Heliox at 4 ATA Reduces Error Rates Compared to Trimix and Air, but It Does Not Affect Short-Term Memory in Hyperbaric Conditions
Simple Summary
Abstract
1. Introduction
2. Materials and Methods
2.1. Participants
2.2. Procedure
- Stage I (before)—prior to entering the chamber (1 ATA, ambient air);
- Stage II (4 ATA)—during exposure at 4 ATA while breathing one of the experimental gas mixtures;
- Stage III (after)—following decompression back to 1 ATA (ambient air);
- The breathing gas mixtures administered at 4 ATA were:
- Air (20.8% oxygen, 78% nitrogen);
- Trimix (21.6% oxygen, 36.7% nitrogen, 41.7% helium);
- Heliox (21% oxygen, 79% helium).
Neuropsychological Assessment
2.3. Ethics
2.4. Cognitive Assessment
2.4.1. The Digit Span and Corsi Block Tapping Tasks
2.4.2. The Simon Task
- Reaction time (ms);
- Accuracy (% correct responses);
- The Simon effect, calculated as the mean RT (reaction time) difference between incongruent and congruent trials.
2.5. Data Preparation and Statistical Analysis
3. Results
3.1. General Influence of Hyperbaric Exposure on Cognitive Functioning
3.1.1. Reaction Time (RT)
3.1.2. Attention and Memory Performance
3.2. Differential Effects of Breathing Gas Mixtures
3.2.1. Reaction Time (RT)
3.2.2. Attention and Memory Performance
4. Discussion
Limitations
5. Conclusions
Author Contributions
Funding
Institutional Review Board Statement
Informed Consent Statement
Data Availability Statement
Conflicts of Interest
Abbreviations
| ATA | atmosphere absolute |
| ms | milliseconds |
| msw | metres of seawater |
| pN2 | nitrogen partial pressure |
| RT | reaction time |
References
- Cialoni, D.; Pieri, M.; Balestra, C.; Marroni, A. Dive Risk Factors, Gas Bubble Formation, and Decompression Illness in Recreational SCUBA Diving: Analysis of DAN Europe DSL Data Base. Front. Psychol. 2017, 8, 1587. [Google Scholar] [CrossRef] [PubMed]
- Brubakk, A.; Neuman, T. Bennett and Elliott’s Physiology and Medicine of Diving; Saunders: Philadelphia, PA, USA, 2002; pp. 300–322. ISBN 0702025712. [Google Scholar]
- Kirkland, P.J.; Mathew, D.; Modi, P.; Cooper, J.S. Nitrogen Narcosis in Diving. Available online: https://www.ncbi.nlm.nih.gov/books/NBK470304/ (accessed on 22 November 2025).
- Jain, K.K. Chapter 3. Effects of Diving and High Pressure Environments on the Human Body. In Textbook of Hyperbaric Medicine; Springer International Publishing: Cham, Switzerland, 2016; pp. 22–25. ISBN 9783319471402. [Google Scholar]
- Sharma, R.I.; Marcinkowska, A.B.; Mankowska, N.D.; Waśkow, M.; Kot, J.; Winklewski, P.J. Cognitive Functions in Scuba, Technical and Saturation Diving. Biology 2023, 12, 229. [Google Scholar] [CrossRef] [PubMed]
- Zhao, H.; Liang, K.; Yu, Z.; Wen, Y.; Yu, X.; Xin, J.; Zhang, T.; Zu, X.; Fang, Y. CCR3 Knockdown Attenuates Prolonged Underwater Operations-Induced Cognitive Impairment via Alleviating Microglia-Mediated Neuroinflammation. iScience 2024, 27, 110379. [Google Scholar] [CrossRef] [PubMed]
