Mechanical Properties of Arc Coatings Sprayed with Cored Wires with Different Charge Compositions
Abstract
:1. Introduction
2. Materials and Methods
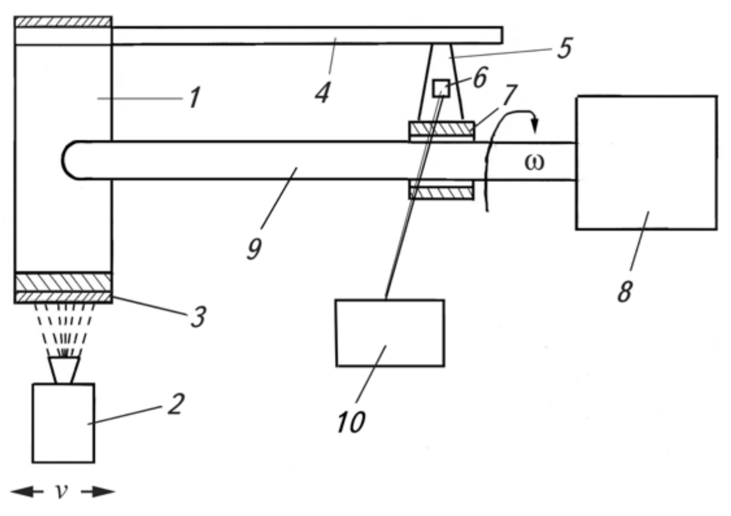
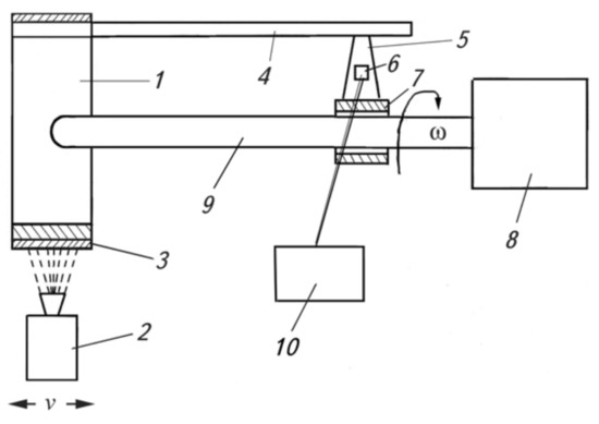
2.1. Deposition
2.2. Assessment of Internal Stresses in Coatings
2.3. Evaluation of the Cohesive Strength of Coatings
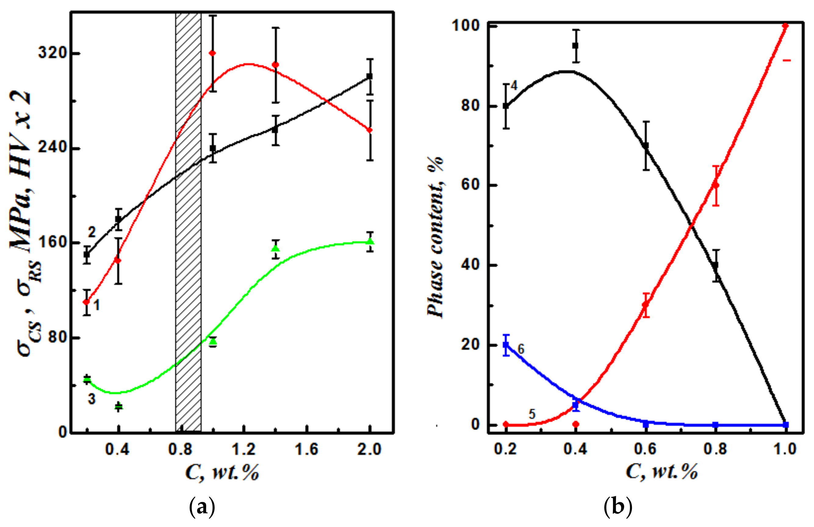
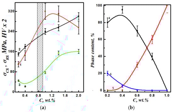
3. Results and Discussion
4. Conclusions
Author Contributions
Funding
Institutional Review Board Statement
Informed Consent Statement
Data Availability Statement
Conflicts of Interest
References
- Goharian, A.; Bin Abdullah, M.R. Plasma spraying process for osseoconductive surface engineering. In Osseoconductive Surface Engineering for Orthopedic Implants; Elsevier: Amsterdam, The Netherlands, 2021; pp. 19–53. [Google Scholar] [CrossRef]
- Ruys, A.J.; Sutton, B.A. Metal-ceramic functionally graded materials (FGMs). In Metal-Reinforced Ceramics; Elsevier Series on Advanced Ceramic Materials; Elsevier: Amsterdam, The Netherlands, 2021; pp. 327–359. [Google Scholar] [CrossRef]
- Bakan, E.; Mack, D.E.; Mauer, G.; Vaßen, R.; Lamon, J.; Padture, N.P. High-temperature materials for power generation in gas turbines. In Advanced Ceramics for Energy Conversion and Storage; Elsevier: Amsterdam, The Netherlands, 2020; pp. 3–62. [Google Scholar] [CrossRef]
- Student, М.М.; Pokhmurs’ka, H.V.; Zadorozhna, K.R. Structure and wear resistance of VC–FeCr and VC–FeCrCo coatings obtained by supersonic flame spraying. Mater. Sci. 2018, 54, 22–29. [Google Scholar] [CrossRef]
- Takalapally, S.; Kumar, S.; Pusuluri, S.H.; Palle, M. A critical review on surface coatings for engineering materials. Int. J. Mech. Eng. Technol. 2016, 7, 80–85. [Google Scholar]
- Stupnyts’kyi, T.R.; Student, M.M.; Pokhmurs’ka, H.V.; Hvozdets’kyi, V.M. Optimization of the chromium content of powder wires of the fe–cr–c and fe–cr–b systems according to the corrosion resistance of electric-arc coatings. Mater. Sci. 2016, 52, 165–172. [Google Scholar] [CrossRef]
- Student, М.М.; Shmyrko, V.V.; Klapkiv, М.D.; Lyasota, І.M.; Dobrovol’ska, L.N. Evaluation of the mechanical properties of combined metal-oxide-ceramic layers on aluminum alloys. Mater. Sci. 2014, 50, 290–295. [Google Scholar] [CrossRef]
- Zhang, X.; Wang, Z.; Lin, J. High temperature oxidation behavior of arc-sprayed FeCrBAlMo coating. J. Adv. Oxid. Technol. 2016, 19, 105–112. [Google Scholar] [CrossRef]
