolyte secretion. It is unknown what role, if any, PAK4 plays in CCK-induced experimental pancreatitis.
Biology 14 00113 g005
Figure 6. (A) Effect of VIP, secretin, CCK-8, 8-Br-cAMP and forskolin on PAK4 activation in rat pancreatic acini. Isolated pancreatic acini were incubated in the absence or presence of VIP (10 nM), secretin (10 nM), 8-Br-cAMP (1 mM) or forskolin (25 uM) for 15 min and CCK-8 (1 nM) for 3 min and then lysed. (B) Dose–response effect of VIP and secretin to stimulate PAK4 activation in rat pancreatic acini. Isolated pancreatic acini were incubated in the absence or presence of VIP and secretin (at the indicate concentrations) for 15 min and then lysed. (C,D) Effect of ESI-09 and HJC0197, EPAC inhibitors, and KT-5720 and PKI, PKA inhibitors, on PAK4 activation by VIP (C) and secretin (D) in rat pancreatic acini. Isolated pancreatic acini were incubated in the absence or presence of ESI-09 (100 uM), HJC0197 (10 uM, 2h), KT-5720 (10 uM) or PKI (10 uM) for 1 h and then incubated with no addition (control) or secretin (10 nM) for 15 min and then lysed. (E,F) Effect of PF-3758309 and LCH-7749944, PAK4 inhibitors, on VIP (E) and secretin (F) stimulation of Na+, K+-ATPase activity rat pancreatic acini. Isolated pancreatic acini were incubated in the absence or presence of PF-3758309 (0.1 nM) and LCH-7749944 (30 uM) for 3 h and then incubated with no addition (control), VIP (10 nM) or secretin (10 nM) for 15 min and then lysed. PAK4 was measured by detecting phosphorylation of S474, which has been shown to be essential for PAK4 protein kinase activity [9,29]) and Na+, K+-ATPase activity was measured using a colorimetric assay [190]. Results are expressed as means ± SE of 4 independent experiments. Results are expressed as percentages of basal stimulation of the control group in (A,CF), and results are expressed as percentages of stimulation over the control group in (B) (VIP 10 nM: 217 ± 24% of control). *, p < 0.05 compared with the control; >, p < 0.05 compared with CCK-8 alone; $, p < 0.05 compared with secretin or VIP alone. These results are modified from the figures and data in [15]. These results show that CCK, VIP and secretin can all activate PAK4 in pancreatic exocrine tissue; however, their cellular signaling cascades differ (see Figure 5).
Figure 6. (A) Effect of VIP, secretin, CCK-8, 8-Br-cAMP and forskolin on PAK4 activation in rat pancreatic acini. Isolated pancreatic acini were incubated in the absence or presence of VIP (10 nM), secretin (10 nM), 8-Br-cAMP (1 mM) or forskolin (25 uM) for 15 min and CCK-8 (1 nM) for 3 min and then lysed. (B) Dose–response effect of VIP and secretin to stimulate PAK4 activation in rat pancreatic acini. Isolated pancreatic acini were incubated in the absence or presence of VIP and secretin (at the indicate concentrations) for 15 min and then lysed. (C,D) Effect of ESI-09 and HJC0197, EPAC inhibitors, and KT-5720 and PKI, PKA inhibitors, on PAK4 activation by VIP (C) and secretin (D) in rat pancreatic acini. Isolated pancreatic acini were incubated in the absence or presence of ESI-09 (100 uM), HJC0197 (10 uM, 2h), KT-5720 (10 uM) or PKI (10 uM) for 1 h and then incubated with no addition (control) or secretin (10 nM) for 15 min and then lysed. (E,F) Effect of PF-3758309 and LCH-7749944, PAK4 inhibitors, on VIP (E) and secretin (F) stimulation of Na+, K+-ATPase activity rat pancreatic acini. Isolated pancreatic acini were incubated in the absence or presence of PF-3758309 (0.1 nM) and LCH-7749944 (30 uM) for 3 h and then incubated with no addition (control), VIP (10 nM) or secretin (10 nM) for 15 min and then lysed. PAK4 was