- Brebeck, A.K.; Deussen, A.; Schmitz-Peiffer, H.; Range, U.; Balestra, C.; Cleveland, S.; Schipke, J.D. Effects of Oxygen-Enriched Air on Cognitive Performance during SCUBA-Diving-An Open-Water Study. Res. Sports Med. 2017, 25, 345–356. [Google Scholar] [CrossRef]
- Kim, M.; Park, J.M. Factors Affecting Cognitive Function According to Gender in Community-Dwelling Elderly Individuals. Epidemiol. Health 2017, 39, e2017054. [Google Scholar] [CrossRef]
- Fothergill, D.M.; Hedges, D.; Morrison, J.B. Effects of CO2 and N2 Partial Pressures on Cognitive and Psychomotor Performance. Undersea Biomed. Res. 1991, 18, 1–19. [Google Scholar]
- Williamson, A.M.; Clarke, B.; Edmonds, C.W. The Influence of Diving Variables on Perceptual and Cognitive Functions in Professional Shallow-Water (Abalone) Divers. Environ. Res. 1989, 50, 93–102. [Google Scholar] [CrossRef]
- Philp, R.B.; Fields, G.N.; Roberts, W.A. Memory Deficit Caused by Compressed Air Equivalent to 36 Meters of Seawater. J. Appl. Psychol. 1989, 74, 443–446. [Google Scholar] [CrossRef]
- Sharma, R.I.; Mankowska, N.D.; Marcinkowska, A.B.; Winklewski, P.J.; Kot, J. Critical Flicker Fusion Frequency Results during Oxygen Decompression in Standard HBOT Session—Observational Study. Int. Marit. Health 2024, 75, 167–176. [Google Scholar] [CrossRef]
- Dunworth, S.A.; Natoli, M.J.; Cooter, M.; Cherry, A.D.; Peacher, D.F.; Potter, J.F.; Wester, T.E.; Freiberger, J.J.; Moon, R.E. Hypercapnia in Diving: A Review of CO2 Retention in Submersed Exercise at Depth. Undersea Hyperb. Med. 2017, 44, 191–209. [Google Scholar] [CrossRef]
- Lezak, M.D.; Howieson, D.B.; Bigler, E.D.; Tranel, D. Neuropsychological Assessment, 5th ed.; Lezak, M.D., Howieson, D.B., Bigler, E.D., Tranel, D., Eds.; Oxford University Press: New York, NY, USA, 2012; ISBN 0195395522. [Google Scholar]
- Lorcery, A.; André, N.; Benraïss, A.; Pingault, M.; Mirabelli, F.; Audiffren, M. Engagement of Mental Effort in Response to Mental Fatigue: A Psychophysiological Analysis. Psychol. Sport. Exerc. 2024, 74, 102660. [Google Scholar] [CrossRef] [PubMed]
- Ferreira, L.G.; Krajnak, J.; Paludo, A.C.; Gimunova, M.; Svobodová, L.; Stein, A.M. Effect of Exercise Detraining in Cognitive Functions of Older Adults: A Systematic Review. Arch. Gerontol. Geriatr. 2024, 125, 105485. [Google Scholar] [CrossRef] [PubMed]
- Chen, J.; Zhang, F.; Zhao, L.; Cheng, C.; Zhong, R.; Dong, C.; Le, W. Hyperbaric Oxygen Ameliorates Cognitive Impairment in Patients with Alzheimer’s Disease and Amnestic Mild Cognitive Impairment. Alzheimers Dement. 2020, 6, e12030. [Google Scholar] [CrossRef] [PubMed]
- Tsai, F.H.; Wu, W.L.; Liang, J.M.; Hsu, H.T.; Chen, T.Y. Anxiety Impact on Scuba Performance and Underwater Cognitive Processing Ability. Diving Hyperb. Med. 2020, 50, 130–134. [Google Scholar] [CrossRef]
