Abstract
Dynamic mechanical analysis (DMA) and other evaluation methods were used to investigate the effect of WS-1, an organic viscosity-reducing temperature mixing agent, on the rheological and conventional properties of warm-mix rubber asphalt (WMRA). The results demonstrated that the WS-1 warm-mix agent exhibited an excellent viscosity-reducing effect and that, with the increasing of WS-1 content, the high-temperature viscosity of the WMRA decreased significantly. The viscosity and softening point of the WMRA increased at 60 °C simultaneously, with the softening point increasing by about 15 °C. The penetration and ductility decreased by about 1 mm and 6 cm, respectively, and the activation energy (Eη) and temperature sensitivity increased. These results indicated that WS-1 could improve the high-temperature performance of WMRA but had an adverse effect on its low-temperature performance. Upon using temperature scanning for the WMRA, the addition of WS-1 significantly increased the rutting factor (G*/sin δ) of the WMRA and greatly improved its rutting resistance within the temperature range examined. The addition of WS-1 changed the viscosity of WMRA, thus affecting the hot-storage stability of WMRA at high temperatures.
1. Introduction
In recent years, rubber asphalt has attracted increasing attention due to its excellent viscoelastic properties, as well as its anti-fatigue and noise-reducing performance and capabilities [1]. Rubber asphalt refers to the asphalt binder produced with waste tire rubber powder as a modifier, where rubber powder content accounts for more than 15% of the weight of asphalt [2,3]. It reuses solid wastes such as waste tires and modifies asphalt with the help of the viscoelastic properties of rubber powder, thus achieving the purpose of waste recycling and improving the performance of the asphalt binder. Many researchers have investigated and reported on the outstanding environmental benefits of rubber-asphalt mixture in the reuse of waste materials [4,5,6]. However, the addition of rubber powder obviously increases the viscosity of asphalt [7,8,9,10,11]. The production temperature of traditional rubber asphalt is close to 200 °C and the construction temperature of rubber asphalt mixture ranges from 20 to 30 °C higher than that of ordinary hot-mix asphalt mixture [12,13]. This not only causes the rubber asphalt binder to age but also leads to high-energy consumption, large amounts of flue gas, a pungent smell and certain air pollution in the pavement production processes. This in turn can seriously limit the use of rubber asphalt for municipal roads, tunnels and in other projects.
In the construction process for rubber-asphalt mixture, the warm-mix asphalt (WMA) technology is introduced to reduce the construction temperature of the mixture and thus decrease its flue-gas emission and energy consumption. The WMA has no significant impact on its mechanical properties, so it is to expand the rubber effective solutions for the range of rubber modified asphalt applications [14,15]. Many researchers pay much attention to the warm-mix asphalt (WMA) technology. Akisetty et al. found that the addition of the warm asphalt additives into the rubberised binders showed the positive effects on the increase in rutting resistance [16]. Rodriguez-Alloza et al. studied the performance of crumb rubber modified binders with warm mix asphalt additives and suggested that the crumb rubber modified binders containing warm mix asphalt additives could work well in the warm country [17].
In WMA technology, microcrystalline wax has been used widely to reduce asphalt viscosity. Microcrystalline wax can reduce the high-temperature viscosity of the asphalt binder, improve its fluidity, and thus reduce the asphalt mixture production temperature by about 20–30 °C [18].
As a prototypical warm-mix wax agent, the widely used WS-1 is a long-chain aliphatic hydrocarbon, with 40–120 carbon atoms produced via the Fischer–Tropsch process. It belongs to the organic viscosity-reducing warm-mix agents’ group. It has a fine white particle and a melting point which lies between 70 and 120 °C. When it melts, it reduces asphalt viscosity, thus reducing the friction stress at the interface of the mixture, as well as reducing its mixing, pouring and compaction temperature [19,20]. The mixing, pouring and compaction temperature decrease [19,20] when the temperature is lower than its melting point, and meanwhile the asphalt viscosity and the friction stress at the asphalt-mixture interface decreases.
The WS-1 warm mix added to the asphalt crystallises and hardens, in turn increasing asphalt viscosity and improving the strength of the mixture.