- Kant, S.; Kumar, M.; Chawla, V.; Singh, S. Study of high temperature oxidation behavior of wire arc sprayed coatings. Mater. Today Proc. 2020, 21, 1741–1748. [Google Scholar] [CrossRef]
- Kumar, S.; Kumar, M.; Handa, A. Comparative study of high temperature oxidation behavior and mechanical properties of wire arc sprayed NiCr and NiAl coatings. Eng. Fail. Anal. 2019, 106, 104173. [Google Scholar] [CrossRef]
- Zhuang, X.; Tan, Y.; You, X.; Li, P.; Zhao, L.; Cui, C.; Zhang, H.; Cui, H. High temperature oxidation behavior and mechanism of a new Ni-Co-based superalloy. Vacuum 2021, 189, 110219. [Google Scholar] [CrossRef]
- Li, Y.; Liang, T.; Ao, R.; Zhao, H.; Chen, X.; Zeng, J. Oxidation resistance of iron-based coatings by supersonic arc spraying at high temperature. Surf. Coat. Technol. 2018, 347, 99–112. [Google Scholar] [CrossRef]
- Cheng, J.; Wu, Y.; Chen, L.; Hong, S.; Qiao, L.; Wei, Z. Hot corrosion behavior and mechanism of high-velocity arc-sprayed Ni-Cr alloy coatings. J. Therm. Spray Technol. 2019, 28, 1263–1274. [Google Scholar] [CrossRef]
- Pokhmurs’kyi, V.; Student, M.; Formanek, B.; Serivka, V.; Dz’oba, Y.; Dovhunyk, V.; Sydorak, I. Heat resistance of electric arc coatings made of Fe-Cr-B-Al powder wire. Mater. Sci. 2003, 39, 829–834. [Google Scholar] [CrossRef]
- Wielage, B.; Pokhmurska, H.; Student, M.; Gvozdeckii, V.; Stupnyckyj, T.; Pokhmurskii, V. Iron-based coatings arc-sprayed with cored wires for applications at elevated temperatures. Surf. Coat. Technol. 2013, 220, 27–35. [Google Scholar] [CrossRef]
- Szymański, K.; Hernas, A.; Moskal, G.; Myalska, H. Thermally sprayed coatings resistant to erosion and corrosion for power plant boilers—A review. Surf. Coat. Technol. 2015, 268, 153–164. [Google Scholar] [CrossRef]
- Student, M.M.; Pokhmurs’ka, H.V.; Hvozdets’kyi, V.V.; Holovchuk, M.Y.; Romaniv, M.S. Effect of high-temperature corrosion on the gas-abrasive resistance of electric-arc coatings. Mater. Sci. 2009, 45, 481–489. [Google Scholar] [CrossRef]
- Student, M.M.; Dovhunyk, V.M.; Sydorak, I.I.; Pokhmurs’ka, H.V.; Yas’kiv, O.I. Effect of friction on phase transitions in the surface layers of FeCrB + Al gas-thermal coatings. Mater. Sci. 2000, 36, 607–611. [Google Scholar] [CrossRef]
- Brezinová, J.; Guzanová, A.; Draganovská, D.; Maruschak, P.O.; Landová, M. Study of selected properties of thermally sprayed coatings containing WC and WB hard particles. Acta Mech. Autom. 2016, 10, 296–299. [Google Scholar] [CrossRef] [Green Version]
- Tillmann, W.; Hagen, L.; Kokalj, D. Spray characteristics and tribo-mechanical properties of high-velocity arc-sprayed WC-W2C iron-based coatings. J. Therm. Spray Technol. 2017, 26, 1685–1700. [Google Scholar] [CrossRef]