- Bennett, M.H.; Trytko, B.; Jonker, B. Hyperbaric Oxygen Therapy for the Adjunctive Treatment of Traumatic Brain Injury. Cochrane Database Syst. Rev. 2012, 12, CD004609. [Google Scholar] [CrossRef]
- Eg, W.; Baugh, L.M.; Kabban, C.S.; Richards, M.F.; Prye, J. Cognitive Function in a Traumatic Brain Injury Hyperbaric Oxygen Randomized Trial. Undersea Hyperb. Med. 2015, 42, 313–332. [Google Scholar]
- Snyder, B.; Simone, S.M.; Giovannetti, T.; Floyd, T.F. Cerebral Hypoxia: Its Role in Age-Related Chronic and Acute Cognitive Dysfunction. Anesth. Analg. 2021, 132, 1502–1513. [Google Scholar] [CrossRef]
- Frankenhaeuser, M.; Graff-Lonnevig, V.; Hesser, C.M. Effects on Psychomotor Functions of Different Nitrogen-Oxygen Gas Mixtures at Increased Ambient Pressures. Acta Physiol. Scand. 1963, 59, 400–409. [Google Scholar] [CrossRef]
- Wang, X.; Cui, L.; Ji, X. Cognitive Impairment Caused by Hypoxia: From Clinical Evidences to Molecular Mechanisms. Metab. Brain Dis. 2022, 37, 51–66. [Google Scholar] [CrossRef]
- Malle, C.; Quinette, P.; Laisney, M.; Bourrilhon, C.; Boissin, J.; Desgranges, B.; Eustache, F.; Piérard, C. Working Memory Impairment in Pilots Exposed to Acute Hypobaric Hypoxia. Aviat. Space Environ. Med. 2013, 84, 773–779. [Google Scholar] [CrossRef]
- Legg, S.J.; Gilbey, A.; Hill, S.; Raman, A.; Dubray, A.; Iremonger, G.; Mündel, T. Effects of Mild Hypoxia in Aviation on Mood and Complex Cognition. Appl. Ergon. 2016, 53, 357–363. [Google Scholar] [CrossRef] [PubMed]
- Stoet, G. PsyToolkit: A Novel Web-Based Method for Running Online Questionnaires and Reaction-Time Experiments. Teach. Psychol. 2017, 44, 24–31. [Google Scholar] [CrossRef]
- Stoet, G. PsyToolkit: A Software Package for Programming Psychological Experiments Using Linux. Behav. Res. Methods 2010, 42, 1096–1104. [Google Scholar] [CrossRef] [PubMed]
- Kessels, R.P.C.; Van Zandvoort, M.J.E.; Postma, A.; Kappelle, L.J.; De Haan, E.H.F. The Corsi Block-Tapping Task: Standardization and Normative Data. Appl. Neuropsychol. 2000, 7, 252–258. [Google Scholar] [CrossRef]
- Miller, G.A. The Magical Number Seven, plus or Minus Two: Some Limits on Our Capacity for Processing Information. Psychol. Rev. 1956, 63, 81–97. [Google Scholar] [CrossRef]
- Corsi, P.M. Human Memory and the Medial Temporal Region of the Brain. Diss. Abstr. Int. 1972, 34, 891. [Google Scholar]
- Balci, F.; Simen, P.; Niyogi, R.; Saxe, A.; Hughes, J.A.; Holmes, P.; Cohen, J.D. Acquisition of Decision Making Criteria: Reward Rate Ultimately Beats Accuracy. Atten. Percept. Psychophys. 2010, 73, 640–657. [Google Scholar] [CrossRef]
- Philipova, D. Auditory Event-Related Potentials and Reaction Time during Decompression from Hyperbaric Trimix Conditions. Aviat. Space Environ. Med. 1998, 69, 545–550. [Google Scholar]
