Next Article in Journal
Nano-Impact (Fatigue) Characterization of As-Deposited Amorphous Nitinol Thin Film
Next Article in Special Issue
Protection and Reinforcement of Tooth Structures by Dental Coating Materials
Previous Article in Journal / Special Issue
Titanium Nitride and Nitrogen Ion Implanted Coated Dental Materials
 
 
Font Type:
Arial Georgia Verdana
Font Size:
Aa Aa Aa
Line Spacing:
Column Width:
Background:
Review

Plant Products for Innovative Biomaterials in Dentistry

1
Department of Mining and Materials Engineering, Mc Gill University, Montreal H3A282, Canada
2
Dental Unit II, San Paolo Hospital, Via Beldiletto 1, Milano 20100, Italy
3
Department of Health Science, University of Piemonte Orientale, Novara 28100, Italy
4
Department of Agricultural and Environmental Science, University of Milan, Milano 20100, Italy
*
Author to whom correspondence should be addressed.
Coatings 2012, 2(3), 179-194; https://doi.org/10.3390/coatings2030179
Submission received: 11 May 2012 / Revised: 7 June 2012 / Accepted: 5 July 2012 / Published: 26 July 2012
(This article belongs to the Special Issue Advances in Dental Biomaterials and Coatings)

Abstract

:
Dental biomaterials and natural products represent two of the main growing research fields, revealing plant-derived compounds may play a role not only as nutraceuticals in affecting oral health, but also in improving physico-chemical properties of biomaterials used in dentistry. Therefore, our aim was to collect all available data concerning the utilization of plant polysaccharides, proteins and extracts rich in bioactive phytochemicals in enhancing performance of dental biomaterials. Although compelling evidences are suggestive of a great potential of plant products in promoting material-tissue/cell interface, to date, only few authors have investigated their use in development of innovative dental biomaterials. A small number of studies have reported plant extract-based titanium implant coatings and periodontal regenerative materials. To the best of our knowledge, this review is the first to deal with this topic, highlighting a general lack of research findings in an interesting field which still needs to be investigated.

1. Introduction

Biomaterial is any material able to interact harmoniously with a biological host and used as a whole or as a part of a system which treats, augments, or replaces any tissue, organ, or function of the body.
In dentistry, several kinds of biomaterials have been proposed to achieve different tasks and improving aspects of:
  • oral rehabilitation in implantology (titanium implants)
  • periodontal tissue regeneration.
Biomaterial surface properties regulate host cell and tissue responses to implanted devices, as well as biological integration of biomedical prostheses and tissue-engineered constructs [1]. Therefore, the biomaterial-host interface represents a key-point in biocompatibility and functionality of devices or products interacting with human body, and greatly depends on biomaterial composition and surface properties. The latter can be modulated by means of different surface coatings, in order to improve the biomaterial-cell/tissue interface [2].
Nowadays, a plethora of coatings have been proposed over time, mainly focused on inorganic molecules or animal proteins for cell proliferation and differentiation [1,2,3]. Only recently, plant polysaccharides, proteins and extracts rich in bioactive phytochemicals have been investigated in enhancing performance of dental biomaterials. However, this approach is a real challenge for dental researchers, being just a new-born field, still to be fully investigated. Indeed, only few papers considered feasible bioactive plant products for coating of dental material.
The main goal of this review was to collect, for the first time, all available data on plant products used for the development and improvement of innovative dental biomaterials. Search of papers investigating these issues was performed using PUBMED and focusing on a period from January 1965 to February 2012. Only publications in English were considered. At the beginning of each section, a brief description of bioactive plant macromolecules and metabolites will be provided, then studies concerning the use of these products in dental biomaterials will be reported.

2. Plant Product-Based Titanium Implant Coatings

The gold standard for orthopedic and dental implant metals is titanium (Ti) or its alloys, since it is inert and provides high strength, stress resistance and relatively low elastic properties to biodevices [4,5].
Titanium dental implant osseointegration is “a process in which a clinically asymptomatic rigid fixation of alloplastic material is achieved and maintained in bone during functional loading” [6]. Osseointegration is the final goal to pursue, as well as the hallmark of clinical success, allowing long term stability and functionality of the device. Implantation of a biomaterial usually stimulates a foreign body reaction, usually manifested as phagocyte recruitment and the formation of a fibrous capsule in the peri-implant tissue [7,8]. In this condition, titanium is fibrous-integrated and not osseo-integrated, significantly affecting the performance of the implant and causing complications that ultimately may lead to implant loosening [9].
With an attempt at achieving faster osseointegration to accelerate the overall treatment process, the use of biomimetic agents represents a growing area of research in implant dentistry. Bioactive agents may be applied to coat the titanium implant surface, among others, biocompatible ceramics, bioactive proteins, peptide, ions and polymers [1,10], as effective molecules to stimulate bone regeneration over Ti. As examples, collagen-I, RGD-peptide, and chondroitin sulfate are some of the protein/peptide coatings used to improve its biocompatibility [3,11]. Moreover, a small number of studies reported plant carbohydrate titanium implant coatings that are pectins (Table 1).
Table 1. Plant products studied for the development and improvement of innovative dental biomaterials.
Table 1. Plant products studied for the development and improvement of innovative dental biomaterials.
Plant productsBiomaterialsApplicationsReferences
Malus domestica L.Titanium implant coatingDental implantologyIn vitro: [12] In vivo (rats): [13]
Cissus quadrangularis L.Periodontal filler in association with hydroxyapatitePeriodontal regenerationClinical trial: [14]
Carthamus tinctorius LPeriodontal filler in association with collagen sponge Periodontal filler in association with polylactide glycolic acid bioresorbable barrierPeriodontal regeneration Periodontal regenerationIn vivo (beagle dogs): [15] In vivo (beagle dogs): [16]
Glycine max L. Bone filler Alveolar bone regenerationIn vivo (rabbits): [17]

