Enhancing Maize Stress Tolerance and Productivity through Synergistic Application of Bacillus velezensis A6 and Lamiales Plant Extract, Biostimulants Suitable for Organic Farming
Abstract
Simple Summary
Abstract
1. Introduction
2. Materials and Methods
2.1. Biostimulant Treatments
2.2. Experimental Pilot Field Trial Design
2.3. Growth, Quality, and Yield/Production Parameter Evaluation
2.4. Fumonisin Determination and Quantification
2.5. Statistical Analysis
3. Results
3.1. Maize Growth Development
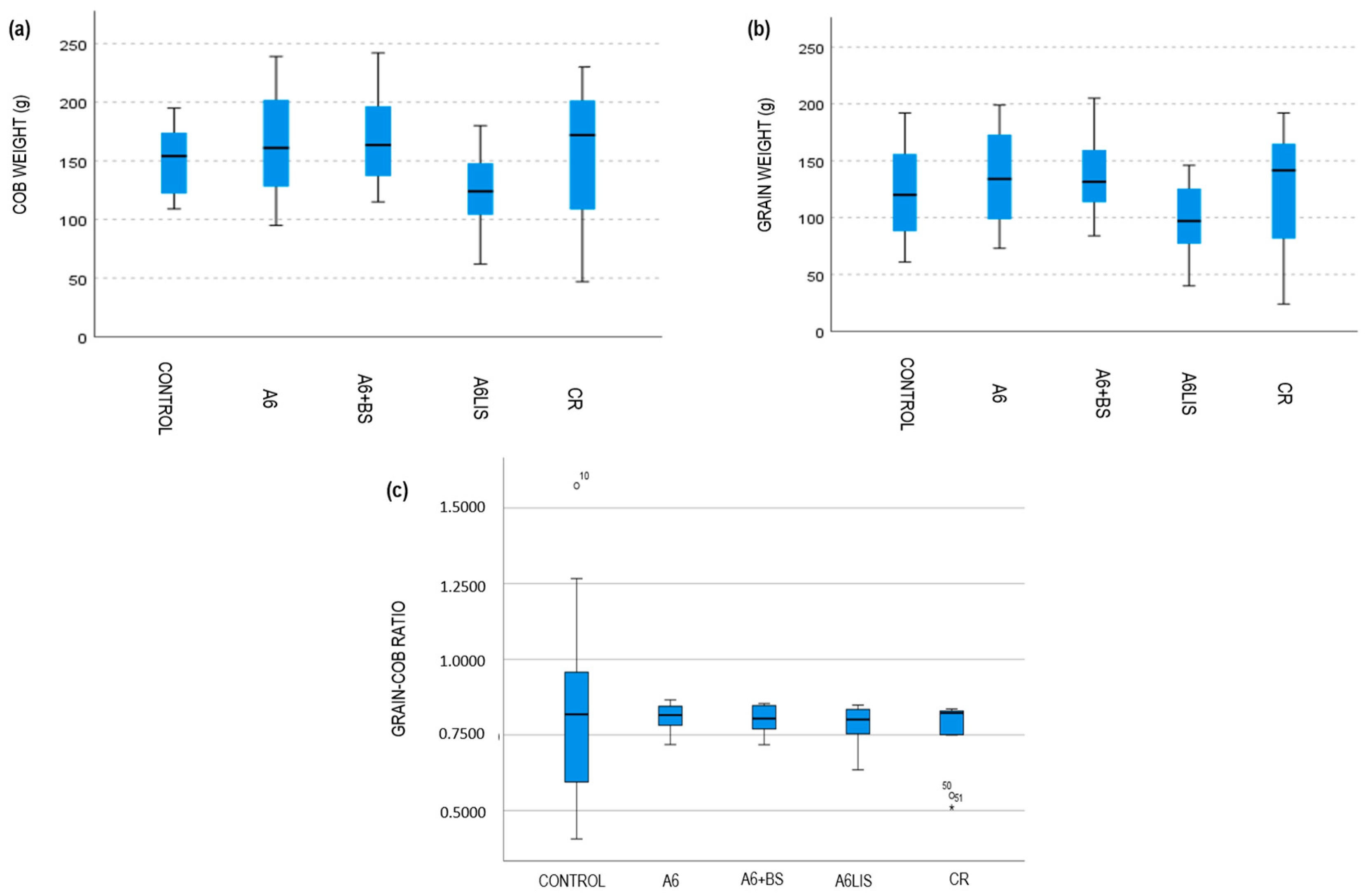
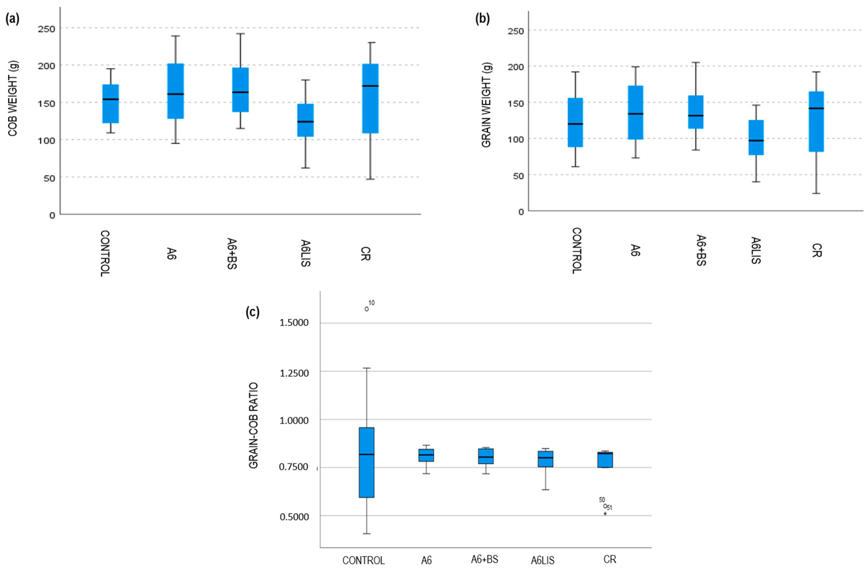
3.2. Corncob Weight, Grain Weight, and Grain–Cob Ratio
3.3. Average Maize Yield
3.4. Fumonisin Content Reduction
4. Discussion
5. Conclusions
Author Contributions
Funding
Institutional Review Board Statement
Informed Consent Statement
Data Availability Statement
Acknowledgments
Conflicts of Interest
References
- Erenstein, O.; Jaleta, M.; Sonder, K.; Mottaleb, K.; Prasanna, B.M. Global maize production, consumption and trade: Trends and R&D implications. Food Secur. 2022, 14, 1295–1319. [Google Scholar] [CrossRef]
