Environmental and Climatic Drivers of Phytoplankton Communities in Central Asia
Abstract
Simple Summary
Abstract
1. Introduction
2. Materials and Methods
2.1. Study Area
2.2. Sample and Environmental Data Collection
2.3. Data Analysis
3. Results
3.1. Distribution Characteristics and Correlation of Water Environment Factors
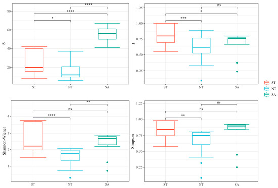
3.2. Differences in Phytoplankton Community Structure across Geographic Regions
3.3. Interactions between Climate and Environmental Factors
4. Discussion
4.1. Correlation Analyses between the State of Watershed Ecosystems and Water Environment Parameters
4.2. Effects of Topographic Barriers on Phytoplankton Communities
4.3. Impacts of Climate Change on Alpine Aquatic Ecosystems
5. Conclusions
Supplementary Materials
Author Contributions
Funding
Institutional Review Board Statement
Informed Consent Statement
Data Availability Statement
Conflicts of Interest
References
- Monahan, W.B.; Pereira, R.J.; Wake, D.B. Ring distributions leading to species formation: A global topographic analysis of geographic barriers associated with ring species. BMC Biol. 2012, 10, 20. [Google Scholar] [CrossRef] [PubMed]
- White, A.E. Geographical Barriers and Dispersal Propensity Interact to Limit Range Expansions of Himalayan Birds. Am. Nat. 2016, 188, 99–112. [Google Scholar] [CrossRef] [PubMed]
- Love, S.J.; Schweitzer, J.A.; Bailey, J.K. Climate-driven convergent evolution in riparian ecosystems on sky islands. Sci. Rep. 2023, 13, 2817. [Google Scholar] [CrossRef] [PubMed]
- Cuypers, L.N.; Sabuni, C.; Sumbera, R.; Aghova, T.; Liskova, E.; Leirs, H.; Baird, S.J.E.; de Bellocq, J.G.; Bryja, J. Biogeographical Importance of the Livingstone Mountains in Southern Tanzania: Comparative Genetic Structure of Small Non-volant Mammals. Front. Ecol. Evol. 2022, 9, 742851. [Google Scholar] [CrossRef]
- Godinho, M.B.D.; da Silva, F.R. The influence of riverine barriers, climate, and topography on the biogeographic regionalization of Amazonian anurans. Sci. Rep. 2018, 8, 3427. [Google Scholar] [CrossRef]
- da Silva, F.R.; Oliveira-Silva, A.E.D.; Antonelli, A.; Carnaval, A.C.; Provete, D.B. Zoogeographical regions in the Atlantic Forest: Patterns and potential drivers. J. Biogeogr. 2024, 1–12. [Google Scholar] [CrossRef]
- Moncrieff, A.E.; Faircloth, B.C.; Remsen, R.C.; Hiller, A.E.; Felix, C.; Capparella, A.P.; Aleixo, A.; Valqui, T.; Brumfield, R.T. Implications of headwater contact zones for the riverine barrier hypothesis: A case study of the Blue-capped Manakin (Lepidothrix coronata). Evolution 2024, 78, 53–68. [Google Scholar] [CrossRef]
- Yang, W.; Zheng, Z.M.; Zheng, C.; Lu, K.H.; Ding, D.W.; Zhu, J.Y. Temporal variations in a phytoplankton community in a subtropical reservoir: An interplay of extrinsic and intrinsic community effects. Sci. Total Environ. 2018, 612, 720–727. [Google Scholar] [CrossRef]