2.1. Pectins

These are large and complex polysaccharides found in the primary plant cell wall and middle lamella among contiguous plant cells. Together with hemicellulose molecules, pectins represent the main components of the plant cell wall matrix, within which cellulose microfibrils construct a rigid lamellar network capable of bearing osmotic stress as well as mechanic stress. Pectins play several relevant roles in plant, including mechanical support, physical barrier against pathogens, morphological development, fruit ripening and emulsification of plant tissues. Pectins are widely used on an industrial scale. In particular, the emulsifying activity is noteworthy, since the hydrocolloidal gel-forming property of pectins is widely exploited in the food industry [18]. The ability of pectins to gel is due to many negatively-charged sugar units (containing COO groups) which are prone to bind Ca2+ cations. This calcium cross-linking of pectins leads to extensive hydration [19,20,21,22]. Pectin gelling properties achieved a growing interest from scientific audience due to the possibility of obtaining an in situ biocompatible gelling system, for bone tissue engineering [23,24,25], injectable cell delivery system [26] and drug delivery system [27,28].
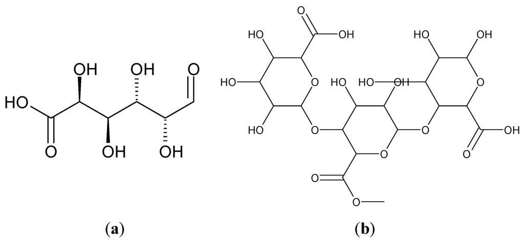
The structural features of pectins depend on plant species and tissue, though some traits are common to all these polysaccharides. Two main structural domains can be distinguished, the smooth and hairy (or ramified) regions. The former consist of α-1,4-linked D-galacturonic acid residues, some of which are esterified on the carboxyl group with methanol yielding either a high-methyl or low-methyl homogalacturonan chain (Figure 1). Conversely, the hairy regions contains two alternating sugar residues, α-1,4-linked D-galacturonosyl and α-1,2-linked L-rhamnosyl moieties, forming a rhamnogalalacturonan-I (RG-I) backbone. Pectins may also contain a complex RG-II component attached to the homogalacturonan region [29,30]. In addition to these natural variations, pectin structures can be further modified in vitro by pectinolytic exo- or endoenzymes, consisting of commercial, micro-organism-derived enzyme mixtures designed for degrading pectin gels [31,32]. Pectin fragments formed by enzymatic treatments consist of modified hairy regions (MHR), which may be used in the coating of biomedical devices, according to their chemical, physical and biological properties. In particular, MHR fragments can be considered as nanocoatings forming a 6–10 nm thick layer covalently linked onto varies surfaces [33,34,35,36].
Figure 1. Pectins consist if (a) galacturonic acid and (b) methylesterified homogalacturonan (see the text for details) [37,38].
Figure 1. Pectins consist if (a) galacturonic acid and (b) methylesterified homogalacturonan (see the text for details) [37,38].
Implant failure often appears as a consequence of excessive host reactions at the implanted tissue area. Different and partially opposing immunological effects of pectins have been described. Certain pectins showed some anti-inflammatory properties in vitro, a promising and favorable trait in medical device tuning [39,40]. On the other hand, some pectins promoted in vitro immunological responses [41,42]. Interestingly, it was reported that, in some cases, a whole pectin molecule is immunologically inert, differently from its degradation fragments [43].
Thus, pectins are nowadays under enthusiastic investigation in the biomaterial field as novel candidates for soft and hard tissue engineering and dental titanium coating [32,33,35,36,44]. Promising in vitro and in vivo results indicate the possibility of using enzymatically modified apple pectin fragments as dental implant nano-coatings [13,45]. Biocompatibility of titanium implant materials appeared to be improved when coated with two apple-derived MHR molecules (MHR-A and MHR-B). MHR were obtained by treating homogenized apple tissues in vitro with commercial pectinolytic enzyme mixtures, which allowed to separate the rhamnogalacturonan and homogalacturonan regions of a pectin molecule into suspension [45]. A 6–10 nm thick MHR pectin nanocoating on the titanium surface was produced by grafting MHRs onto titanium samples by carbodiimide condensation: indeed, amino groups, present onto titanium and obtained via allylamine plasma deposition, were covalently linked to the carboxyl groups of MHR [45].
Kokkonen and colleagues conducted a preliminary study on primary rat bone cells (both osteoblasts and osteoclasts) and murine preosteoblastic MC3T3-E1 cell line, where the enzymatically modified hairy regions (A and B) of apple pectins were covalently attached to tissue culture on polystyrene or glass [39]. As described by a previous work, the surface-functionalization was obtained by means of aminating plasma deposition process, then coated with MHR using carbodiimide-mediated condensation between deposited amino groups and carboxyl groups of MHR [32]. MHR-B coating, in particular, showed a better interaction with cells, if compared to MHR-A, with enhanced bone cell proliferation, attachment and differentiation. The most interesting result concerned osteoblast paxillin-stained focal adhesions, an indicator of cell attachment to the substrate: clear paxillin spots on MHR-B and bone were detectable referring to primary bone osteoblastic cells, since focal adhesions were well-formed and abundant [46]. Therefore, the authors assessed the effects of MHR of apple pectins on the growth and differentiation of mammalian bone cells, which demonstrated to be sensitive to modifications of pectic coatings, preferring rhamnogalacturonans with shorter side chains in parameters studied.
Then, the possibility to modify dental titanium surfaces with pectin nanocoatings was further investigated in order to enhance osteoblast differentiation. MC3T3-E1 cell line, primary murine cells and human mesenchymal cells (hMC) were cultured on titanium disks, coated with the above reported rhamnogalacturonan-rich modified hairy regions (MHR-A and MHR-B) of apple pectins [45]. Consistently with their previous paper, Kokkonen et al. reported as MHRs-B and pure titanium (but not MHRs-A) seem to be the most favorable for osteoblast cell spreading, as well related to the highest abundance of cellular focal adhesions and to an increasing amount of calcium deposition. Moreover, after ten day of differentiation, when hMC morphology was fully osteoblastic, cells cultured on MHRs-B showed the highest alkaline phosphatase activity, supporting an increased osteoblast differentiation. Modified pectic nano-coating in vitro appears to be a promising direction to enhance the biocompatibility of bone and dental implants [45]. In particular, the authors explained the higher activity of MHRs-B by considering the relationship between cellular preference and surface wettability [32,47]: more hydrophobic MHRs-B were markedly more biocompatible than the more wettable MHRs-A [48].
On this basis, Kokkonen and co-workers investigated the in vivo inflammatory responses of titanium implants coated with the same two different apple pectin MHRs (MHRs-A and MHRs-B) [13]. They reported, for the first time, that pectin molecule covalent engraftment of cylindrical titanium samples was relatively well-tolerated in mammalian tissues in terms of immunological sensitivity. In particular, they used histological analysis of the thickness of peri-implant capsule together with the presence of macrophages and/or foreign body giant cells as indicators of physiological responses [13]. However, the thickness of capsule is just a stromal response rather than a real inflammatory indicator, and it needs to be also corroborated by the presence of activated macrophages or foreign body giant cells in the capsules. In Sprague-Dawley rats, they reported a thicker capsule around MHR-B implants, after 1 week of implantation, whereas, after 3 weeks, this difference disappeared. Moreover, the cell profile of the capsule was not associated to the presence of foreign body giant cells in any of the samples [13]. A few activated mononuclear macrophages were observed similarly in all sample types at both time points, but interestingly none of these was at the fibrotic capsule area [13]. As the authors suggested, these data represent an interesting outcome, since foreign macromolecules of botanical origin could be expected to induce strong inflammatory response during continual tissue contact. Instead, these results suggested the in vivo tolerability of covalently linked pectins, and the feasibility of pectin-coated dental implants for clinical uses.
However, to date, no result on osseointegration is provided, being the preclinical data limited to soft tissue implantation. Even if they are pivotal to highlight the absence of inflammatory response, corroborating the hypothesis of material biocompatibility, they cannot be considered a direct evidence of dental rehabilitation utility, but a promising starting point for future research.

