Abstract
Unsaturated vegetable oils with conjugated carbon–carbon double bonds, such as tung oil, can undergo free-radical polymerization, originating alternatives to petroleum-based materials. The introduction of fillers to vegetable oil-based polymer matrices results in composites with improved mechanical properties. In this work, thermosets were synthesized by the free-radical polymerization of a mixture of tung oil, divinylbenzene, and n-butyl methacrylate, and reinforced with bio-based fillers, namely Miscanthus, Pinus taeda (also known as southern pine), and algae (Microspora and Oedogonium) biomass. The effect of filler particle size on the composites’ properties was evaluated. Additionally, to develop a better interaction between the hydrophobic resin and the hydrophilic reinforcements, and improve the mechanical properties of the composites prepared, itaconic anhydride, a bio-based molecule derived from itaconic acid, was added to the resin. Thermogravimetric analysis (TGA) showed that the presence of itaconic anhydride improved the overall thermal stability of the composites. The storage modulus of the composites at room temperature, assessed by dynamic mechanical analysis (DMA), was increased by approximately 32% and 68%, for Miscanthus and southern pine composites, respectively, when itaconic acid was added to the resin. It was also observed that the glass transition temperatures were not significantly affected by the presence of itaconic acid. Scanning electron microscope (SEM) images indicated better matrix-reinforcement adhesion in the presence of itaconic anhydride.
1. Introduction
The search for alternatives to petroleum-based raw materials for the production of polymeric materials has received enormous attention inrecent decades. In this context, natural polymers and their derivatives, such as cellulose, lignin, starch, chitin, poly(hydroxyalkanoates), proteins, and synthetic bio-based polymers, derived from amino acids, terpenes, furans, fatty acids, and vegetable oils have been extensively exploited for the synthesis of biopolymers and biocomposites [1,2]. Vegetable oils are widely available, have a relatively low cost, and have interesting chemical structures, making it possible to synthesize monomers that are similar to petroleum-based ones. Therefore, plant oils can serve as building blocks for polyurethanes, polyesters, polyolefins, including linear polymers and thermosetting resins [3,4].
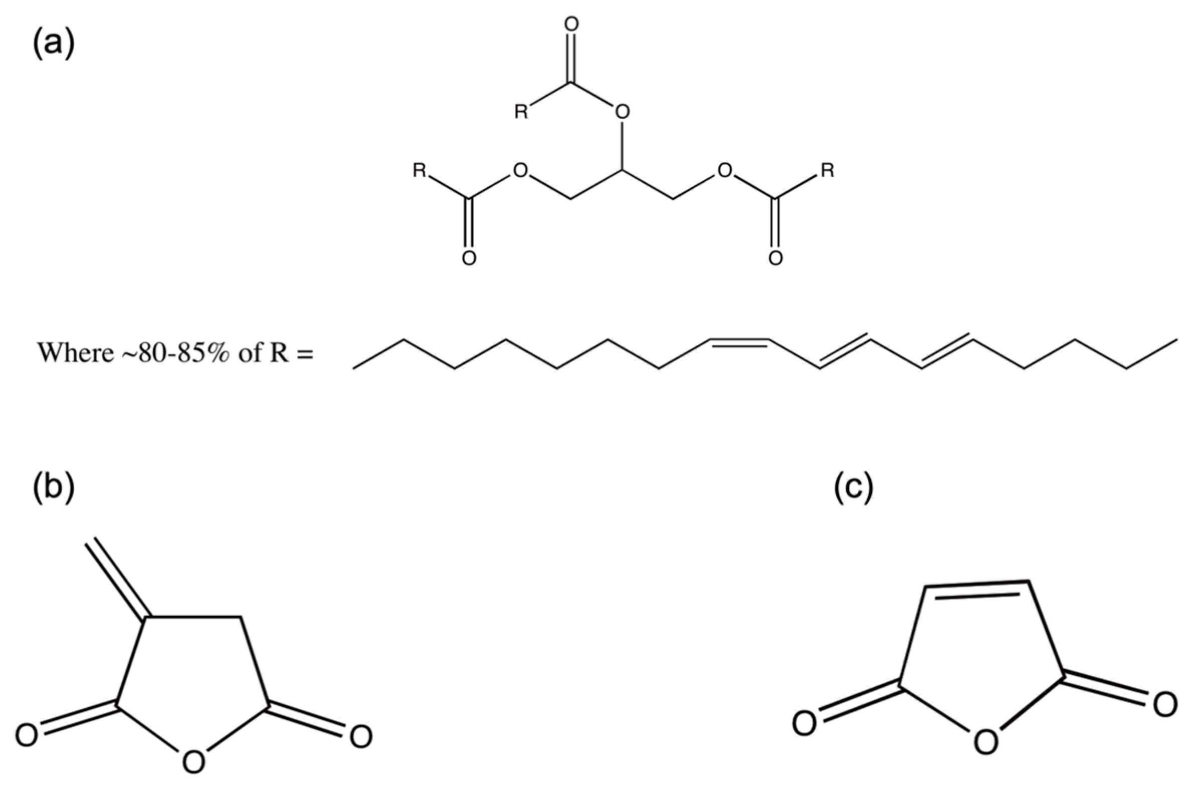
The homopolymerization of vegetable oils results in soft gels that are unsuitable for application as a matrix in bio-based composites. To develop vegetable oil-based resins with interesting thermo-mechanical properties, extensive work has been carried out to determine appropriate additives [4]. In fact, polymer composites are widely used in manufacturing sectors, and some recent works [5,6] provide good examples of materials with enhanced properties. Regarding bio-based materials, several works have reported the synthesis of biocomposites using tung, soybean, linseed, and castor oils, alongside matrices prepared from other vegetable oil derivatives [7,8,9,10,11,12,13,14,15,16,17]. Among these, tung oil, a non-edible vegetable oil, is of particular interest due to its peculiar chemical structure (Figure 1a), bearing approximately 80–85% of α-eleostearic acid, a fatty acid chain containing three conjugated carbon–carbon double bonds susceptible to interesting reactions, such as cycloadditions, cationic, thermal, and free-radical polymerizations, forming highly crosslinked polymers [18,19,20,21].
