Simulation and Experimental Study of γ-TiAl Alloy Cutting with scCO2-MQL Based on Modified Heat Transfer Coefficient
Abstract
1. Introduction
2. Theoretical Description of Modified Heat Transfer Coefficient
2.1. Jet Flow Dynamics and Thermodynamic Modelling
2.1.1. Initial Injection Zone Dynamic Model
2.1.2. Initial Injection Zone Thermodynamic Analysis
2.1.3. Fluid Transformation Zone Dynamic Model
2.1.4. Fluid Transformation Zone Thermodynamic Analysis
2.2. Heat Transfer Coefficient Calculation
2.2.1. Basic Heat Transfer Coefficient
2.2.2. Modified Heat Transfer Coefficient
3. Simulation and Experimental Setup
3.1. Simulation Method
3.2. Experimental Configuration
4. Results and Discussion
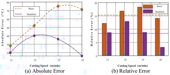
4.1. Model Validation and Accuracy Assessment
4.2. Cutting Force and Temperature Evolution Characteristics
4.3. Multi-Field Distribution Characteristics in Cutting Zone
4.4. Serrated Chip Formation Phenomenon Analysis
5. Conclusions
- A modified heat transfer coefficient model was developed by incorporating two correction factors: (quantifying Mach disk enhancement effects) and (accounting for radial velocity distribution).
- Model validation was conducted through comparative analysis of experimental and simulation results for cutting forces and temperature fields. The modified model exhibited superior predictive performance with 21.8% and 37.3% reductions in average relative error for cutting force and temperature predictions, respectively, compared to the basic model. The predicted thermal and stress distributions demonstrated high consistency with experimental measurements.
- Through comparative simulations between the modified model and basic models, it was found that the modified heat transfer coefficient model demonstrated significantly enhanced consistency between the simulated serrated chip morphology and experimental observations.
Author Contributions
Funding
Institutional Review Board Statement
Informed Consent Statement
Data Availability Statement
Conflicts of Interest
References
- Cheng, T.T.; Willis, M.R.; Jones, I.P. Effects of significant alloying additions on the microstructure and mechanical properties of γ-TiAl. Intermetallics 1999, 7, 89–99. [Google Scholar] [CrossRef]
- Zhang, C.; Wang, W.; Li, H. Tool wear prediction method based on symmetrized dot pattern and multi-covariance Gaussian process regression. Measurement 2021, 189, 110466. [Google Scholar] [CrossRef]
- Xu, R.; Li, M.; Zhao, Y. A review of microstructure control and mechanical performance optimization of γ-TiAl alloys. J. Alloys Compd. 2023, 932, 167611. [Google Scholar] [CrossRef]
- Ye, Y.; Wang, J. An Overview on Application Status and Processing Technology Development of Titanium Alloy. Mater. Rev. 2012, 26, 360–363. [Google Scholar]
- Zhou, L.; Yao, L.; Chen, Y.; Jiang, L.; Wang, C. Supercritical-CO2 Minimum Quantity Lubrication Technology for Hard-to-cut Materials. Tool Eng. 2019, 53, 3–6. [Google Scholar]
- Pimenov, D.Y.; da Silva, L.R.R.; Machado, A.R.; Franca, P.H.P.; Pintaude, G.; Unune, D.R.; Kuntoğlu, M.; Krolczyk, G.M. A comprehensive review of machinability of difficult-to-machine alloys with advanced lubricating and cooling techniques. Tribol. Int. 2024, 196, 109677. [Google Scholar] [CrossRef]