- Henson, S.A.; Cael, B.B.; Allen, S.R.; Dutkiewicz, S. Future phytoplankton diversity in a changing climate. Nat. Commun. 2021, 12, 5372. [Google Scholar] [CrossRef]
- Zhao, K.; Wang, L.Z.; You, Q.M.; Zhang, J.Y.; Pang, W.T.; Wang, Q.X. Impact of cyanobacterial bloom intensity on plankton ecosystem functioning measured by eukaryotic phytoplankton and zooplankton indicators. Ecol. Indic. 2022, 140, 109028. [Google Scholar] [CrossRef]
- Regaudie-de-Gioux, A.; Sal, S.; López-Urrutia, A. Poor correlation between phytoplankton community growth rates and nutrient concentration in the sea. Biogeosciences 2015, 12, 1915–1923. [Google Scholar] [CrossRef][Green Version]
- Zhang, G.C.; Liu, Z.S.; Zhang, Z.Y.; Ding, C.L.; Sun, J. The impact of environmental factors on the phytoplankton communities in the Western Pacific Ocean: HPLC-CHEMTAX approach. Front. Mar. Sci. 2023, 10, 1185939. [Google Scholar] [CrossRef]
- Domis, L.N.D.; Van de Waal, D.B.; Helmsing, N.R.; Van Donk, E.; Mooij, W.M. Community stoichiometry in a changing world: Combined effects of warming and eutrophication on phytoplankton dynamics. Ecology 2014, 95, 1485–1495. [Google Scholar] [CrossRef] [PubMed]
- Sapucaia, L.D.; Carneiro, R.O.; Ferragut, C. Effect of increasing temperature on periphyton accrual under controlled environmental conditions. Limnology 2024, 25, 255–265. [Google Scholar] [CrossRef]
- Mazaris, A.D.; Moustaka-Gouni, M.; Michaloudi, E.; Bobori, D.C. Biogeographical patterns of freshwater micro- and macroorganisms: A comparison between phytoplankton, zooplankton and fish in the eastern Mediterranean. J. Biogeogr. 2010, 37, 1341–1351. [Google Scholar] [CrossRef]
- Jin, L.; Chen, H.H.; Xue, Y.Y.; Soininen, J.; Yang, J. The scale-dependence of spatial distribution of reservoir plankton communities in subtropical and tropical China. Sci. Total Environ. 2022, 845, 157179. [Google Scholar] [CrossRef] [PubMed]
- Ramelli, F.; Henneberger, J.; David, R.O.; Lauber, A.; Pasquier, J.T.; Wieder, J.; Bühl, J.; Seifert, P.; Engelmann, R.; Hervo, M.; et al. Influence of low-level blocking and turbulence on the microphysics of a mixed-phase cloud in an inner-Alpine valley. Atmos. Chem. Phys. 2021, 21, 5151–5172. [Google Scholar] [CrossRef]
- Macingo, S.C.; Kormas, K.A.; Oikonomou, A.; Karayanni, H. Taxa-area and distance-decay relationships of unicellular eukaryotes along an elevation gradient of mountainous freshwater ecosystems. J. Plankton Res. 2019, 41, 821–834. [Google Scholar] [CrossRef]
- Sommaruga, R.; Hofer, J.S.; Alonso-Sáez, L.; Gasol, J.A. Differential sunlight sensitivity of picophytoplankton from surface Mediterranean coastal waters. Appl. Environ. Microbiol. 2005, 71, 2154–2157. [Google Scholar] [CrossRef]
- Jeppesen, E.; Johansson, L.S.; Tserenpil, S.; Sondergaard, M.; Lauridsen, T.L.; Andersen, P. Do Cross-Latitude and Local Studies Give Similar Predictions of Phytoplankton Responses to Warming? An Analysis of Monitoring Data from 504 Danish Lakes. Sustainability 2021, 13, 14049. [Google Scholar] [CrossRef]