- Shiferaw, B.; Prasanna, B.M.; Hellin, J.; Bänziger, M. Crops that feed the world 6. Past successes and future challenges to the role played by maize in global food security. Food Secur. 2011, 3, 307–327. [Google Scholar] [CrossRef]
- Ranum, P.; Peña-Rosas, J.P.; Garcia-Casal, M.N. Global maize production, utilization, and consumption. Ann. N. Y. Acad. Sci. 2014, 1312, 105–112. [Google Scholar] [CrossRef] [PubMed]
- Ostrander, B.M. Maize Starch for Industrial Applications. In Industrial Crops: Breeding for BioEnergy and Bioproducts; Cruz, V.M.V., Dierig, D.A., Eds.; Springer: New York, NY, USA, 2015; pp. 171–189. [Google Scholar] [CrossRef]
- FAOSTAT [Internet]. 2021. Available online: https://www.fao.org/faostat/en/#home (accessed on 10 August 2023).
- Commission Regulation (EU) 2023/915 of 25 April 2023 on Maximum Levels for Certain Contaminants in Food. 2023. Available online: http://data.europa.eu/eli/reg/2023/915/2023-08-10/eng (accessed on 10 August 2023).
- Alexandratos, N.; Bruinsma, J. World Agriculture towards 2030/2050: The 2012 Revision. AgEcon Search. 2012. Available online: http://ageconsearch.umn.edu/record/288998 (accessed on 10 August 2023).