Current research on the influence of WS-1 on the performance of rubber-asphalt mixture is prevalent, but few systematic studies on the influence of WS-1 on the flow characteristics of rubber-asphalt binder exist, nor do they on the influence of different chemical compositions of matrix asphalt on the properties of warm rubber-asphalt mixture (WMRA). In the current study, from the perspective of viscosity-temperature and viscoelasticity, the viscous flow activation energy (Eη) was obtained by fitting the viscosity-temperature curve with the Arrhenius equation. The dynamic viscoelastic properties of WMRA were examined using the DMA method, and the effects of warm-mix agent content on the storage modulus (Gʹ), loss modulus (Gʺ) and rut factor (G*/sin δ) of WMRA with different composition characteristics were investigated.
2. Experimental Materials and Methods
2.1. Experimental Materials
The AH-90 asphalt (Q90) was produced by the Qinhuangdao PetroChina Fuel Asphalt Co. Ltd. (Qinhuangdao, China) and the AH-90 asphalt (K90) produced by the PetroChina Karamay Petrochemical Co. (Karamay, China), which were used as matrix asphalt in this study. The rubber powder was provided by Sichuan Jinmoer Material Company (Sichuan, China); its main particle size (d) was 0.42 mm; relative density was 1.20 g/cm3; ash content was 6%; and rubber hydrocarbon content was 68%. WS-1, a prototypical organic viscosity-reducing mixing agent, was used as the warm-mix agent, as shown in Figure 1a. The basic properties of the matrix asphalt and additives are presented in Table 1 and Table 2, respectively.
Figure 1.
WS-1 and WMRA: (a) WS-1; (b) WMRA.
Table 1.
Physical properties and compositions of base asphalt.
Table 2.
Physical properties of WS-1.
2.2. Preparation of WMRA Samples
The content of the organic viscosity-reducing temperature mixing agent used in this study is generally 0.8% of the weight of asphalt, and the normal addition is approximately 1.5%, based on that given in the research used as a reference for the current study [21]. WMRA was prepared using an agitator equipped with a temperature-controlled, electric-heating jacket, and the prepared WMRA is shown in Figure 1b. First, 600 g of hot-melt Q90 asphalt was poured into a cylindrical container, which was heated at 190 °C under 300 r/min in an electric jacket. Next, rubber powder (18 wt%; based on the matrix asphalt) was slowly added using a high-speed shearing machine to cut the WMRA at a speed of 4000 r/min for 20 min. The WMRA was then cooled to 180 °C and WS-1 at 0 wt%, 0.5 wt%, 1.5 wt% and 2.0 wt% (based on the matrix asphalt) was added at 800 r/min speed. It was stirred for 2 h, and the samples of WMRA were prepared and numbered ‘QS0’, ‘QS0.5’, ‘QS1.0’, ‘QS1.5’ and ‘QS2.0’, respectively. Other samples of warm-mix WMRA were prepared using the same method and numbered ‘KS0’, ‘KS0.5’, ‘KS1.0’, ‘KS1.5’ and ‘KS2.0’, with ‘K90’ constituting the base asphalt sample. The samples of WMRA after the thin-film oven test (TFOT) were numbered ‘TQS’ and ‘TKS’.
2.3. Physical Performance Analysis
According to the JTG E20-2011 highway engineering asphalt and asphalt mixture test rules [22], the physical properties of WMRA include penetration (25 °C), a softening point, ductility (5 °C), TFOT ductility (5 °C), elastic recovery (25 °C) and viscosity (60 °C) were tested. Moreover, the viscosity temperature property was evaluated using Brookfield thermosel apparatus (AMETEK-Brookfield, Middleboro, MA, USA).
2.4. Rheological Property Analysis
The rheological properties of asphalt binder were determined according to the ASTM D7175-2015 standard test method, with the use of a dynamic shear rheometer [23]. The rheological properties of WMRA samples were characterised using the dynamic shear rheometer (DSR; Anton Paar SmartPave 102, Graz, Austria). Stress scanning (with a frequency set to 10 rad/s) was performed for each asphalt sample to ensure that the test was conducted within the linear viscoelastic range of the asphalt sample. The temperature and frequency scanning tests were conducted on the samples, where the temperature scanning range was 20–120 °C, a point was set every 5 °C to ensure parallelism within the test, and the rheological properties of the samples were tested twice to ensure good repeatability of the results.
