Next Article in Journal
Optimization of Bulk Heterojunction Organic Photovoltaics
Next Article in Special Issue
ZnO Deposition on Silicon and Porous Silicon Substrate via Radio Frequency Magnetron Sputtering
Previous Article in Journal
Effect of Polyethylene-Grafted Maleic Anhydride on the Properties of Flue-Gas Desulfurized Gypsum/Epoxy Resin Composites
 
 
Font Type:
Arial Georgia Verdana
Font Size:
Aa Aa Aa
Line Spacing:
Column Width:
Background:
Article

Enhanced Electrochromic Properties of Nanocrystalline Molybdenum Oxide Films Modified by Dopamine

1
Chongqing Key Laboratory of Extraordinary Bond Engineering and Advanced Materials Technology, College of Materials Science and Engineering, Yangtze Normal University, Chongqing 408100, China
2
Research Department, Wankai New Materials Co., Ltd., Haining 314415, China
*
Author to whom correspondence should be addressed.
Coatings 2023, 13(7), 1292; https://doi.org/10.3390/coatings13071292
Submission received: 27 June 2023 / Revised: 17 July 2023 / Accepted: 20 July 2023 / Published: 24 July 2023
(This article belongs to the Special Issue Recent Advances in Metallic and Metal Oxide Thin Films)

Abstract

Molybdenum oxide (MoO3) electrochromic (EC) materials have not been widely used at present due to relatively poor performance and inadequate research. In order to enhance the EC properties of the MoO3 to achieve the purpose of practical use, the modified nanocrystalline MoO3 films were fabricated by a cheap and simple complexation-assisted sol–gel method followed by annealing at 300 °C. In this method, dopamine (DA) is used as a structure-directing agent and the added amount of DA has a great influence on the structure and morphology and, thus, electrochemical and EC properties of the MoO3 films. Different from the pure MoO3 polycrystalline film, the film modified with a suitable amount of DA possesses a distinctive nanocrystal-embedded amorphous structure, and, thus, can achieve synergy effects of EC properties through combining the advantages of both amorphous phases and nanocrystalline. Therefore, compared with the pure MoO3 film, the modified MoO3 film shows much higher EC properties in terms of optical contrast, coloration efficiency, switching speed, and cycling stability. Moreover, a complementary type EC device with dual active layers (the modified MoO3 film and polyaniline) was fabricated and tested, and the results demonstrate the potential application of the modified MoO3 film.

1. Introduction

Today’s world is experiencing an acute energy shortage due to the fast development of modern society. Reducing energy consumption is one of the major concerns in buildings because buildings account for about 40% of the global primary energy consumption and about 50% of energy in buildings is consumed in cooling, heating and lighting [1,2]. Therefore, it is necessary to develop energy-saving windows to reduce the energy consumption of buildings. Among various energy-saving strategies, electrochromic (EC) smart windows are a very promising technology. The EC window can smartly modulate the heat or light of solar radiation entering the building by changing its optical transmittance, and, thus, is conducive to reducing the energy consumption of air conditioning and artificial lighting and creating comfortable indoor environments.
EC materials are the core component and play an important role for the development of the above-mentioned technologies. EC materials can persistently and reversibly change their color, absorption, transmittance or reflectance induced by a small, applied voltage. Therefore, they can be widely applied to EC smart windows, energy-saving displays, antiglare automobile rear-view mirrors, energy storage systems, wearable devices, military camouflage, and so on. EC materials are considered to be one of the most promising energy-saving materials, in which transition metal oxides have become the focus of research owing to the advantages of their high stability and long lifetime [3,4,5].
Among the numerous EC materials, tungsten oxide (WO3) is the most investigated and widely used inorganic material. Molybdenum oxide (MoO3) is another important and promising material with electrochemical reaction and EC properties similar to those of WO3 [5] because molybdenum and tungsten belong to the same group (Group VIB of the Periodic Table of the Elements). Recently, MoO3 has attracted much attention and has been considered one of the best candidates for EC materials [6] because of its fast response, large optical contrast, high coloration efficiency, low driving voltage, soft color, environmental friendliness, abundant reserves and low cost. Compared with WO3, the color state of MoO3 absorbs light more strongly and more uniformly and is more consistent with the human eye color recognition, which makes MoO3 of important application value [7].
There are many methods to fabricate MoO3 thin films on transparent conductive substrates, including evaporation, sputtering, chemical vapor deposition (CVD), etc. [8,9,10,11]. The MoO3 films produced by these methods under high vacuum conditions and using special equipment are costly and it is also difficult to fabricate large-area films, hindering their widespread applications. For the past few years, the fabrication methods undertook a transition from a vacuum-required process to efficient and low-cost wet-chemical methods [12,13], such as the sol–gel method [14]. The sol–gel method attracts extensive attention due to its simplicity and possibility of producing large-area uniform films at low cost. Moreover, it is easy for this method to control the composition, microstructure, crystal size, and porosity of the films by introducing additives into the sols or adjusting various synthesis parameters [15].
However, the research reports on MoO3 are far less than those on WO3 because MoO3 often shows worse EC performance than WO3 [16]. Currently, the research focus is to prepare MoO3 films with excellent EC properties, including high optical contrast, switching speed, coloration efficiency and long-term electrochemical cycling stability, which are key performance parameters for EC materials [17].
In order to enhance EC properties of sol–gel derived MoO3 films, many researchers have explored some improved routes: doping or compositing MoO3 with other ions or agents, which will produce different composition, morphologies and structures and, thus, affect the corresponding EC performance to different degrees. Dhanasankar et al. [18] prepared the MoO3 films doped with cerium through the sol–gel dip-coating method and observed the structural and morphological changes of the films. The films with 10 wt.% of cerium exhibit better EC properties, such as higher contrast and better cyclic stability. Undoped and Fe-doped MoO3 films were obtained by the sol–gel-derived spin-coated method as well [19]. Doping can led to the transformation of the morphology and structure of the films, which facilitates the ion insertion/extraction and charge transfer reactions. Hybrid porous MoO3-WO3 films were deposited with Pluronic P123 as a template and annealed at 300 °C, which displayed significantly improved electrochromic performance (contrast of 57% at 650 nm and response times are both 25 s) [20]. Cholant et al. prepared V2O5/MoO3 thin films by the sol–gel method and dip-coating techniques with a optical modulation of 40% at 633 nm [21]. Although much work has been performed, the EC properties of these pure, doped or composited MoO3 films are not ideal, such as low contrast, slow response, or poor stability. There is still a key challenge for EC properties of MoO3 to meet practical requirements.
It is well known that the structure/morphology of EC materials play important roles in determining EC properties. For example, amorphous and crystalline films show quite different EC properties from each other and each of them has its advantages and disadvantages. Amorphous MoO3 has a loose disordered structure and large specific surface area, which is favorable for quick ion transport, fast switching speed and large optical modulation [15,22,23]. However, amorphous material shows poor cycling stability due to numerous defects and loose structure. In contrast, highly crystalline MoO3 films are more stable due to their denser and long-range ordered crystalline structure, stronger interatomic bond and lower dissolution rate in electrolytes, whereas their switching kinetics are slower due to relatively low diffusion and intercalation of ions in this dense structure.
Therefore, it is highly desirable to design EC materials with a distinctive architecture and an appropriate structure to obtain good comprehensive performance. Several researchers have tried to synergistically combine the advantages of the amorphous and crystalline structures in a range from several to hundreds of nanometers [24]. In our previous works [25,26], the EC films with WO3 nanocrystal surrounded by amorphous matrix were prepared by a complexation-assisted sol–gel method using a series of organic small molecules as complexing agents or structure-directing agents. Higher EC properties have been achieved due to the unique structure and morphology of the films.
In this paper, in order to further improve EC properties of the MoO3 films to achieve the purpose of practical use, a small amount of dopamine (DA) was added into peroxomolybdic acid (PMA) precursor sol to form PMA-DA complex sol. It is widely known that DA containing both catechol and amine functional groups has excellent chelating capability with many types of transition metal ions. Therefore, the DA molecules may act as a structure-directing agent, inhibiting the formation of large MoO3 particles in the precursor sol and highly stressed polycrystalline structure during annealing. After spin-coating followed by annealing of the PMA-DA complex sol at 300 °C for 2 h, modified unique nanocrystal-embedded amorphous MoO3 films were generated using a simple and low-cost complexation-assisted sol–gel method for the first time, and show excellent EC properties owing to the synergy effect of amorphous and nanocrystalline phases. The effect of the DA amount on the structure, morphology, electrochemical and EC properties of the resultant modified MoO3 films were characterized and studied.