3. Plant Product-Based in Periodontal Regenerative Therapy

Regenerative periodontal therapy has the final objective “to predictably restore the tooth’s supporting periodontal tissues (i.e., new periodontal ligament, new cementum with inserting periodontal ligament fibers and new alveolar bone) that have been lost due to periodontal disease or dental trauma” [49].
Biomimetic molecules have been proposed alone or in association with guided tissue regeneration or guided bone regeneration, using biocompatible barriers. The rationale of using this molecules is based on their ability to promote growth and differentiation of cells of periodontal apparatus, mimicking physiological tooth formation and periodontal attachment development [50].
Different functionalizations of scaffold have been proposed, mainly using growth factors and other proteins from animal origin, involved in matrix or bone morphogenesis: BMP, bone morphogenetic protein; FGF, fibroblast growth factor; EMD, Enamel Matrix Derivative; PDGF, plateled-derived growth factor; IGF, insulin-like growth factor; and TGF, transforming growth factor [51]. They were tested on both periodontal ligament cells and cementoblasts, on what concerned migration, proliferation, differentiation and matrix gene expression: beside their in vitro effects, they were not able to regenerate a new cementum and peridodontal ligament in vivo, probably because of (i) the diversity of progenitor cells, related to reminiscent periodontal tissues; (ii) the stability of these factors in wound area; and (iii) the limited knowledge about the timing of target cell modulation by these factors [52,53,54].
Some natural products, originating from medicinal and food plants, have been reported to have a beneficial role against periodontal disease [55] and in promoting periodontal healing, i.e., Cissus quadrangularis, Carthamus tinctorius and Glycine max (Table 1) [56].

3.1. Cissus quadrangularis L.

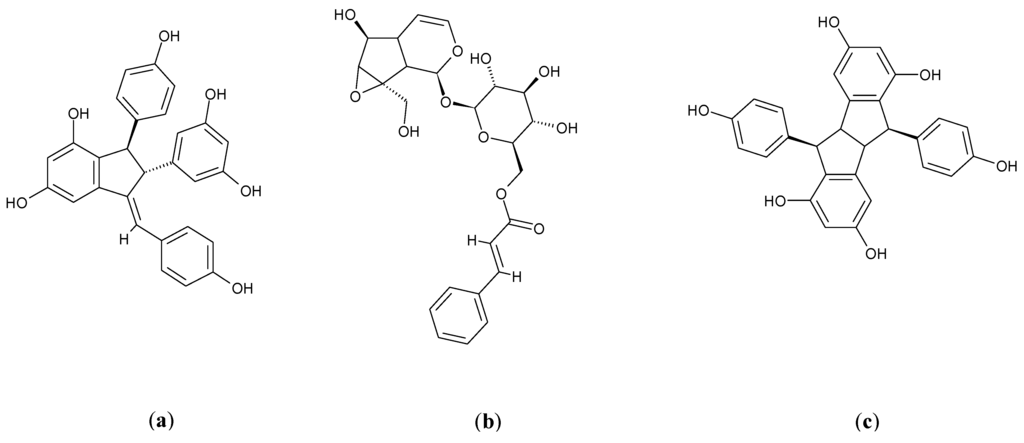
It is a perennial medicinal plant indigenous to Asia and Africa and belonging to the Vitaceae family. C. quadrangularis (Hadjod in Hindi) is a succulent climbing shrub with quadrangular-sectioned stems, reaching a height of 1.5 m. In Indian traditional systems of medicine (Ayurveda and Unani), almost entire plant (stem, root and shoots) is used to cure various ailments [57]. In particular, stem paste, dry root and shoot powder exert powerful fracture-healing properties [58]. Other ethnomedicinal uses include the treatment of scurvy, menstrual disorders, hemorrhoids, muscular and joint pains, asthma, epistaxis, otorrhoea, burns and wounds [57]. Phytochemical analyses revealed that C. quadrangularis contain high amount of vitamin C, β-carotene, tritepenoids, β-sitosterols, iridoids, flavonoids and stilbenes, among which quadrangularin A, B, and C (Figure 2) [58,59].
The extracts of C. quadrangularis stem showed anti-inflammatory properties [60,61,62] and were used in enhancing osteoblast proliferation, bone fracture healing, ossification of fetal bone and increasing the thickness of trabecular bone [63,64,65]. The exact molecular mechanism involved in C. quadrangularis-promoted osteogenesis is still to be elucidated, despite some mechanisms have been proposed. Firstly, some evidence suggested an involvement of the Wnt signaling, which plays a significant role in the control of osteoblastogenesis and bone formation [63]. Then, C. quadrangularis may also regulate osteoblastic activity by increasing alkaline phosphatase (ALP) activity, likely by the MAPK-dependent pathway, and enhancing the mineralization process [66]. Moreover, C. quadrangularis extracts were reported to contain steroids, ascorbic acid, carotene and calcium [67]. The phytoestrogenic steroids found in C. quadrangularis may be involved in stimulating osteoblastogenesis and may act on estrogen receptors of bone cells [63].
Figure 2. Bioactive phytochemicals of Cissus quadrangularis L.: (a) quadrangularin A (a stilbene dimer arising from resveratrol); (b) picroside I (an iridoid glycoside); (c) pallidol (a dimer of the stilbene resveratrol).
Figure 2. Bioactive phytochemicals of Cissus quadrangularis L.: (a) quadrangularin A (a stilbene dimer arising from resveratrol); (b) picroside I (an iridoid glycoside); (c) pallidol (a dimer of the stilbene resveratrol).
The role of C. quadrangularis in periodontal regeneration of intrabony periodontal defects has been evaluated, in association with hydroxyapatite bone filler, in a recent pilot clinical trial [68]. The authors clinically evaluated, on twenty patients with intrabony defects, the efficacy of a composite graft material composed of bovine-derived hydroxyapatite (HA) combined with C. quadrangularis (test group), as compared to HA alone (control group), after scaling and root planning treatments. At 6 month follow-up, the authors did not observe differences in clinical measurements between the two group; they only reported that the test group showed a slight better performance, without a statistical difference [68]. On the other hand, they provided evidence of more favorable measurements for both treatments if compared to baseline [68].
To date, no adjunctive benefit seems to be reported by the use of C. quadrangularis in association to scaling, root planning and HA, even if a slight improvement can be noted. It is possible that future studies, including a larger number of patients, may clarify the potential role of C. quadrangularis as a modulator in periodontal regenerative therapy.