Figure 1.
Chemical structures of (a) tung oil, (b) itaconic anhydride, and (c) maleic anhydride.
Lignocellulosic biomass has been extensively used as a reinforcement in polymer composites. Its low cost, wide availability, and good mechanical properties make it an ideal candidate for incorporation into vegetable oil-based matrices for the preparation of sustainable materials. In fact, several works reported on the utilization of lignocellulosic biomass, such as oat, soy hulls, sugarcane bagasse, and wheat straw, in the preparation of vegetable oil-based biocomposites [22,23,24,25,26,27,28]. In recent years, the growing production of algae for sustainable industrial applications has resulted in an increase in algae biomass waste that could be easily incorporated into bio-based composites. Algae biomass has been successfully employed as reinforcement for poly(vinyl alcohol) [29], poly(lactic) acid [30], and epoxy resins [31]. Their utilization could help reduce the harmful algal blooms in water ecosystems. To the best of our knowledge, no work has been published to date regarding the utilization of algae biomass as reinforcement for vegetable oil-based polymer matrices.
During the synthesis of composites, it is desirable that the matrix and the reinforcement are compatible to obtain a material with promising properties. Vegetable oil-based matrices are hydrophobic due to the presence of long non-polar fatty acid chains, while lignocellulosic biomasses are mostly highly hydrophilic due to the presence of hydroxyl groups in their structures. To overcome this issue, it is necessary to introduce an agent that can link the matrix and the filler in the composite formulation, ideally also bio-based, increasing the content of bio-sourced components in the final material. Maleic anhydride, a petroleum-based molecule, can undergo free-radical polymerization through the reaction of its carbon–carbon double bond. Past works included maleic anhydride as a co-monomer in vegetable oil-based resins. Once in the resin, the anhydride group can be opened by hydroxyl groups from hydrophilic fillers, resulting in a covalent bond between matrix and reinforcement, and consequently improving the material mechanical properties [32]. Bio-based compatibilizers, such as asolectin from soybeans, for example, were proven to promote a good interaction between cellulose and a matrix composed of tung oil, n-butyl methacrylate, and divinylbenzene [33]. Additionally, our research group recently found out that a resin made with tung oil fatty acids, rather than the full triglyceride, interacts better with cellulose due to the presence of polar carboxylic acid groups [34]. In this context, itaconic anhydride, with a chemical structure very similar to maleic anhydride (Figure 1b,c), could be used for the same purpose, with the advantage of being a derivative from itaconic acid, a bio-based product industrially produced by the fermentation of fungi [35].
Herein, we report the synthesis of biocomposites consisting of a thermosetting resin made by the free-radical co-polymerization of tung oil, n-butyl methacrylate (BMA), divinylbenzene (DVB), and itaconic anhydride, reinforced with three different fillers, namely Miscanthus (commonly known as silvergrass, a genus of non-food crops in the grass family), Pinus taeda (commonly known as loblolly pine or southern pine, a native pine tree from the Southeastern US), and an algae biomass composed of a mixture of two algae species (Microspora and Oedogonium). The composition used in this work was optimized with the addition of DVB as a crosslinker, conferring stiffness, and BMA as a reactive co-monomer to confer toughness to the final resin. The substitution of these components by other bio-based co-monomers is possible, and should definitely be pursued in the future, but it is not the primary goal of the work reported herein. It is hypothesized that the addition of itaconic anhydride (ITA) can improve the thermo-mechanical properties of bio-based composites prepared with a previously established thermosetting resin. The effect of ITA addition was evaluated for each filler, and their behavior was compared. The composites prepared in this work were analyzed by thermogravimetric analysis (TGA), differential scanning calorimetry (DSC), dynamic-mechanical analysis (DMA), and their morphology was assessed via Scanning Electron Microscopy (SEM).
2. Experimental
2.1. Materials
Tung oil and di-tert-butyl peroxide (DTBP) were purchased from Sigma-Aldrich (St. Louis, MO, USA), n-butyl methacrylate (BMA) was acquired from Acros Organics (Morris Plains, NJ, USA), divinylbenzene (DVB) was bought from Alfa Aesar (Ward Hill, MA, USA), and itaconic anhydride (ITA) was purchased from TCI America (Portland, OR, USA). All reagents were used as received, without any further purification. Miscanthus was collected from Tybee Island, GA, USA. Pine wood chips were obtained from Herty Advanced Materials Development Center (Savannah, GA, USA). Microspora and Oedogonium algal cultures were purchased from the UTEX Culture Collection of Algae (University of Texas–Austin, TX, USA.). Commercial Proline F/2 algae food was purchased from Pentair Co. (Apopka, FL, USA).
2.2. Methods
2.2.1. Algae Cultivation
Microalgae was cultivated using a 120 L Algal Turf Scrubber (ATS) setup [36,37]. The system is comprised of a reservoir with nutrient media that is continuously pumped through a tipping bucket that provides a periodic wave surge to a 1 m2 algal turf with a depth of 2 cm and a return loop. Periphytic algal cultures of a balanced mixture of Microspora and Oedogonium were inoculated in the ATS. The ATS was operated in semi-continuous mode by regular replacement of nutrient media, where 25 L of water were replaced daily with fresh nutrient media, using 7.5 mL of commercial Proline F/2 algae food [38]. The flow rate was kept at 45 L min−1 with a tipping frequency of 4 min−1. Daily measurements of temperature (24.6 ± 0.5 °C), conductivity (0.08 ± 0.01 mS/cm), and pH (7.65 ± 0.22) were taken from the surface water of the reactor prior to water replacement. The average nitrate concentration was 21 mg/L, whereas phosphate concentration was below 5 mg/L. Continuous external light was provided by two 400 W metal halide grow lamps (Virtual Sun®, La Verne, CA, USA) located above the ATS bed. To check incident light homogeneity, several light intensity measurements were taken at the water surface with a quantum flux meter probe (LI-250 Light Meter and LI-190 Quantum Sensor, LI-COR Biosciences, Lincoln, NE, USA). Light intensity at the water surface was recorded at 241 ± 51 µmol m−2 s−1. After two weeks, Algal biomass was carefully harvested and preserved. Cultivation and harvesting were repeated three times to yield the biomass used for the fabrication of composites discussed here. Although algae biomass can certainly be obtained from other sources, the algae biomass used in this work constitutes a waste generated by the cultivation described above. The algae were cultivated for other purposes. The corresponding waste generated was used in this work as algae biomass.