- Logie, R.H.; Baddeley, A.D. A Trimix Saturation Dive to 660 m. Studies of Cognitive Performance, Mood and Sleep Quality. Ergonomics 1983, 26, 359–374. [Google Scholar] [CrossRef]
- Lee, D.W.; Jung, S.J.; Ju, J.S. The Effects of Heliox Non-Saturation Diving on the Cardiovascular System and Cognitive Functions. Undersea Hyperb. Med. 2020, 47, 93–100. [Google Scholar] [CrossRef]
- Kerem, D.; Melamed, Y.; Moran, A. Alveolar Pco2 during Rest and Exercise in Divers and Non-Divers Breathing O2 at 1 ATA. Undersea Biomed. Res. 1980, 7, 17–26. [Google Scholar] [PubMed]
- Kerem, D.; Daskalovic, Y.; Arieli, R.; Shupak, A. CO2 Retention during Hyperbaric Exercise While Breathing 40/60 Nitrox. Undersea Hyperb. Med. 1995, 22, 339–346. [Google Scholar] [PubMed]
- Freiberger, J.J.; Derrick, B.J.; Natoli, M.J.; Akushevich, I.; Schinazi, E.A.; Parker, C.; Stolp, B.W.; Bennett, P.B.; Vann, R.D.; Dunworth, S.A.S.; et al. Assessment of the Interaction of Hyperbaric N2, CO2, and O2 on Psychomotor Performance in Divers. J. Appl. Physiol. (1985) 2016, 121, 953–964. [Google Scholar] [CrossRef] [PubMed]
- Matity, L.; Burman, F.; Kot, J.; Caruana, J. Effectiveness of Hyperbaric Chamber Ventilation. Diving Hyperb. Med. 2023, 53, 85–91. [Google Scholar] [CrossRef] [PubMed]
- Steinberg, F.; Doppelmayr, M. Executive Functions of Divers Are Selectively Impaired at 20-Meter Water Depth. Front. Psychol. 2017, 8, 1000. [Google Scholar] [CrossRef]
- Karakaya, H.; Aksu, S.; Egi, S.M.; Aydin, S.; Uslu, A. Effects of Hyperbaric Nitrogen Narcosis on Cognitive Performance in Recreational Air SCUBA Divers: An Auditory Event-Related Brain Potentials Study. Ann. Work. Expo. Health 2021, 65, 505–515. [Google Scholar] [CrossRef]
- Tikkinen, J.; Wuorimaa, T.; Siimes, M.A. A Comparison of Simple Reaction Time, Visual Discrimination and Critical Flicker Fusion Frequency in Professional Divers at Elevated Pressure. Diving Hyperb. Med. 2020, 50, 130–134. [Google Scholar]
- Welch, D.B.; Seitz, A.R. Processing Irrelevant Location Information: Practice and Transfer Effects in a Simon Task. PLoS ONE 2013, 8, e64993. [Google Scholar] [CrossRef][Green Version]
- Hobbs, M.; Kneller, W. Anxiety and Psychomotor Performance in Divers on the Surface and Underwater at 40 m. Aviat. Space Environ. Med. 2011, 82, 20–25. [Google Scholar] [CrossRef]
- Simon, J.; Wolf, J.D. Choice Reaction Time As A Function Of Angular Stimulus-Response Correspondence And Age. Ergonomics 1963, 6, 99–105. [Google Scholar] [CrossRef]
- Ahti, P.A.; Wikgren, J. Rapture of the Deep: Gas Narcosis May Impair Decision-Making in Scuba Divers. Diving Hyperb. Med. 2023, 53, 306–311. [Google Scholar] [CrossRef] [PubMed]
- Bennett, P.B.; Poulton, E.C.; Carpenter, A.; Catton, M.J. Efficiency at Sorting Cards in Air and a 20 per Cent Oxygenhelium Mixture at Depths down to 100 Feet and in Enriched Air. Ergonomics 1967, 10, 53–62. [Google Scholar] [CrossRef] [PubMed]