2.5. Evaluation of Thermal-Storage Stability
According to the JTG E20-2011 highway engineering asphalt and asphalt mixture test rules, the WMRA underwent a storage-stability test according to the standard T0661 method, and the sample weight was 50 ± 0.5 g. The asphalt sample was poured into an aluminium tube, sealed with tin foil, stored vertically in an oven at 163 °C for 48 h, and then it was taken out and refrigerated for 4 h. The aluminium tube was cut on average into three sections, and the difference of the softening point between the upper and lower segments was measured to evaluate the hot-storage stability of the modified asphalt.
3. Results and Discussion
It took about 200 g for each sample to complete all tests. The variability of test results was within the range required by the test method standard, and thus we calculated the average value of each result as the test value during the physical property test.
3.1. Effect of WS-1 on Physical Properties of WMRA
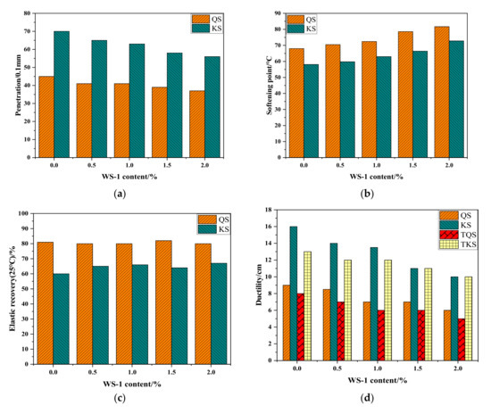
The conventional indexes of asphalt, including penetration, the softening point, ductility and elastic recovery, were used to evaluate the softness and hardness, high- and low-temperature performance and the elastic recovery of the asphalt, respectively. The effect of WS-1 on the conventional properties of WMRA is given in Figure 2. The TQS and TKS in Figure 2 represent QS and KS samples after TFOT test, respectively. It can be seen that, with increases in WS-1 content, the conventional properties of WMRA demonstrated a decrease in penetration and ductility, an increase in the softening point, a slight increase in elastic recovery and an increase in viscosity at 60 °C; however, the changes of each index of the two types of WMRA were found to be different. It was found by comparing the samples prepared by WS-1 content of 0% and 2% that the conventional indexes of asphalt changed immensely. The penetration of the QS WMRA and the KS WMRA decreased by 18% and 20%, respectively. The softening point of the QS WMRA increased by 20% and the softening point of KS WMRA by 25%. The decrease in the ductility of the QS WMRA pre- and post-TFOT was found to be 33% and 38%, respectively. Accordingly, the decrease in the ductility of the KS WMRA pre- and post-TFOT was observed as 38% and 23%, respectively. Furthermore, the 60 °C viscosity of the KS WMRA increased by 146%, and that of the KS WMRA increased by 187%. The QS WMRA was prepared with the same WS-1 content and exhibited lower penetration, a higher softening point, higher viscosity at 60 °C, greater elastic recovery and lower ductility, indicating that the high-temperature performance of the QS WMRA was superior to that of the KS WMRA and that the low-temperature performance of the KS WMRA was superior to that of the QS WMRA. This is due to the high-asphaltene content of Q90 asphalt. Asphaltene, the "rubber core" of the asphalt colloid system, plays a "thickening" role and significantly improves the high-temperature performance of QS WMRA, while the higher resin content of K90 asphalt is beneficial to the oil absorption and swelling of rubber powder in asphalt. This gives full play to the elastic role of rubber powder in asphalt, thus reducing the attenuation of the low-temperature performance of KS asphalt [24,25].

Figure 2.
Effect of WS-1 on conventional properties of rubber asphalt: (a) penetration; (b) softening point; (c) elastic recovery; (d) ductility; (e) viscosity (60 °C).
3.2. Effect of WS-1 on Viscosity-Temperature Properties of WMRA
Asphalt is a mixture composed of compounds with different chemical structures, and its viscosity changes with changes in temperature. In the high-temperature range of asphalt use, the ideal asphalt material for roads should have high viscosity to withstand the shearing and rolling of the pavement load and so that no pavement rutting or other diseases occur. In the low-temperature range of asphalt use, asphalt should be sufficiently low in viscosity and have a large deformation capacity to relax the shrinkage stress caused by temperature reduction and to prevent pavement cracking. Asphalt should have low viscosity to facilitate pumping, mixing and pavement compaction in the area of construction temperature.