2.2.2. Preparation of Thermosetting Resins
Two different resin compositions were prepared: the first consisted of 50 wt.% tung oil, 30 wt.% BMA, and 20 wt.% DVB, while the second consisted of 40 wt.% tung oil, 30 wt.% BMA, 20 wt.% DVB, and 10 wt.% ITA. These amounts were added to 20 mL scintillation vials and thoroughly mixed before the addition of 5 wt.%, related to the total weight of the resin, of the free radical initiator DTBP. The mixtures were thoroughly mixed one more time and heated in a convection oven at 125 °C for 18 h. ITA was heated at approximately 75 °C until completely melted before mixing with the other resin components.
2.2.3. Preparation of Biocomposites
All materials used as reinforcement (i.e., Miscanthus, southern pine, and algae) were ground and sieved, resulting in three particle sizes, namely >850 μm, 425–850 μm, and 150–425 μm. The sieved materials were dried in a vacuum oven at 70 °C for 24 h before being added to the crude resin. For the preparation of each composite, sufficient reinforcement was added to completely absorb the crude resin before cure. Each mixture of crude resin and reinforcement was then heated in a convection oven at 125 °C for 18 h. After cure, any excess layer of unreinforced resin was carefully removed, and the resulting composites were weighted to determine their corresponding final reinforcement loading (Scheme 1). The final reinforcement loading was approximately 20 wt.% for miscanthus and southern pine composites, and approximately 40 wt.% for algae composites. Table 1 lists all the resins and composites evaluated in this study. The nomenclature system adopted reflects the identity of each reinforcement used in the preparation of composites, along with its particle size. The name also clearly indicates whether the sample contained the compatibilizer itaconic anhydride. This nomenclature system helps to easily identify the differences in sample composition in the graphs presented herein.
Scheme 1.
Schematic of biocomposite preparation.
Table 1.
Sample names of the composites, their reinforcements and particle sizes, and amount of itaconic anhydride.
2.2.4. Characterization
DSC experiments were performed in a Q20 DSC instrument (TA Instruments, New Castle, DE, USA) under N2 atmosphere. For the test, a sample size of approximately 10 mg was sealed in an aluminum hermetic pan and heated from −20 °C to 150 °C at a heating rate of 10 °C/min. TGA tests were conducted in a Q50 TGA instrument (TA Instruments, New Castle, DE, USA) under air. A sample size of approximately 10 mg was heated in platinum pans from room temperature to 650 °C at a rate of 10 °C/min, measuring the weight loss as a function of temperature.
A Q800 DMA instrument (TA Instruments, New Castle, DE, USA) with a 3-point bending fixture was used for the DMA tests. Experiments were carried out with a frequency of 1 Hz and an amplitude of 14 μm. The samples were cut into specimens with approximate dimensions of 15.0 mm × 10.0 mm × 2.0 mm (length × width × thickness). Each specimen was cooled to 0 °C and then heated to 150 °C at a heating rate of 3 °C/min in iso-strain mode. Each sample was run at least three times and the results represent the average of the trials and their standard deviation. One-way Analysis of Variance (ANOVA) was performed to compare the effects of the different reinforcements and its particle sizes and the presence of ITA on the storage modulus at room temperature (25 °C) of the samples. Tukey’s honestly significant difference (HSD) test was used to find the means that were significantly different from each other. The significance level considered for the analyses was 5%.
Water absorption experiments were performed to determine the composite’s ability to absorb water. Samples were cut into small pieces and weighed at their dry state (Wd), and then submerged in 5 mL of water for 24 h. After this time, the samples were gently dried with delicate task wipers to remove the excess water, and weighed at their wet state (Ww). The percentage of water absorption was calculated according to Equation (1). All the experiments were carried out in triplicate, and the results represent the average of the trials and their standard deviation. The effects of the different reinforcements and the presence of ITA on the water absorptions of the composites was studied by one-way ANOVA. Tukey’s HSD test verified the means that were significantly different from each other. The significance level considered for these analyses was 5%.
SEM images of the cross-section of each composite were obtained in a JSM-760F Field Emission Scanning Electron Microscope (JEOL, Peabody, MA, USA), using an acceleration voltage of 3.0 kV for composites reinforced with pine and 5.0 kV for the other composites. Secondary electron imaging mode (SEI) and an emission current of approximately 81 μA were used. The samples were previously sputter coated with gold using a Desk V coating system (Denton Vacuum, Moorestown, NJ, USA). Optical microscopy images were obtained with a DXR Raman Microscope (Thermo Scientific, Waltham, MA, USA) equipped with a digital camera.
3. Results and Discussion
TGA results are summarized in Table 2. T90 represents the temperature at which 90% of the weight still remained, i.e., 10 wt.% of the material was degraded. Tf corresponds to the temperature at which weight loss was no longer observed, and Tmax are the temperatures at maximum degradation rates. No significant changes can be observed when itaconic anhydride was added to the resin, since the values of T90, Tf, and Tmax and the corresponding thermograms were very similar in all cases (Figure 2a).
Table 2.
T90, Tf and Tmax for resins and composites.
Figure 2.
TGA curves of resins without reinforcement (a), silvergrass composites with different particle sizes (b), silvergrass composites with and without ITA (c), southern pine composites with different particle sizes (d), southern pine composites with and without ITA (e), algae composites with different particle sizes (f), and algae composites with and without ITA (g).