- Lewis, J.; Argyropoulos, J.N.; Nielson, K.A. Supercritical carbon dioxide spray systems. Met. Finish. 2000, 98, 254–262. [Google Scholar] [CrossRef]
- Pušavec, F.; Kopač, J.; Stoic, A.; Balic, J.; Sokovic, M. Sustainability Assessment: Cryogenic Machining of Inconel 718. Stroj. Vestn.—J. Mech. Eng. 2011, 57, 637–647. [Google Scholar] [CrossRef]
- Pereira, O.; Celaya, A.; Urbikaín, G.; Rodríguez, A.; Fernández-Valdivielso, A.; de Lacalle, L.N.L. CO2 cryogenic milling of Inconel 718: Cutting forces and tool wear. J. Mater. Res. Technol. 2020, 9, 8459–8468. [Google Scholar] [CrossRef]
- Supekar, S.D.; Clarens, A.F.; Stephenson, D.A.; Skerlos, S.J. Performance of supercritical carbon dioxide sprays as coolants and lubricants in representative metalworking operations. J. Mater. Process. Technol. 2012, 212, 2652–2658. [Google Scholar] [CrossRef]
- Rahim, E.A.; Rahim, A.A.; Ibrahim, M.R.; Mohid, Z. Experimental Investigation of Supercritical Carbon Dioxide (scCO2) Performance as a Sustainable Cooling Technique. Procedia Cirp 2016, 40, 637–641. [Google Scholar] [CrossRef]
- Khosravi, J.; Azarhoushang, B.; Barmouz, M.; Bösinger, R.; Zahedi, A. High-speed milling of Ti6Al4V under a supercritical CO2 + MQL hybrid cooling system. J. Manuf. Process. 2022, 82, 1–14. [Google Scholar] [CrossRef]
- Proud, L.; Tapoglou, N.; Wika, K.K.; Taylor, C.M.; Slatter, T. Role of CO2 cooling strategies in managing tool wear during the shoulder milling of grade 2 commercially pure titanium. Wear 2023, 524–525, 204798. [Google Scholar] [CrossRef]
- Zhu, L.; Wang, Y.; Nie, S.; Huang, H.; Liu, Z. Thermal Equilibrium Research of Supercritical CO2 Assisted Cutting Process Based on Mass Flow Optimization. J. Mech. Eng. 2024, 60, 367–376. [Google Scholar]
- Zhu, L.; Wang, Y.; Zhang, X.; Bao, H.; Qing, Z.; Peng, K.; Liu, Z.; Huang, H. Thermal equilibrium modeling of cutting zone cooled by supercritical CO2: A case study on Ti-6Al-4V validated with experimental data. J. Manuf. Process. 2023, 98, 54–66. [Google Scholar] [CrossRef]
- Shi, L.; Wang, T.; Liu, E.; Wang, R. Lubrication Mechanism of scCO2-MQL in the Assisted Machining of Titanium Alloys. Machines 2023, 11, 291. [Google Scholar] [CrossRef]
- Proud, L.; Roberts, P.; Xu, N.; Wika, K.K.; Morina, A.; Taylor, C.M. The tool wear and productivity impact of CO2 and emulsion-based cooling when milling diverse titanium alloys. Wear 2025, 570, 206031. [Google Scholar] [CrossRef]
- Luo, T. Fluid Mechanics; China Machine Press: Beijing, China, 2003. [Google Scholar]
- Crist, S.; Glass, D.; Sherman, P. Study of the highly underexpanded sonic jet. AIAA J. 1966, 4, 68–71. [Google Scholar] [CrossRef]
- Zhang, Z.; Dong, Z. Viscous Fluid Mechanics; Tsinghua University Press: Beijing, China, 2011. [Google Scholar]
- Yang, S.; Tao, W. Heat Transfer; Higher Education Press: Beijing, China, 2006. [Google Scholar]
- Wang, X.; Qiu, W.; Niu, J.; Liu, G.; Fu, X.; Guo, P.; Qiao, Y. Experimental and simulation investigation of cutting temperatures in cryogenic machining of titanium aluminide alloys. J. Mech. Eng. 2024, 60, 318–331. [Google Scholar]