Viscosity temperature is a key property in the evaluation of the performance, construction and workability of asphalt materials. The viscosity-temperature relationship inherent in WMRA prepared with WS-1 at different content levels within a wide temperature range (100–200 °C) was tested, and the curve was fitted based on the Saal formula. The results of this test are presented in Figure 3, and the relevant parameters obtained are given in Table 3. As can be seen from Figure 3 and Table 3, a linear relationship between the logarithm of temperature and the double logarithm of viscosity exists for all WMRA samples and is in accordance with the Saal formula [26]:
lglg(η × 103) = n − m·log (T + 273.15)
Figure 3.
Viscosity-temperature relation curve of warm mix rubber asphalt: (a) QS; (b) KS.
Table 3.
Fitting result of Saal formula for viscosity-temperature relationship of warm mix rubber asphalt.
In this formula, η represents asphalt viscosity (Pa·s), T represents temperature in Celsius (°C), and m and n are regression coefficients. The ‘m’ value reflects the sensitivity of asphalt viscosity to temperature, and the higher the value, the greater the sensitivity of viscosity to temperature becomes.
From the data in Table 3, it can be seen that, with the increase in WS-1 content, the m value of the two WMRA types increases, indicating that the viscosity of WMRA is more sensitive to temperature (i.e., when the temperature increases to a certain point, the higher the WS-1 content, the greater the decrease in the viscosity of the asphalt, and the more obvious the warm-mix effect becomes).
With the same WS-1 content, the m value of the QS WMRA was observed as higher than that of the KS WMRA, indicating that the effect of WS-1 was more significant for QS WMRA.
3.3. Effect of WS-1 on Viscous-Flow Activation Energy (Eη) of WMRA
Temperature is a reflection of the intensity of molecular thermal motion. With the increase in temperature, the thermal motion of molecules increases, and the distance between the molecules increases, with greater energy causing more "holes" (free volume) in the material. This makes it easier for the chain segments to move, the interaction between molecules then decreases, and the viscosity decreases [27]. When the temperature is much higher than the glass transition temperature (Tg) and the melting point (Tm) temperature (T > Tg + 100 °C), the relationship between polymer-melt viscosity and temperature can be described using the Arrhenius Equation (2) [27]:
In this formula, η(T) is the viscosity at temperature T (Pa·s), and R is the universal gas constant (8.314 J/mol·K). Furthermore, if you find the logarithm on both sides of Equation (2), then:
Therefore, according to the viscosity lg (η [T]) and 1-max T) of asphalt at different temperatures, the Eη of the asphalt can be obtained. The Arrhenius equation fitted to the curve of WMRA prepared using two different base asphalts is shown in Figure 4, and the para meters in the regression model and viscous-flow activation energy (Eη) are given in Table 4.
Figure 4.
Arrhenius equation fitting curve of warm mix rubber asphalts: (a) QS; (b) KS.
Table 4.
Fitting results of Arrhenius equation for warm mix rubber asphalts.
The viscous-flow activation energy (Eη) reflects the temperature sensitivity of the material viscosity change, and its magnitude is not directly related to the viscosity of the material [28]. From Table 4, it can be seen that the temperature sensitivity of WMRA increases with the increase in WS-1 content (i.e., the higher the WS-1 content, the greater the decrease in the viscosity of WMRA under the condition of increasing a given temperature and the more obvious the warm-mix effect becomes). Under the condition of the same WS-1 content, the Eη of the QS WMRA was found to be higher than that of the KS WMRA, indicating that the viscosity of QS WMRA decreases more with the increase in temperature, which is consistent with the conclusions made in Section 3.2.
3.4. Effect of WS-1 on Viscoelastic Properties of WMRA
Asphalt is a typical thermoviscoelastic material. Distresses such as the rutting, cracking and fatigue of asphalt pavement are closely related to the viscoelastic properties of asphalt [29]. Therefore, it is necessary to study the effect of WS-1 on the viscoelastic properties of WMRA. Temperature is the principal external factor affecting the viscoelastic performance of asphalt. Under a condition of low temperature, the elasticity of asphalt is dominant, while under medium and high temperature, it is predominantly viscous.