- Lobell, D.B.; Schlenker, W.; Costa-Roberts, J. Climate trends and global crop production since 1980. Science 2011, 333, 616–620. [Google Scholar] [CrossRef] [PubMed]
- Bita, C.; Gerats, T. Plant tolerance to high temperature in a changing environment: Scientific fundamentals and production of heat stress-tolerant crops. Front. Plant Sci. 2013, 4, 273. [Google Scholar] [CrossRef] [PubMed]
- Hasegawa, P.M.; Bressan, R.A.; Zhu, J.K.; Bohnert, H.J. Plant cellular and molecular responses to high salinity. Annu. Rev. Plant Physiol. Plant Mol. Biol. 2000, 51, 463–499. [Google Scholar] [CrossRef]
- Malhi, G.S.; Kaur, M.; Kaushik, P.; Alyemeni, M.N.; Alsahli, A.A.; Ahmad, P. Arbuscular mycorrhiza in combating abiotic stresses in vegetables: An eco-friendly approach. Saudi J. Biol. Sci. 2021, 28, 1465–1476. Available online: https://www.ncbi.nlm.nih.gov/pmc/articles/PMC7878692/ (accessed on 10 August 2023). [CrossRef]
- Bray, E.A. Plant responses to water deficit. Trends Plant Sci. 1997, 2, 48–54. Available online: https://www.sciencedirect.com/science/article/pii/S1360138597825629 (accessed on 10 August 2023). [CrossRef]
- dos Reis, S.P.; Lima, A.M.; de Souza, C.R.B. Recent Molecular Advances on Downstream Plant Responses to Abiotic Stress. Int. J. Mol. Sci. 2012, 13, 8628–8647. Available online: https://www.ncbi.nlm.nih.gov/pmc/articles/PMC3430256/ (accessed on 10 August 2023). [CrossRef]
- Fujita, M.; Fujita, Y.; Noutoshi, Y.; Takahashi, F.; Narusaka, Y.; Yamaguchi-Shinozaki, K.; Shinozaki, K. Crosstalk between abiotic and biotic stress responses: A current view from the points of convergence in the stress signaling networks. Curr. Opin. Plant Biol. 2006, 9, 436–442. Available online: https://www.sciencedirect.com/science/article/pii/S1369526606000884 (accessed on 10 August 2023). [CrossRef]
- Ingram, J.; Bartels, D. The molecular basis of dehydration tolerance in plants. Annu. Rev. Plant Physiol. Plant Mol. Biol. 1996, 47, 377–403. [Google Scholar] [CrossRef] [PubMed]
- Massad, T.J.; Dyer, L.A.; Vega, C.G. Costs of Defense and a Test of the Carbon-Nutrient Balance and Growth-Differentiation Balance Hypotheses for Two Co-Occurring Classes of Plant Defense. PLoS ONE 2012, 7, 47554. Available online: https://journals.plos.org/plosone/article?id=10.1371/journal.pone.0047554 (accessed on 10 August 2023). [CrossRef] [PubMed]
- Shinozaki, K.; Yamaguchi-Shinozaki, K. Molecular responses to dehydration and low temperature: Differences and cross-talk between two stress signaling pathways. Curr. Opin. Plant Biol. 2000, 3, 217–223. [Google Scholar] [CrossRef]
- Balfagón, D.; Zandalinas, S.I.; Mittler, R.; Gómez-Cadenas, A. High temperatures modify plant responses to abiotic stress conditions. Physiol. Plant. 2020, 170, 335–344. [Google Scholar] [CrossRef]
- Zandalinas, S.I.; Mittler, R.; Balfagón, D.; Arbona, V.; Gómez-Cadenas, A. Plant adaptations to the combination of drought and high temperatures. Physiol. Plant. 2018, 162, 2–12. [Google Scholar] [CrossRef]
- Tadeo Serrano, F.R.; Gómez Cadenas, A. Fisiología de las plantas y el estrés. In Fundamentos de Fisiología Vegetal; McGraw-Hill Interamericana de España: Madrid, Spain, 2008; pp. 577–597. ISBN 978-84-481-5168-3. [Google Scholar]