- Li, N.; Zhang, Y.L.; Zhang, Y.B.; Shi, K.; Qian, H.M.; Yang, H.Y.; Niu, Y.K.; Qin, B.Q.; Zhu, G.W.; Jeppesen, E.; et al. The unprecedented 2022 extreme summer heatwaves increased harmful cyanobacteria blooms. Sci. Total Environ. 2023, 896, 165312. [Google Scholar] [CrossRef] [PubMed]
- Zhao, L.; Zhu, R.; Zhou, Q.C.; Jeppesen, E.; Yang, K. Trophic status and lake depth play important roles in determining the nutrient-chlorophyll a relationship: Evidence from thousands of lakes globally. Water Res. 2023, 242, 120182. [Google Scholar] [CrossRef] [PubMed]
- Pelechata, A.; Kufel, L.; Pukacz, A.; Strzalek, M.; Biardzka, E.; Brzozowski, M.; Kaczmarek, L.; Pelechaty, M. Climate features or the composition of submerged vegetation? Which factor has a greater impact on the phytoplankton structure in temperate lakes? Ecol. Indic. 2023, 146, 109840. [Google Scholar] [CrossRef]
- Han, X.; Pan, B.Z.; Zhao, G.N.; Li, D.B.; Sun, H.; Zhu, P.H.; Lu, Y. Local and geographical factors jointly drive elevational patterns of phytoplankton in the source region of the Yangtze River, China. River Res. Appl. 2021, 37, 1145–1155. [Google Scholar] [CrossRef]
- Merrix-Jones, F.L.; Thackeray, S.J.; Ormerod, S.J. A global analysis of zooplankton in natural and artificial fresh waters. J. Limnol. 2013, 72, 140–153. [Google Scholar] [CrossRef][Green Version]
- Grinham, A.; Albert, S.; Deering, N.; Dunbabin, M.; Bastviken, D.; Sherman, B.; Lovelock, C.E.; Evans, C.D. The importance of small artificial water bodies as sources of methane emissions in Queensland, Australia. Hydrol. Earth Syst. Sci. 2018, 22, 5281–5298. [Google Scholar] [CrossRef]
- Wang, J.H.; Liu, J.H.; Shang, Y.Z.; Jiang, D.; Xiao, W.H. China’s campaign to create artificial water surfaces in drought-affected regions must consider prevention measures for ecological problems. Environ. Earth Sci. 2015, 74, 5457–5462. [Google Scholar] [CrossRef]
- Mineeva, N.M. Reservoir as a Habitat for Hydrobionts. Inland Water Biol. 2023, 16, S217–S227. [Google Scholar] [CrossRef]
- Miao, H.C.; Zheng, W.T.; Chen, X.P.; Yu, G.Y.; Li, X.Y.; Chu, Y.S.; Xu, P.F.; Bokhari, A.K.; Wang, F.S. Development of subsurface chlorophyll maximum layer and its contribution to the primary productivity of water column in a large subtropical reservoir. Environ. Res. 2023, 231, 116118. [Google Scholar] [CrossRef]
- Westberry, T.K.; Behrenfeld, M.J.; Shi, Y.R.; Yu, H.; Remer, L.A.; Bian, H. Atmospheric nourishment of global ocean ecosystems. Science 2023, 380, 515–519. [Google Scholar] [CrossRef]
- Firsova, A.; Galachyants, Y.; Bessudova, A.; Titova, L.; Sakirko, M.; Marchenkov, A.; Hilkhanova, D.; Nalimova, M.; Buzevich, V.; Mikhailov, I.; et al. Environmental Factors Affecting Distribution and Diversity of Phytoplankton in the Irkutsk Reservoir Ecosystem in June 2023. Diversity 2023, 15, 1070. [Google Scholar] [CrossRef]