3.2. Carthamus tinctorius L.

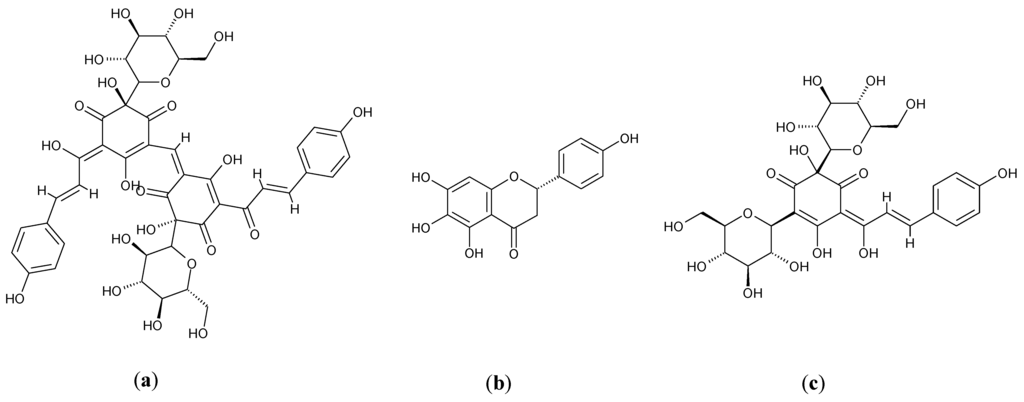
Safflower (Carthamus tinctorius L.) is an annual chrysanthemum plant belonging to the Asteraceae family. It is an important oilseed crop cultivated throughout the semiarid regions of the world for its high content of linoleic acid. The edible oil derived from the seeds is also rich in α-tocopherol, and its consumption help to lower blood cholesterol. As well, safflower petals also contains red (water-insoluble) and yellow (water-soluble) pigments utilized for producing herbal medicines, food colorants, cosmetics, textile and natural dyes (Figure 3) [69,70]. The florets of C. tinctorius have been used as a remedy for stroke, gynecological disease, coronary heart disease, angina pectoris and hypertension in Chinese folk medicine [69]. In Korea, the safflower seed extracts have traditionally been used for the promotion of bone formation and the prevention of osteoporosis [15,71].
Figure 3. Bioactive phytochemicals of Carthamus tinctorius L.: (a) carthamin (a glucosylquinochalcone); (b) carthamidin (a flavonoid arising from chalcone); (c) safflomin A (a glucosylquinochalcone).
Figure 3. Bioactive phytochemicals of Carthamus tinctorius L.: (a) carthamin (a glucosylquinochalcone); (b) carthamidin (a flavonoid arising from chalcone); (c) safflomin A (a glucosylquinochalcone).
Only Korean articles are available dealing with the potential beneficial effects of safflower on (i) bone formation in rat calvarian bone defects [72,73]; (ii) development of calcification nodules in periodontal ligament and osteoblast cells; (iii) mRNA expression of alkaline phosphatase and bone sialoprotein [69].
In the last two decades, safflower seed extracts have been investigated to treat intrabony defects in beagle dogs [15,74]. In the first study, Kim and colleagues evaluated the efficacy of a safflower seed extract (SSE) as filler for the regeneration of periodontal tissue, in a preclinical 1-wall intrabony defect model in beagle dogs [15]. They considered a defect with only an inter-proximal bony wall which had minimal self-healing capacities [53]. After root planning, they compared the use of a safflower seed extract added to a collagen sponge (SSE/Col) with phosphate-buffered saline/collagen (buffer control), or root planning only (surgical control) [15]. In particular, among the different safflower seed fraction extracts, the fraction extracted with water and methanol showed the best activity in the formation of calcification nodules in osteoblasts [69]. Histologic and histometric evaluations, at 8 weeks, suggested that new alveolar bone formation was significantly higher in the defects receiving SSE/Col than in the two control groups; the amount of new cementum was significantly increased in both SSE/Col and buffer control groups if compared to the surgical one [15].
Using the same experimental set up, the same research group investigated the possibility to associate the safflower extract to a bioresorbable barrier membrane composed of copolymer polylactide glycolic acid (PLGA) electro-spun non-woven membrane [74]. The PLGA membranes acted as a suitable carrier system for the safflower seed extracts and as a satisfactory barrier membrane. At 8-week healing interval, a significant higher amount of new alveolar bone and new cementum was found in the sites treated with PGLA barrier, independently from the presence of safflower extract [74].
These data agree with the conclusions suggested by Kim and co-workers in considering as surgical implantation in 1-wall intrabony defects of a safflower seed extract/collagen sponge may enhance the formation of new alveolar bone, though this approach has unpredictable potential for stimulating the whole periodontum regeneration [15].

3.3. Glycine max L.

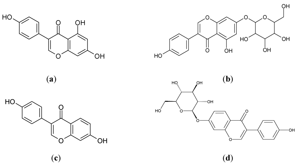
Soya (Glycine max L.) is a legume species (Fabaceae) native to East Asia, widely grown for its edible bean rich in proteins, carbohydrates (about 40% each), oil (about 18%) and minerals (about 2%) [75]. In particular, it is the only plant food that contains all eight essential amino acids [76]. Phytoestrogenic isoflavones (such as genistein and daidzein) (Figure 4) are also present in soya beans, particularly effective in reducing (i) the proliferation of certain cancer cells; (ii) the activity of some immunocompetent cells as well as (iii) of the bone-resorbing cells, the osteoclasts [75]; and (iv) inducing the differentiation of the osteoblasts [77]. Low incidence of breast/prostate cancer and osteoporosis in eastern populations has been indeed ascribed to the regular dietary intake of soya isoflavones [75,76,77]. Genistein and daidzein are found abundantly in soya as inactive glycosylated forms, genistin and daidzin (Figure 4), respectively, which can be readily converted into aglycones, the bioactive metabolites, by hydrolysis in body fluids such as human plasma [75].
Figure 4. Bioactive phytochemicals of glucine max L. include the isoflavones genistein (a), daidzein (b) and their glycosides genistin (c) and daidzin (d), respectively.
Figure 4. Bioactive phytochemicals of glucine max L. include the isoflavones genistein (a), daidzein (b) and their glycosides genistin (c) and daidzin (d), respectively.
Despite the gold standard in bone replacement, to date, is still the autologous bone graft, alternatives were proposed because of limited bone graft availability, patient’s morbidity and risk of transmittable diseases associated with allografts. A novel biodegradable biomaterial has been obtained by simple thermosetting of defatted soya bean curd, produced by a relatively simple and inexpensive process and able to enhance tissue regeneration. It was also hypothesized that the immunogenic response potentially elicited by soya bean xenogenic proteins could be counterbalanced by the known immunosuppressant activity of isoflavones [78].
Recently, Santin and colleagues reported as soybean-based biomaterial granules reduced the activity of monocytes/macrophages and osteoclasts, whereas osteoblast differentiation was induced in vitro [79]. An in vivo study on rabbit found that the implantation of soybean-based granules, after 8 weeks, produced bone repair with different features from those obtained by healing in a non-treated defect [17]. The authors performed a critical size defect on distal femoral canal, mostly constituted of trabecular bone and where bone remodeling can be studied both in terms of bone turn-over and trabecular morphology: in the test sites, where soybean-based biomaterial was used, trabecular bone (or woven bone) was found, with well organized maturing trabeculae, then physiologically replaced by lamellar bone after 8 weeks, whilst the control (not-filled) sites showed a large defect, then filled by a pseudo-cortical bone [17].
These data demonstrated the potential of soybean granules in bone regeneration: their intrinsic bioactivity, combined with their relatively easy and cost-effective preparation procedures, make them suitable candidates as a bone filler in clinical applications.