- Pokhmurs’ka, H.V.; Dovhunyk, V.M.; Student, M.M. Wear resistance of laser-modified arc-sprayed coatings made of FMI-2 powder wires. Mater. Sci. 2003, 39, 533–538. [Google Scholar] [CrossRef]
- Student, M.M.; Markovych, S.I.; Gvodetskyi, V.M.; Kalahan, O.S.; Yuskiv, V.M. Abrasive wear resistance and tribological characteristics of composite coatings. Phys.-Chem. Mech. Mater. 2022, 1, 83–90. [Google Scholar]
- Daram, P.; Munroe, P.; Banjongprasert, C. Microstructural evolution and nanoindentation of NiCrMoAl alloy coating deposited by arc spraying. Surf. Coat. Technol. 2020, 391, 125565. [Google Scholar] [CrossRef]
- Horner, A.L.; Hall, A.C.; McCloskey, J.F. The effect of process parameters on twin wire arc spray pattern shape. Coatings 2015, 5, 115–123. [Google Scholar] [CrossRef] [Green Version]
- Ndiithi, N.J.; Kang, M.; Zhu, J.; Lin, J.; Nyambura, S.M.; Liu, Y.; Huang, F. Microstructural and corrosion behavior of high velocity arc sprayed FeCrAl/Al composite coating on Q235 steel substrate. Coatings 2019, 9, 542. [Google Scholar] [CrossRef] [Green Version]
- Yao, H.; Zhou, Z.; Wang, Y.; He, D.; Bobzin, K.; Zhao, L.; Öte, M.; Königstein, T. Microstructure and properties of FeCrB alloy coatings prepared by wire-arc spraying. J. Therm. Spray Technol. 2017, 26, 483–491. [Google Scholar] [CrossRef]
- Student, M.; Gvozdetsky, V.; Student, O.; Prentkovskis, O.; Maruschak, P.; Olenyuk, O.; Titova, L. The effect of increasing the air flow pressure on the properties of coatings during the arc spraying of cored wires. Stroj. Cas. 2019, 69, 133–146. [Google Scholar] [CrossRef] [Green Version]
- Pokhmurska, H.; Student, M.; Paczkowski, G.; Holovchuk, M.; Chumalo, H.; Hvozdetskyi, V.; Schuberth, S. Influence of diameter of the cored wires on abrasive wear resistance of arc sprayed coatings. In IOP Conference Series: Materials Science and Engineering; IOP Publishing: Bristol, UK, 2021; Volume 1147, p. 012033. [Google Scholar] [CrossRef]
- Kraus, W.; Nolze, G. POWDER CELL—A program for the representation and manipulation of crystal structures and calculation of the resulting X-ray powder patterns. J. Appl. Cryst. 1996, 29, 301–303. [Google Scholar] [CrossRef]
- Birger, I.A. Methods for determining residual stresses in thin-walled pipes. Zavod. Lab. 1962, 9, 1112–1117. (In Russian) [Google Scholar]
- Babichev, M.A. Methods for Determining Internal Stresses in Machine Parts; Publishing House of the Academy of Sciences of the USSR: Moscow, Russia, 1955; 132p. (In Russian) [Google Scholar]