In Figure 5, this effect shows the variation of storage modulus G’ and loss modulus G” of the WMRA prepared with WS-1 at different content levels to temperature. Among them, the storage modulus G’ represents the energy stored and that which is recoverable by the asphalt, reflecting the elastic composition of the asphalt. Furthermore, the loss modulus G” represents the heat loss caused by the internal friction in the deformation process of the asphalt, which shows the viscous composition of the asphalt. From Figure 5, it can also be seen that the storage modulus G’ and the loss modulus G” decrease with the increase in temperature, and the effect of WS-1 on the storage modulus G’ and loss modulus G” of the QS WMRA is greater than that of the KS asphalt. Additionally, the effect of WS-1 on the viscoelastic properties of the WMRA prepared using a different matrix asphalt varied. At the same temperature, the storage modulus G’ of the QS WMRA was observed to be higher than that of the KS WMRA, indicating that the elasticity of QS WMRA is superior to that of KS WMRA. This is because the asphaltene content of Q90 asphalt is higher than that of K90 asphalt. Compared with the blank sample, which is the rubber asphalt sample without WS-1, the storage modulus G’ of the QS WMRA was found to be lower than that of the blank sample when the content of WS-1 was 1.0% and 1.5%. In contrast, when the content of the QS WMRA was 2.0%, the storage modulus G’ of it was found to be higher than that of the blank sample. When the temperature was lower than 40 °C, WS-1 exhibited little effect on the storage modulus G’ and loss modulus G” of the QS WMRA, and with the increase in temperature, the effect of WS-1 on the storage modulus G’ and loss modulus G” of it increased.
Figure 5.
Variation of storage modulus (G’) and loss modulus (G”) of warm mix rubber asphalt with temperature: (a) G’ of QS warm mix rubber asphalt; (b) G’ of KS warm mix rubber asphalt; (c) Gʺ of QS warm mix rubber asphalt; (d) G” of KS warm mix rubber asphalt.
The effect of WS-1 content on the rutting factor G*/sin δ of the WMRA with temperature was investigated via temperature scanning and the use of a wide temperature range, as shown in Figure 6. From Figure 6, it can be seen that the rutting factor G*/sin δ of the two types of WMRA sharply decreased with increases in temperature, and the change rate of the WMRA with the addition of WS-1 was lower than that of the blank sample.
Figure 6.
Failure temperature of rubber asphalt with different WS-1 content when rutting factor G*/sin δ = 1.0 kPa: (a) The G*/sin δ of QS warm mix rubber asphalt; (b) The G*/sin δ of KS warm mix rubber asphalt.
The American SHRP specification requires that the rutting factor G*/sin δ of the original asphalt is not less than 1.0 kPa, otherwise the probability of rutting on the asphalt pavement is greatly increased—the temperature corresponding to the rutting factor G*/sin δ = 1 is referred to as "failure temperature". From Figure 7, it can be seen that the addition of WS-1 increased the failure temperature of the two types of WMRA, and the increase in the failure temperature of the QS WMRA was greater than that of the KS WMRA (i.e., the effect of WS-1 on the high-temperature performance of the QS WMRA was more obvious).
Figure 7.
Failure temperature of rubber asphalt with different WS-1 content when rutting factor G*/sin δ = 1.0 kPa.
3.5. Effect of WS-1 on Hot-Storage Stability of Rubber Asphalt
There are considerable differences in the molecular weight and chemical structure of asphalt and polymer modifiers, where the polymer-modified asphalt system belongs to a thermodynamically unstable system. The compatibility of polymer and asphalt directly determines the performance of polymer-modified asphalt, and the hot-storage stability of modified asphalt reflects polymer-asphalt compatibility [30,31].
In the current study, the hot-storage stability of WMRA at different WS-1 content levels was investigated. After the modified asphalt samples were stored in an oven at 163 °C for 48 h, the softening point difference was used to evaluate the hot-storage stability of the WMRA. The difference in softening point between the upper and lower stages of the sample was closer to 0, indicating that the thermal-storage stability of the sample was superior.