4. Conclusions

Plant-derived products represent novel and interesting candidates for biomaterial applications, including dental research fields. Nutraceuticals and phytochemicals can be considered as promising aids in improving the bioactivity of biomaterial, as an alternative to pharmaceuticals and animal-derived compounds.
Certainly, as often occurs, there are some advantages and some disadvantages to deal with.
Due to their botanical origin, the attainment and use of plant products should not raise ethical questions. They are usually readily available and economical, most of them are low immunogenic and, at low concentration, not toxic by themselves, though still bioactive. On the other hand, some extracts and compounds are difficult to obtain, needing long and complex protocols of extraction, chemical characterization and isolation, often with a low yield. In some cases, isolating a single compound in significant amounts remains a challenge.
As Table 1 points out, recent literature fails to correlate dental biomaterials to plant products, with only four natural compounds investigated. The presence of only one clinical trial, not able to identify any additional benefit, in addition to some in vivo studies that do not provide convincing data, does not suggest that clinical application is appropriate. It is apparent that there is a general lack of scientific investigations in this field which could well be corrected in the next decades, with both biomaterials and plant-derived compounds becoming “hot topics”.

Acknowledgments

CARIPLO FOUNDATION NutriAl Network: Internationalization and Excellence for the Innovation of Food Production and for Knowledge Development in Nutraceutical-Healthy field, Grant for the Promotion of Excellence Human Value—University project 2009 (University of Piemonte Orientale).