- Vinon-Leite, B.; Fadel, A.; Lemaire, B.J.; Bonhomme, C.; Li, Y.; Divechen, G.L.; Zhang, J.; Luo, Y. Short-term forecasting of cyanobacteria blooms in Yuqiao reservoir, china short-term forecasting of cyanobacteria blooms in Yuqiao reservoir, China. La Houille Blanche 2017, 2, 35–44. [Google Scholar] [CrossRef]
- Yang, C.; Nan, J.; Li, J. Driving Factors and Dynamics of Phytoplankton Community and Functional Groups in an Estuary Reservoir in the Yangtze River, China. Water 2019, 11, 1184. [Google Scholar] [CrossRef]
- Peng, K.; Jiao, Y.; Gao, J.; Xiong, W.; Zhao, Y.; Yang, S.; Liao, M. Viruses may facilitate the cyanobacterial blooming during summer bloom succession in Xiangxi Bay of Three Gorges Reservoir, China. Front. Microbiol. 2023, 14, 1112590. [Google Scholar] [CrossRef]
- Wang, C.; Liu, T.; Jia, Z.; Su, M.; Dong, Y.; Guo, Q.; Yang, M.; Yu, J. Unraveling the source-water fishy odor occurrence during low-temperature periods: Odorants identification, typical algae species and odor-producing potential. Sci. Total Environ. 2023, 905, 166998. [Google Scholar] [CrossRef]
- Wen, Z. A study on the phytoplankton from inland saline waters in northern China. J. Dalian Fish. Coll. 1992, 7, 49–64. [Google Scholar]
- State Bureau of Environment Protection. Water and Wastewater Monitoring and Analysis Methods, 4th ed.; China Environmental Science Press: Beijing, China, 2002; pp. 56–79. [Google Scholar]
- Bellinger, E.G.; Sigee, D.C. Freshwater Algae: Identification, Enumeration and Use as Bioindicators; John Wiley & Sons: Hoboken, NJ, USA, 2015. [Google Scholar]
- Sim, Z.Y.; Goh, K.C.; Sukarji, N.H.B.; Mao, F.J.; He, Y.L.; Gin, K.Y.H. Influence of phytoplankton, bacteria and viruses on nutrient supply in tropical waters. J. Environ. Sci. 2025, 151, 174–186. [Google Scholar] [CrossRef]
- Hou, Y.; Cheng, Y.; Li, K.; Yang, M.; Huang, K.Z.; Ji, G.; Xue, R.K.; Huang, T.L.; Wen, G. Interannual succession of phytoplankton community in a canyon-shaped drinking water reservoir during the initial impoundment period: Taxonomic versus functional groups. J. Environ. Sci. 2025, 151, 454–468. [Google Scholar] [CrossRef]
- Shampain, A.; Baron, J.S.; Leavitt, P.R.; Spaulding, S.A. Climatic variability as a principal driver of primary production in the southernmost subalpine Rocky Mountain lake. Arct. Antarct. Alp. Res. 2024, 56, 2303810. [Google Scholar] [CrossRef]
- Kuefner, W.; Hofmann, A.M.; Geist, J.; Dubois, N.; Raeder, U. Algal Community Change in Mountain Lakes of the Alps Reveals Effects of Climate Warming and Shifting Treelines 1. J. Phycol. 2021, 57, 1266–1283. [Google Scholar] [CrossRef]
- Oleksy, I.A.; Baron, J.S.; Beck, W.S. Nutrients and warming alter mountain lake benthic algal structure and function. Freshw. Sci. 2021, 40, 88–102. [Google Scholar] [CrossRef]
- Oleksy, I.A.; Baron, J.S.; Leavitt, P.R.; Spaulding, S.A. Nutrients and warming interact to force mountain lakes into unprecedented ecological states. Proc. R. Soc. B-Biol. Sci. 2020, 287, 20200304. [Google Scholar] [CrossRef] [PubMed]
