PANI-Based Stacked Ferromagnetic Systems: Electrochemical Preparation and Characterization
Abstract
1. Introduction
2. Materials and Methods
3. Results
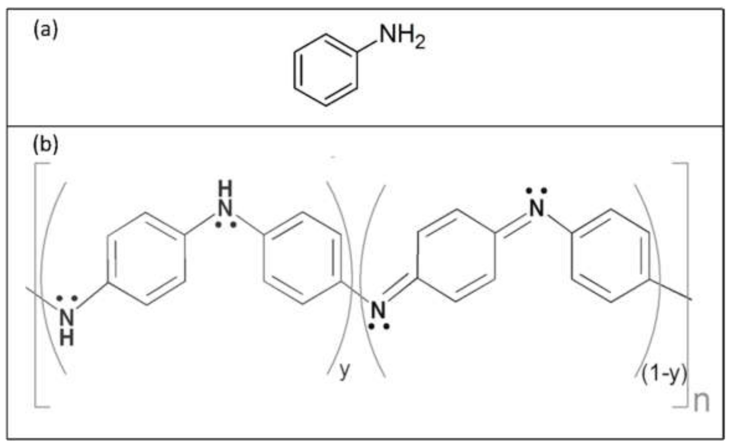
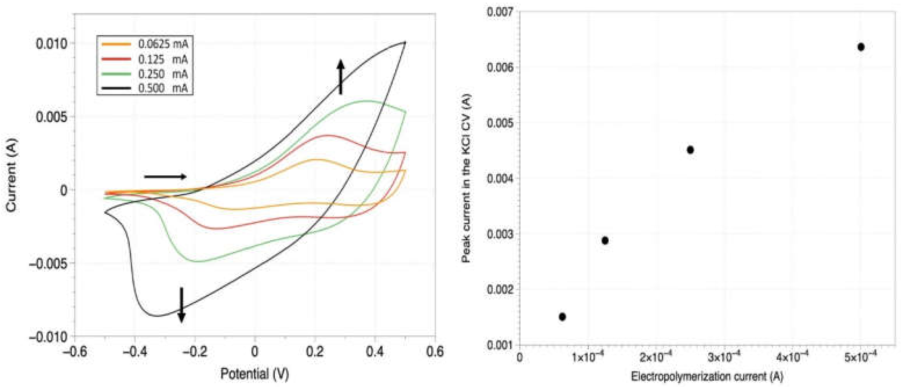
3.1. PANI Electropolymerization from Acidic Solution
3.2. Ni Electrodeposition on Top of PANI
3.3. PANI Electropolymerization at Different pHs
3.4. PANI Electropolymerization on Top of Magnetite
4. Conclusions
Supplementary Materials
Author Contributions
Funding
Data Availability Statement
Conflicts of Interest
References
- Vizza, M.; Pappaianni, G.; Giurlani, W.; Stefani, A.; Giovanardi, R.; Innocenti, M.; Fontanesi, C. Electrodeposition of Cu on PEDOT for a Hybrid Solid-State Electronic Device. Surfaces 2021, 4, 157–168. [Google Scholar] [CrossRef]
- Poverenov, E.; Li, M.; Bitler, A.; Bendikov, M. Major Effect of Electropolymerization Solvent on Morphology and Electrochromic Properties of PEDOT Films. Chem. Mater. 2010, 22, 4019–4025. [Google Scholar] [CrossRef]
- Sotzing, G.A.; Lee, K. Poly(thieno[3,4-b]thiophene): A p- and n-Dopable Polythiophene Exhibiting High Optical Transparency in the Semiconducting State. Macromolecules 2002, 35, 7281–7286. [Google Scholar] [CrossRef]
- Tsuneyasu, S.; Watanabe, R.; Takeda, N.; Uetani, K.; Izakura, S.; Kasuya, K.; Takahashi, K.; Satoh, T. Enhancement of Luminance in Powder Electroluminescent Devices by Substrates of Smooth and Transparent Cellulose Nanofiber Films. Nanomaterials 2021, 11, 697. [Google Scholar] [CrossRef]
- Tadesse, M.G.; Dumitrescu, D.; Loghin, C.; Chen, Y.; Wang, L.; Nierstrasz, V. 3D Printing of NinjaFlex Filament onto PEDOT:PSS-Coated Textile Fabrics for Electroluminescence Applications. J. Electron. Mater. 2017, 47, 2082–2092. [Google Scholar] [CrossRef]
- Innocenti, M.; Loglio, F.; Pigani, L.; Seeber, R.; Terzi, F.; Udisti, R. In situ atomic force microscopy in the study of electrogeneration of polybithiophene on Pt electrode. Electrochimica Acta 2005, 50, 1497–1503. [Google Scholar] [CrossRef]
- Nitani, M.; Nakayama, K.; Maeda, K.; Omori, M.; Uno, M. Organic temperature sensors based on conductive polymers patterned by a selective-wetting method. Org. Electron. 2019, 71, 164–168. [Google Scholar] [CrossRef]
- Rivnay, J.; Inal, S.; Salleo, A.; Owens, R.M.; Berggren, M.; Malliaras, G.G. Organic electrochemical transistors. Nat. Rev. Mater. 2018, 3, 17086. [Google Scholar] [CrossRef]
- Langner, M.; Agarwal, S.; Baudler, A.; Schröder, U.; Greiner, A. Large Multipurpose Exceptionally Conductive Polymer Sponges Obtained by Efficient Wet-Chemical Metallization. Adv. Funct. Mater. 2015, 25, 6182–6188. [Google Scholar] [CrossRef]
- AlSalhi, M.S.; Alam, J.; Dass, L.A.; Raja, M. Recent Advances in Conjugated Polymers for Light Emitting Devices. Int. J. Mol. Sci. 2011, 12, 2036–2054. [Google Scholar] [CrossRef]