Comparing the pure reinforcements, it is possible to observe that algae have the lowest T90, followed by silvergrass, and then pine. Since all the reinforcing materials are highly hydrophilic, the mass loss at temperatures of 100–120 °C usually corresponds to the elimination of moisture and other volatiles. As expected, silvergrass and southern pine lost aapproximately 9% of their initial mass until ~100 °C, and algal biomass lost approximately 7% of its initial mass. However, both silvergrass and southern pine TGA curves displayed a plateau between 100 and 210 °C, after which their chemical structure started to degrade, whereas the algal biomass curve did not display such a plateau in this temperature range, indicating that the latter might have a higher level of volatiles (Figure 2). As discussed later in the text, the presence of volatiles might be responsible for voids and bubbles observed in the final algae composites. Tf of southern pine is slightly higher than that of silvergrass, and both are considerably lower compared to that of the algal biomass. These observations might be explained by the fact that, although all the biomasses are mainly composed of cellulose, hemicellulose and lignin, their composition varies between the reinforcements, generating the differences in the TGA results. Additionally, pure algae present a small residue (~10 wt.%) while pine and silvergrass exhibit no residue at the end of the TGA experiment.
For the composites, looking at the different particle sizes (Figure 2b,d,f), it is expected that the larger the particle size, the higher the thermal stability, due to the smaller surface area, leading to a less effective heat transfer. This trend was indeed observed for Tf. For the T90, MIS425 was slightly more stable than MIS850, and PIN150 was considerably more stable than PIN425, and slightly more stable than PIN850, contradicting the expected result. However, this initial weight loss might be mostly related to the elimination of volatiles, rather than actual degradation of the composites.
Finally, considering the samples with and without ITA (Figure 2c,e,g), it is possible that the compatibilizer considerably increased the thermal stability of the composites, as indicated by both T90 and Tf. The same effect was observed when maleic anhydride was used as a compatibilizer [32]; thus, this is a good indication that ITA actually improved the interaction between the resin and the reinforcement, generating a higher cross-link density, which decreases the effectiveness of the heat transfer and makes the material more thermally stable.
The DSC curves of the resins (Figure 3a) do not show any significant peaks. This is a good indication that the cure was efficient, and the polymerization was complete, otherwise an exothermic peak would be observed. This also means that the resins are thermally stable at temperatures below 150 °C, correlating with the TGA results.
Figure 3.
DSC curves of resins without reinforcement (a), silvergrass composites with different particle sizes (b), silvergrass composites with and without ITA (c), southern pine composites with different particle sizes (d), southern pine composites with and without ITA (e), algae composites with different particle sizes (f), and algae composites with and without ITA (g).
A large endothermic peak (~100 °C) can be observed in the curves of the three reinforcements that were used, which is most likely associated with the dehydration of the samples. The same endothermic event is present in the curves of the composites with different reinforcement particle sizes (Figure 3b,d,f) and in the presence of ITA (Figure 3c,e,g). Although the reinforcements were dried prior to their incorporation into the resins, and the composites were cured at 125 °C, the hydrophilic nature of the reinforcements causes the absorption of moisture from the atmosphere, which might explain the presence of the endothermic event in the composites’ curves. No exothermic events could be observed in any of the composite curves, again confirming that the cure was complete.
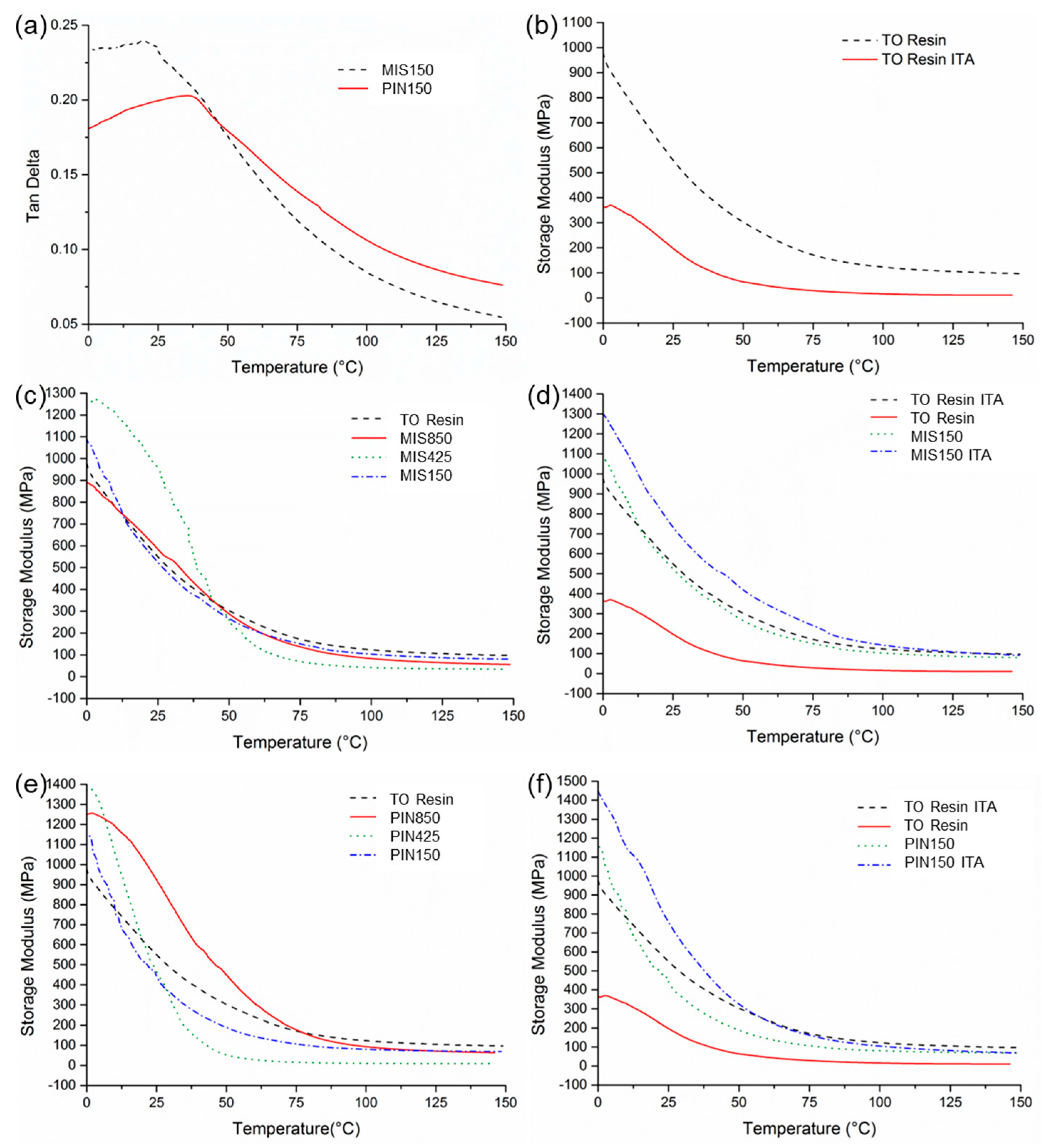
The DMA results are presented in Table 3 and Figure 4. The glass transition temperature (Tg) was measured by taking the temperature at which the tan delta reaches its maximum value (Figure 4a). The storage modulus at 25 °C is a good indication of how the material behaves at room temperature. The storage modulus at Tg + 50 °C is an interesting indication of how the material behaves at the rubbery plateau. It was not possible to prepare adequate specimens to perform DMA experiments on the algae composites due to the presence of air pockets inside the samples, as can be seen in Figure 5.