measured by detecting phosphorylation of S474, which has been shown to be essential for PAK4 protein kinase activity [9,29]) and Na+, K+-ATPase activity was measured using a colorimetric assay [190]. Results are expressed as means ± SE of 4 independent experiments. Results are expressed as percentages of basal stimulation of the control group in (A,CF), and results are expressed as percentages of stimulation over the control group in (B) (VIP 10 nM: 217 ± 24% of control). *, p < 0.05 compared with the control; >, p < 0.05 compared with CCK-8 alone; $, p < 0.05 compared with secretin or VIP alone. These results are modified from the figures and data in [15]. These results show that CCK, VIP and secretin can all activate PAK4 in pancreatic exocrine tissue; however, their cellular signaling cascades differ (see Figure 5).
Biology 14 00113 g006
Figure 7. Effect of inhibition of PAK2 on supramaximal CCK-mediated experimental pancreatitis induced apoptosis, trypsin activation and cell necrosis in pancreatic acini. (A,C,E) Freshly isolated rat pancreatic acini were pre-incubated with either 40 uM IPA-3, a specific group I PAK inhibitor [10,12,33,85] or Pir 3,5 (an inactive control) [10,12] for 3 h. Caspase (caspases 3 (A), 8 (C), 9 (E)) activities were measured as previously reported [12]. The results are representative of 4 independent (n = 4) experiments. Results shown are the means ± SE. *, p < 0.05 compared with the control; ∞, p < 0.05 compared with Pir 3,5 alone. (B) Freshly isolated rat pancreatic acini were pre-incubated with either 40 uM IPA-3 or Pir 3,5 for 1 h followed by stimulation with 0.3 and 100 nM CCK and 1 uM TPA for 20 min. Trypsin activity was measured as previously reported [203]. The results are representative of 4 independent (n = 4) experiments. The data are expressed as the percentage of maximal activity obtained when acini were incubated for 20 min with 100 nM CCK. Results shown are the means ± SE. *, p < 0.05 compared with CCK maximal stimulation. (D) Freshly isolated rat pancreatic acini were pre-incubated with either 40 uM IPA-3 or Pir 3,5 for 1 h followed by stimulation with 0.3 and 100 nM CCK and 1 uM TPA for 1 h. LDH release was measured as previously reported [203]. The results are representative of 4 independent (n = 4) experiments. Results shown are the means ± SE. *, p < 0.05 compared with the control; $, p < 0.05 compared with stimulants (CCK or TPA) preincubated with 1%DMSO vs. stimulants pre-incubated with IPA-3 or Pir 3,5, respectively; ∞, p < 0.05 compared with Pir 3,5 alone. (F) ROS generation was measured as previously reported [203]. The results are representative of 6 independent (n = 6) experiments. Results shown are the means ± SE. *, p < 0.05 compared with the control; N.S., not significant. These results are drawn from the figures and data in [203]. These results demonstrate that inhibition of PAK2 by the active antagonist, IPA3, but not by the inactive control Pir3,5 inhibits the experimental pancreatitis features induced by supramaximal CCK including inhibition of caspase 3,8 and 9 activation, as well as activation of trypsin and stimulation of cell necrosis and ROS generation.