2. Materials and Methods

2.1. Materials

Molybdenum powder (99.9%), DA hydrochloride (98%), 30% H2O2, propylene carbonate (PC, 98%), lithium perchlorate (LiClO4, 99.9%), aniline (99.5%), dodecylbenzene sulfonic acid (90%), 1-butyl-3-methylimidazolium tetrafluoroborate (BMIM+BF4, 98%), ammonium persulfate (98%), xylene (99%), acetone (98%) and isopropanol (99%) were purchased from Aladdin Chemical Reagent Co., Ltd. (Shanghai, China). Poly(propylene carbonate) (PPC, Mw = 276,000) was obtained from Empower Materials Inc. (New Castle, DE, USA). Conducting indium tin oxide-coated glass (ITO/glass, <7 Ω/□) as a transparent conductor layer and substrate was supplied by Zhuhai Kaivo Optoelectronic Technologies Co. (Zhuhai, China) and cleaned by ultrasonication in a series of solvents including detergent, deionized H2O, acetone and isopropanol for 10 min each prior to use. Then, a plasma treatment for 5 min was applied to the ITO/glass by using a Plasma Cleaner (Dongxin Hi-Tech Automation Equipment Co., Ltd., Shenzhen, China) with plasma source power of 300 W for further cleaning and improving their hydrophilicity.

2.2. Preparation of the Modified MoO3 Films

The modified MoO3 films were prepared according to our previous sol–gel method [25] with slight modification. Under continuous stirring, 33.3 mmol molybdenum powder was dissolved in 100 mL H2O2 solution (30%) to form a yellow transparent PMA, which was refluxed at 60 °C for 6 h. After stirring at room temperature for 5 days, 5.6 mmol DA (molar ratio of molybdenum to DA is 6/1) was added into the PMA sol, which was then heated at 60 °C for 10 h to obtain concentrated PMA/DA complex sol. The PMA/DA sol was spin-coated on ITO/glass and dried at 60 °C for 1 h followed by annealing at 300 °C for 2 h to form modified MoO3/DA film. The film thickness was controlled at about 200 nm by adjusting the rotating speed of the spinning coater. Moreover, MoO3 films without DA and with different added amount of DA (molar ratios of molybdenum to DA are 12/1 and 4/1, respectively) at a fixed molybdenum amount (33.3 mmol) were also prepared for comparison under similar conditions. As-prepared films are denoted as MoO3-300 °C, MoO3/DA(12/1)-300 °C, MoO3/DA(6/1)-300 °C, and MoO3/DA(4/1)-300 °C, respectively.
For FTIR characterization, MoO3 and MoO3/DA(6/1) xerogels were obtained by drying PMA and PMA/DA(6/1) sols in vacuum oven at 60 °C for 24 h, respectively.

2.3. Structural and Compositional Characterizations

The UV-Vis absorption spectra of the sols were tested on an UV-vis-NIR spectrophotometer (Shimadzu UV-Vis 3600plus, Tokyo, Japan) in the wavelength range of 400–800 nm. FTIR spectra of the samples were recorded on a Nicolet iS5 FTIR spectrometer (Thermo Fisher Scientific, Waltham, MA, USA) in the transmission mode from 400 to 4000 cm−1. The microstructure and morphology of the films were demonstrated by a field-emission scanning electron microscope (FESEM, ZEISS GeminiSEM 300, Oberkochen, Germany), transmission electron microscope (TEM, JEOL-2100F, Tokyo, Japan) and X-ray diffraction (XRD, Shimadzu XRD-6000) over a 2θ of 10–60° with an X-ray wavelength of 1.542 Å (Cu Kα radiation).

2.4. Electrochemical and EC Measurements

The electrochemical properties of the films were checked in a three-electrode electrochemical cell (the films on ITO/glass as working electrodes, Ag/AgCl as a reference electrode, and Pt sheet as a counter electrode, respectively) with 1.0 mol/L LiClO4 in PC as the electrolyte on an AUTOLAB PGSTAT 302N analyzer (Metrohm Autolab, Utrecht, The Netherlands). Cyclic voltammetry (CV) plots of the films were collected from −1.0 to +1.0 V at a scan rate of 100 mV s−1. The electrochemical impedance spectra (EIS) of the films were obtained under a perturbation voltage of 10 mV with a frequency range of 100 kHz to 10 mHz.
EC properties of the films were tested on a Shimadzu UV-3600 spectrophotometer in combination with an AUTOLAB analyzer. Transmittance spectra from 400 to 800 nm were recorded by applying various potentials and dynamic switching curves at 720 nm (λ720 nm) were measured by applying square-wave potentials (oscillating between +0.8 V and −0.8 V at a regular interval of 50 s). Long-term cycling stability tests were carried out under similar conditions using cycling time of 30 s.

2.5. Fabrication and Characterization of the EC Device

A dual-active-layer complementary EC device with a sandwich configuration of ITO/glass//MoO3/DA(6/1)-300 °C//electrolyte//Polyaniline//ITO/glass was fabricated and characterized. The PPC electrolyte [27] was prepared by dissolution of LiClO4, PPC, and BMIM+BF4 in PC at mass ratio of LiClO4/PPC/PC/BMIM+BF4 = 0.1/0.7/2.1/2.1. Polyaniline (PANI) was prepared similar to our previous work [28] and spin-coated onto ITO/glass.
Transmittance spectra and dynamic switching curves of the EC device were measured on a UV-Vis spectrophotometer in combination with an AUTOLAB analyzer by applying constant potentials and square-wave potentials (oscillating between +1.2 V and −1.2 V at a time step of 30 s), respectively.