Table 3.
DMA results for the unreinforced resin with and without ITA, and for miscanthus and southern pine composites prepared with different particle sizes and with and without ITA.
Figure 4.
(a) Tan Delta vs. temperature curves of composites reinforced with southern pine and miscanthus. Storage modulus vs. temperature curves of (b) unreinforced resins, (c) silvergrass composites with different particle sizes, (d) silvergrass composites with and without ITA, (e) southern pine composites with different particle sizes, and (f) southern pine composites with and without ITA.
Figure 5.
Photographs of (a) ALG150 and (b) ALG150ITA.
The one-way ANOVA revealed that there was a statistically significant difference in the storage modulus at 25 °C between at least two samples (F = 22.3, p = 1.5 × 10−8). Comparing the resins without filler (Figure 4b), the presence of ITA significantly decreased the storage moduli at room temperature and at Tg + 50 °C. In other words, the value of E’ at Tg + 50 °C for the unreinforced resin with ITA is lower than that for the unreinforced resin without ITA when taking into account the corresponding standard deviations. Indeed, Tukey’s HSD test revealed that their mean storage moduli values at 25 °C were significantly different (p = 0.022). ITA has only 1 carbon–carbon double bond in its structure (Figure 1b), while tung oil has several. Consequently, the replacement of 10 wt.% tung oil by ITA on the resin formulation results in a decrease of the composite’s crosslink density, translating into an expected negative impact on the storage modulus for resin. For DMA results, an analysis of the standard deviation conveys an indirect assessment of composite heterogeneity. It is important to mention that, during the curing process, it is not possible to guarantee the homogeneity of the samples, since some components might polymerize faster than others. Therefore, the large standard deviation values in some of the samples might be attributed to the heterogeneity of the samples.
For the silvergrass composites without ITA (Figure 4c), particle sizes 425–850 μm produced materials with the highest storage modulus at room temperature and the higher Tg, while MIS850 and MIS150 led to similar results. Tukey’s HSD test indicated that storage modulus at 25 °C of sample MIS425 truly was significantly different than that of TO Resin (p = 9.5 × 10−5), MIS850 (p = 2.2 × 10−4), and MIS150 (p = 2.6 × 10−5). All of them exhibited higher Tg values than the unreinforced TO Resin. In the case of E’ values, MIS850, MIS150, and TO Resin were statistically equivalent, considering the standard deviation, and Tukey’s HSD test (p = 0.99 for MIS850 vs. MIS150; p = 1.00 for MIS850 vs. TO Resin; p = 1.00 for MIS150 vs. TO Resin); therefore, it was not possible to stablish a direct relationship between storage modulus and particle size. For southern pine (Figure 4e), particle sizes > 850 μm produced the highest storage modulus and Tg, while PIN150 and TO Resin showed statistically similar behaviors, considering the standard deviations. PIN425, on the other hand, exhibited an increased Tg when compared to TO Resin, but lower E’ at Tg + 50 °C. Tukey’s HSD test confirmed that sample PIN850 possessed a significantly higher E’ at 25 °C than TO resin (p = 1.3 × 10−4), PIN425 (p = 3.4 × 10−5), and PIN150 (p = 1.5 × 10−5), whereas PIN425, PIN150 and TO Resin are statistically the same (p = 1.00 for PIN425 vs. PIN150; p = 1.00 for PIN425 vs. TO Resin; p = 0.98 for PIN150 vs. TO Resin). These results are also not sufficient to conclusively state if the smaller particle sizes can act as more effective reinforcements.
The presence of ITA did not significantly change the Tg of the composites, considering the standard deviations, but it considerably increased the storage modulus at 25 °C and at Tg + 50 °C for both silvergrass (Figure 4d) and pine (Figure 4f) composites. As a matter of fact, Tukey’s HSD test indicated that the storage modulus at 25 °C significantly increases when ITA is present (p = 0.044 for MIS150 vs. MIS150ITA; p = 0.015 for PIN150 vs. PIN150ITA). The presence of a carbon–carbon double bond in the structure of ITA allows it to be co-polymerized with the resin. Upon heating, the hydroxyl groups of cellulose and hemicellulose from silvergrass and southern pine can open the anhydride group from ITA, resulting in the incorporation of the reinforcement into the resin. This improved matrix-reinforcement interaction increased the composite resistance to deformation, resulting in an increased storage modulus, which indicates that ITA might, indeed, act as an effective green compatibility agent for such composites. The same effect was observed when maleic anhydride [32] and asolectin [33,39] were used as compatibilizer agents for vegetable-oil-based composites.