- Moser, K.A.; Baron, J.S.; Brahney, J.; Oleksy, I.A.; Saros, J.E.; Hundey, E.J.; Sadro, S.A.; Kopácek, J.; Sommaruga, R.; Kainz, M.J.; et al. Mountain lakes: Eyes on global environmental change. Glob. Planet. Chang. 2019, 178, 77–95. [Google Scholar] [CrossRef]
- Cao, J.; Wu, Y.; Li, Z.K.; Hou, Z.Y.; Wu, T.H.; Chu, Z.S.; Zheng, B.H.; Yang, P.P.; Yang, Y.Y.; Li, C.S.; et al. Dependence of evolution of Cyanobacteria superiority on temperature and nutrient use efficiency in a meso-eutrophic plateau lake. Sci. Total Environ. 2024, 927, 172338. [Google Scholar] [CrossRef]
- Kazama, T.; Hayakawa, K.; Nagata, T.; Shimotori, K.; Imai, A. Impact of climate change and oligotrophication on quality and quantity of lake primary production: A case study in Lake Biwa. Sci. Total Environ. 2024, 927, 172266. [Google Scholar] [CrossRef]
- Zhou, Y.; McManus, J.F. Heinrich event ice discharge and the fate of the Atlantic Meridional Overturning Circulation. Science 2024, 384, 983–986. [Google Scholar] [CrossRef]
- Wolf, K.K.E.; Hoppe, C.J.M.; Rehder, L.; Schaum, E.; John, U.; Rost, B. Heatwave responses of Arctic phytoplankton communities are driven by combined impacts of warming and cooling. Sci. Adv. 2024, 10, eadl5904. [Google Scholar] [CrossRef]
- Rehder, L.; Rost, B.; Rokitta, S.D. Abrupt and acclimation responses to changing temperature elicit divergent physiological effects in the diatom Phaeodactylum tricornutum. New Phytol. 2023, 239, 1005–1013. [Google Scholar] [CrossRef] [PubMed]
- Wu, Y.; Huang, A.N.; Li, X.; Wen, L.J.; Lazhu; Li, J.Y. Thermal Response of Large Seasonally Ice-Covered Lakes Over Tibetan Plateau to Climate Change. J. Geophys. Res.-Atmos. 2024, 129, e2023JD039935. [Google Scholar] [CrossRef]
- Li, Z.F.; Zhu, H.; García-Girón, J.; Gu, S.Y.; Heino, J.; Xiong, X.; Yang, J.L.; Zhao, X.F.; Jia, Y.T.; Xie, Z.C.; et al. Historical and dispersal processes drive community assembly of multiple aquatic taxa in glacierized catchments in the Qinghai-Tibet plateau. Environ. Res. 2024, 251, 118746. [Google Scholar] [CrossRef]
- Ortiz, J.E.; Sánchez-Palencia, Y.; López-Cilla, I.; Morales-Molino, C.; Gardoki, J.; Torres, T.; Morellón, M. Lipid biomarkers in high mountain lakes from the Cantabrian range (Northern Spain): Coupling the interplay between natural and anthropogenic drivers. Anthropocene 2024, 46, 100431. [Google Scholar] [CrossRef]
- Seifert, M.; Nissen, C.; Rost, B.; Vogt, M.; Voelker, C.; Hauck, J. Interaction matters: Bottom-up driver interdependencies alter the projected response of phytoplankton communities to climate change. Glob. Chang. Biol. 2023, 29, 4234–4258. [Google Scholar] [CrossRef] [PubMed]
- Szczerba, A.; Rzodkiewicz, M.; Tylmann, W. Modern diatom assemblages and their association with meteorological conditions in two lakes in northeastern Poland. Ecol. Indic. 2023, 147, 110028. [Google Scholar] [CrossRef]