3. Results and Discussion

3.1. Preparation and Characterization of the Modified MoO3 Films

There are both catechol hydroxyl and amino functional groups in DA molecules. The catechol hydroxyl groups have very strong affinity to metals/metal ions [29] and, thus, can preferentially complex Mo on the surface of PMA colloid nanoparticles via the deprotonated O, O’ sites [30,31] following the bidentate, monodentate or chelated patterns [32]. The amino groups of DA are mainly present as ammonium salt.
The MoO3 films modified by DA were prepared through the complexation-assisted sol–gel method. The reaction of molybdenum powder and H2O2 for several days forms a transparent yellow sol, whose color change immediately to a deep yellow (insert of Figure 1) when DA is added into the sol. This means the instantaneous formation of a charge transfer complex between PMA colloidal nanoparticles and DA through the complexation, hydrogen bonding or electrostatic interaction. This phenomenon can be characterized using UV-Vis absorption spectra as shown in Figure 1, similar to those observed for DA-WO3 and DA-TiO2 complexes [25,26,33,34]. That is, the absorption spectra of the PMA/DA sols with different DA amounts all show red shift and enhanced intensity compared with that of pure PMA sol.
To investigate the interactions between the PMA and DA in the complex sol, the MoO3 and MoO3/DA(6/1) xerogels were prepared by drying the PMA and PMA/DA(6/1) sols in a vacuum oven at 60 °C for 24 h. FTIR spectra of the two xerogels are shown and compared in Figure 2. The absorption bands at around 3450 and 1618 cm−1 in Curve b show the hydrated and hydroxylated nature of the pure MoO3 xerogel, which are attributed to the stretching vibration υ(OH) and the in-plane bending vibration δ(HOH) of water molecules [5]. Curve b also displays the characteristic absorption bands at 987, 898, 633 cm−1, corresponding to the Mo=O stretching vibration, Mo–O–Mo bridging oxygen stretching vibration and Mo–O–Mo stretching vibration, respectively [5]. After the addition of DA to produce MoO3/DA(6/1) xerogel, there are some new bands (Curve c) in addition to those from MoO3 xerogel, such as several bands at 1000-1500 cm−1 caused by the C−C, C−H, C−N, N−H, aromatic C−C bonds and a broad band at ~3230 cm−1 due to the stretching vibration of N−H of DA, similar to those of DA (Curve a), indicating the coexistence of molybdenum oxide and DA moieties. Compared with those from the MoO3 xerogel, the characteristic bands of the MoO3/DA complex xerogel (Curve c) downshift obviously from 987 cm−1 to 974 cm−1 for the terminal W=O stretching vibration and from 633 cm−1 to 628 cm−1 for the Mo–O–Mo stretching vibration, due to the complexation interactions between phenolic hydroxyl groups or amino groups (NH2 or NH3+) of DA and Mo or O species of PMA.
After annealing at 300 °C, the significant intensity decrease of the bands at ~3450 cm−1 and ~1618 cm−1 of both the MoO3-300 °C film and MoO3/DA(6/1)-300 °C film is caused by the loss of absorbed and structural water (Curve d and e). At the same time, for the MoO3-300 °C film (Curve d), the broadening and intensity increase of the characteristic absorption bands at 884 and 653 cm−1 attributed to the Mo–O–Mo bridging oxygen stretching vibration and Mo–O–Mo stretching vibration indicate the crystalline structure of MoO3. By contrast, the narrower and downshifted bands at 852 and 621 cm−1 in Curve e show the dominant structure of MoO3/DA(6/1)-300 °C is different from the crystalline one of MoO3-300 °C. Moreover, the weak bands at 1000–1500 cm−1 attributed to the addition of DA disappear due to the burning of the organic additive after annealing at 300 °C for 2 h.
X-ray diffraction (XRD) was employed to study the structure and phase variation of the MoO3 films. The XRD patterns of ITO/glass, MoO3-300 °C, MoO3/DA(12/1)-300 °C, MoO3/DA(6/1)-300 °C, and MoO3/DA(4/1)-300 °C films deposited on ITO/glass substrates are shown in Figure 3. It was observed that the pure MoO3 film without DA annealed at 300 °C exhibits several well-defined diffraction peaks (Curve b) corresponding to (020), (110), (040), (021), (111), (060), (210) and (002) planes at 2θ = 12.8°, 23.4°, 25.8°, 27.4°, 33.9°, 39.0°, 45.9° and 49.5°, respectively, which are well matched with the standard diffraction data of the orthorhombic phase (α-MoO3) (JCPDS Card No.05-0508) with a well-crystallized structure. However, after introducing a small amount of DA into the sols, the intensity of the peaks of the MoO3/DA(12/1)-300 °C film decrease greatly, as shown in Curve c. With a further increase of DA amount, such as for the MoO3/DA(6/1)-300 °C film, in addition to the peaks corresponding to ITO substrate, there are few characteristic peaks of MoO3 (Curve d) and a broad hump appears at 2θ of roughly 25°, showing MoO3 nanocrystals with amorphous background [35]. When the added amount of DA continues to increase, the XRD pattern of MoO3/DA(4/1)-300 °C film (Curve e) displays no obvious characteristic MoO3 peak, indicating the amorphous background nature of the MoO3 film.
The XRD patterns make clear that the transition of the films from crystalline to nanocrystal-embedded amorphous structures with increasing the amount of DA. The broadening, weakening and even disappearance of the diffraction peaks is attributed to low crystallinity, very small size of the nanocrystals in an amorphous matrix and crystal defects caused by organics [34]. This implies that the attachment of DA on the surface of colloidal particles through the complexation hinders the formation of large crystals and interconnected polycrystalline structure, whereas such crystalline morphology would form without DA (for MoO3-300 °C). Moreover, the hindering effect is more significant with the increase of the DA amount.
Electron microscopy was used to further study the structures and morphologies of the films. The FESEM images of the MoO3-300 °C, MoO3/DA(12/1)-300 °C, MoO3/DA(6/1)-300 °C and MoO3/DA(4/1)-300 °C films can be seen in Figure 4. The first three films exhibit relatively smooth, uniform and compact surfaces, while there are many particles on the surface of the MoO3/DA(4/1)-300 °C film with excess DA. The possible reason is that a small amount of DA can effectively stabilize the precursor sol through complexing between DA and the PMA sol, but excess DA, such as molar ratio of molybdenum to DA is 4/1, will greatly decrease the ζ potential and destroy the stability of the sol, and precipitation is formed during heating. Therefore, many particles on the surface of MoO3/DA(4/1)-300 °C film can be observed through the FESEM image.
The TEM image (Figure 5A) of MoO3-300 °C displays a polycrystalline structure with clear lattice fringes, and the lattice spacing of 0.35 nm belongs to the (040) plane of α-MoO3 [36]. After the addition of DA, the modified films show different structure from the pure MoO3 film, that is to say, there are many MoO3 nanocrystals dispersed in an amorphous MoO3 matrix (Figure 5B–D). When DA amount is low, the MoO3/DA(12/1)-300 °C film shows relatively large and heterogeneous nanocrystals with estimated sizes of about 8–15 nm according to the TEM image and a small amount of amorphous matrix due to insufficient DA complex agent, and clear fringes can be observed for each individual nanocrystal (Figure 5B). When the DA amount is appropriately increased, the MoO3/DA(6/1)-300 °C film (Figure 5C) displays more uniform and finer MoO3 nanocrystals with size of about 7 nm separated from each other and surrounded by an amorphous MoO3 matrix. This is because the suitable amount of DA can effectively complex with the colloidal nanoparticles, constrain the size of colloidal particles and destroy the structure order of particles. When there is a further increase of the DA amount, excess DA causes the sol to be unstable and precipitate, and there is a certain amount of carbonaceous residue of DA remaining after annealing at 300 °C, leading to a decrease in not only crystallization but also the grain size of MoO3 nanoparticles, as can be seen in Figure 5D. The TEM results are consistent with those obtained from FTIR and XRD discussed above.