- Student, M.; Dzioba, Y.; Hvozdets’kyi, V.; Pokhmurs’ka, H.; Wielage, B.; Grund, T. High-temperature corrosion of electric-arc coatings sprayed from powder core wires based on the Fe-Cr-B-Al system. Mater. Sci. 2008, 44, 693–699. [Google Scholar] [CrossRef]
- Geng, Y.; Panchenko, I.; Chen, X.; Ivanov, Y.; Konovalov, S. Investigation of microstructure and fracture mechanism of al-5.0 mg alloys fabricated by wire arc additive manufacturing. J. Mater. Eng. Perform. 2021, 30, 7406–7416. [Google Scholar] [CrossRef]
- Geng, Y.; Panchenko, I.; Chen, X.; Ivanov, Y.; Konovalov, S. Wire arc additive manufacturing Al-5.0 Mg alloy: Microstructures and phase composition. Mater. Charact. 2022, 187, 111875. [Google Scholar] [CrossRef]
- Brezinová, J.; Guzanová, A.; Tkáčová, J.; Brezina, J.; Ľachová, K.; Draganovská, D.; Pastorek, F.; Maruschak, P.; Prentkovskis, O. High velocity oxygen liquid-fuel (HVOLF) spraying of WC-based coatings for transport industrial applications. Metals 2020, 10, 1675. [Google Scholar] [CrossRef]















| No | Chemical Composition of the CW Charge, wt. % | Content of Cr and C in the Coating, wt. % | Phase Composition of the Coating | Phase Ratio | ||
|---|---|---|---|---|---|---|
| 1 | FeCr (with 2 wt. % C) Fe | 70 30 | C Cr Fe | 0.2 14.0 Rest | Feα(m)/Feγ (Fe,Cr)3C; | 8/1 Traces |
| 2 | FeCr (with 8 wt. % C) Fe | 70 30 | C Cr Fe | 0.5 14.1 Rest | Feα(m)/Feγ (Fe,Cr)3C6 Fe2O3, Fe3O4 | 3/1 Traces Traces |
| 3 | FeCr (with 8 wt. % C) C(graphite) Fe | 60 5 35 | C Cr Fe | 1.0 13.9 Rest | Feα(m)/Feγ TiO2, Al2O3 FeO, Fe2O3, Fe3O4 | 1/1 Traces Traces Traces |
| 4 | FeCr (with 8 wt. % C) C (graphite) Fe | 60 10 30 | C Cr Fe | 1.5 13.9 Rest | Feα(m)/Feγ FeO, Fe2O3, Fe3O4 | 2/3 Traces Traces |
| 5 | FeCr (with 8 wt. % C) C (graphite) Fe | 60 10 30 | C Cr Fe | 2.0 14.0 Rest | Feα(m)/Feγ Fe2O3, Fe3O4 | 1/3 Traces Traces |
| CW Type | After Spraying | After 2 h Tempering at 550 °C | Phase Composition of Coatings | ||||
|---|---|---|---|---|---|---|---|
| HV | σCS, MPa | σRS, MPa | HV | σCS, MPa | σRS, MPa | ||
| C1.4Cr14Ni2 | 500–600 | 293 | 70 | 450–550 | 160 | −42 | Feγ; Feα(m); traces (FeCr)23C6,(FeCr)2О3 |
| C1.4Cr14Ni2Ti2Al | 450–550 | 250 | 71 | 450–500 | 180 | 12 | Feγ; Feα(m); traces (FeCr)23C6,(FeAlТі)хОу |
| C1.4Cr14B3NiTi2Al | 700–1000 | 70 | 57 | 600–950 | 75 | 18 | Feγ; Feα(m); traces (FeCr)2В (FeAlВ)хОу |
| C0.2Cr24B3MnSi2Al | 900–1050 | 110 | 50 | 800–880 | 110 | 50 | Feα(m); (FeCr)2B |
| C0.2Cr18B3Ni2Ti2 | 850–950 | 200 | 90 | 800–900 | 188 | 82 | (FeCr)2В, (FeAlТі)хОу |