- Zhang, Y.; Xu, J.; Li, R.; Ge, Y.; Li, Y.; Li, R. Plants’ Response to Abiotic Stress: Mechanisms and Strategies. Int. J. Mol. Sci. 2023, 24, 10915. [Google Scholar] [CrossRef]
- du Jardin, P. Plant biostimulants: Definition, concept, main categories and regulation. Sci. Hortic. 2015, 196, 3–14. Available online: https://www.sciencedirect.com/science/article/pii/S0304423815301850 (accessed on 10 August 2023). [CrossRef]
- Garcia-Mina, J.M.; Hadavi, E. Editorial: Organic-Based Foliar Biostimulation and Nutrition in Plants. Front. Plant Sci. 2016, 6, 1131. [Google Scholar] [CrossRef] [PubMed]
- Halpern, M.; Bar-Tal, A.; Ofek, M.; Minz, D.; Müller, T.; Yermiyahu, U. The Use of Biostimulants for Enhancing Nutrient Uptake. Adv. Agron. 2015, 130, 141–174. [Google Scholar]
- Morcillo, R.; Manzanera, M. The Effects of Plant-Associated Bacterial Exopolysaccharides on Plant Abiotic Stress Tolerance. Metabolites 2021, 11, 337. [Google Scholar] [CrossRef]
- Vílchez, J.I.; Niehaus, K.; Dowling, D.N.; González-López, J.; Manzanera, M. Protection of Pepper Plants from Drought by Microbacterium sp. 3J1 by Modulation of the Plant’s Glutamine and α-ketoglutarate Content: A Comparative Metabolomics Approach. Front. Microbiol. 2018, 9, 284. [Google Scholar] [CrossRef] [PubMed]
- Jha, C.K.; Saraf, M. Hormonal Signaling by PGPR Improves Plant Health Under Stress Conditions. In Bacteria in Agrobiology: Stress Management; Maheshwari, D.K., Ed.; Springer: Berlin/Heidelberg, Germany, 2012; pp. 119–140. [Google Scholar] [CrossRef]
- Tsukanova, K.A.; Сhеbоtаr, V.К.; Meyer, J.J.M.; Bibikova, T.N. Effect of plant growth-promoting Rhizobacteria on plant hormone homeostasis. S. Afr. J. Bot. 2017, 113, 91–102. Available online: https://www.sciencedirect.com/science/article/pii/S0254629916342442 (accessed on 10 August 2023). [CrossRef]
- Johnson, R.; Joel, J.M.; Puthur, J.T. Biostimulants: The Futuristic Sustainable Approach for Alleviating Crop Productivity and Abiotic Stress Tolerance. J. Plant Growth Regul. 2023, 43, 659–674. [Google Scholar] [CrossRef]
- Bittencourt, P.P.; Alves, A.F.; Ferreira, M.B.; da Silva Irineu, L.E.S.; Pinto, V.B.; Olivares, F.L. Mechanisms and Applications of Bacterial Inoculants in Plant Drought Stress Tolerance. Microorganisms 2023, 11, 502. [Google Scholar] [CrossRef]
- Barros-Rodríguez, A.; Pacheco, P.; Peñas-Corte, M.; Fernández-González, A.J.; Cobo-Díaz, J.F.; Enrique-Cruz, Y.; Manzanera, M. Comparative Study of Bacillus-Based Plant Biofertilizers: A Proposed Index. Biology 2024, 13, 668. [Google Scholar] [CrossRef]
- Rodríguez, J.R.; Peñas-Corte, M.; Nieto del Río, J.; Navarro, J.R.F.; Rabat, L.P. Caso de estudio de economía circular: El desarrollo de un nuevo bioestimulante fisiológico a partir de sub-productos del olivar. C3-BIOECONOMY Circ. Sustain. Bioecon. 2023, 4, 113–130. Available online: https://journals.uco.es/bioeconomy/article/view/16238 (accessed on 10 August 2023). [CrossRef]
- Montaño Ramos, Ó.; Peñas de la Corte, M.; Ochoa, M.; García Gutiérrez, R.; Nieto, J.; Fernandez Navarro, J.R. Efecto de un nuevo biorregulador a partir de fitoquímicos con capacidad de reducir el estrés e incrementar el peso específico del maíz (‘Zea mays, L.’). Phytoma Esp. Rev. Prof. Sanid. Veg. 2021, 334, 154. Available online: https://dialnet.unirioja.es/servlet/articulo?codigo=8406135 (accessed on 10 August 2023).