Water absorption (Table 4) was performed to understand the effect of ITA in the polarity of the resins and the composites. Although both resins absorbed small amounts of water due to the predominance of long, non-polar fatty acid chains, the water absorption of TO Resin ITA was higher than of TO Resin. The partial replacement of tung oil by ITA increased the polarity of the resin, increasing its affinity with water. The same effect was observed when tung oil was replaced by its methyl ester or its fatty acid [34].
Table 4.
Water absorption percentage of select composites and the unreinforced resin with and without ITA.
The one-way ANOVA showed that there was a statistically difference in the water absorption between at least two composites (F = 40.3, p = 4.3 × 10−7). Comparing the composites with different fillers, the ones made with algae biomass and silvergrass absorbed statistically the same amount of water (Tukey’s HSD test p-value of 0.081), but they both absorbed more than the ones bearing southern pine (Tukey’s HSD test p-values: 1.6 × 10−4 for ALG150 vs. PIN150; 0.018 for MIS150 vs. PIN150), probably due to the different composition of cellulose, hemicellulose, and lignin in each filler. The presence of air pockets in the composites reinforced with algae biomass (Figure 3) might have facilitated the diffusion of water, and consequently the water absorption.
The presence of ITA in the silvergrass and southern pine composites did not significantly impact the composite’s water absorption, taking the standard deviations into consideration and the Tukey’s HSD test (p = 0.84 for MIS150 vs. MIS150ITA; p = 1.00 for PIN150 vs. PIN150ITA). In the absence of ITA, the -OH groups of cellulose and hemicellulose did not interact with the resin and were free to interact with water molecules. In the presence of ITA, it is possible that some -OH groups might have opened the anhydride ring, attaching the reinforcement to the matrix, but leaving another -OH group free to interact with water, as shown in Figure 6. Hence, the number of -OH groups available to interact with water was still the same and this might explain why the presence of ITA did not significantly change the water absorption.
Figure 6.
Schematic representation of the ring-opening of ITA by superficial hydroxyl groups present on the reinforcement.
For the algae composites, however, the presence of ITA significantly increased the water absorption (Tukey’s HSD test p-value of 0.0050). The air pockets in ALG150ITA were visibly larger than the ones present in ALG150 (Figure 5), which might explain this different behavior. To the best of our knowledge, there is no evidence in the literature that helps to understand why the presence of ITA triggers larger air pockets in the algae-based composites but not in silvergrass or southern pine-based ones. At a microscopic level, the differences in the air pocket sizes in both algae composites are negligible (Figure 7). No significant differences are clearly observable at the optic microscopic level between algae-reinforced composites with and without itaconic anhydride. Indeed, both images (Figure 7a,b) clearly show the algae particles (dark matter) marbled in the clearer polymer matrix.
Figure 7.
Optical microscopy images of (a) ALG150; (b) ALG150ITA (10× magnification).
The SEM images obtained for silvergrass composites are depicted in Figure 8a,b. It is possible to notice, in the presence of ITA (Figure 8a), an adhesion of resin through all the fiber extension, indicated by red arrows. In the absence of ITA (Figure 8b), the fiber was mostly uncovered. This result also indicates that ITA promoted a better interaction between the tung oil resin and silvergrass fibers. Similar results were obtained for other compatibilizers as well [32,33,34]. Because the atomic composition of the thermosetting resin and the biomasses used in this study is very similar (C, H, O), EDS mapping was not performed. Unlike in rice hulls [32], where Si is abundant, the absence of particular elements exclusive to a certain component limits the usefulness of the analysis in this instance.
Figure 8.
SEM images of (a) MIS150ITA (arrows indicate Polymer residue along reinforcement fiber); (b) MIS150 (arrow indicates na exposed fiber); (c) PIN150ITA; (d) PIN150 (gap between matrix and reinforcement circled); (e) ALG150ITA; (f) ALG150 (gap between matrix and reinforcement circled).
SEM images of southern pine and algae-based composites also indicated that the presence of ITA promoted an improved matrix-filler compatibility. Some gaps between the resin and the fibers were found in the absence of ITA (Figure 8d,f, circled in red), while in the presence of ITA, most of the fibers in PIN150ITA (Figure 8c) were covered by the resin, without the gaps in sample ALG150ITA (Figure 8e). No differences in the sizes of air pockets were observed for the algae composites.
4. Conclusions
In this work, composites made of a tung oil/divinylbenzene/butyl methacrylate resin matrix reinforced with 20 wt.% of plant biomass (Miscanthus genus or Southern Pine), or 40 wt.% of algal biomass, with different particle sizes, were produced. The addition of itaconic anhydride to the resin composition was investigated, aiming to obtain better interaction between the hydrophobic resin and the hydrophilic fillers. The TGA results showed that the presence of ITA did not affect the thermal stability of the pure resin and significantly improved the thermal properties of all composites. DSC analysis confirmed that the polymerization of all resin components was complete after the cure. DMA showed that silvergrass composites prepared with reinforcement particles 425–850 μm exhibit the highest storage modulus at room temperature and Tg, while within southern pine-based composites, the highest storage modulus and Tg was observed for composites prepared with particles 150–425 μm. The air pockets present in all the algae biomass-based composites did not allow for the production of viable DMA specimens. The presence of ITA did not seem to affect the Tg of the composites, yet it considerably increased the storage modulus at room temperature of all samples when taking into account the standard deviation of the results presented and the ANOVA, followed by Turkey’s HSD post hoc analysis. Water uptake experiments indicated that the addition of ITA increased the polarity of the resin. For the composites, however, the water absorption was not affected by the anhydride, except when algal biomass was used as a filler, which might be attributed to the presence of air pockets that served as pathways for water to penetrate the material. Finally, SEM images showed that the presence of ITA promoted an efficient resin-fiber compatibility. This set of results indicates two synergistic positive effects of the incorporation of itaconic anhydride into vegetable oil-based resins synthesized via free-radical polymerization, i.e., an increase in the resin polarity and the possibility of establishing fiber-matrix covalent bonds by ring opening of the anhydride by the superficial hydroxyl groups of lignocellulosic biomasses, resulting in improved thermo-mechanical properties. Although it was not possible to perform DMA analysis on the algae-based composites, the corresponding results that were gathered were also promising.