- Muñoz-López, C.L.; Rivera-Rondón, C.A. Diatom response to environmental gradients in the high mountain lakes of the Colombia’s Eastern Range. Aquat. Sci. 2022, 84, 15. [Google Scholar] [CrossRef]
- Gauzère, P.; Iversen, L.L.; Seddon, A.W.R.; Violle, C.; Blonder, B. Equilibrium in plant functional trait responses to warming is stronger under higher climate variability during the Holocene. Glob. Ecol. Biogeogr. 2020, 29, 2052–2066. [Google Scholar] [CrossRef]
- Falasco, E.; Bona, F.; Monauni, C.; Zeni, A.; Piano, E. Environmental and spatial factors drive diatom species distribution in Alpine streams: Implications for biomonitoring. Ecol. Indic. 2019, 106, 105441. [Google Scholar] [CrossRef]
- McGinty, N.; Gudmundsson, K.; Agústsdóttir, K.; Marteinsdóttir, G. Environmental and climactic effects of chlorophyll-a variability around Iceland using reconstructed satellite data fields. J. Mar. Syst. 2016, 163, 31–42. [Google Scholar] [CrossRef]
- He, T.; Li, J.; Xie, L.; Zheng, Q. Response of chlorophyll-a to rainfall event in the basin of the South China sea: Statistical analysis. Mar. Environ. Res. 2024, 199, 106576. [Google Scholar] [CrossRef] [PubMed]
- Catalan, J.; Monteoliva, A.P.; Vega, J.C.; Dominguez, A.; Negro, A.I.; Alonso, R.; Garces, B.V.; Batalla, M.; Garcia-Gomez, H.; Leira, M.; et al. Reduced precipitation can induce ecosystem regime shifts in lakes by increasing internal nutrient recycling. Sci. Rep. 2024, 14, 12408. [Google Scholar] [CrossRef]
- Jiang, N.; Zhang, Z.R.; Zhang, R.F.; Wang, C.N.; Zhou, M. The connection of phytoplankton biomass in the Marguerite Bay polynya of the western Antarctic Peninsula to the Southern Annular Mode. Acta Oceanol. Sin. 2024, 43, 35–47. [Google Scholar] [CrossRef]
- Joy-Warren, H.L.; van Dijken, G.L.; Alderkamp, A.C.; Leventer, A.; Lewis, K.M.; Selz, V.; Lowry, K.E.; van de Poll, W.; Arrigo, K.R. Light Is the Primary Driver of Early Season Phytoplankton Production Along the Western Antarctic Peninsula. J. Geophys. Res.-Ocean. 2019, 124, 7375–7399. [Google Scholar] [CrossRef]
- Bao, G.D.; Ren, Z.K.; Wu, D.Y.; Lu, H.H.; Liu, J.R.; Li, T.; Zhang, Z.L.; Ha, G. Combining geomorphological and kinematic models to analyze tectonic deformation rates: A case study of the Bayin anticline in the eastern Tian Shan Mountains. Geomorphology 2024, 454, 109154. [Google Scholar] [CrossRef]
- Li, F.; Shi, X.H.; Charreau, J.; Cheng, X.G.; Yang, R.; Chen, H.L.; Ge, J.; Wang, J.H. Geomorphic expression of transverse drainages across the Tugerming anticline, southern Tian Shan: Implications for the river-fold interaction in the foreland. J. Struct. Geol. 2024, 180, 105081. [Google Scholar] [CrossRef]
- Yang, Z.L.; Bai, P. Response of runoff and its components to climate change in the Manas River of the Tian Shan Mountains. Adv. Clim. Chang. Res. 2024, 15, 62–74. [Google Scholar] [CrossRef]
- Huang, M.Y.; Liu, H.G.; Tong, Y.; Li, S.Q.; Hou, Z.E. Diversity of endemic cold-water amphipods threatened by climate warming in northwestern China. Divers. Distrib. 2024, 30, e13798. [Google Scholar] [CrossRef]