3.2. Electrochemical Properties of the Modified MoO3 Films

Cyclic voltammetry (CV) curves can reflect the electrochemical properties of the films during ion insertion/extraction process. As shown in Figure 6A, the MoO3/DA(6/1)-300 °C and MoO3/DA(12/1)-300 °C films, especially the former, exhibit significantly higher current density and integral area than the pure MoO3-300 °C film, which reveals that the nanocrystal-embedded amorphous structure possesses more active mass and higher ion/electron storage capacity during the electrochemical reaction [37], more ions and electrons involved at the interface between the film and electrolyte, and, thus, foreseeably better EC performances. The MoO3/DA(4/1)-300 °C film shows the lowest current density in all the films, probably because the carbonaceous residue of DA reduces the active mass of this film. Moreover, the onset potentials of the cathodic current density for the modified MoO3 film are obviously more positive than that for the pure MoO3-300 °C film, indicating that the Li+ ions start inserting much earlier at lower applied voltage and faster charge transfer kinetics [38] in the modified MoO3 films than in the pure MoO3-300 °C film.
Electrochemical impedance spectroscopy (EIS) was also applied to further study the electrochemical behaviors of the modified MoO3 films, providing information on the charge transfer and ion diffusion. Nyquist plots of the MoO3-300 °C and MoO3/DA(6/1)-300 °C films can be seen in Figure 6B, approximately consisting of a depressed arc at high frequencies and a inclined line at low frequencies [39]. Compared with the MoO3-300 °C, the MoO3/DA(6/1)-300 °C film shows lower series and charge transfer resistance and higher Li+ ion diffusion rate for ion insertion/extraction into/from the film [40,41]. This is because the nanocrystal-embedded amorphous phase structure is more beneficial to both Li+ ion diffusion and charge transfer than the compact polycrystalline structure. Therefore, it is inferred that the modified films show improved EC properties.

3.3. EC Properties of the Modified MoO3 Films

EC properties of the pure MoO3-300 °C and the modified MoO3 films were studied and compared. UV-vis transmittance spectra of the pure MoO3-300 °C and MoO3/DA(6/1)-300 °C films under different applied potentials from −0.8 to +0.8 V and dynamic switching curves of all the films can be seen in Figure 7A–C and the results obtained from Figure 7C are listed in Table 1. Optical contrast (transmittance modulation), ΔT, is defined as the difference in the transmittance between the bleached and the colored states at a specific wavelength and a high optical contrast means that the EC film has an excellent ability for regulating solar radiation. The MoO3/DA(6/1)-300 °C film exhibits much higher ∆T (71%) than pure MoO3-300 °C film (51%). This is because the nanocrystal-embedded amorphous structure of the MoO3/DA(6/1)-300 °C film can provide more electrochemical active sites and easier access of more intercalated Li+ ions and electrons than the compact polycrystalline structure of the MoO3-300 °C film [17,42], in agreement with the results on the electrochemical properties as shown in Figure 6.
Response times, namely the bleaching and coloration times, are defined as the times required achieving 90% of the transmittance contrast between bleached and colored states. The MoO3-300 °C film shows relatively long switching times, the bleaching time is 14 s and the coloration time is 8 s, while the MoO3/DA(6/1)-300 °C film has much faster dynamic response, that is, the bleaching and coloration times are 5 s and 6 s, respectively. The switching times depend on the ion diffusion coefficient and the length of diffusion path [43]. In the highly crystalline MoO3-300 °C film, ion movement is obstructed by the dense structure, which leads to a long response time. However, the MoO3/DA(6/1)-300 °C film has a larger amorphous region, which can serve as ion transport channels to shorten diffusion length and increase the diffusion rate of Li+ ions, benefiting fast ion insertion and extraction [12].
Coloration efficiency (CE) is the change in optical density per unit charge inserted into the EC films at a specific wavelength. Compared with the MoO3-300 °C film, the MoO3/DA(6/1)-300 °C film presents much higher CE (88 vs. 65 cm2 C−1), which can be attributed to its more efficient Li+ ion diffusion and charge transfer caused by the nanocrystal-embedded amorphous structure. A high CE value of an EC material indicates that a small amount of charge (low energy) can achieve a large optical contrast, leading to better energy-saving capability for EC films. This is a crucial parameter for practical EC devices, since low charge insertion/extraction enhances the long-term cycling stability [44].
Cycling stability is also an important indicator to evaluate the practicability of an EC material. Figure 7D shows the cycling stability of the MoO3-300 °C and MoO3/DA(6/1)-300 °C films using short cycle time of 30 s for saving time. Therefore, the initial contrasts in Figure 7D are lower than those in Figure 7C. However, it is important to notice that both the contrast and response speeds slightly increase with cycling test because after fast and repetitive insertion/extraction of Li+ ions there are more diffusion paths for Li+ ions, more active sites for the EC reaction and more electrolytes absorbed in the films [3,22,25,45]. The MoO3-300 °C film maintains relatively stable up to 5000 cycles due to its crystalline structure. However, the contrast shows a marked fall after 5000 cycles. Compared with the MoO3-300 °C film, the MoO3/DA(6/1)-300 °C film exhibits much higher stability up to 9000 cycles. This is because the MoO3/DA(6/1)-300 °C film possesses a distinctive nanocrystal-embedded amorphous structure. On the one hand, the amorphous phase in the film serves as a buffer layer to accommodate the volume change caused by ion insertion/extraction without causing bond breakage and protects the film from mechanical destruction. On the other hand, nanometer-sized amorphous and crystalline regions are uniformly distributed in the film, which decreases stress concentration and inhibits erosion due to high local stress [26]. Therefore, the modified MoO3/DA(6/1)-300 °C film can easily withstand repetitive insertion and extraction of Li+ ions and shows excellent cycle stability.
According to the characterization results obtained from UV-Vis, XRD, FTIR, SEM and TEM, it is obvious that the DA amount has a great influence on the structure and morphology of the modified MoO3 films through complexation of DA and PMA sol to inhibit the formation of large MoO3 particles in the precursor sol and polycrystalline structure during annealing. It is well known that the change of structure and morphology will lead to the change of various properties, such as electrochemical properties as mentioned above. Therefore, the effects of DA amount on EC properties of the MoO3 films were also studied. When the DA amount is low, as shown in Figure 7C and Table 1, the MoO3/DA(12/1)-300 °C film with relatively large and heterogeneous nanocrystals and a small amount of amorphous regions shows higher contrast and CE and faster bleaching time than the crystalline MoO3-300 °C film. When the Mo/DA is 6/1, it can be concluded that the MoO3/DA(6/1)-300 °C film shows higher EC properties than not only the pure film but also the other modified films, indicating Mo/DA of 6/1 is the optimum added amount. That is, of all the pure and the modified MoO3 films, the MoO3/DA(6/1)-300 °C film displays the highest optical contrast, CE and switching speed because its uniform and fine nanocrystal-embedded amorphous structure can make good use of the advantages of the amorphous and nanocrystalline phases. When the DA amount is excessive, the MoO3/DA(4/1)-300 °C film still contains carbonaceous residue of DA after annealing at 300 °C, blocking ion transport, and, therefore, exhibits slower switching speed than other films.