Figure 8a,b presents the curves of the difference in softening point between the upper and lower parts of the QS and KS WMRA with the addition of WS-1 following hot storage, respectively. Following the high-temperature storage of the QS WMRA, the softening point of the upper and lower sections increased by varying degrees, the softening point difference gradually decreased, and the hot-storage stability improved. Additionally, following the high-temperature storage of the KS WMRA, the softening point of the upper section first decreased and then increased with the increase in WS-1 content; the softening point of the lower section gradually increased; the softening point difference gradually increased; and, finally, the thermal-storage stability worsened.
Figure 8.
Effect of WS-1 content on storage stability of warm mixed rubber asphalt; (a) the storage stability of QS warm mix rubber asphalt; (b) the storage stability of KS warm mix rubber asphalt.
Generally speaking, the hot-storage stability of rubber powder in asphalt is principally determined by the compatibility of rubber powder and asphalt. Although the current study revealed that rubber powder absorbed the addition of the WS-1 warm-mix agent and promoted the swelling of the rubber-powder particles, from the results of the viscosity-temperature curve in Section 3.2, it was shown that the high-temperature viscosity of WMRA decreased with the increase in WS-1 content. This indicates that most of the WS-1 in the WMRA system predominantly existed in the asphalt phase. Although the viscosity of the WMRA prepared using two types of base asphalt decreased with increases in WS-1 content, the viscosity of the QS WMRA was generally higher (i.e., more than twice that of the KS WMRA). The movement resistance of the rubber powder in the QS WMRA was found to be larger and coupled with the promoting effect of the WS-1 on rubber-powder swelling, the hot-storage stability of the QS WMRA was improved. However, due to the clear decrease in viscosity of the KS WMRA, the movement resistance of the rubber powder in the asphalt sharply decreased. Furthermore, the improvement in compatibility caused by the swelling of the rubber powder was insufficient to compensate for the unstable effect caused by the decrease in motion resistance, causing its thermal-storage stability to worsen.
4. Conclusions
In the study, the effect of WS-1 warm-mix agent on the conventional properties and rheological properties of WMRA was examined through the use of viscosity-temperature curve measurement, temperature scanning and thermal-storage stability evaluation.
With increases in WS-1 content, it was found that the penetration and ductility of the WMRA decreased, the softening point and viscosity at 60 °C increased, and the elastic recovery increased slightly. However, the change range of each index of the two types of WMRA was clearly different due to the difference in the asphalt composition of the two matrix types. The higher the asphaltene content in asphalt, the better the high temperature performance of WMRA.
WS-1 warm-mix agent increased the sensitivity of viscosity of the WMRA to temperature. Specifically, when the temperature increased to a certain point, the higher the WS-1 content became. Furthermore, the more the viscosity of the WMRA decreased, the more apparent the warm-mix effect became. Between them, the viscosity-reducing effect of the WS-1 warm-mix agent on QS WMRA was more evident.
Upon using temperature scanning for the WMRA, it was found that the WS-1 warm-mix agent improved the resistance to high-temperature rutting of the WMRA, and the effect of WS-1 on the high-temperature performance of the QS WMRA was more evident because of its higher asphaltene content.
Ultimately, the current study determined that the WS-1 warm-mix agent can reduce the high-temperature viscosity of the WMRA, affect the hot-storage stability of the WMRA system, and the application of WS-1 is very important to the uniformity and processing performance of asphalt products, which should be a focus in the asphalt production process.
Author Contributions
Conceptualization, J.L. (Jun Li); methodology, C.L.; software, T.W.; validation, J.S.; formal analysis, J.S.; investigation, J.S.; resources, T.W.; data curation, J.S.; writing—original draft preparation, J.L. (Jintong Liu); writing—review and editing, A.C.; visualization, C.L.; supervision, J.L. (Jun Li); project administration, J.L. (Jun Li); funding acquisition, J.L. (Jun Li). All authors have read and agreed to the published version of the manuscript.
Funding
This work was funded by the Natural Science Foundation of Shandong Province (China, Grant No. ZR2020MB125), the Fundamental Research Funds for the Central Universities (China, Grant No. 20CX02209A).
Institutional Review Board Statement
Not applicable.
Informed Consent Statement
Not applicable.