Figure 7. Effect of inhibition of PAK2 on supramaximal CCK-mediated experimental pancreatitis induced apoptosis, trypsin activation and cell necrosis in pancreatic acini. (A,C,E) Freshly isolated rat pancreatic acini were pre-incubated with either 40 uM IPA-3, a specific group I PAK inhibitor [10,12,33,85] or Pir 3,5 (an inactive control) [10,12] for 3 h. Caspase (caspases 3 (A), 8 (C), 9 (E)) activities were measured as previously reported [12]. The results are representative of 4 independent (n = 4) experiments. Results shown are the means ± SE. *, p < 0.05 compared with the control; ∞, p < 0.05 compared with Pir 3,5 alone. (B) Freshly isolated rat pancreatic acini were pre-incubated with either 40 uM IPA-3 or Pir 3,5 for 1 h followed by stimulation with 0.3 and 100 nM CCK and 1 uM TPA for 20 min. Trypsin activity was measured as previously reported [203]. The results are representative of 4 independent (n = 4) experiments. The data are expressed as the percentage of maximal activity obtained when acini were incubated for 20 min with 100 nM CCK. Results shown are the means ± SE. *, p < 0.05 compared with CCK maximal stimulation. (D) Freshly isolated rat pancreatic acini were pre-incubated with either 40 uM IPA-3 or Pir 3,5 for 1 h followed by stimulation with 0.3 and 100 nM CCK and 1 uM TPA for 1 h. LDH release was measured as previously reported [203]. The results are representative of 4 independent (n = 4) experiments. Results shown are the means ± SE. *, p < 0.05 compared with the control; $, p < 0.05 compared with stimulants (CCK or TPA) preincubated with 1%DMSO vs. stimulants pre-incubated with IPA-3 or Pir 3,5, respectively; ∞, p < 0.05 compared with Pir 3,5 alone. (F) ROS generation was measured as previously reported [203]. The results are representative of 6 independent (n = 6) experiments. Results shown are the means ± SE. *, p < 0.05 compared with the control; N.S., not significant. These results are drawn from the figures and data in [203]. These results demonstrate that inhibition of PAK2 by the active antagonist, IPA3, but not by the inactive control Pir3,5 inhibits the experimental pancreatitis features induced by supramaximal CCK including inhibition of caspase 3,8 and 9 activation, as well as activation of trypsin and stimulation of cell necrosis and ROS generation.
Biology 14 00113 g007
Figure 8. Effect of the PAK2 inhibitor, IPA-3 and its inactive analogue Pir 3,5 on the ability of physiological (0.3 nM) and supraphysiological concentrations of CCK (100 nM) and TPA to stimulate activation of Mek 1/2 (A), c-Raf (B), p42/44 (C) and JNK (D). Isolated pancreatic acini were incubated in the absence or presence of IPA-3 (40 uM) or Pir 3,5 (40 uM) for 15 min and then incubated with no addition (control) or CCK-8 (0.3 and 100 nM) for 3 min or TPA (1 uM) for 5 min and then lysed. Results are expressed as means ± SE of 4 independent experiments. Mek 1/2, c-Raf, p42/44 and JNK phosphorylation were measured by using anti-pS217/221 Mek1/2, anti-pS338-Raf, anti-pY202/204 p42/44 and anti-pT183/Y185 JNK, respectively [12]. Results are expressed as percentages of basal stimulation of the control group. *, p < 0.05 compared with the control; #, p < 0.05 compared with IPA-3 alone; ∞, p < 0.05 compared with Pir 3,5 alone; and $, p < 0.05 compared with stimulants (CCK or TPA) preincubated with 0.1% DMSO vs. stimulants pre-incubated with IPA-3 or Pir 3,5, respectively. These results are drawn from the figures and data in [12]. These results demonstrate PAK2 activation essential for CCK activation of the p42/44 MAPK, which plays a pivotal role in CCK induced acinar cell growth (adaptive growth, growth due to injury and regenerative growth after resection), as well as in CCK activation of c-Raf, Mek 1/2 and JNK.