- Kiessling, R.J.; Maag, C.H. Performance Impairment as a Function of Nitrogen Narcosis. J. Appl. Psychol. 1962, 46, 91–95. [Google Scholar] [CrossRef]
- Kowalski, J.T.; Varn, A.; Röttger, S.; SeIdack, S.; Kähler, W.; Gerber, W.-D.; Andrasik, F.; Koch, A. Neuropsychological Deficits in Scuba Divers: An Exploratory Investigation. Undersea Hyperb. Med. 2011, 38, 197–204. [Google Scholar]
- Baddeley, A.D. Influence of Depth on the Manual Dexterity of Free Divers: A Comparison between Open Sea and Pressure Chamber Testing. J. Appl. Psychol. 1966, 50, 81–85. [Google Scholar] [CrossRef]
- Baddeley, A.D.; Levy, B.A. Semantic Coding and Short-Term Memory. J. Exp. Psychol. 1971, 89, 132–136. [Google Scholar] [CrossRef]
- Lempke, L.B.; Oldham, J.R.; Passalugo, S.; Willwerth, S.B.; Berkstresser, B.; Wang, F.; Howell, D.R.; Meehan, W.P. Influential Factors and Preliminary Reference Data for a Clinically Feasible, Functional Reaction Time Assessment: The Standardized Assessment of Reaction Time. J. Athl. Train. 2023, 58, 112–119. [Google Scholar] [CrossRef]
- Williamson, A.M. The Role of Confounding Variables in the Assessment of Neurobehavioural Effects of Chronic Solvent Exposure. Neurotoxicology 1996, 17, 761–767. [Google Scholar]
- Balakrishnan, G.; Uppinakudru, G.; Girwar Singh, G.; Bangera, S.; Dutt Raghavendra, A.; Thangavel, D. A Comparative Study on Visual Choice Reaction Time for Different Colors in Females. Neurol. Res. Int. 2014, 2014, 301473. [Google Scholar] [CrossRef]
- Fahlman, A.; Dromsky, D.M. Dehydration Effects on the Risk of Severe Decompression Sickness in a Swine Model. Aviat. Space Environ. Med. 2006, 77, 102–106. [Google Scholar]
- Zaman, T.; Celebi, A.; Mirasoglu, B.; Toklu, A.S. The Evaluation of In-Chamber Sound Levels during Hyperbaric Oxygen Applications: Results of 41 Centres. Diving Hyperb. Med. 2020, 50, 244–249. [Google Scholar] [CrossRef]
- Van Maanen, L.; Zhang, Y.; De Schryver, M.; Liefooghe, B. The Curve of Learning With and Without Instructions. J. Cogn. 2024, 7, 48. [Google Scholar] [CrossRef]




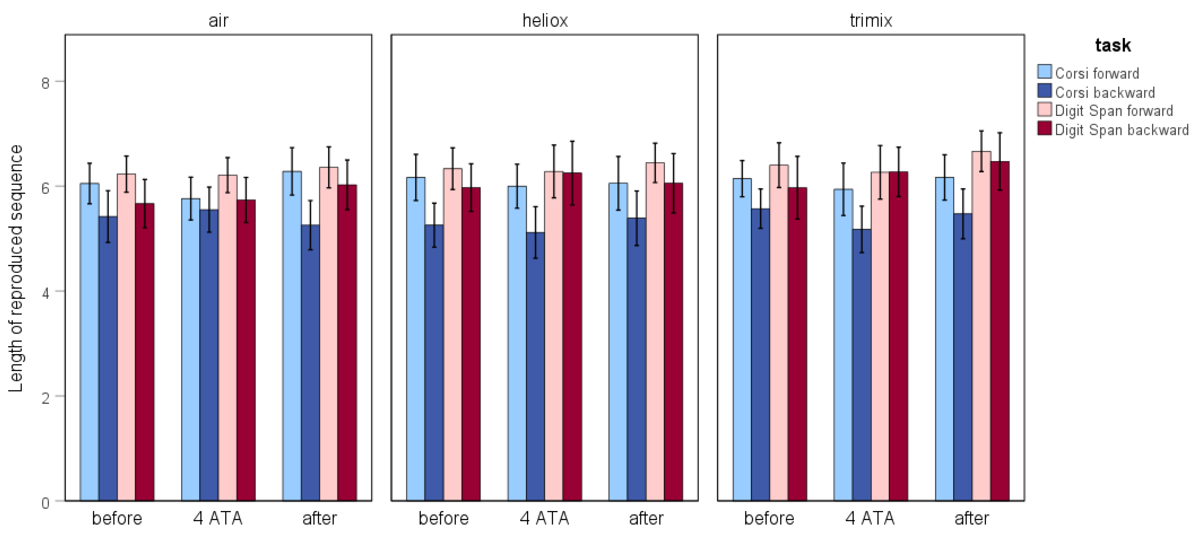
| Task | Air | Heliox | Trimix | ||||||||
|---|---|---|---|---|---|---|---|---|---|---|---|
| Before | 4 ATA | After | Before | 4 ATA | After | Before | 4 ATA | After | |||
| Corsi Block Tapping task | Backward | N | 38 | 38 | 39 | 35 | 34 | 36 | 35 | 34 | 36 |
| M | 5.421 | 5.553 | 5.256 | 5.257 | 5.118 | 5.389 | 5.571 | 5.176 | 5.472 | ||
| SD | 1.500 | 1.309 | 1.446 | 1.221 | 1.409 | 1.536 | 1.092 | 1.267 | 1.404 | ||
| Forward | N | 39 | 38 | 39 | 36 | 32 | 36 | 35 | 34 | 36 | |
| M | 6.051 | 5.763 | 6.282 | 6.167 | 6.000 | 6.056 | 6.143 | 5.941 | 6.167 | ||
| SD | 1.191 | 1.240 | 1.395 | 1.298 | 1.164 | 1.511 | 1.004 | 1.434 | 1.276 | ||
| Digit Span task | Backward | N | 39 | 38 | 39 | 36 | 32 | 36 | 35 | 33 | 36 |
| M | 5.667 | 5.737 | 6.026 | 5.972 | 6.250 | 6.056 | 5.971 | 6.273 | 6.472 | ||