- Bolaños, J.; Edmeades, G.O. La fenología del maíz. Sint. Result. Exp. PRM 1993, 4, 251–261. [Google Scholar]
- Centro International de Mejoramiento de Maíz y Trigo. Manejo de los Ensayos e Informe de los Datos Para el Programa de Ensayos Internacionales de Maíz del CIMMYT [Internet]. CIMMYT. 1995. Available online: https://repository.cimmyt.org/handle/10883/3792 (accessed on 10 August 2023).
- Alori, E.T.; Babalola, O.O.; Prigent-Combaret, C. Impacts of Microbial Inoculants on the Growth and Yield of Maize Plant. Open Agric. J. 2019, 13, 1–8. Available online: https://openagriculturejournal.com/VOLUME/13/PAGE/1/FULLTEXT/ (accessed on 10 August 2023). [CrossRef]
- Yenge, G.B.; Kad, V.P.; Nalawade, S.M. Physical Properties of Maize (Zea mays L.) Grain. J. Krishi Vigyan 2018, 7, 125–128. [Google Scholar] [CrossRef]
- Kljak, K.; Novaković, K.; Zurak, D.; Jareš, M.; Pamić, S.; Duvnjak, M.; Grbeša, D. Physical properties of kernels from modern maize hybrids used in Croatia. J. Cent. Eur. Agric. 2020, 21, 543–553. [Google Scholar] [CrossRef]
- Senyuva, H.; Ozcan, S.; Cimen, D.; Gilbert, J. Determination of Fumonisins B1 and B2 in Corn by Liquid Chromatography/Mass Spectrometry with Immunoaffinity Column Cleanup: Single-Laboratory Method Validation. J. AOAC Int. 2008, 91, 598–606. [Google Scholar] [CrossRef]
- Fan, B.; Wang, C.; Song, X.; Ding, X.; Wu, L.; Wu, H.; Xuewen, G.; Rainer, B. Bacillus velezensis FZB42 in 2018: The Gram-Positive Model Strain for Plant Growth Promotion and Biocontrol. Front. Microbiol. 2018, 9, 2491. [Google Scholar] [CrossRef]
- Meng, Q.; Jiang, H.; Hao, J.J. Effects of Bacillus velezensis strain BAC03 in promoting plant growth. Biol. Control. 2016, 98, 18–26. Available online: https://www.sciencedirect.com/science/article/pii/S1049964416300391 (accessed on 10 August 2023). [CrossRef]
- Mosela, M.; Andrade, G.; Massucato, L.R.; de Araújo Almeida, S.R.; Nogueira, A.F.; de Lima Filho, R.B.; Douglas Mariani, Z.; Silas, M.; Allan Yukio, H.; Gabriel Danilo, S.; et al. Bacillus velezensis strain Ag75 as a new multifunctional agent for biocontrol, phosphate solubilization and growth promotion in maize and soybean crops. Sci. Rep. 2022, 12, 15284. Available online: https://www.nature.com/articles/s41598-022-19515-8 (accessed on 10 August 2023). [CrossRef]
- Bujor, O.C.; Talmaciu, A.; Volf, I.; Popa, V. Biorefining to recover aromatic compounds with biological properties. Tappi J. 2015, 14, 187–193. [Google Scholar] [CrossRef]
- Yangui, T.; Sayadi, S.; Chakroun, H.; Dhouib, A. Effect of hydroxytyrosol-rich preparations on phenolic-linked antioxidant activity of seeds. Eng. Life Sci. 2011, 11, 511–516. Available online: https://ui.adsabs.harvard.edu/abs/2011EngLS..11..511Y (accessed on 10 August 2023). [CrossRef]