References

  1. Avila, G.; Misch, K.; Galindo-Moreno, P.; Wang, H.-L. Implant surface treatment using biomimetic agents. Implant Dent. 2009, 18, 17–26. [Google Scholar] [CrossRef]
  2. Reyes, C.D.; Petrie, T.A.; Burns, K.L.; Schwartz, Z.; García, A.J. Biomolecular surface coating to enhance orthopaedic tissue healing and integration. Biomaterials 2007, 28, 3228–3235. [Google Scholar] [CrossRef]
  3. Le Guéhennec, L.; Soueidan, A.; Layrolle, P.; Amouriq, Y. Surface treatments of titanium dental implants for rapid osseointegration. Dent. Mater. 2007, 23, 844–854. [Google Scholar] [CrossRef]
  4. Brunski, J.B. In vivo bone response to biomechanical loading at the bone/dental-implant interface. Adv. Dent. Res. 1999, 13, 99–119. [Google Scholar] [CrossRef]
  5. Wennerberg, A.; Albrektsson, T. Effects of titanium surface topography on bone integration: A systematic review. Clin. Oral Implant. Res. 2009, 20, S172–S184. [Google Scholar] [CrossRef]
  6. Albrektsson, T.; Brunski, J.; Wennerberg, A. “A requiem for the periodontal ligament” revisited. Int. J. Prosthodont. 2009, 22, 120–122. [Google Scholar]
  7. Clarke, S.A.; Revell, P.A. Integrin expression at the bone/biomaterial interface. J. Biomed. Mater. Res. 2001, 57, 84–91. [Google Scholar] [CrossRef]
  8. Kellar, R.S.; Kleinert, L.B.; Williams, S.K. Characterization of angiogenesis and inflammation surrounding ePTFE implanted on the epicardium. J. Biomed. Mater. Res. 2002, 61, 226–233. [Google Scholar] [CrossRef]
  9. Roberts, W.E. Bone tissue interface. J. Dent. Educ. 1988, 52, 804–809. [Google Scholar]
  10. Morra, M. Biochemical modification of titanium surfaces: Peptides and ECM proteins. Eur. Cell Mater. 2006, 12, 1–15. [Google Scholar]
  11. Junker, R.; Dimakis, A.; Thoneick, M.; Jansen, J.A. Effects of implant surface coatings and composition on bone integration: A systematic review. Clin. Oral Implant. Res. 2009, 20, S185–S206. [Google Scholar] [CrossRef]
  12. Kokkonen, H.; Cassinelli, C.; Verhoef, R.; Morra, M.; Schols, H.A.; Tuukkanen, J. Differentiation of osteoblasts on pectin-coated titanium. Biomacromolecules 2008, 9, 2369–2376. [Google Scholar] [CrossRef]
  13. Kokkonen, H.; Niiranen, H.; Schols, H.A.; Morra, M.; Stenbäck, F.; Tuukkanen, J. Pectin-coated titanium implants are well-tolerated in vivo. J. Biomed. Mater. Res. A 2010, 93, 1404–1409. [Google Scholar]
  14. Jain, A.; Dixit, J.; Prakash, D. Modulatory effects of Cissus quadrangularis on periodontal regeneration by bovine-derived hydroxyapatite in intrabony defects: Exploratory clinical trial. J. Int. Acad. Periodontol. 2008, 10, 59–65. [Google Scholar]
  15. Kim, H.-Y.; Kim, C.-S.; Jhon, G.-J.; Moon, I.-S.; Choi, S.-H.; Cho, K.-S.; Chai, J.-K.; Kim, C.-K. The effect of safflower seed extract on periodontal healing of 1-wall intrabony defects in beagle dogs. J. Periodontol. 2002, 73, 1457–1466. [Google Scholar] [CrossRef]
  16. Song, W.-S.; Kim, C.-S.; Choi, S.-H.; Jhon, G.-J.; Kim, H.-Y.; Cho, K.-S.; Kim, C.-K.; Chai, J.-K. The effects of a bioabsorbable barrier membrane containing safflower seed extracts on periodontal healing of 1-wall intrabony defects in beagle dogs. J. Periodontol. 2005, 76, 22–33. [Google Scholar] [CrossRef]
  17. Merolli, A.; Nicolais, L.; Ambrosio, L.; Santin, M. A degradable soybean-based biomaterial used effectively as a bone filler in vivo in a rabbit. Biomed. Mater. 2010, 5. [Google Scholar]
  18. Yapo, B.M. Pineapple and banana pectins comprise fewer homogalacturonan building blocks with a smaller degree of polymerization as compared with yellow passion fruit and lemon pectins: Implication for gelling properties. Biomacromolecules 2009, 10, 717–721. [Google Scholar] [CrossRef]
  19. Redondo-Nevado, J.; Moyano, E.; Medina-Escobar, N.; Caballero, J.L.; Muñoz-Blanco, J. A fruit-specific and developmentally regulated endopolygalacturonase gene from strawberry (Fragaria × ananassa cv. Chandler). J. Exp. Bot. 2001, 52, 1941–1945. [Google Scholar] [CrossRef]
  20. Vincken, J.-P.; Schols, H.A.; Oomen, R.J.F.J.; McCann, M.C.; Ulvskov, P.; Voragen, A.G.J.; Visser, R.G.F. If homogalacturonan were a side chain of rhamnogalacturonan I. Implications for cell wall architecture. Plant Physiol. 2003, 132, 1781–1789. [Google Scholar] [CrossRef]
  21. Bonnin, E.; Dolo, E.; Le Goff, A.; Thibault, J.-F. Characterisation of pectin subunits released by an optimised combination of enzymes. Carbohydr. Res. 2002, 337, 1687–1696. [Google Scholar] [CrossRef]
  22. Liu, L.; Won, Y.J.; Cooke, P.H.; Coffin, D.R.; Fishman, M.L.; Hicks, K.B.; Ma, P.X. Pectin/poly(lactide-co-glycolide) composite matrices for biomedical applications. Biomaterials 2004, 25, 3201–3210. [Google Scholar] [CrossRef]
  23. Munarin, F.; Guerreiro, S.G.; Grellier, M.A.; Tanzi, M.C.; Barbosa, M.A.; Petrini, P.; Granja, P.L. Pectin-based injectable biomaterials for bone tissue engineering. Biomacromolecules 2011, 12, 568–577. [Google Scholar] [CrossRef]
  24. Munarin, F.; Giuliano, L.; Bozzini, S.; Tanzi, M.C.; Petrini, P. Mineral phase deposition on pectin microspheres. Mat. Sci. Eng. C 2010, 30, 491–496. [Google Scholar] [CrossRef]
  25. Munarin, F.; Petrini, P.; Tanzi, M.C.; Barbosa, M.A.; Granja, P.L. Biofunctional chemically modified pectin for cell delivery. Soft Matter 2012, 8, 4731–4739. [Google Scholar]
  26. Mishra, R.K.; Datt, M.; Pal, K.; Banthia, A.K. Preparation and characterization of amidated pectin based hydrogels for drug delivery system. J. Mater. Sci. Mater. Med. 2008, 19, 2275–2280. [Google Scholar] [CrossRef]
  27. Munarin, F.; Petrini, P.; Farè, S.; Tanzi, M.C. Structural properties of polysaccharide-based microcapsules for soft tissue regeneration. J. Mater. Sci. Mater. Med. 2010, 21, 365–375. [Google Scholar] [CrossRef]
  28. Ishii, T.; Matsunaga, T. Pectic polysaccharide rhamnogalacturonan II is covalently linked to homogalacturonan. Phytochemistry 2001, 57, 969–974. [Google Scholar]
  29. Willats, W.G.; McCartney, L.; Mackie, W.; Knox, J.P. Pectin: Cell biology and prospects for functional analysis. Plant Mol. Biol. 2001, 47, 9–27. [Google Scholar] [CrossRef]
  30. Schols, H.A.; Voragen, A.G.; Colquhoun, I.J. Isolation and characterization of rhamnogalacturonan oligomers, liberated during degradation of pectic hairy regions by rhamnogalacturonase. Carbohydr. Res. 1994, 256, 97–111. [Google Scholar] [CrossRef]