Figure 8. Effect of the PAK2 inhibitor, IPA-3 and its inactive analogue Pir 3,5 on the ability of physiological (0.3 nM) and supraphysiological concentrations of CCK (100 nM) and TPA to stimulate activation of Mek 1/2 (A), c-Raf (B), p42/44 (C) and JNK (D). Isolated pancreatic acini were incubated in the absence or presence of IPA-3 (40 uM) or Pir 3,5 (40 uM) for 15 min and then incubated with no addition (control) or CCK-8 (0.3 and 100 nM) for 3 min or TPA (1 uM) for 5 min and then lysed. Results are expressed as means ± SE of 4 independent experiments. Mek 1/2, c-Raf, p42/44 and JNK phosphorylation were measured by using anti-pS217/221 Mek1/2, anti-pS338-Raf, anti-pY202/204 p42/44 and anti-pT183/Y185 JNK, respectively [12]. Results are expressed as percentages of basal stimulation of the control group. *, p < 0.05 compared with the control; #, p < 0.05 compared with IPA-3 alone; ∞, p < 0.05 compared with Pir 3,5 alone; and $, p < 0.05 compared with stimulants (CCK or TPA) preincubated with 0.1% DMSO vs. stimulants pre-incubated with IPA-3 or Pir 3,5, respectively. These results are drawn from the figures and data in [12]. These results demonstrate PAK2 activation essential for CCK activation of the p42/44 MAPK, which plays a pivotal role in CCK induced acinar cell growth (adaptive growth, growth due to injury and regenerative growth after resection), as well as in CCK activation of c-Raf, Mek 1/2 and JNK.
Biology 14 00113 g008
Figure 9. Effect of the PAK4 inhibitors, PF-3758309 and LCH-7749944 on the ability of physiological (0.3 nM) and supraphysiological concentrations of CCK (100 nM) and TPA to activate Mek 1/2 (A), c-Raf (B), p42/44 (C) and JNK (D). Isolated pancreatic acini were incubated in the absence or presence of PF-3758309 (0.1 nM) or LCH-7749944 (30 uM) for 3 h and then incubated with no addition (control) or CCK-8 (0.3 and 100 nM) for 3 min or TPA (1 uM) for 5 min and then lysed. Mek 1/2, c-Raf, p42/44 and JNK phosphorylation were measured by using anti-pS217/221 Mek1/2, anti-pS338-Raf, anti-pY202/204 p42/44 and anti-pT183/Y185 JNK, respectively [41]. Results are expressed as a percentage of basal stimulation of the control group. *, p< 0.05 compared with the control group; #, p < 0.05 compared with inhibitors alone (PF-3758309 or LCH-7749944); ∞, p < 0.05 compared with stimulants without inhibitors. These results are drawn from the figures and data in [41]. These results demonstrate that PAK4 activation is essential for CCK activation of the p42/44 MAPK, which plays a pivotal role in CCK induced acinar cell growth (adaptive growth, growth due to injury and regenerative growth after resection), as well as in CCK activation of Mek 1/2, but, in contrast to PAK2 activation, it does not play a role in CCK activation of c-Raf or JNK.
Figure 9. Effect of the PAK4 inhibitors, PF-3758309 and LCH-7749944 on the ability of physiological (0.3 nM) and supraphysiological concentrations of CCK (100 nM) and TPA to activate Mek 1/2 (A), c-Raf (B), p42/44 (C) and JNK (D). Isolated pancreatic acini were incubated in the absence or presence of PF-3758309 (0.1 nM) or LCH-7749944 (30 uM) for 3 h and then incubated with no addition (control) or CCK-8 (0.3 and 100 nM) for 3 min or TPA (1 uM) for 5 min and then lysed. Mek 1/2, c-Raf, p42/44 and JNK phosphorylation were measured by using anti-pS217/221 Mek1/2, anti-pS338-Raf, anti-pY202/204 p42/44 and anti-pT183/Y185 JNK, respectively [41]. Results are expressed as a percentage of basal stimulation of the control group. *, p< 0.05 compared with the control group; #, p < 0.05 compared with inhibitors alone (PF-3758309 or LCH-7749944); ∞, p < 0.05 compared with stimulants without inhibitors. These results are drawn from the figures and data in [41]. These results demonstrate that PAK4 activation is essential for CCK activation of the p42/44 MAPK, which plays a pivotal role in CCK induced acinar cell growth (adaptive growth, growth due to injury and regenerative growth after resection), as well as in CCK activation of Mek 1/2, but, in contrast to PAK2 activation, it does not play a role in CCK activation of c-Raf or JNK.
