Skip Content
You are currently on the new version of our website. Access the old version .
CoatingsCoatings
  • This is an early access version, the complete PDF, HTML, and XML versions will be available soon.
  • Article
  • Open Access

5 February 2026

Landslide Susceptibility Mapping Considering Time-Varying Factors Based on Different Models

,
and
1
School of Highway Engineering, Shaanxi College of Communication Technology, Xi’an 710018, China
2
School of Architecture Engineering and Geomatics, Shandong University of Technology, Zibo 255049, China
*
Author to whom correspondence should be addressed.
This article belongs to the Special Issue Development of Low-Carbon Coatings/Materials and Intelligent Construction Protection Technology

Abstract

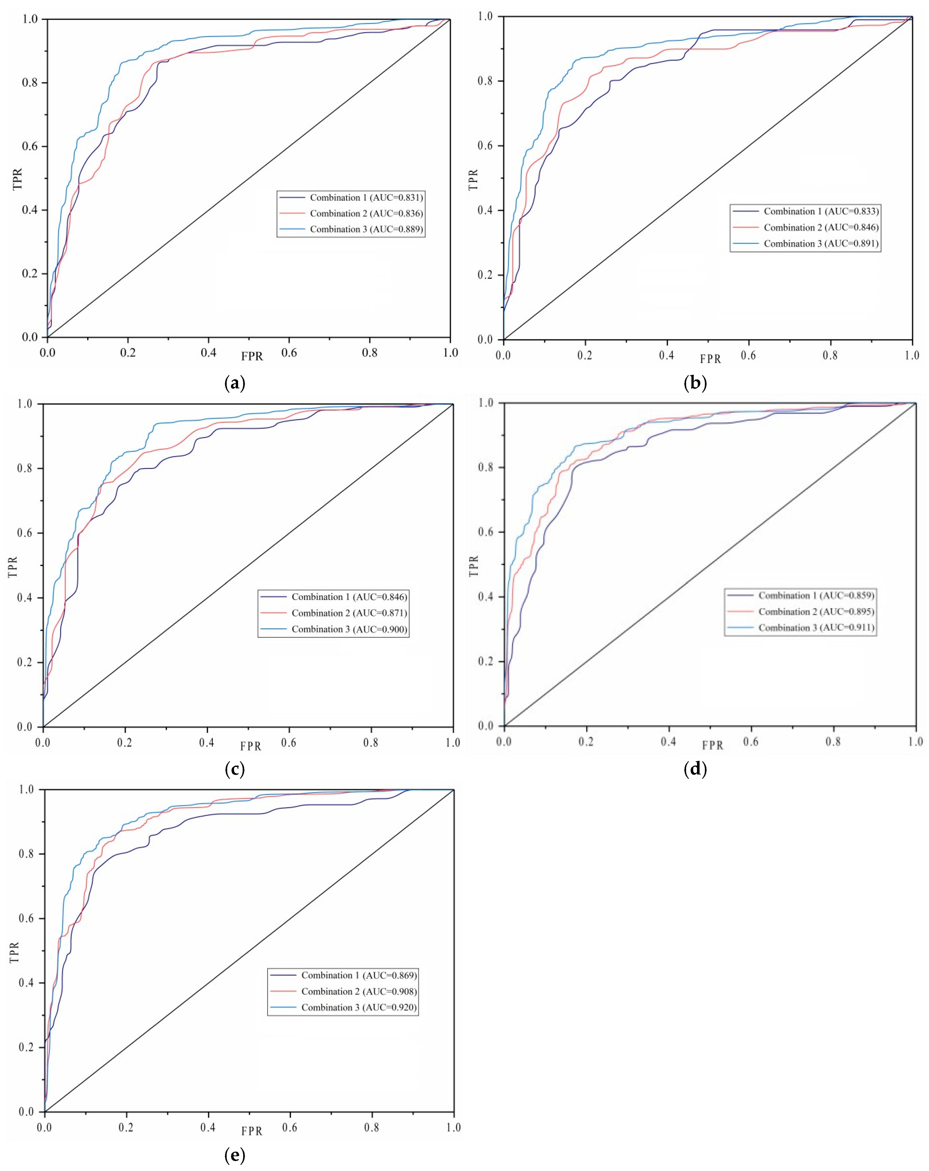
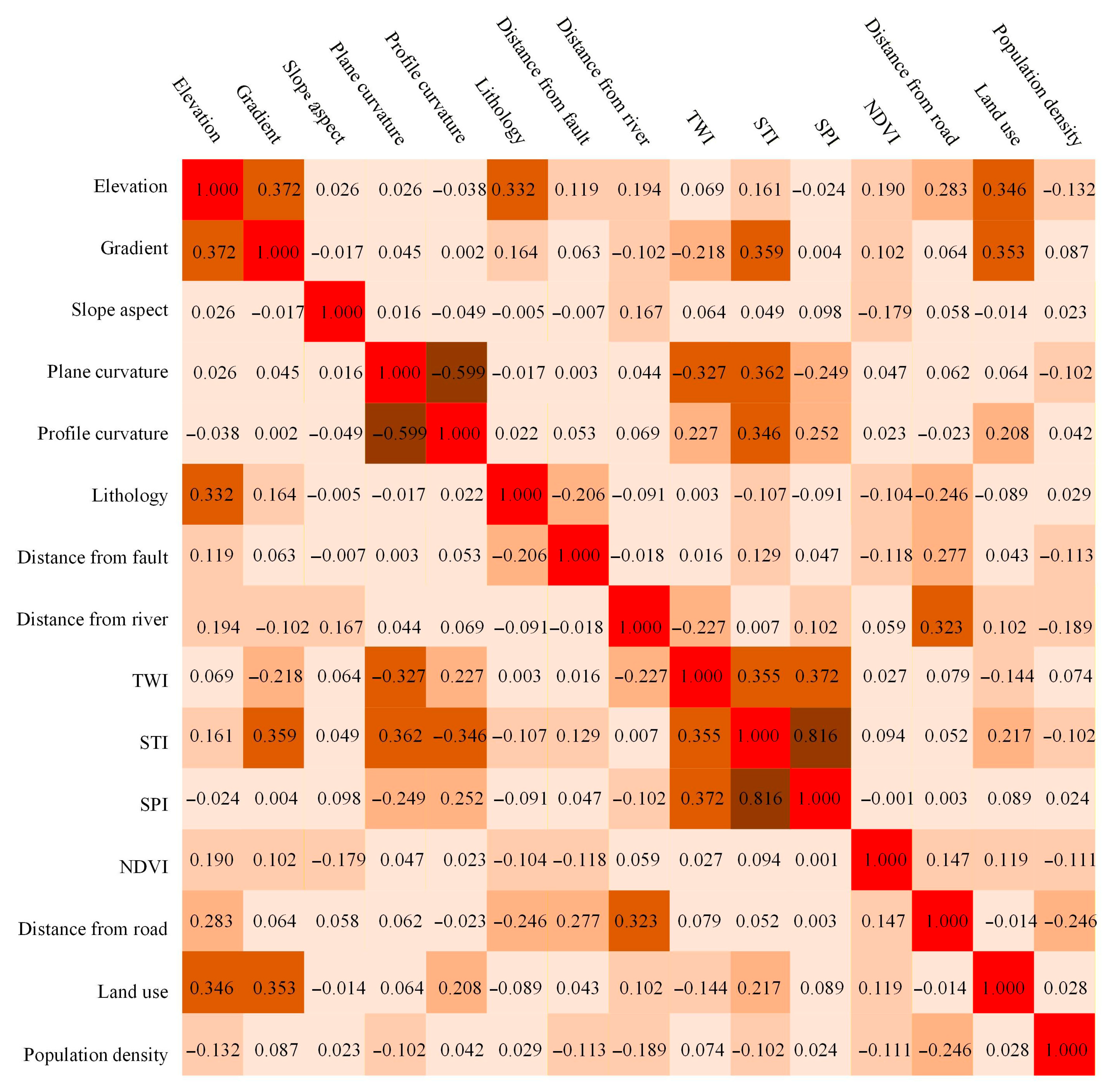
The selection of hazard factors is an important factor affecting the accuracy of landslide susceptibility mapping (LSM). The systematic development of an integrated input framework, incorporating both static and time-varying factors, as well as comparative studies of different input frameworks, remains at a preliminary stage. The degree of fit between each data-driven method and landslide-prone environment cannot be known in advance, so the best modeling method can only be determined through comparative studies. Therefore, the Pearson correlation coefficient method and collinearity diagnostics were used to screen the hazard factors, and three hazard factor combinations, considering both static and time-varying factors, were established. A total of 4498 landslide grids and 4498 non-landslide grids were determined, among which 70% (3149 landslide grids and 3149 non-landslide