  31. Schols, H.A.; Vierhuis, E.; Bakx, E.J.; Voragen, A.G. Different populations of pectic hairy regions occur in apple cell walls. Carbohydr. Res. 1995, 275, 343–360. [Google Scholar] [CrossRef]
  32. Morra, M.; Cassinelli, C.; Cascardo, G.; Nagel, M.-D.; Della Volpe, C.; Siboni, S.; Maniglio, D.; Brugnara, M.; Ceccone, G.; Schols, H.A.; et al. Effects on interfacial properties and cell adhesion of surface modification by pectic hairy regions. Biomacromolecules 2004, 5, 2094–2104. [Google Scholar] [CrossRef]
  33. Nagel, M.-D.; Verhoef, R.; Schols, H.; Morra, M.; Knox, J.P.; Ceccone, G.; Della Volpe, C.; Vigneron, P.; Bussy, C.; Gallet, M.; et al. Enzymatically-tailored pectins differentially influence the morphology, adhesion, cell cycle progression and survival of fibroblasts. Biochim. Biophys. Acta 2008, 1780, 995–1003. [Google Scholar] [CrossRef]
  34. Caffall, K.H.; Mohnen, D. The structure, function, and biosynthesis of plant cell wall pectic polysaccharides. Carbohydr. Res. 2009, 344, 1879–1900. [Google Scholar] [CrossRef]
  35. Chen, C.-H.; Sheu, M.-T.; Chen, T.-F.; Wang, Y.-C.; Hou, W.-C.; Liu, D.-Z.; Chung, T.-C.; Liang, Y.-C. Suppression of endotoxin-induced proinflammatory responses by citrus pectin through blocking LPS signaling pathways. Biochem. Pharmacol. 2006, 72, 1001–1009. [Google Scholar]
  36. Salman, H.; Bergman, M.; Djaldetti, M.; Orlin, J.; Bessler, H. Citrus pectin affects cytokine production by human peripheral blood mononuclear cells. Biomed. Pharmacother. 2008, 62, 579–582. [Google Scholar] [CrossRef]
  37. Yapo, B.M. Pectic substances: From simple pectic polysaccharides to complex pectins—A new hypothetical model. Carbohyd. Polym. 2011, 86, 373–385. [Google Scholar] [CrossRef]
  38. Mohnen, D. Pectin structure and biosynthesis. Curr. Opin. Plant Biol. 2008, 11, 266–277. [Google Scholar] [CrossRef]
  39. Wang, N.L.; Kiyohara, H.; Matsumoto, T.; Otsuka, H.; Hirano, M.; Yamada, H. Polyclonal antibody against a complement-activating pectin from the roots of Angelica acutiloba. Planta Med. 1994, 60, 425–429. [Google Scholar] [CrossRef]
  40. Sakurai, M.H.; Matsumoto, T.; Kiyohara, H.; Yamada, H. B-cell proliferation activity of pectic polysaccharide from a medicinal herb, the roots of Bupleurum falcatum L. and its structural requirement. Immunology 1999, 97, 540–547. [Google Scholar] [CrossRef]
  41. Michaelsen, T.E.; Gilje, A.; Samuelsen, A.B.; Høgåsen, K.; Paulsen, B.S. Interaction between human complement and a pectin type polysaccharide fraction, PMII, from the leaves of Plantagomajor L. Scand. J. Immunol. 2000, 52, 483–490. [Google Scholar] [CrossRef]
  42. Dourado, F.; Madureira, P.; Carvalho, V.; Coelho, R.; Coimbra, M.A.; Vilanova, M.; Mota, M.; Gama, F.M. Purification, structure and immunobiological activity of an arabinan-rich pectic polysaccharide from the cell walls of Prunus dulcis seeds. Carbohydr. Res. 2004, 339, 2555–2566. [Google Scholar] [CrossRef]
  43. Wang, X.-S.; Dong, Q.; Zuo, J.-P.; Fang, J.-N. Structure and potential immunological activity of apectin from Centellaasiatica (L.) Urban. Carbohydr. Res. 2003, 338, 2393–2402. [Google Scholar] [CrossRef]
  44. Bussy, C.; Verhoef, R.; Haeger, A.; Morra, M.; Duval, J.-L.; Vigneron, P.; Bensoussan, A.; Velzenberger, E.; Cascardo, G.; Cassinelli, C.; et al. Modulating in vitro bone cell and macrophage behavior by immobilized enzymatically tailored pectins. J. Biomed. Mater. Res. A 2008, 86, 597–606. [Google Scholar]
  45. Kokkonen, H.E.; Ilvesaro, J.M.; Morra, M.; Schols, H.A.; Tuukkanen, J. Effect of modified pectin molecules on the growth of bone cells. Biomacromolecules 2007, 8, 509–515. [Google Scholar] [CrossRef]
  46. Bumgardner, J.D.; Wiser, R.; Elder, S.H.; Jouett, R.; Yang, Y.; Ong, J.L. Contact angle, protein adsorption and osteoblast precursor cell attachment to chitosan coatings bonded to titanium. J. Biomater. Sci. Polym. Ed. 2003, 14, 1401–1409. [Google Scholar] [CrossRef]
  47. Nagel, M.-D.; Verhoef, R.; Schols, H.; Morra, M.; Knox, J.P.; Ceccone, G.; Della Volpe, C.; Vigneron, P.; Bussy, C.; Gallet, M.; et al. Enzymatically-tailored pectins differentially influence the morphology, adhesion, cell cycle progression and survival of fibroblasts. Biochim. Biophys. Acta 2008, 1780, 995–1003. [Google Scholar] [CrossRef]
  48. Sculean, A.; Nikolidakis, D.; Schwarz, F. Regeneration of periodontal tissues: Combinations of barrier membranes and grafting materials—Biological foundation and preclinical evidence: A systematic review. J. Clin. Periodontol. 2008, 35, 106–116. [Google Scholar] [CrossRef]
  49. Trombelli, L.; Farina, R. Clinical outcomes with bioactive agents alone or in combination with grafting or guided tissue regeneration. J. Clin. Periodontol. 2008, 35, 117–135. [Google Scholar] [CrossRef]
  50. Beutner, R.; Michael, J.; Schwenzer, B.; Scharnweber, D. Biological nano-functionalization of titanium-based biomaterial surfaces: A flexible toolbox. J. R. Soc. Interface 2010, 7, S93–S105. [Google Scholar] [CrossRef]
  51. Grzesik, W.J.; Narayanan, A.S. Cementum and periodontal wound healing and regeneration. Crit. Rev. Oral Biol. Med. 2002, 13, 474–484. [Google Scholar] [CrossRef]
  52. Taba, M., Jr.; Jin, Q.; Sugai, J.V.; Giannobile, W.V. Current concepts in periodontal bioengineering. Orthod. Craniofac. Res. 2005, 8, 292–302. [Google Scholar] [CrossRef]
  53. Benatti, B.B.; Silvério, K.G.; Casati, M.Z.; Sallum, E.A.; Nociti, F.H., Jr. Physiological features of periodontal regeneration and approaches for periodontal tissue engineering utilizing periodontal ligament cells. J. Biosci. Bioeng. 2007, 103, 1–6. [Google Scholar] [CrossRef]
  54. Varoni, E.M.; Lodi, G.; Sardella, A.; Carrassi, A.; Iriti, M. Plant polyphenols and oral health: Old phytochemicals for new fields. Curr. Med. Chem. 2012, 19, 1706–1720. [Google Scholar] [CrossRef]
  55. Srivastava, K.A.; Mishra, J.N.; Behera, B.R.; Shrivastava, A.K.; Srivastava, P.; Tiwari, B.N. A plant (Cissus quadrangularis) with various ethnopharmacological action: A review. J. Pharm. Res. 2011, 4, 1887–1890. [Google Scholar]
  56. Deka, D.K.; Lahon, L.C.; Saikia, J.; Mukit, A. Effect of Cissus quadrangularis in accelerating healing process of experimentally fractured radius-ulna of dog, a preliminary study. Indian J. Pharmacol. 1994, 26, 44–45. [Google Scholar]