- Morvillo, P.; Parenti, F.; Diana, R.; Fontanesi, C.; Mucci, A.; Tassinari, F.; Schenetti, L. A novel copolymer from benzodithiophene and alkylsulfanyl-bithiophene: Synthesis, characterization and application in polymer solar cells. Sol. Energy Mater. Sol. Cells 2012, 104, 45–52. [Google Scholar] [CrossRef]
- Shen, W.; Zhao, G.; Zhang, X.; Bu, F.; Yun, J.; Tang, J. Using Dual Microresonant Cavity and Plasmonic Effects to Enhance the Photovoltaic Efficiency of Flexible Polymer Solar Cells. Nanomaterials 2020, 10, 944. [Google Scholar] [CrossRef] [PubMed]
- Zhang, F.; Johansson, M.; Andersson, M.R.; Hummelen, J.C.; Inganäs, O. Polymer Photovoltaic Cells with Conducting Polymer Anodes. Adv. Mater. 2022, 14, 662–665. [Google Scholar] [CrossRef]
- Kumar, D.; Sharma, R. Advances in conductive polymers. Eur. Polym. J. 1998, 34, 1053–1060. [Google Scholar] [CrossRef]
- Sapp, S.A.; Sotzing, A.G.A.; Reynolds, J.R. High Contrast Ratio and Fast-Switching Dual Polymer Electrochromic Devices. Chem. Mater. 1998, 10, 2101–2108. [Google Scholar] [CrossRef]
- Lupu, S.; del Campo, F.J.; Muñoz, F.X. Sinusoidal voltage electrodeposition and characterization of conducting polymers on gold microelectrode arrays. J. Electroanal. Chem. 2012, 687, 71–78. [Google Scholar] [CrossRef]
- Fontanesi, C.; Baraldi, P.; Marcaccio, M. On the dissociation dynamics of the benzyl chloride radical anion. An ab initio dynamic reaction coordinate analysis study. J. Mol. Struct. Theochem 2001, 548, 13–20. [Google Scholar] [CrossRef]
- Boeva, Z.A.; Sergeyev, V.G. Polyaniline: Synthesis, properties, and application. Polym. Sci. Ser. C 2014, 56, 144–153. [Google Scholar] [CrossRef]
- Tanaka, J.; Mashita, N.; Mizoguchi, K.; Kume, K. Molecular and electronic structures of doped polyaniline. Synth. Met. 1989, 29, 175–184. [Google Scholar] [CrossRef]
- Wallace, G.G.; Teasdale, P.R.; Spinks, G.M.; Kane-Maguire, L.A.P. Conductive Electroactive Polymers: Intelligent Materials Systems, 2nd ed.; CRC Press: Boca Raton, FL, USA, 2002. [Google Scholar] [CrossRef]
- Gvozdenović, M.M.; Jugović, B.Z.; Stevanović, J.S.; Trišović, T.L.; Grgur, B.N. Electrochemical Polymerization of Aniline; IntechOpen: London, UK, 2011. [Google Scholar] [CrossRef]
- Inzelt, G.; Pineri, M.; Schultze, J.; Vorotyntsev, M. Electron and proton conducting polymers: Recent developments and prospects. Electrochimica Acta 2000, 45, 2403–2421. [Google Scholar] [CrossRef]
- Arsov, L.D.; Plieth, W.; Koßmehl, G. Electrochemical and Raman spectroscopic study of polyaniline; influence of the potential on the degradation of polyaniline. J. Solid State Electrochem. 1998, 2, 355–361. [Google Scholar] [CrossRef]
- Hussain, A.M.P.; Kumar, A. Electrochemical synthesis and characterization of chloride doped polyaniline. Bull. Mater. Sci. 2003, 26, 329–334. [Google Scholar] [CrossRef]