Author Contributions
Methodology, J.A.C.S., H.W., and S.D.; Resources, K.K. and T.M.L.; Project administration, R.L.Q. All authors have read and agreed to the published version of the manuscript.
Funding
This research was funded by Coordenação de Aperfeiçoamento de Pessoal de Nível Superior—Brasil (CAPES)—Finance Code 001 and by Georgia Southern University via a COSM research grant.
Institutional Review Board Statement
Not applicable.
Informed Consent Statement
Not applicable.
Data Availability Statement
Not applicable.
Conflicts of Interest
The authors declare no conflict of interest.
References
- Wang, Z.; Ganewatta, M.S.; Tang, C. Sustainable polymers from biomass: Bridging chemistry with materials and processing. Prog. Polym. Sci. 2020, 101, 101197. [Google Scholar] [CrossRef]
- Gandini, A.; Lacerda, T.M. Monomers and Macromolecular Materials from Renewable Resources: State of the Art and Perspectives. Molecules 2022, 27, 159. [Google Scholar] [CrossRef] [PubMed]
- Miao, S.; Wang, P.; Su, Z.; Zhang, S. Vegetable-oil-based polymers as future polymeric biomaterials. Acta Biomater. 2014, 10, 1692–1704. [Google Scholar] [CrossRef] [PubMed]
- Quirino, R.L.; Monroe, K.; Fleischer III, C.H.; Biswas, E.; Kessler, M.R. Thermosetting polymers from renewable sources. Polym. Int. 2021, 70, 167–180. [Google Scholar] [CrossRef]
- Xie, K.; Wang, W.; Li, Y.; Xu, M.; Han, Z.; Zhang, Y.; Gao, W. Study on structure-performance relationship of RGO enhanced polypropylene composites with improved atomic oxygen resistance. Composites Part B. 2022, 239, 109970. [Google Scholar] [CrossRef]
- Cao, S.; Ge, W.; Yang, Y.; Huang, Q.; Wang, X. High strength, flexible, and conductive graphene/polypropylene paper fabricated via papermaking process. Adv. Compos. Hybrid Mater. 2022, 5, 104–112. [Google Scholar] [CrossRef]
- da Silva, R.; Cervini, P.; Buoro, R.M.; Cavalheiro, E.T.G. A new acetylene black and vegetable oil based polyurethane composite: Preparation, characterization and its potentialities as an electroanalytical sensor. Mater. Today Commun. 2022, 31, 103691. [Google Scholar] [CrossRef]
- Noè, C.; Cosola, A.; Tonda-Turo, C.; Sesana, R.; Delprete, C.; Chiappone, A.; Hakkarainen, M.; Sangermano, M. DLP-printable fully biobased soybean oil composites. Polymer 2022, 247, 124779. [Google Scholar] [CrossRef]
- Zhang, C.; Wang, X.; Liang, D.; Deng, H.; Lin, Z.; Feng, P.; Wang, Q. Rapid self-healing, multiple recyclability and mechanically robust plant oil-based epoxy resins enabled by incorporating tri-dynamic covalent bonding. J. Mater. Chem. A 2021, 9, 18431–18439. [Google Scholar] [CrossRef]
- Valentino, H.A.S.; Pupio, P.T.L.R.S.; Gandini, A.; Lacerda, T.M. Furfuryl alcohol/tung oil matrix-based composites reinforced with bacterial cellulose fibres. Cellulose 2021, 28, 7109–7121. [Google Scholar] [CrossRef]
- Sain, S.; Åkesson, D.; Skrifvars, M.; Roy, S. Hydrophobic Shape-Memory Biocomposites from Tung-Oil-Based Bioresin and Onion-Skin-Derived Nanocellulose Networks. Polymers 2020, 12, 2470. [Google Scholar] [CrossRef] [PubMed]
- Ozkur, S.; Sezgin, H.; Akay, E.; Yalcin-Enis, I. Hybrid bio-based composites from blends of epoxy and soybean oil resins reinforced with jute woven fabrics. Mater. Res. Express 2020, 7, 015335. [Google Scholar] [CrossRef]
- Dinu, R.; Bejenari, I.; Volf, I.; Mija, A. Vegetable Oil-Based Resins Reinforced with Spruce Bark Powder and with Its Hydrochar Lignocellulosic Biomass. Appl. Sci. 2021, 11, 10649. [Google Scholar] [CrossRef]
- Di Mauro, C.; Genua, A.; Rymarczyk, M.; Dobbels, C.; Malburet, S.; Graillot, A.; Mija, A. Chemical and mechanical reprocessed resins and bio-composites based on five epoxidized vegetable oils thermosets reinforced with flax fibers or PLA woven. Compos. Sci. Technol. 2021, 205, 108678. [Google Scholar] [CrossRef]
- Chen, Y.; Wu, C.; Chen, Y. Optimized condition for eco-friendly wood composites manufactured from castor oil-based polyurethane. Constr. Build. Mater. 2021, 306, 124789. [Google Scholar] [CrossRef]
- Smith, M.; Payne, A.; Edwards, K.; Morris, S.; Beckler, B.; Quirino, R.L. Effect of Microwave Cure on the Thermo-Mechanical Properties of Tung Oil-Based/Carbon Nanotube Composites. Coatings 2015, 5, 557–575. [Google Scholar] [CrossRef]
- Scholz, A.; Lewis, R.L.; Bachan, M.A.; Stewart, A.L.; Quirino, R.L. Biocomposites from the reinforcement of a tung oil-based thermosetting resin with collagen. Mater. Chem. Front. 2017, 1, 1795–1803. [Google Scholar] [CrossRef]
- Silva, J.A.C.; Grilo, L.M.; Gandini, A.; Lacerda, T.M. The Prospering of Macromolecular Materials Based on Plant Oils within the Blooming Field of Polymers from Renewable Resources. Polymers 2021, 13, 1722. [Google Scholar] [CrossRef]