Biology 14 00113 g009
Table 1. Characteristics of group I and II p21-activated kinases.
Table 1. Characteristics of group I and II p21-activated kinases.
Group I PAKsGroup II PAKsReferences
MembersPAK1, PAK2 and PAK3PAK4, PAK5 and PAK6[1,2,3]
FunctionCell survival, apoptosis, cell motility, protein synthesis, glucose homeostasis, secretion, growth and cellular proliferationRegulation of cell morphology, cytoskeletal organization, cell proliferation, cell cycle control, migration, secretion, growth and survival[4,6,10,11,12,13,14,15,16,17,20]
ActivatorsCdc42/RacCdc42 > Rac[1,2,6,8,27,28]
Phosphorylation siteThr423 in PAK1
Thr402 in PAK2
Thr421 in PAK3
Ser474 in PAK4
Ser602 in PAK5
Ser560 in PAK6
[1,2,8,9,10,27,28,29,30]
Methods of activationThe autoinhibitory domain (AID) overlaps with the PBD, and together they act as a dimer. Active Cdc42 or Rac binds to the PBD, disrupting the interaction between the AID and the PBD, leading to a conformational change of PAK becoming a monomer, which subsequently becomes autophosphorylatedModel I: Active Cdc42 binds to the PBD and causes a conformational change; PAK4 exists as a monomer in the inactive state and remains inactive due to the binding of the kinase domain and the AID-like sequence.
Model II: Reduction in PSD autoinhibition mediated by SH3 proteins; Cdc42 binds to the PBD, reorienting it and allowing the PSD to bind to SH3 proteins, resulting in the reduction in autoinhibition and kinase activation.
[1,2,8,10,20,27,28,29,31,32]
Table 2. Regulation and interactions of PAK2 and PAK4 in rat pancreatic acini.
Table 2. Regulation and interactions of PAK2 and PAK4 in rat pancreatic acini.
PAK2PAK4References
Most used inhibitorsIPA-3 (allosteric)
FRAX597 (ATP competitive)
PF-3758309 (ATP competitive)
LCH-7749944 (ATP competitive)
[33,34,35,36,37,38,39]
Stimulation by pancreatic secretagoguesCCK-8, carbachol, bombesinCCK-8, carbachol, bombesin, endothelin-1, VIP, secretin[10,14,15]
Stimulation by pancreatic growth factorsEGF, bFGF, PDGFEGF, IGF, HGF, EGF, bFGF, PDGF[10,14]
Stimulation by post-receptor activatorsTPATPA; thapsigargin, A23187, 8-Br-cAMP, forskolin[10,14,15]
CCK1 receptor state:
EC50 of CCK-8 (nM)
EC50 of CCK-JMV (nM)
0.44 ± 0.05
0.18 ± 0.14
0.052 ± 0.003
0.10 ± 0.01
[10,14]
Signaling pathways PYK2, p125FAK; paxillin, p130CAS; c-Raf, Mek1/2, p44/42, JNK; p85PI3K, Akt (reversed inhibition), p70S6K (reversed inhibition); caspases 3, 8, 9; trypsin activity; LDH release; ROS generationPYK2, p125FAK; paxillin, p130CAS; Mek1/2, p44/42, GSK3, ß-catenin; PP2A, cofilin[10,12,14,40,41]
Exocrine functionGrowth; amylase releaseGrowth; amylase release; fluid secretion (Na+, K+-ATPase)[10,14,15]
Table 3. Similarities and differences in the ability of pancreatic secretagogues, growth factors and post-receptor activators to activate group I or group II PAKs in different tissues compared to pancreatic acinar cells.
Table 3. Similarities and differences in the ability of pancreatic secretagogues, growth factors and post-receptor activators to activate group I or group II PAKs in different tissues compared to pancreatic acinar cells.
Group I PAKsGroup II PAKsReferences
Similarities with pancreatic acinar cells[10,14,15]
Pancreatic hormones/secretagogues/neurotransmitters
Carbachol stimulated PAK1 in Cos7 cells No data[92]
Endothelin did not activate group I PAKs in myocytesNo data[93]
No dataActivation of some GPCRs, such as those for ß-adrenergic agents, prostaglandins and α-MSH, can stimulate PAK4 activation via cAMP in HEK293 cells, B16 melanoma cells and MCF7 [94,95,96]