| Property | Value |
|---|---|
| Density/(g/cm3) | 3.8 |
| Elastic modulus /GPa | 170 |
| Yield strength/MPa | 525 |
| Tensile strength/MPa | 625 |
| Hardness/HV10 | 320 |
| Thermal conductivity/(W/(m·K) | 6.8 (20 °C), 7.9 (100 °C), 8.8 (200 °C), 10.5 (300 °C), 11.5 (400 °C), 14.4 (600 °C), 17.2 (800 °C) |
| Specific heat capacity/((J/kg·K)) | 565 (20 °C), 678 (100 °C), 691 (200 °C), 741 (400 °C), 854 (600 °C), 933 (800 °C), 1060 (980 °C) |
| Linear expansion coefficient/× | 9.4 (100 °C), 19 (200 °C), 36 (300 °C), 61 (400 °C), 83 (600 °C), 107 (800 °C) |
| Temp (°C) | Density | Specific Heat Capacity | Thermal Conductivity | Viscosity |
|---|---|---|---|---|
| 50 | 219.18 | 2512.5 | 0.032 | 20.48 |
| (W/(m2·K)) | (W/(m2·K)) |
|---|---|
| 13,200 | 16,800 |
| Cutting Tool | Lubrication Method | Cutting Speed vc (m/min) | Feed Rate f (mm/r) | Cutting Depth ap (mm) |
|---|---|---|---|---|
| Cemented carbide cutting tool | scCO2-MQL | 15/25/35/45 | 0.15 | 1 |
| Parameter | Value |
|---|---|
| Compressed air flow rate | 80~120 L/min |
| Carbon dioxide flow rate | 3~6 kg/h |
| Carbon dioxide output pressure | 7.5~8.5 MPa |
| Lubricant flow rate | 0~30 mL/min |
| Control mode | PLC automatic control |
| Carbon dioxide cooling temperature range | −60 °C–0 °C adjustable |
| Micro-quantity lubricant flow rate | 0–60 mL/h adjustable |
| Equipment operating ambient temperature | −15 °C–40 °C |
| Equipment operating power supply | AC220V or AC380V 300 |
Disclaimer/Publisher’s Note: The statements, opinions and data contained in all publications are solely those of the individual author(s) and contributor(s) and not of MDPI and/or the editor(s). MDPI and/or the editor(s) disclaim responsibility for any injury to people or property resulting from any ideas, methods, instructions or products referred to in the content. |
© 2025 by the authors. Licensee MDPI, Basel, Switzerland. This article is an open access article distributed under the terms and conditions of the Creative Commons Attribution (CC BY) license (https://creativecommons.org/licenses/by/4.0/).
Share and Cite
Shi, L.; Zhao, X.; Cui, L.; Chen, H.; Liu, E. Simulation and Experimental Study of γ-TiAl Alloy Cutting with scCO2-MQL Based on Modified Heat Transfer Coefficient. Coatings 2025, 15, 1215. https://doi.org/10.3390/coatings15101215
Shi L, Zhao X, Cui L, Chen H, Liu E. Simulation and Experimental Study of γ-TiAl Alloy Cutting with scCO2-MQL Based on Modified Heat Transfer Coefficient. Coatings. 2025; 15(10):1215. https://doi.org/10.3390/coatings15101215
Chicago/Turabian StyleShi, Limin, Xuehao Zhao, Lixin Cui, Haonan Chen, and Erliang Liu. 2025. "Simulation and Experimental Study of γ-TiAl Alloy Cutting with scCO2-MQL Based on Modified Heat Transfer Coefficient" Coatings 15, no. 10: 1215. https://doi.org/10.3390/coatings15101215
APA StyleShi, L., Zhao, X., Cui, L., Chen, H., & Liu, E. (2025). Simulation and Experimental Study of γ-TiAl Alloy Cutting with scCO2-MQL Based on Modified Heat Transfer Coefficient. Coatings, 15(10), 1215. https://doi.org/10.3390/coatings15101215