- Abdelgawad, H.; Abdelhamed, M.; Ibrahim, O. Antioxidative effects of the acetone fraction and vanillic acid from Chenopodium murale on tomato plants. Weed Biol. Manag. 2010, 10, 64–72. [Google Scholar]
- Hayat, S.; Ahmad, H.; Ali, M.; Hayat, K.; Khan, M.A.; Cheng, Z. Aqueous Garlic Extract as a Plant Biostimulant Enhances Physiology, Improves Crop Quality and Metabolite Abundance, and Primes the Defense Responses of Receiver Plants. Appl. Sci. 2018, 8, 1505. [Google Scholar] [CrossRef]
- Bulgari, R.; Cocetta, G.; Trivellini, A.; Vernieri, P.; Ferrante, A. Biostimulants and crop responses: A review. Biol. Agric. Hortic. 2015, 31, 1–17. [Google Scholar] [CrossRef]
- Carillo, P.; Colla, G.; El-Nakhel, C.; Bonini, P.; D’Amelia, L.; Dell’Aversana, E.; Pannico, A.; Giordano, M.; Sifola, M.I.; Kyriacou, M.C.; et al. Biostimulant Application with a Tropical Plant Extract Enhances Corchorus olitorius Adaptation to Sub-Optimal Nutrient Regimens by Improving Physiological Parameters. Agronomy 2019, 9, 249. [Google Scholar] [CrossRef]
- Regni, L.; Del Buono, D.; Miras-Moreno, B.; Senizza, B.; Lucini, L.; Trevisan, M.; Morelli Venturi, D.; Costantino, F.; Proietti, P. Biostimulant Effects of an Aqueous Extract of Duckweed (Lemna minor L.) on Physiological and Biochemical Traits in the Olive Tree. Agriculture 2021, 11, 1299. [Google Scholar] [CrossRef]
- Asif, A.; Ali, M.; Qadir, M.; Karthikeyan, R.; Singh, Z.; Khangura, R.; Di Gioia, F.; Ahmed, Z.F.R. Enhancing crop resilience by harnessing the synergistic effects of biostimulants against abiotic stress. Front. Plant Sci. 2023, 14, 127611. [Google Scholar] [CrossRef] [PubMed]
- Benito, P.; Ligorio, D.; Bellón, J.; Yenush, L.; Mulet, J.M. A fast method to evaluate in a combinatorial manner the synergistic effect of different biostimulants for promoting growth or tolerance against abiotic stress. Plant Methods 2022, 18, 111. [Google Scholar] [CrossRef]
- Schmidt, W. Mechanisms and regulation of reduction-based iron uptake in plants. New Phytol. 1999, 141, 1–26. [Google Scholar] [CrossRef]
- Jin, Y.; Zhu, H.; Luo, S.; Yang, W.; Zhang, L.; Li, S.; Jin, Q.; Cao, Q.; Sun, S.; Xiao, M. Role of Maize Root Exudates in Promotion of Colonization of Bacillus velezensis Strain S3-1 in Rhizosphere Soil and Root Tissue. Curr. Microbiol. 2019, 76, 855–862. [Google Scholar] [CrossRef]
- Francini, A.; Giro, A.; Ferrante, A. Biochemical and Molecular Regulation of Phenylpropanoids Pathway Under Abiotic Stresses. In Plant Signaling Molecule: Role and Regulation under Stressful Environments; Iqbal, M., Khan, R., Reddy, P.S., Ferrante, A., Khan, N.A., Eds.; Woodhead Publishing: New Delhi, India, 2019; pp. 183–192. Available online: https://linkinghub.elsevier.com/retrieve/pii/B9780128164518000113 (accessed on 10 August 2023).