grids) were training samples, and the remaining 30% (1349 landslide grids and 1349 non-landslide grids) were verification samples. The three combinations were input to five models (Support Vector Machine, Random Forest, Convolutional Neural Network-Random Forest, Convolutional Neural Network-Support Vector Machine and Deep Belief Network-Multilayer Perceptron). The results show that the LSM results of different combinations and models are quite varied, and the combination No.3 and the Deep Belief Network-Multilayer Perceptron are the best. The study area is divided into extremely low susceptible areas, low susceptible areas, medium susceptible areas, high susceptible areas and extremely high susceptible areas, and the extremely high susceptible areas mainly distribute in the northwest, south and east. The other models overestimate the distance from the fault and underestimate the distance from the road. The extreme tendency of LSM results of the combinations No.1 and No.2 are strong, and they are easy to produce error estimation areas, which overestimate the elevation and underestimate the distance from the river. The LSM results of the Convolutional Neural Network-Support Vector Machine are closer to those of the benchmark, which underestimates the distance from the road and overestimates the distance from the fault. This study selected the best combination and model through comparative studies and revealed the degree of influence of each hazard factor on landslide susceptibility, greatly improving LSM accuracy, which can provide a scientific basis for land use planning.

Article Metrics

Citations

Article Access Statistics

Article metric data becomes available approximately 24 hours after publication online.