Data Availability Statement
Data sharing is not applicable to this article.
Conflicts of Interest
The authors declare no conflict of interest.
References
- Nanjegowda, V.H.; Biligiri, K.P. Recyclability of rubber in asphalt roadway systems: A review of applied research and advancement in technology. Resour. Conserv. Recycl. 2019, 155, 104655. [Google Scholar] [CrossRef]
- Rodriguez-Alloza, A.M.; Malik, A.; Lenzen, M.; Gallego, J. Hybrid input–output life cycle assessment of warm-mix asphalt mixtures. J. Clean. Prod. 2015, 90, 171–182. [Google Scholar] [CrossRef]
- Cao, R.; Leng, Z.; Yu, H.Y.; Hsu, S.C. Comparative life cycle assessment of warm-mix technologies in asphalt rubber pavements with uncertainty analysis. Resour. Conserv. Recycl. 2019, 147, 137–144. [Google Scholar] [CrossRef]
- Bartolozzi, I.; Mavridou, S.; Rizzi, F.; Frey, M. Life-cycle thinking in sustainable supply chains: The case of rubberized asphalt pavement. Environ. Eng. Manag. J. 2015, 14, 1203–1215. [Google Scholar] [CrossRef]
- Wang, T.; Xiao, F.P.; Zhu, X.Y.; Huang, B.; Wang, J.G.; Amirkhanian, S. Energy consumption and environmental impact of rubberized asphalt pavement. J. Clean. Prod. 2018, 180, 139–158. [Google Scholar] [CrossRef]
- Thives, L.P.; Ghisi, E. Asphalt mixtures emission and energy consumption: A review. Renew. Sust. Energ. Rev. 2017, 72, 473–484. [Google Scholar] [CrossRef]
- Heitzman, M. Design and construction of asphalt paving materials with crumb rubber modifier. Transp. Res. Rec. 1992, 47, 171–174. [Google Scholar]
- Lougheed, T.J.; Papagiannakis, A.T. Viscosity characteristics of rubber-modified asphalts. J. Mater. Civ. Eng. 1996, 8, 153–156. [Google Scholar] [CrossRef]
- Huang, B.S.; Mohammad, L.N.; Graves, P.S.; Abadie, C. Louisiana experience with crumb rubber-modified hot-mix asphalt pavement. Transp. Res. Rec. 2002, 1789, 1–13. [Google Scholar] [CrossRef] [Green Version]
- Lee, S.J.; Akisetty, C.K.; Amirkhanian, S.N. The effect of crumb rubber modifier (CRM) on the performance properties of rubberized binders in HMA pavements. Constr. Build. Mater. 2008, 22, 1368–1376. [Google Scholar] [CrossRef]
- Thodesen, C.; Shatanawi, K.; Amirkhanian, S. Effect of crumb rubber characteristics on crumb rubber modified (CRM) binder viscosity. Constr. Build. Mater. 2009, 23, 295–303. [Google Scholar] [CrossRef]
- Yu, H.Y.; Leng, Z.; Zhou, Z.Y.; Shih, K.M. Optimization of preparation procedure of liquid warm-mix additive modified asphalt rubber. J. Clean. Prod. 2017, 141, 336–345. [Google Scholar] [CrossRef]
- Wang, T.; Lee, I.S.; Kendall, A.; Harvey, J. Life cycle energy consumption and GHG emission from pavement rehabilitation with different rolling resistance. J. Clean. Prod. 2012, 33, 86–96. [Google Scholar] [CrossRef]
- Wang, H.P.; Liu, X.Y.; Apostolidis, P.; Scarpas, T. Review of warm mix rubberized asphalt concrete: Towards a sustainable paving technology. J. Clean. Prod. 2018, 177, 302–314. [Google Scholar] [CrossRef] [Green Version]
- Kristjansdottr, O.; Muench, S.T.; Michael, L.; Burke, G. Assessing potential for warm-mix asphalt technology adoption. Transp. Res. Rec. 2008, 2040, 91–99. [Google Scholar] [CrossRef]
- Akisetty, C.K.; Lee, S.; Amirkhanian, S.N. Laboratory investigation of the influence of warm asphalt additives on long-term performance properties of CRM binders. Int. J. Pavement Eng. 2010, 11, 153–160. [Google Scholar] [CrossRef]