- Etesami, H.; Jeong, B.R.; Glick, B.R. Potential use of Bacillus spp. as an effective biostimulant against abiotic stresses in crops—A review. Curr. Res. Biotechnol. 2023, 5, 100128. Available online: https://www.sciencedirect.com/science/article/pii/S2590262823000102 (accessed on 10 August 2023). [CrossRef]
- Chaudhary, P.; Khati, P.; Chaudhary, A.; Gangola, S.; Kumar, R.; Sharma, A. Bioinoculation using indigenous Bacillus spp. improves growth and yield of Zea mays under the influence of nanozeolite. 3 Biotech 2021, 11, 11. [Google Scholar] [CrossRef]
- Shah, Z.M.; Naz, R.; Naz, S.; Zahoor, S.; Nosheen, A.; Shahid, M.; Anwar, Z.; Keyani, R. Incorporation of zinc sulfide nanoparticles, Acinetobacter pittii and Bacillus velezensi to improve tomato plant growth, biochemical attributes and resistance against Rhizoctonia solani. Plant Physiol. Biochem. 2023, 202, 107909. Available online: https://www.sciencedirect.com/science/article/pii/S0981942823004205 (accessed on 10 August 2023). [CrossRef]
- Santos, A.M.; Soares, A.; Luz, J.; Cordeiro, C.; Sousa Silva, M.; Dias, T.; Melo, J.; Cruz, C.; Carvalho, L. Microbial Interactions as a Sustainable Tool for Enhancing PGPR Antagonism against Phytopathogenic Fungi. Sustainability 2024, 16, 2006. [Google Scholar] [CrossRef]
- Dobrzyński, J.; Jakubowska, Z.; Kulkova, I.; Kowalczyk, P.; Kramkowski, K. Biocontrol of fungal phytopathogens by Bacillus pumilus. Front. Microbiol. 2023, 14, 1194606. [Google Scholar] [CrossRef] [PubMed]






| Height (cm) | ||||
|---|---|---|---|---|
| Treatments | Mean | Median | Standard Deviation | Variation Coefficient |
| Control | 180.250 | 179.500 | 10.512 | 0.058 |
| A6 | 236.130 | 235.500 | 13.196 | 0.055 |
| A6 + BS | 239.500 | 240.000 | 14.412 | 0.060 |
| A6LIS | 190.130 | 191.000 | 13.389 | 0.070 |
| CR | 192.500 | 189.000 | 14.081 | 0.073 |
| Treatments | Variable | Mean | Median | Standard Deviation | Variation Coefficient |
|---|---|---|---|---|---|
| Control | Cob weight | 150.330 | 154.000 | 29.203 | 0.194 |
| Grain weight | 121.580 | 120.000 | 40.603 | 0.333 | |
| Grain–cob ratio | 0.838 | 0.818 | 0.336 | 0.401 | |
| A6 | Cob weight | 162.330 | 161.000 | 46.257 | 0.284 |
| Grain weight | 132.670 | 134.000 | 42.907 | 0.323 | |
| Grain–cob ratio | 0.808 | 0.816 | 0.045 | 0.055 | |
| A6 + BS | Cob weight | 169.250 | 163.500 | 42.180 | 0.249 |
| Grain weight | 137.330 | 131.500 | 39.213 | 0.285 | |
| Grain–cob ratio | 0.805 | 0.804 | 0.044 | 0.054 | |
| A6LIS | Cob weight | 124.330 | 124.000 | 31.586 | 0.173 |
| Grain weight | 98.080 | 97.000 | 30.435 | 0.310 | |
| Grain–cob ratio | 0.777 | 0.801 | 0.073 | 0.094 | |
| CR | Cob weight | 153.670 | 172.000 | 62.144 | 0.404 |
| Grain weight | 122.830 | 141.500 | 56.809 | 0.462 | |
| Grain–cob ratio | 0.764 | 0.823 | 0.113 | 0.148 |
| Treatments | Variable | Units | Mean | Median | Standard Deviation | Variation Coefficient |
|---|---|---|---|---|---|---|
| Control | Specific weight | kg/hL | 71.625 | 71.850 | 5.061 | 0.071 |
| Moisture | % | 12.000 | 12.100 | 0.200 | 0.017 | |
| TKW | g | 346.750 | 345.500 | 26.349 | 0.076 | |
| Production | kg/ha | 2567.381 | 2612.143 | 357.056 | 0.139 | |
| A6 | Specific weight | kg/hL | 76.475 | 77.600 | 2.390 | 0.031 |
| Moisture | % | 14.125 | 14.100 | 0.450 | 0.032 | |