  57. Mehta, M.; Kaur, N.; Bhutani, K.K. Determination of marker constituents from Cissus quadrangularis Linn. and their quantitation by HPTLC and HPLC. Phytochem. Anal. 2001, 12, 91–95. [Google Scholar] [CrossRef]
  58. Thakur, A.; Jain, V.; Hingorani, L.; Laddha, K.S. Phytochemical Studies on Cissus quadrangularis Linn. Pharmacogn. Res. 2009, 1, 213. [Google Scholar]
  59. Panthong, A.; Supraditaporn, W.; Kanjanapothi, D.; Taesotikul, T.; Reutrakul, V. Analgesic, anti-inflammatory and venotonic effects of Cissus quadrangularis Linn. J. Ethnopharmacol. 2007, 110, 264–270. [Google Scholar] [CrossRef]
  60. Jainu, M.; Mohan, K.V. Protective role of ascorbic acid isolated from Cissus quadrangularis on NSAID induced toxicity through immunomodulating response and growth factors expression. Int. Immunopharmacol. 2008, 8, 1721–1727. [Google Scholar] [CrossRef]
  61. Srisook, K.; Palachot, M.; Mongkol, N.; Srisook, E.; Sarapusit, S. Anti-inflammatory effect of ethyl acetate extract from Cissus quadrangularis Linn may be involved with induction of heme oxygenase-1 and suppression of NF-κB activation. J. Ethnopharmacol. 2011, 133, 1008–1014. [Google Scholar] [CrossRef]
  62. Potu, B.K.; Bhat, K.M.R.; Rao, M.S.; Nampurath, G.K.; Chamallamudi, M.R.; Nayak, S.R.; Muttigi, M.S. Petroleum ether extract of Cissus quadrangularis (Linn.) enhances bone marrow mesenchymal stem cell proliferation and facilitates osteoblastogenesis. Clinics (Sao Paulo) 2009, 64, 993–998. [Google Scholar] [CrossRef]
  63. Potu, B.K.; Rao, M.S.; Nampurath, G.K.; Chamallamudi, M.R.; Nayak, S.R.; Thomas, H. Anti-osteoporotic activity of the petroleum ether extract of Cissus quadrangularis Linn. in ovariectomized Wistar rats. Chang Gung Med. J. 2010, 33, 252–257. [Google Scholar]
  64. Potu, B.K.; Nampurath, G.K.; Rao, M.S.; Bhat, K.M.R. Effect of Cissus quadrangularis Linn on the development of osteopenia induced by ovariectomy in rats. Clin. Ter. 2011, 162, 307–312. [Google Scholar]
  65. Parisuthiman, D.; Singhatanadgit, W.; Dechatiwongse, T.; Koontongkaew, S. Cissus quadrangularis extract enhances biomineralization through up-regulation of MAPK-dependent alkaline phosphatase activity in osteoblasts. In Vitro Cell. Dev. Biol. Anim. 2009, 45, 194–200. [Google Scholar] [CrossRef]
  66. Aswar, U.M.; Bhaskaran, S.; Mohan, V.; Bodhankar, S.L. Estrogenic activity of friedelin rich fraction (IND-HE) separated from Cissus quadrangularis and its effect on female sexual function. Pharmacogn. Res. 2010, 2, 138–145. [Google Scholar] [CrossRef]
  67. Emongor, V. Safflower (Carthamus tinctorius L.) the underutilized and neglected crop: A review. Asian J. Plant Sci. 2010, 9, 299–306. [Google Scholar] [CrossRef]
  68. Chavan, S.P.; Lokhande, V.H.; Nitnaware, K.M.; Nikam, T.D. Influence of growth regulators and elicitors on cell growth and α-tocopherol and pigment productions in cell cultures of Carthamus tinctorius L. Appl. Microbiol. Biotechnol. 2011, 89, 1701–1707. [Google Scholar] [CrossRef]
  69. Huh, J.S.; Kang, J.H.; Yoo, Y.J.; Kim, C.S.; Cho, K.S.; Choi, S.H. The effect of safflower seed fraction extract on periodontal ligament fibroblast and MC3T3-E1 cell in vitro. J. Korean Acad. Periodontol. 2001, 31, 833–846. [Google Scholar]
  70. Kim, S.T.; Jhon, G.J.; Lim, S.H.; Cho, K.S.; Kim, C.K.; Choi, S.H. The effect of safflower seed extract on the bone formation of calvarial bone model in Sprague Dawley rat. J. Korean Acad. Periodontol. 2000, 30, 835–850. [Google Scholar]
  71. You, K.T.; Choi, K.S.; Yun, G.Y.; Kim, E.C.; You, H.K.; Shin, H.S. Healing after implantation of bone substitutes and safflower seeds feeding in rat calvarial defects. J. Korean Acad. Periodontol. 2000, 30, 91–103. [Google Scholar]
  72. Middleton, E., Jr.; Kandaswami, C.; Theoharides, T.C. The effects of plant flavonoids on mammalian cells: Implications for inflammation, heart disease, and cancer. Pharmacol. Rev. 2000, 52, 673–751. [Google Scholar]
  73. Montgomery, K.S. Soy protein. J. Perinat. Educ. 2003, 12, 42–45. [Google Scholar]
  74. Perut, F.; Montufar, E.B.; Ciapetti, G.; Santin, M.; Salvage, J.; Traykova, T.; Planell, J.A.; Ginebra, M.P.; Baldini, N. Novel soybean/gelatine-based bioactive and injectable hydroxyapatite foam: Material properties and cell response. Acta Biomater. 2011, 7, 1780–1787. [Google Scholar] [CrossRef]
  75. Murkies, A.L.; Wilcox, G.; Davis, S.R. Clinical review 92: Phytoestrogens. J. Clin. Endocrinol. Metab. 1998, 83, 297–303. [Google Scholar] [CrossRef]
  76. Taku, K.; Melby, M.K.; Nishi, N.; Omori, T.; Kurzer, M.S. Soy isoflavones for osteoporosis: An evidence-based approach. Maturitas 2011, 70, 333–338. [Google Scholar] [CrossRef]
  77. Zamora-Ros, R.; Knaze, V.; Luján-Barroso, L.; Kuhnle, G.G.C.; Mulligan, A.A.; Touillaud, M.; Slimani, N.; Romieu, I.; Powell, N.; Tumino, R.; et al. Dietary intakes and food sources of phytoestrogens in the European Prospective Investigation into Cancer and Nutrition (EPIC) 24-hour dietary recall cohort. Eur. J. Clin. Nutr. 2012. [Google Scholar]
  78. Friedman, M.; Brandon, D.L. Nutritional and health benefits of soy proteins. J. Agric. Food Chem. 2001, 49, 1069–1086. [Google Scholar] [CrossRef]
  79. Santin, M.; Morris, C.; Standen, G.; Nicolais, L.; Ambrosio, L. A new class of bioactive and biodegradable soybean-based bone fillers. Biomacromolecules 2007, 8, 2706–2711. [Google Scholar] [CrossRef]

Share and Cite

MDPI and ACS Style

Varoni, E.M.; Iriti, M.; Rimondini, L. Plant Products for Innovative Biomaterials in Dentistry. Coatings 2012, 2, 179-194. https://doi.org/10.3390/coatings2030179

AMA Style

Varoni EM, Iriti M, Rimondini L. Plant Products for Innovative Biomaterials in Dentistry. Coatings. 2012; 2(3):179-194. https://doi.org/10.3390/coatings2030179

Chicago/Turabian Style

Varoni, Elena M., Marcello Iriti, and Lia Rimondini. 2012. "Plant Products for Innovative Biomaterials in Dentistry" Coatings 2, no. 3: 179-194. https://doi.org/10.3390/coatings2030179

APA Style

Varoni, E. M., Iriti, M., & Rimondini, L. (2012). Plant Products for Innovative Biomaterials in Dentistry. Coatings, 2(3), 179-194. https://doi.org/10.3390/coatings2030179

Article Metrics

Back to TopTop