| C0.2Cr18B3Ti2Al | 700–1000 | 150 | 95 | 700–900 | 145 | 120 | (FeCr)2В, (FeAlТі)хОу |
| No | Chemical Composition of the CW Charge, wt. % | Chemical Composition of the Coatings, wt. % | Phase Composition of the Coating | Phase Ratio | ||
|---|---|---|---|---|---|---|
| 1 | FeCr (with 8 wt. % C) Fe Al | 70 28 2 | C Cr Al Fe | 0.9 14.2 0.4 Rest | Feα(m)/ Feγ Fe3C Fe2O3, Fe3O4 | 3/1 Traces Traces |
| 2 | FeCr (with 8 wt. % C) Fe C (graphite) Al | 70 20 5 5 | C Cr Al Fe | 1.0 13.5 1.0 Rest | Feα(f) + Feα(m)/Feγ Fe3C FeO, Fe2O3, Fe3O4 | 1.4/1 Traces Traces |
| 3 | FeCr (with 8 wt. % C) Fe C (graphite) Al | 60 25 5 10 | C Cr Al Fe | 0.9 14.0 2.0 Rest | Feα(f) + Feα(m)/Feγ Fe3C FeO, Fe2O3, Fe3O4 | 1.4/1 Traces Traces |
| 4 | FeCr (with 8 wt. % C) Fe C (graphite) AI | 60 20 5 15 | C Cr AI Fe | 0.95 14.1 3.0 Rest | Feα(f) + Feα(m)/Feγ Fe3C FeO, Fe2O3, Fe3O4 | 2.2/1 Traces Traces |
| 5 | FeCr (with 8 wt. % C) Fe C (graphite) Al | 60 15 5 20 | C Cr Al Fe | 0.9 14.0 4.1 Rest | Feα(f) + Feα(m)/Feγ Fe3C FeO, Fe2O3, Fe3O4 | 9/1 Traces Traces Traces |
Publisher’s Note: MDPI stays neutral with regard to jurisdictional claims in published maps and institutional affiliations. |
© 2022 by the authors. Licensee MDPI, Basel, Switzerland. This article is an open access article distributed under the terms and conditions of the Creative Commons Attribution (CC BY) license (https://creativecommons.org/licenses/by/4.0/).
Share and Cite
Student, M.; Hvozdetskyi, V.; Stupnytskyi, T.; Student, O.; Maruschak, P.; Prentkovskis, O.; Skačkauskas, P. Mechanical Properties of Arc Coatings Sprayed with Cored Wires with Different Charge Compositions. Coatings 2022, 12, 925. https://doi.org/10.3390/coatings12070925
Student M, Hvozdetskyi V, Stupnytskyi T, Student O, Maruschak P, Prentkovskis O, Skačkauskas P. Mechanical Properties of Arc Coatings Sprayed with Cored Wires with Different Charge Compositions. Coatings. 2022; 12(7):925. https://doi.org/10.3390/coatings12070925
Chicago/Turabian StyleStudent, Mykhailo, Volodymyr Hvozdetskyi, Taras Stupnytskyi, Oleksandra Student, Pavlo Maruschak, Olegas Prentkovskis, and Paulius Skačkauskas. 2022. "Mechanical Properties of Arc Coatings Sprayed with Cored Wires with Different Charge Compositions" Coatings 12, no. 7: 925. https://doi.org/10.3390/coatings12070925
APA StyleStudent, M., Hvozdetskyi, V., Stupnytskyi, T., Student, O., Maruschak, P., Prentkovskis, O., & Skačkauskas, P. (2022). Mechanical Properties of Arc Coatings Sprayed with Cored Wires with Different Charge Compositions. Coatings, 12(7), 925. https://doi.org/10.3390/coatings12070925