| TKW | g | 386.500 | 387.000 | 11.705 | 0.030 | |
| Production | kg/ha | 3642.857 | 3242.857 | 1006.203 | 0.276 | |
| A6 + BS | Specific weight | kg/hL | 76.075 | 75.850 | 2.626 | 0.035 |
| Moisture | % | 14.400 | 14.400 | 0.489 | 0.034 | |
| TKW | g | 377.000 | 374.000 | 7.572 | 0.020 | |
| Production | kg/ha | 4183.333 | 383.333 | 1397.583 | 0.334 | |
| A6LIS | Specific weight | kg/hL | 72.700 | 74.150 | 7.041 | 0.097 |
| Moisture | % | 14.000 | 14.400 | 1.202 | 0.086 | |
| TKW | g | 369.750 | 375.500 | 15.650 | 0.042 | |
| Production | kg/ha | 1727.976 | 1753.571 | 623.705 | 0.361 | |
| CR | Specific weight | kg/hL | 74.225 | 75.200 | 2.367 | 0.032 |
| Moisture | % | 14.725 | 14.850 | 1.056 | 0.072 | |
| TKW | g | 370.250 | 370.000 | 8.732 | 0.024 | |
| Production | kg/ha | 3246.667 | 3248.095 | 521.119 | 0.161 |
| Fumonisins (µg/Kg) | ||||
|---|---|---|---|---|
| Treatments | Mean | Median | Standard Deviation | Variation Coefficient |
| Control | 6675.000 | 7200.000 | 3933.934 | 0.589 |
| A6 | 3182.500 | 3850.000 | 1462.609 | 0.460 |
| A6 + BS | 3882.500 | 4400.000 | 2708.116 | 0.698 |
| A6LIS | 5550.000 | 5300.000 | 3488.553 | 0.629 |
| CR | 5375.000 | 5200.000 | 3508.442 | 0.653 |
Disclaimer/Publisher’s Note: The statements, opinions and data contained in all publications are solely those of the individual author(s) and contributor(s) and not of MDPI and/or the editor(s). MDPI and/or the editor(s) disclaim responsibility for any injury to people or property resulting from any ideas, methods, instructions or products referred to in the content. |
© 2024 by the authors. Licensee MDPI, Basel, Switzerland. This article is an open access article distributed under the terms and conditions of the Creative Commons Attribution (CC BY) license (https://creativecommons.org/licenses/by/4.0/).
Share and Cite
Peñas-Corte, M.; Bouzas, P.R.; Nieto del Río, J.; Manzanera, M.; Barros-Rodríguez, A.; Fernández-Navarro, J.R. Enhancing Maize Stress Tolerance and Productivity through Synergistic Application of Bacillus velezensis A6 and Lamiales Plant Extract, Biostimulants Suitable for Organic Farming. Biology 2024, 13, 718. https://doi.org/10.3390/biology13090718
Peñas-Corte M, Bouzas PR, Nieto del Río J, Manzanera M, Barros-Rodríguez A, Fernández-Navarro JR. Enhancing Maize Stress Tolerance and Productivity through Synergistic Application of Bacillus velezensis A6 and Lamiales Plant Extract, Biostimulants Suitable for Organic Farming. Biology. 2024; 13(9):718. https://doi.org/10.3390/biology13090718
Chicago/Turabian StylePeñas-Corte, María, Paula R. Bouzas, Juan Nieto del Río, Maximino Manzanera, Adoración Barros-Rodríguez, and José R. Fernández-Navarro. 2024. "Enhancing Maize Stress Tolerance and Productivity through Synergistic Application of Bacillus velezensis A6 and Lamiales Plant Extract, Biostimulants Suitable for Organic Farming" Biology 13, no. 9: 718. https://doi.org/10.3390/biology13090718
APA StylePeñas-Corte, M., Bouzas, P. R., Nieto del Río, J., Manzanera, M., Barros-Rodríguez, A., & Fernández-Navarro, J. R. (2024). Enhancing Maize Stress Tolerance and Productivity through Synergistic Application of Bacillus velezensis A6 and Lamiales Plant Extract, Biostimulants Suitable for Organic Farming. Biology, 13(9), 718. https://doi.org/10.3390/biology13090718