3.4. EC Properties of the Device with the Modified MoO3 Film as an Active Layer

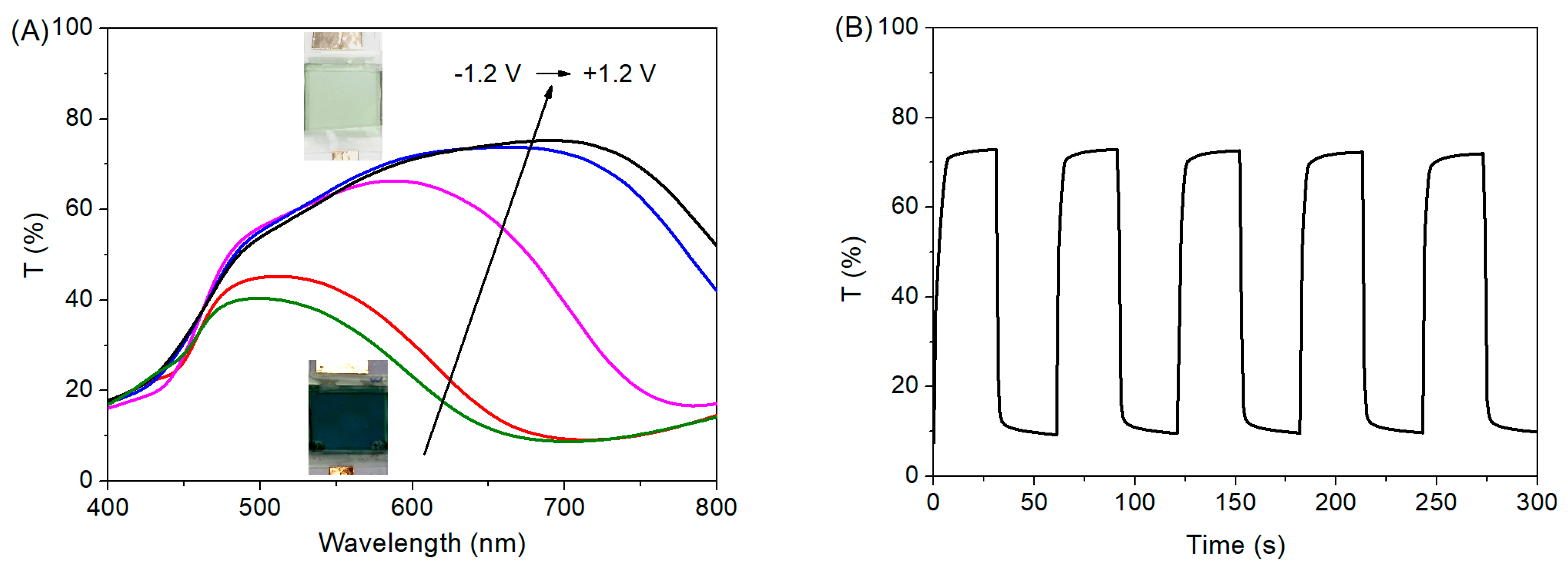
In order to demonstrate and expand the practical application of the modified MoO3 film, a complementary EC device of dual active layers with configuration of ITO glass//MoO3/DA(6/1)-300 °C//PPC electrolyte//PANI//ITO glass was fabricated. As shown in Figure 8 and Table 1, this device shows excellent EC properties, such as high contrast (63%), CE (148 cm2 C−1) and switching speed (bleaching time of 4 s and coloration time of 3 s), verifying that the modified MoO3/DA(6/1)-300 °C film has great potential for practical application in smart windows or other EC devices.

4. Conclusions

In conclusion, the modified nanocrystalline MoO3 films have been prepared through a simple and low-cost complexation-assisted sol–gel method using DA as a structure-directing agent. DA containing both catechol and amine functional groups can complex with the PMA colloidal particles, inhibit the formation of large MoO3 particles in the precursor sol and highly stressed polycrystalline structure during annealing and form unique nanocrystals embedded in an amorphous matrix after annealing at 300 °C. The DA amount has a great influence on the structure and morphology and, thus, electrochemical and EC properties of the MoO3 films. Compared with the pure MoO3 film, the MoO3/DA(6/1)-300 °C film with appropriate DA amount possesses significantly enhanced EC properties, such as higher optical contrast, coloration efficiency, switching speed and cycling stability because the uniform and fine nanocrystal-embedded amorphous structure can adequately combine the advantages of the amorphous and nanocrystalline phases. Moreover, the dual-active-layer EC device with the MoO3/DA(6/1)-300 °C film as the cathodically coloring layer shows high optical contrast, coloration efficiency and switching speed. These demonstrate that the complexation-assisted sol–gel method using DA as a structure-directing agent is a promising wet-chemical route to prepare low-cost modified MoO3 film and MoO3-based EC device with excellent EC properties.
At present, MoO3 EC materials have not been widely used. In the future, however, this research work could be further improved and then used to enrich the research directions and potential application fields of MoO3, such as EC smart windows, electrocatalytic devices, field emission devices, batteries, supercapacitors, energy storage devices, sensors and so on.

Author Contributions

Conceptualization, D.Z.; methodology, D.Z. and L.Y.; validation, D.Z. and L.Y.; preparation, D.Z.; characterization, D.Z. and L.Y.; writing-original draft preparation, D.Z.; writing-review and editing, L.Y.; supervision, D.Z. All authors have read and agreed to the published version of the manuscript.

Funding

This research was funded by the Chongqing Research Program of Basic Research and Frontier Technology (grant number cstc2019jcyj-msxmX0510), the Major Project of Science and Technology Research Program of Chongqing Education Commission of China (grant number KJZD-M202301403), and the Research Project of Yangtze Normal University (grant number 2017KYQD39).

Institutional Review Board Statement

Not applicable.

Informed Consent Statement

Not applicable.

Data Availability Statement

All data are available from the corresponding author.

Acknowledgments

The authors would like to thank Qihuang Deng for the XRD characterization.

Conflicts of Interest

The authors declare no conflict of interest.