- Arrigo, K.R.; van Dijken, G.L.; Alderkamp, A.C.; Erickson, Z.K.; Lewis, K.M.; Lowry, K.E.; Joy-Warren, H.L.; Middag, R.; Nash-Arrigo, J.E.; Selz, V.; et al. Early Spring Phytoplankton Dynamics in the Western Antarctic Peninsula. J. Geophys. Res.-Ocean. 2017, 122, 9350–9369. [Google Scholar] [CrossRef]
- Li, Y.; Ji, R.B.; Jenouvrier, S.; Jin, M.B.; Stroeve, J. Synchronicity between ice retreat and phytoplankton bloom in circum-Antarctic polynyas. Geophys. Res. Lett. 2016, 43, 2086–2093. [Google Scholar] [CrossRef]
- Battegazzore, M. Environmental conditions of alpine springs of the upper Po River (NW Italy) on the basis of their epilithic diatom communities. Nat. Hist. Sci. 2012, 153, 49–62. [Google Scholar] [CrossRef][Green Version]
- Cunningham, W.D.; Windley, B.F.; Owen, L.A.; Barry, T.; Dorjnamjaa, D.; Badamgarav, J. Geometry and style of partitioned deformation within a late Cenozoic transpressional zone in the eastern Gobi Altai Mountains, Mongolia. Tectonophysics 1997, 277, 285–306. [Google Scholar] [CrossRef]
- Li, F.; Xin, Q.; Fu, Z.; Sun, Y.; Xiong, Y. A Refined Supply-Demand Framework to Quantify Variability in Ecosystem Services Related to Surface Water in Support of Sustainable Development Goals. Earth’s Future 2024, 12, e2023EF004058. [Google Scholar] [CrossRef]
- Fay, M.; Block, R.; Ebinger, J. Adapting to Climate Change in Europe and Central Asia; World Bank Publications: Washington, DC, USA, 2010; Volume 28, pp. 320–321. [Google Scholar]
- Schulte-Uebbing, L.; Hansen, G.; Hernández, A.M.; Winter, M. Chapter scientists in the IPCC AR5—Experience and lessons learned. Curr. Opin. Environ. Sustain. 2015, 14, 250–256. [Google Scholar] [CrossRef]
- Retnamma, J.; Sarath, S.; Balachandran, K.K.; Krishnan, S.S.; Karnan, C.; Arunpandi, N.; Alok, K.T.; Ramanamurty, M.V. Environmental and human facets of the waterweed proliferation in a Vast Tropical Ramsar Wetland-Vembanad Lake System. Environ. Monit. Assess. 2023, 195, 900. [Google Scholar] [CrossRef] [PubMed]
- Li, Y.R.; Tao, J.; Zhang, Y.L.; Shi, K.; Chang, J.J.; Pan, M.; Song, L.R.; Jeppesen, E.; Zhou, Q.C. Urbanization shifts long-term phenology and severity of phytoplankton blooms in an urban lake through different pathways. Glob. Chang. Biol. 2023, 29, 4983–4999. [Google Scholar] [CrossRef] [PubMed]
- Wang, T.; Zhang, H.F.; Gao, L.; Zhu, L.X. Comparison of physical and biological responses to tropical cyclones between the low and middle latitude zones of the western North Pacific. Reg. Stud. Mar. Sci. 2022, 55, 10. [Google Scholar] [CrossRef]







| Variable | SA | ST | NT |
|---|---|---|---|
| BIO1 1 | 4.08 | 11.34 | 8.50 |
| BIO2 2 | 12.42 | 15.53 | 10.83 |
| BIO3 3 | 24.13 | 32.26 | 21.00 |
| BIO4 4 | 1458.27 | 1212.16 | 1519.32 |
| BIO5 5 | 28.98 | 33.13 | 32.16 |
| BIO6 6 | −22.46 | −14.93 | −19.41 |
| BIO7 7 | 51.44 | 48.05 | 51.57 |