| SD | 1.420 | 1.309 | 1.460 | 1.341 | 1.685 | 1.672 | 1.740 | 1.329 | 1.612 | ||
| Forward | N | 39 | 38 | 39 | 36 | 32 | 36 | 35 | 34 | 36 | |
| M | 6.231 | 6.211 | 6.359 | 6.333 | 6.281 | 6.444 | 6.400 | 6.265 | 6.667 | ||
| SD | 1.063 | 1.018 | 1.203 | 1.171 | 1.397 | 1.107 | 1.241 | 1.463 | 1.146 | ||
| Simon task | Congruent | N | 40 | 39 | 39 | 36 | 32 | 36 | 35 | 34 | 36 |
| M | 811.787 | 809.942 | 680.210 | 726.375 | 750.295 | 644.638 | 698.373 | 716.473 | 602.003 | ||
| SD | 232.453 | 304.307 | 166.732 | 139.661 | 162.228 | 149.820 | 179.273 | 177.056 | 114.224 | ||
| Incongruent | N | 40 | 39 | 39 | 36 | 32 | 36 | 35 | 34 | 36 | |
| M | 853.160 | 867.578 | 737.168 | 788.631 | 808.985 | 714.171 | 754.941 | 770.747 | 663.365 | ||
| SD | 230.922 | 247.570 | 173.335 | 195.972 | 175.134 | 182.647 | 174.470 | 189.063 | 133.611 | ||
| Simon effect | N | 40 | 39 | 39 | 36 | 32 | 36 | 35 | 34 | 36 | |
| M | 69.138 | 69.603 | 87.744 | 47.583 | 88.563 | 69.819 | 44.843 | 70.382 | 72.375 | ||
| SD | 87.483 | 239.714 | 93.229 | 84.425 | 133.390 | 100.031 | 92.923 | 135.303 | 140.725 | ||
Disclaimer/Publisher’s Note: The statements, opinions and data contained in all publications are solely those of the individual author(s) and contributor(s) and not of MDPI and/or the editor(s). MDPI and/or the editor(s) disclaim responsibility for any injury to people or property resulting from any ideas, methods, instructions or products referred to in the content. |
© 2025 by the authors. Licensee MDPI, Basel, Switzerland. This article is an open access article distributed under the terms and conditions of the Creative Commons Attribution (CC BY) license (https://creativecommons.org/licenses/by/4.0/).
Share and Cite
Sharma, R.I.; Mankowska, N.D.; Marcinkowska, A.B.; Winklewski, P.J.; Kot, J. Heliox at 4 ATA Reduces Error Rates Compared to Trimix and Air, but It Does Not Affect Short-Term Memory in Hyperbaric Conditions. Biology 2025, 14, 1748. https://doi.org/10.3390/biology14121748
Sharma RI, Mankowska ND, Marcinkowska AB, Winklewski PJ, Kot J. Heliox at 4 ATA Reduces Error Rates Compared to Trimix and Air, but It Does Not Affect Short-Term Memory in Hyperbaric Conditions. Biology. 2025; 14(12):1748. https://doi.org/10.3390/biology14121748
Chicago/Turabian StyleSharma, Rita I., Natalia D. Mankowska, Anna B. Marcinkowska, Pawel J. Winklewski, and Jacek Kot. 2025. "Heliox at 4 ATA Reduces Error Rates Compared to Trimix and Air, but It Does Not Affect Short-Term Memory in Hyperbaric Conditions" Biology 14, no. 12: 1748. https://doi.org/10.3390/biology14121748
APA StyleSharma, R. I., Mankowska, N. D., Marcinkowska, A. B., Winklewski, P. J., & Kot, J. (2025). Heliox at 4 ATA Reduces Error Rates Compared to Trimix and Air, but It Does Not Affect Short-Term Memory in Hyperbaric Conditions. Biology, 14(12), 1748. https://doi.org/10.3390/biology14121748