References

  1. Huang, Y.; Wang, B.; Chen, F.; Han, Y.; Zhang, W.; Wu, X.; Li, R.; Jiang, Q.; Jia, X.; Zhang, R. Electrochromic materials based on ions insertion and extraction. Adv. Opt. Mater. 2021, 10, 2101783. [Google Scholar] [CrossRef]
  2. Zhang, S.; Peng, Y.; Zhao, J.; Fan, Z.; Ding, B.; Lee, J.Y.; Zhang, X.; Xuan, Y. Amorphous and porous tungsten oxide films for fast-switching dual-band electrochromic smart windows. Adv. Opt. Mater. 2022, 11, 2202115. [Google Scholar] [CrossRef]
  3. Wu, C.-L.; Wang, C.-K.; Lin, C.-K.; Wang, S.-C.; Huang, J.-L. Electrochromic properties of nanostructured tungsten oxide films prepared by surfactant-assisted sol-gel process. Surf. Coat. Technol. 2013, 231, 403–407. [Google Scholar] [CrossRef]
  4. Kim, J.; Lee, K.H.; Lee, S.; Park, S.; Chen, H.; Kim, S.K.; Yim, S.; Song, W.; Lee, S.S.; Yoon, D.H.; et al. Minimized optical scattering of MXene-derived 2D V2O5 nanosheet-based electrochromic device with high multicolor contrast and accuracy. Chem. Eng. J. 2023, 453, 139973. [Google Scholar] [CrossRef]
  5. Hsu, S.-C.; Chao, S.-H.; Wu, N.-J.; Huang, J.-H.; Kang, J.-L.; Weng, H.C.; Liu, T.-Y. Facile synthesis of hybrid WO3/MoOx electrochromic films for application in complementary electrochromic devices. J. Alloys Compd. 2023, 945, 169256. [Google Scholar] [CrossRef]
  6. Duan, Y.; Wang, C.; Hao, J.; Jiao, Y.; Xu, Y.; Wang, J. Electrochromic performance and capacitor performance of α-MoO3 nanorods fabricated by a one-step procedure. Coatings 2021, 11, 783. [Google Scholar] [CrossRef]
  7. Wang, J.; Hou, L.; Ma, D. Molybdenum oxide electrochromic materials and devices. J. Inorg. Mater. 2021, 36, 461–470. [Google Scholar] [CrossRef]
  8. Sivakumar, R.; Gopalakrishnan, R.; Jayachandran, M.; Sanjeeviraja, C. Characterization on electron beam evaporated α-MoO3 thin films by the influence of substrate temperature. Curr. Appl. Phys. 2007, 7, 51–59. [Google Scholar] [CrossRef]
  9. Mohamed, S.H.; Kappertz, O.; Ngaruiya, J.M.; Leervad Pedersen, T.P.; Drese, R.; Wuttig, M. Correlation between structure, stress and optical properties in direct current sputtered molybdenum oxide films. Thin Solid Film. 2003, 429, 135–143. [Google Scholar] [CrossRef]
  10. Gesheva, K.; Szekeres, A.; Ivanova, T. Optical properties of chemical vapor deposited thin films of molybdenum and tungsten based metal oxides. Sol. Energy Mater. Sol. Cells 2003, 76, 563–576. [Google Scholar] [CrossRef]
  11. Ivanova, T.; Gesheva, K.A.; Popkirov, G.; Ganchev, M.; Tzvetkova, E. Electrochromic properties of atmospheric CVD MoO3 and MoO3–WO3 films and their application in electrochromic devices. Mater. Sci. Eng. B 2005, 119, 232–239. [Google Scholar] [CrossRef]
  12. Lin, F.; Cheng, J.; Engtrakul, C.; Dillon, A.C.; Nordlund, D.; Moore, R.G.; Weng, T.-C.; Williams, S.K.R.; Richards, R.M. In situ crystallization of high performing WO3-based electrochromic materials and the importance for durability and switching kinetics. J. Mater. Chem. 2012, 22, 16817–16823. [Google Scholar] [CrossRef]
  13. Wei, C.-C.; Wu, T.-H.; Huang, J.-W.; Young, B.-L.; Jian, W.-B.; Lin, Y.-L.; Chen, J.-T.; Hsu, C.-S.; Ma, Y.-R.; Tsukagoshi, K. Nanoparticulate films of WO3 and MoO3 composites for enhancing UV light electrochromic transmittance variation and energy storage applications. Electrochim. Acta 2023, 442, 141897. [Google Scholar] [CrossRef]
  14. Lin, S.-Y.; Wang, C.-M.; Kao, K.-S.; Chen, Y.-C.; Liu, C.-C. Electrochromic properties of MoO3 thin films derived by a sol–gel process. J. Sol-Gel Sci. Technol. 2009, 53, 51–58. [Google Scholar] [CrossRef]
  15. Taylor, D.J.; Cronin, J.P.; Allard, L.F.; Birnie, D.P. Microstructure of laser-fired, sol-gel-derived tungsten oxide films. Chem. Mater. 1996, 8, 1396–1401. [Google Scholar] [CrossRef]
  16. Novak, T.G.; Kim, J.; Tiwari, A.P.; Kim, J.; Lee, S.; Lee, J.; Jeon, S. 2D MoO3 nanosheets synthesized by exfoliation and oxidation of MoS2 for high contrast and fast response time electrochromic devices. ACS Sustain. Chem. Eng. 2020, 8, 11276–11282. [Google Scholar] [CrossRef]
  17. Ou, J.Z.; Balendhran, S.; Field, M.R.; McCulloch, D.G.; Zoolfakar, A.S.; Rani, R.A.; Zhuiykov, S.; O’Mullane, A.P.; Kalantar-zadeh, K. The anodized crystalline WO3 nanoporous network with enhanced electrochromic properties. Nanoscale 2012, 4, 5980–5988. [Google Scholar] [CrossRef] [PubMed]
  18. Dhanasankar, M.; Purushothaman, K.K.; Muralidharan, G. Enhanced electrochromism in cerium doped molybdenum oxide thin films. Mater. Res. Bull. 2010, 45, 1969–1972. [Google Scholar] [CrossRef]
  19. Layegh, M.; Ghodsi, F.E.; Hadipour, H. Experimental and theoretical study of Fe doping as a modifying factor in electrochemical behavior of mixed-phase molybdenum oxide thin films. Appl. Phys. A 2019, 126, 14. [Google Scholar] [CrossRef]
  20. Jittiarporn, P.; Sikong, L.; Kooptarnond, K.; Taweepreda, W.; Stoenescu, S.; Badilescu, S.; Truong, V.-V. Electrochromic properties of MoO3-WO3 thin films prepared by a sol-gel method, in the presence of a triblock copolymer template. Surf. Coat. Technol. 2017, 327, 66–74. [Google Scholar] [CrossRef]
  21. Cholant, C.M.; Westphal, T.M.; Balboni, R.D.C.; Moura, E.A.; Gündel, A.; Flores, W.H.; Pawlicka, A.; Avellaneda, C.O. Thin films of V2O5/MoO3 and their applications in electrochromism. J. Solid State Electrochem. 2017, 21, 1509–1515. [Google Scholar] [CrossRef]
  22. Deepa, M.; Saxena, T.K.; Singh, D.P.; Sood, K.N.; Agnihotry, S.A. Spin coated versus dip coated electrochromic tungsten oxide films: Structure, morphology, optical and electrochemical properties. Electrochim. Acta 2006, 51, 1974–1989. [Google Scholar] [CrossRef]
  23. Fang, Y.; Sun, X.; Cao, H. Influence of PEG additive and annealing temperature on structural and electrochromic properties of sol-gel derived WO3 films. J. Sol-Gel Sci. Technol. 2011, 59, 145–152. [Google Scholar] [CrossRef]