- Sain, S.; Åkesson, D.; Skrifvars, M. Synthesis and Properties of Thermosets from Tung Oil and Furfuryl Methacrylate. Polymers 2020, 12, 258. [Google Scholar] [CrossRef]
- Lacerda, T.M.; Gandini, A. The cationic polymerization of tung oil and its fatty-acid methyl ester. Ind. Crops Prod. 2020, 157, 112886. [Google Scholar] [CrossRef]
- Kundu, P.P.; Larock, R.C. Montmorillonite-Filled Nanocomposites of Tung Oil/Styrene/Divinylbenzene Polymers Prepared by Thermal Polymerization. J. Appl. Polym. Sci. 2011, 119, 1297–1306. [Google Scholar] [CrossRef]
- Quirino, R.L.; Ma, Y.; Larock, R.C. Oat hull composites from conjugated natural oils. Green Chem. 2012, 14, 1398. [Google Scholar] [CrossRef]
- Quirino, R.L.; Larock, R.C. Synthesis and Properties of Soy Hull-Reinforced Biocomposites from Conjugated Soybean Oil. J. Appl. Polym. Sci. 2009, 112, 2033–2043. [Google Scholar] [CrossRef]
- Quirino, R.L.; Larock, R.C. Sugarcane Bagasse Composites from Vegetable Oils. J. Appl. Polym. Sci. 2012, 126, 860–869. [Google Scholar] [CrossRef]
- Pfister, D.P.; Larock, R.C. Green composites from a conjugated linseed oil-based resin and wheat straw. Composites Part A 2010, 41, 1279–1288. [Google Scholar] [CrossRef]
- Pfister, D.P.; Larock, R.C. Thermophysical properties of conjugated soybean oil/corn stover biocomposites. Bioresour. Technol. 2010, 101, 6200–6206. [Google Scholar] [CrossRef]
- Quirino, R.L.; Woodford, J.; Larock, R.C. Soybean and Linseed Oil-Based Composites Reinforced with Wood Flour and Wood Fibers. J. Appl. Polym. Sci. 2012, 124, 1520–1528. [Google Scholar] [CrossRef]
- Pfister, D.P.; Baker, J.R.; Henna, P.H.; Lu, Y.; Larock, R.C. Preparation and Properties of Tung Oil-Based Composites Using Spent Germ as a Natural Filler. J. Appl. Polym. Sci. 2008, 108, 3618–3625. [Google Scholar] [CrossRef]
- Chiellini, E.; Cinelli, P.; Ilieva, V.I.; Martera, M. Biodegradable Thermoplastic Composites Based on Polyvinyl Alcohol and Algae. Biomacromolecules 2008, 9, 1007–1013. [Google Scholar] [CrossRef]
- Bulota, M.; Budtova, T. PLA/algae composites: Morphology and mechanical properties. Composites Part A 2015, 73, 109–115. [Google Scholar] [CrossRef]
- Constante, A.; Pillay, S. Compression molding of algae fiber and epoxy composites: Modeling of elastic modulus. J. Reinf. Plast. Compos. 2018, 37, 1202–1216. [Google Scholar] [CrossRef]
- Quirino, R.L.; Larock, R.C. Rice Hull Biocomposites, Part 2: Effect of the Resin Composition on the Properties of the Composite. J. Appl. Polym. Sci. 2011, 121, 2050–2059. [Google Scholar] [CrossRef]
- Johns, A.; Morris, S.; Edwards, K.; Quirino, R.L. Asolectin from soybeans as a natural compatibilizer for cellulose-reinforced biocomposites from tung oil. J. Appl. Polym. Sci. 2015, 132, 41833. [Google Scholar] [CrossRef]
- Murawski, A.; Quirino, R.L. Bio-Based Composites with Enhanced Matrix-Reinforcement Interactions from the Polymerization of α-Eleostearic Acid. Coatings 2019, 9, 447. [Google Scholar] [CrossRef]
- Gopaliya, D.; Kumar, V.; Khare, S.K. Recent advances in itaconic acid production from microbial cell factories. Biocatal. Agric. Biotechnol. 2021, 36, 102130. [Google Scholar] [CrossRef]
- Craggs, R.J.; Adey, W.H.; Jessup, B.K.; Oswald, W.J. A controlled stream mesocosm for tertiary treatment of sewage. Ecol. Eng. 1996, 6, 149–169. [Google Scholar] [CrossRef]
- Adey, W.H.; Kangas, P.C.; Mulbury, W. Algal turf scrubbing: Cleaning surface waters with solar energy while producing a biofuel. Bioscience 2011, 61, 434–441. [Google Scholar] [CrossRef]
- Guillard, R.R.L. Culture of Phytoplankton for Feeding Marine Invertebrates. In Culture of Marine Invertebrate Animals: Proceedings—1st Conference on Culture of Marine Invertebrate Animals Greenport; Smith, W.L., Chanley, M.H., Eds.; Springer US: Boston, MA, USA, 1975; pp. 29–60. [Google Scholar]
- Biswas, E.; Silva, J.A.C.; Khan, M.; Quirino, R.L. Synthesis and Properties of Bio-Based Composites from Vegetable Oils and Starch. Coatings 2022, 12, 1119. [Google Scholar] [CrossRef]
Disclaimer/Publisher’s Note: The statements, opinions and data contained in all publications are solely those of the individual author(s) and contributor(s) and not of MDPI and/or the editor(s). MDPI and/or the editor(s) disclaim responsibility for any injury to people or property resulting from any ideas, methods, instructions or products referred to in the content. |
© 2022 by the authors. Licensee MDPI, Basel, Switzerland. This article is an open access article distributed under the terms and conditions of the Creative Commons Attribution (CC BY) license (https://creativecommons.org/licenses/by/4.0/).