No dataDifferent hormones can activate PAK4, such as thyroid-stimulating hormones in papillary thyroid cancer; C-X-C motif chemokine 12 in prostate cancer; and α-MSH in B16 melanoma cells[96,97,98]
Pancreatic growth factors
Insulin did not stimulate PAK1/PAK2 in NIH-3T3 cellsInsulin activates PAK4 in epithelial cells[99,100,101,102]
No dataIGF-1 can active PAK4 [9,29]
No dataHGF activates PAK4 in epithelial cells [100,101,102]
EGF activated PAK2 in mouse skin epidermal cells and PAK1 in Cos7 cellsEGF activates PAK4 in epithelial cells [92,100,101,102,103]
bFGF stimulated PAK1/PAK2 phosphorylation in NIH-3T3 cells and stimulated cell growth by activating PAK1/PAK2 in PC-12 cells No data[99,104,105,106]
PDGF stimulated PAK1/PAK2 phosphorylation in NIH-3T3 cellsPDGF can active PAK4 [9,29,99]
Group I PAKs are activated in a PLC-dependent manner by angiotensin II in vascular smooth muscle cells, gastrin in colorectal cancer cells and colorectal mucosa cellsNo data[107,108]
Group I PAKs are activated in a PLC-dependent manner by gastrin in colorectal cancer cells and colorectal mucosa cells [109,110]
Group I PAKs are activated by Rac1, which is a PAK activator in other tissues, as well as group I PAKs’ activation by muscarinic cholinergic agents in fibroblasts or neuroblastoma cells and in smooth muscle cellsNo data[16,92,111,112]
Post-receptor activators
No data8-Br-cAMP activated Cdc42 in human mesangial cells, which is the principal upstream activator of PAK4[1,2,6,8,27,28,113]
No dataForskolin can activate PAK4 in papillary thyroid cells and in prostate cancer cells[97,114]
Differences with pancreatic acinar cells
Pancreatic hormones/secretagogues/neurotransmitters
Not dataNot data
Pancreatic growth factors
Group I PAKs mediate IGF-1 and insulin signaling in mesothelial cells and in mouse endocrine L cellsNo data[115,116]
HGF regulated PAK1/PAK2 in prostate cancer and epithelial cellsNo data[117]
Post-receptor activators
No dataNo data
Abbreviations: Cos7, monkey kidney fibroblast-like cell line; GPCR, G-protein-coupled receptor; HEK293, human embryonic kidney 293 cell line; B16, melanoma cell line; MCF7, breast cancer cell line; 8-Br-cAMP, 8-Bromoadenosine 3′,5′-cyclic monophosphate sodium salt.
Disclaimer/Publisher’s Note: The statements, opinions and data contained in all publications are solely those of the individual author(s) and contributor(s) and not of MDPI and/or the editor(s). MDPI and/or the editor(s) disclaim responsibility for any injury to people or property resulting from any ideas, methods, instructions or products referred to in the content.

Share and Cite

MDPI and ACS Style

Ramos-Alvarez, I.; Jensen, R.T. The Important Role of p21-Activated Kinases in Pancreatic Exocrine Function. Biology 2025, 14, 113. https://doi.org/10.3390/biology14020113

AMA Style

Ramos-Alvarez I, Jensen RT. The Important Role of p21-Activated Kinases in Pancreatic Exocrine Function. Biology. 2025; 14(2):113. https://doi.org/10.3390/biology14020113

Chicago/Turabian Style

Ramos-Alvarez, Irene, and Robert T. Jensen. 2025. "The Important Role of p21-Activated Kinases in Pancreatic Exocrine Function" Biology 14, no. 2: 113. https://doi.org/10.3390/biology14020113

APA Style

Ramos-Alvarez, I., & Jensen, R. T. (2025). The Important Role of p21-Activated Kinases in Pancreatic Exocrine Function. Biology, 14(2), 113. https://doi.org/10.3390/biology14020113

Note that from the first issue of 2016, this journal uses article numbers instead of page numbers. See further details here.

Article Metrics

Back to TopTop