  24. Shi, Y.; Sun, M.; Zhang, Y.; Cui, J.; Wang, Y.; Shu, X.; Qin, Y.; Tan, H.H.; Liu, J.; Wu, Y. Structure modulated amorphous/crystalline WO3 nanoporous arrays with superior electrochromic energy storage performance. Sol. Energy Mater. Sol. Cells 2020, 212, 110579. [Google Scholar] [CrossRef]
  25. Zhou, D.; Che, B.; Kong, J.; Lu, X. A nanocrystalline tungsten oxide electrochromic coating with excellent cycling stability prepared via a complexation-assisted sol–gel method. J. Mater. Chem. C 2016, 4, 8041–8051. [Google Scholar] [CrossRef]
  26. Zhou, D.; Tong, Z.; Xie, H.; Sun, J.; Chen, F. Effects of additives on electrochromic properties of nanocrystalline tungsten oxide films prepared by complexation-assisted sol-gel method. Materials 2023, 16, 2681. [Google Scholar] [CrossRef]
  27. Zhou, D.; Zhou, R.; Chen, C.; Yee, W.-A.; Kong, J.; Ding, G.; Lu, X. Non-volatile polymer electrolyte based on poly(propylene carbonate), ionic liquid, and lithium perchlorate for electrochromic devices. J. Phys. Chem. B 2013, 117, 7783–7789. [Google Scholar] [CrossRef]
  28. Xiong, S.; Phua, S.L.; Dunn, B.S.; Ma, J.; Lu, X. Covalently bonded polyaniline-TiO2 hybrids: A facile approach to highly stable anodic electrochromic materials with low oxidation potentials. Chem. Mater. 2010, 22, 255–260. [Google Scholar] [CrossRef]
  29. Wang, Z.; Zou, Y.; Li, Y.; Cheng, Y. Metal-containing polydopamine nanomaterials: Catalysis, energy, and theranostics. Small 2020, 16, 1907042. [Google Scholar] [CrossRef] [PubMed]
  30. Griffith, W.P.; Pumphrey, C.A.; Rainey, T.A. Catecholato complexes of ruthenium, iridium, rhenium, molybdenum, and tungsten. J. Chem. Soc. -Dalton Trans. 1986, 6, 1125–1128. [Google Scholar] [CrossRef]
  31. Elhendawy, A.M.; Griffith, W.P.; Pumphrey, C.A. Complexes of osmium, uranium, molybdenum, and tungsten with the catechol amines adrenaline, noradrenaline, dopamine, dopa, and isoproterenol. J. Chem. Soc. -Dalton Trans. 1988, 7, 1817–1821. [Google Scholar] [CrossRef]
  32. Urdaneta, I.; Keller, A.; Atabek, O.; Palma, J.L.; Finkelstein-Shapiro, D.; Tarakeshwar, P.; Mujica, V.; Calatayud, M. Dopamine adsorption on TiO2 anatase surfaces. J. Phys. Chem. C 2014, 118, 20688–20693. [Google Scholar] [CrossRef]
  33. Kleiman-Shwarsctein, A.; Laursen, A.B.; Cavalca, F.; Tang, W.; Dahl, S.; Chorkendorff, I. A general route for RuO2 deposition on metal oxides from RuO4. Chem. Commun. 2012, 48, 967–969. [Google Scholar] [CrossRef] [PubMed]
  34. Valverde-Aguilar, G.; Prado-Prone, G.; Vergara-Aragon, P.; Garcia-Macedo, J.; Santiago, P.; Rendon, L. Photoconductivity studies on nanoporous TiO2/dopamine films prepared by sol-gel method. Appl. Phys. A-Mater. Sci. Process. 2014, 116, 1075–1084. [Google Scholar] [CrossRef]
  35. Dalavi, D.S.; Devan, R.S.; Patil, R.A.; Patil, R.S.; Ma, Y.-R.; Sadale, S.B.; Kim, I.; Kim, J.-H.; Patil, P.S. Efficient electrochromic performance of nanoparticulate WO3 thin films. J. Mater. Chem. C 2013, 1, 3722–3728. [Google Scholar] [CrossRef]
  36. Cheng, P.; Shi, L.; Li, W.; Fang, X.; Cao, D.; Zhao, Y.; Cao, P.; Liu, D.; He, D. Efficient Regulation of Polysulfides by MoS(2) /MoO(3) Heterostructures for High-Performance Li-S Batteries. Small 2023, 19, e2206083. [Google Scholar] [CrossRef] [PubMed]
  37. Wen-Cheun Au, B.; Chan, K.-Y.; Knipp, D. Effect of film thickness on electrochromic performance of sol-gel deposited tungsten oxide (WO3). Opt. Mater. 2019, 94, 387–392. [Google Scholar] [CrossRef]
  38. Quy, V.H.V.; Jo, I.-R.; Kang, S.-H.; Ahn, K.-S. Amorphous-crystalline dual phase WO3 synthesized by pulsed-voltage electrodeposition and its application to electrochromic devices. J. Ind. Eng. Chem. 2021, 94, 264–271. [Google Scholar] [CrossRef]
  39. Huang, H.; Tian, J.; Zhang, W.K.; Gan, Y.P.; Tao, X.Y.; Xia, X.H.; Tu, J.P. Electrochromic properties of porous NiO thin film as a counter electrode for NiO/WO3 complementary electrochromic window. Electrochim. Acta 2011, 56, 4281–4286. [Google Scholar] [CrossRef]
  40. Cong, S.; Tian, Y.; Li, Q.; Zhao, Z.; Geng, F. Single-Crystalline Tungsten Oxide Quantum Dots for Fast Pseudocapacitor and Electrochromic Applications. Adv. Mater. 2014, 26, 4260–4267. [Google Scholar] [CrossRef]
  41. Kondalkar, V.V.; Mali, S.S.; Kharade, R.R.; Khot, K.V.; Patil, P.B.; Mane, R.M.; Choudhury, S.; Patil, P.S.; Hong, C.K.; Kim, J.H.; et al. High performing smart electrochromic device based on honeycomb nanostructured h-WO3 thin films: Hydrothermal assisted synthesis. Dalton Trans. 2015, 44, 2788–2800. [Google Scholar] [CrossRef] [PubMed]
  42. Romero, R.; Dalchiele, E.A.; Martin, F.; Leinen, D.; Ramos-Barrado, J.R. Electrochromic behaviour of Nb2O5 thin films with different morphologies obtained by spray pyrolysis. Sol. Energy Mater. Sol. Cells 2009, 93, 222–229. [Google Scholar] [CrossRef]
  43. Lee, S.H.; Deshpande, R.; Parilla, P.A.; Jones, K.M.; To, B.; Mahan, A.H.; Dillon, A.C. Crystalline WO3 nanoparticles for highly improved electrochromic applications. Adv. Mater. 2006, 18, 763–766. [Google Scholar] [CrossRef]
  44. Rai, V.; Singh, R.S.; Blackwood, D.J.; Zhili, D. A review on recent advances in electrochromic devices: A material approach. Adv. Eng. Mater. 2020, 22, 2000082. [Google Scholar] [CrossRef]
  45. Deepa, M.; Srivastava, A.K.; Sood, K.N.; Murugan, A.V. Nanostructured tungsten oxide-poly(3,4-ethylenedioxythiophene): Poly(styrenesulfonate) hybrid films: Synthesis, electrochromic response, and durability characteristics. J. Electrochem. Soc. 2008, 155, D703–D710. [Google Scholar] [CrossRef]
Figure 1. UV-Vis absorption spectra of the PMA and PMA/DA sols. The insert shows the photos of the PMA and PMA/DA sols.