- Rodriguez-Alloza, A.M.; Gallego, J.; Giuliani, F. Complex shear modulus and phase angle of crumb rubber modified binders containing organic warm mix asphalt additives. Mater. Struct. 2017, 50, 77. [Google Scholar] [CrossRef]
- Kakar, M.R.; Hamzah, M.O.; Valentin, J. A review on moisture damages of hot and warm-mix asphalt and related investigations. J. Clean. Prod. 2015, 99, 39–58. [Google Scholar] [CrossRef]
- You, Z.P.; Goh, S.W. Laboratory evaluation of warm-mix asphalt: A preliminary study. Int. J. Pavement Eng. 2008, 1, 34–40. [Google Scholar]
- Rubio, M.C.; Martinez, G.; Baena, L.; Moreno, F. Warm-mix asphalt: An overview. J. Clean. Prod. 2012, 24, 76–84. [Google Scholar] [CrossRef]
- Prowell, B.D.; Hurley, G.C.; Frank, B. Warm-mix asphalt: Best practices. HMAT Hot Mix. Asph. Technol. 2011, 16, 16–28. [Google Scholar]
- JTG E20-2011; Standard Test Methods of Bitumen and Bituminous Mixtures for Highway Engineering. Standardization Administration of the People’s Republic of China: Beijing, China, 2011.
- ASTM D7175; ASTM Committee on Standards. Standard Test Method for Determining the Rheological Properties of Asphalt Binder Using a Dynamic Shear Rheometer. American Society for Testing and Materials: West Conshohocken, PA, USA, 2015.
- Liang, M.; Jiang, F.S.; Fan, W.Y.; Xin, X.; Li, J.; Wang, Q.; Luo, H.; Nan, G.Z. Effects of polyethylene molecular structure on the viscoelastic properties and microstructure of PE modified asphalt. J. China Univ. Petrol. 2016, 40, 170–177. [Google Scholar]
- Fan, W.Y.; Ren, S.S.; Liang, M.; Qian, C.D.; Liang, P.; Ren, F.Y.; Luo, H.; Nan, G.Z. Effect of EVA molecular structure on properties of EVA modified asphalt. J. China Univ. Petrol. 2017, 41, 159–168. [Google Scholar]
- ASTM D2493; ASTM Committee on Standards. Viscosity-Temperature Chart for Asphalts. American Society for Testing and Materials: West Conshohocken, PA, USA, 2002.
- Li, P.L.; Ma, L.X.; Feng, Z.G.; Li, X.J. Rheological Properties of aged Asphalt based on Arrhenius equation. J. Chang. Univ. 2017, 37, 1–7. [Google Scholar]
- Li, L.I.; Yang, J.P.; Zhang, Z. Study on viscous flow activation energy of several different PE and PP resins. App. Chem. Ind. 2008, 37, 33–36. [Google Scholar]
- Shi, J.; Fan, W.; Lin, Y.; Zhao, P.; Ouyang, J. Effects of surfactant warm-mix additives on the rheological properties of high-viscosity asphalt. Adv. Mater. Sci. Eng. 2020, 2020, 6506938. [Google Scholar] [CrossRef] [Green Version]
- Xin, X.; Yao, Z.Y.; Shi, J.T.; Liang, M.; Jiang, H.G.; Zhang, J.Z.; Zhang, X.M.; Yao, K. Rheological properties, microstructure and aging resistance of asphalt modified with CNTs/PE composites. Constr. Build. Mater. 2020, 262, 120100. [Google Scholar] [CrossRef]
- Leng, Z.; Yu, H.Y.; Zhang, Z.Y.; Tan, Z.F. Optimizing the mixing procedure of warm asphalt rubber with wax-based additives through mechanism investigation and performance characterization. Constr. Build. Mater. 2017, 144, 291–299. [Google Scholar] [CrossRef]
Publisher’s Note: MDPI stays neutral with regard to jurisdictional claims in published maps and institutional affiliations. |
© 2022 by the authors. Licensee MDPI, Basel, Switzerland. This article is an open access article distributed under the terms and conditions of the Creative Commons Attribution (CC BY) license (https://creativecommons.org/licenses/by/4.0/).