| BIO8 8 | 19.96 | 24.60 | 23.61 |
| BIO9 9 | −12.22 | -3.65 | −10.80 |
| BIO10 10 | 20.83 | 24.60 | 25.11 |
| BIO11 11 | −14.88 | −4.81 | −12.15 |
| BIO12 12 | 175.15 | 51.75 | 144.25 |
| BIO13 13 | 27.31 | 11.50 | 20.75 |
| BIO14 14 | 6.31 | 0.50 | 5.00 |
| BIO15 15 | 38.08 | 75.01 | 45.38 |
| BIO16 16 | 63.15 | 29.50 | 59.85 |
| BIO17 17 | 21.85 | 2.25 | 16.60 |
| BIO18 18 | 62.85 | 29.50 | 55.00 |
| BIO19 19 | 26.69 | 2.75 | 16.60 |
| Group | R 1 | p 2 |
|---|---|---|
| NT/SA | 0.964 | 0.001 ** |
| NT/ST | 0.110 | 0.010 * |
| SA/ST | 0.673 | 0.001 ** |
| Physical | Nutritional | |||||||||
|---|---|---|---|---|---|---|---|---|---|---|
| WT (°C) | ORP (mv) | pH | DO (mg/L) | C (μS/cm) | SAL (ppt) | TDS (mg/L) | TN (mg/L) | TP (mg/L) | ||
| SA | average | 21.98 | 91.77 | 8.72 | 5.22 | 416.66 | 0.21 | 0.29 | 0.87 | 0.64 |
| standard | 4.11 | 53.46 | 0.22 | 1.99 | 296.36 | 0.15 | 0.19 | 0.32 | 0.24 | |
| ST | average | 12.77 | 96.55 | 7.60 | 5.85 | 328.35 | 0.08 | 222.25 | 0.04 | 0.15 |
| standard | 7.17 | 25.95 | 0.25 | 2.30 | 77.84 | 0.07 | 164.19 | 0.02 | 0.02 | |
| NT | average | 23.40 | 91.87 | 7.80 | 7.28 | 228.65 | 0.06 | 131.50 | 0.58 | 0.83 |
| standard | 3.68 | 26.61 | 0.34 | 1.81 | 57.01 | 0.03 | 53.76 | 0.13 | 0.14 | |
Disclaimer/Publisher’s Note: The statements, opinions and data contained in all publications are solely those of the individual author(s) and contributor(s) and not of MDPI and/or the editor(s). MDPI and/or the editor(s) disclaim responsibility for any injury to people or property resulting from any ideas, methods, instructions or products referred to in the content. |
© 2024 by the authors. Licensee MDPI, Basel, Switzerland. This article is an open access article distributed under the terms and conditions of the Creative Commons Attribution (CC BY) license (https://creativecommons.org/licenses/by/4.0/).
Share and Cite
Zi, F.; Song, T.; Liu, J.; Wang, H.; Serekbol, G.; Yang, L.; Hu, L.; Huo, Q.; Song, Y.; Huo, B.; et al. Environmental and Climatic Drivers of Phytoplankton Communities in Central Asia. Biology 2024, 13, 717. https://doi.org/10.3390/biology13090717
Zi F, Song T, Liu J, Wang H, Serekbol G, Yang L, Hu L, Huo Q, Song Y, Huo B, et al. Environmental and Climatic Drivers of Phytoplankton Communities in Central Asia. Biology. 2024; 13(9):717. https://doi.org/10.3390/biology13090717
Chicago/Turabian StyleZi, Fangze, Tianjian Song, Jiaxuan Liu, Huanhuan Wang, Gulden Serekbol, Liting Yang, Linghui Hu, Qiang Huo, Yong Song, Bin Huo, and et al. 2024. "Environmental and Climatic Drivers of Phytoplankton Communities in Central Asia" Biology 13, no. 9: 717. https://doi.org/10.3390/biology13090717
APA StyleZi, F., Song, T., Liu, J., Wang, H., Serekbol, G., Yang, L., Hu, L., Huo, Q., Song, Y., Huo, B., Wang, B., & Chen, S. (2024). Environmental and Climatic Drivers of Phytoplankton Communities in Central Asia. Biology, 13(9), 717. https://doi.org/10.3390/biology13090717