Figure 1. UV-Vis absorption spectra of the PMA and PMA/DA sols. The insert shows the photos of the PMA and PMA/DA sols.
Coatings 13 01292 g001
Figure 2. FTIR spectra of (a) DA, (b) MoO3 xerogel, (c) MoO3/DA(6/1) xerogel, (d) MoO3-300 °C film, and (e) MoO3/DA(6/1)-300 °C film.
Figure 2. FTIR spectra of (a) DA, (b) MoO3 xerogel, (c) MoO3/DA(6/1) xerogel, (d) MoO3-300 °C film, and (e) MoO3/DA(6/1)-300 °C film.
Coatings 13 01292 g002
Figure 3. X-ray diffraction (XRD) patterns of (a) ITO/glass, (b) MoO3-300 °C, (c) MoO3/DA(12/1)-300 °C, (d) MoO3/DA(6/1)-300 °C, and (e) MoO3/DA(4/1)-300 °C films.
Figure 3. X-ray diffraction (XRD) patterns of (a) ITO/glass, (b) MoO3-300 °C, (c) MoO3/DA(12/1)-300 °C, (d) MoO3/DA(6/1)-300 °C, and (e) MoO3/DA(4/1)-300 °C films.
Coatings 13 01292 g003
Figure 4. FESEM images showing surface morphology of (A) MoO3-300 °C, (B) MoO3/DA(12/1)-300 °C, (C) MoO3/DA(6/1)-300 °C, and (D) MoO3/DA(4/1)-300 °C films.
Figure 4. FESEM images showing surface morphology of (A) MoO3-300 °C, (B) MoO3/DA(12/1)-300 °C, (C) MoO3/DA(6/1)-300 °C, and (D) MoO3/DA(4/1)-300 °C films.
Coatings 13 01292 g004
Figure 5. TEM images of (A) MoO3-300 °C, (B) MoO3/DA(12/1)-300 °C, (C) MoO3/DA(6/1)-300 °C, and (D) MoO3/DA(4/1)-300 °C films.
Figure 5. TEM images of (A) MoO3-300 °C, (B) MoO3/DA(12/1)-300 °C, (C) MoO3/DA(6/1)-300 °C, and (D) MoO3/DA(4/1)-300 °C films.
Coatings 13 01292 g005
Figure 6. (A) CV curves of MoO3-300 °C, MoO3/DA(12/1)-300 °C, MoO3/DA(6/1)-300 °C, and MoO3/DA(4/1)-300 °C films at a scan rate of 100 mV s−1 and (B) Nyquist plots of MoO3-300 °C and MoO3/DA(6/1)-300 °C films using a perturbation amplitude of 10 mV at the potential of 0 V with a frequency range from 100 kHz to 10 mHz.
Figure 6. (A) CV curves of MoO3-300 °C, MoO3/DA(12/1)-300 °C, MoO3/DA(6/1)-300 °C, and MoO3/DA(4/1)-300 °C films at a scan rate of 100 mV s−1 and (B) Nyquist plots of MoO3-300 °C and MoO3/DA(6/1)-300 °C films using a perturbation amplitude of 10 mV at the potential of 0 V with a frequency range from 100 kHz to 10 mHz.
Coatings 13 01292 g006
Figure 7. UV-vis transmittance spectra of (A) pure MoO3-300 °C and (B) MoO3/DA(6/1)-300 °C at different potentials, the inset showing the photos of the bleached and colored MoO3/DA(6/1)-300 °C film on ITO glass, (C) switching curve comparison between MoO3-300 °C, MoO3/DA(12/1)-300 °C, MoO3/DA(6/1)-300 °C and MoO3/DA(4/1)-300 °C at λ720 nm (−0.8 V/+0.8 V, 100 s/cycle), and (D) Cycling stability of MoO3-300 °C and MoO3/DA(6/1)-300 °C films at λ720 nm (−0.8 V/+0.8 V, 30 s/cycle).
Figure 7. UV-vis transmittance spectra of (A) pure MoO3-300 °C and (B) MoO3/DA(6/1)-300 °C at different potentials, the inset showing the photos of the bleached and colored MoO3/DA(6/1)-300 °C film on ITO glass, (C) switching curve comparison between MoO3-300 °C, MoO3/DA(12/1)-300 °C, MoO3/DA(6/1)-300 °C and MoO3/DA(4/1)-300 °C at λ720 nm (−0.8 V/+0.8 V, 100 s/cycle), and (D) Cycling stability of MoO3-300 °C and MoO3/DA(6/1)-300 °C films at λ720 nm (−0.8 V/+0.8 V, 30 s/cycle).
Coatings 13 01292 g007
Figure 8. (A) UV-vis transmittance spectra of the dual active layer device containing MoO3/DA(6/1)-300 °C and PANI films at different potentials, the inset showing the photos of the bleached and colored device, and (B) switching curve of the dual active layer device containing MoO3/DA(6/1)-300 °C and PANI films at λ720 nm (−1.2 V/+1.2 V, 60 s/cycle).
Figure 8. (A) UV-vis transmittance spectra of the dual active layer device containing MoO3/DA(6/1)-300 °C and PANI films at different potentials, the inset showing the photos of the bleached and colored device, and (B) switching curve of the dual active layer device containing MoO3/DA(6/1)-300 °C and PANI films at λ720 nm (−1.2 V/+1.2 V, 60 s/cycle).
Coatings 13 01292 g008
Table 1. EC properties of the MoO3-300 °C, MoO3/DA(12/1)-300 °C, MoO3/DA(6/1)-300 °C, MoO3/DA(4/1)-300 °C films, and dual active layer device containing MoO3/DA(6/1)-300 °C film at λ720 nm.
Table 1. EC properties of the MoO3-300 °C, MoO3/DA(12/1)-300 °C, MoO3/DA(6/1)-300 °C, MoO3/DA(4/1)-300 °C films, and dual active layer device containing MoO3/DA(6/1)-300 °C film at λ720 nm.
EC Films or Device∆T
(%)
CE
(cm2 C−1)
Bleaching Time (s)Coloration Time (s)
MoO3-300 °C Film5165148
MoO3/DA(12/1)-300 °C Film597489
MoO3/DA(6/1)-300 °C Film718856
MoO3/DA(4/1)-300 °C Film54691915
Dual Active Layer Device6314843
Disclaimer/Publisher’s Note: The statements, opinions and data contained in all publications are solely those of the individual author(s) and contributor(s) and not of MDPI and/or the editor(s). MDPI and/or the editor(s) disclaim responsibility for any injury to people or property resulting from any ideas, methods, instructions or products referred to in the content.

Share and Cite

MDPI and ACS Style

Zhou, D.; Yang, L. Enhanced Electrochromic Properties of Nanocrystalline Molybdenum Oxide Films Modified by Dopamine. Coatings 2023, 13, 1292. https://doi.org/10.3390/coatings13071292

AMA Style

Zhou D, Yang L. Enhanced Electrochromic Properties of Nanocrystalline Molybdenum Oxide Films Modified by Dopamine. Coatings. 2023; 13(7):1292. https://doi.org/10.3390/coatings13071292

Chicago/Turabian Style

Zhou, Dan, and Liping Yang. 2023. "Enhanced Electrochromic Properties of Nanocrystalline Molybdenum Oxide Films Modified by Dopamine" Coatings 13, no. 7: 1292. https://doi.org/10.3390/coatings13071292

APA Style

Zhou, D., & Yang, L. (2023). Enhanced Electrochromic Properties of Nanocrystalline Molybdenum Oxide Films Modified by Dopamine. Coatings, 13(7), 1292. https://doi.org/10.3390/coatings13071292

Note that from the first issue of 2016, this journal uses article numbers instead of page numbers. See further details here.

Article Metrics

Back to TopTop