- Łapkowski, M. Electrochemical synthesis of linear polyaniline in aqueous solutions. Synth. Met. 1990, 35, 169–182. [Google Scholar] [CrossRef]
- Andrade, G.D.T.; Aguirre, M.J.; Biaggio, S.R. Influence of the first potential scan on the morphology and electrical properties of potentiodynamically grown polyaniline films. Electrochimica Acta 1998, 44, 633–642. [Google Scholar] [CrossRef]
- Mandić, Z.; Duić, L.; Kovačiček, F. The influence of counter-ions on nucleation and growth of electrochemically synthesized polyaniline film. Electrochimica Acta 1997, 42, 1389–1402. [Google Scholar] [CrossRef]
- Mu, S.; Kan, J. The effect of salts on the electrochemical polymerization of aniline. Synth. Met. 1998, 92, 149–155. [Google Scholar] [CrossRef]
- Malinauskas, A.; Holze, R. Suppression of the “first cycle effect” in self-doped polyaniline. Electrochimica Acta 1998, 43, 515–520. [Google Scholar] [CrossRef]
- Bade, K.; Tsakova, V.; Schultze, J. Nucleation, growth and branching of polyaniline from microelectrode experiments. Electrochimica Acta 1992, 37, 2255–2261. [Google Scholar] [CrossRef]
- Gazzotti, M.; Arnaboldi, S.; Grecchi, S.; Giovanardi, R.; Cannio, M.; Pasquali, L.; Giacomino, A.; Abollino, O.; Fontanesi, C. Spin-dependent electrochemistry: Enantio-selectivity driven by chiral-induced spin selectivity effect. Electrochimica Acta 2018, 286, 271–278. [Google Scholar] [CrossRef]
- Fontanesi, C. Spin-dependent electrochemistry: A novel paradigm. Curr. Opin. Electrochem. 2018, 7, 36–41. [Google Scholar] [CrossRef]
- Mishra, S.; Poonia, V.S.; Fontanesi, C.; Naaman, R.; Fleming, A.M.; Burrows, C.J. Effect of Oxidative Damage on Charge and Spin Transport in DNA. J. Am. Chem. Soc. 2018, 141, 123–126. [Google Scholar] [CrossRef] [PubMed]
- De Araújo, A.; de Oliveira, R.; Júnior, S.A.; Rodrigues, A.; Machado, F.; Cabral, F.; de Azevedo, W. Synthesis, characterization and magnetic properties of polyaniline-magnetite nanocomposites. Synth. Met. 2010, 160, 685–690. [Google Scholar] [CrossRef]
- Gu, H.; Tadakamalla, S.; Huang, Y.; Colorado, H.A.; Luo, Z.; Haldolaarachchige, N.; Young, D.P.; Wei, S.; Guo, Z. Polyaniline Stabilized Magnetite Nanoparticle Reinforced Epoxy Nanocomposites. ACS Appl. Mater. Interfaces 2012, 4, 5613–5624. [Google Scholar] [CrossRef] [PubMed]
- Janaky, C.; Kormányos, A.; Visy, C. Magnetic hybrid modified electrodes, based on magnetite nanoparticle containing polyaniline and poly(3,4-ethylenedioxythiophene). J. Solid State Electrochem. 2011, 15, 2351–2359. [Google Scholar] [CrossRef][Green Version]
- Jeon, S.-H.; Song, G.D.; Hur, D.H. Effects of Deposition Potentials on the Morphology and Structure of Iron-Based Films on Carbon Steel Substrate in an Alkaline Solution. Adv. Mater. Sci. Eng. 2016, 2016, 9038478. [Google Scholar] [CrossRef]
- NIST DTSA-II’. Available online: https://www.cstl.nist.gov/div837/837.02/epq/dtsa2/index.html (accessed on 28 July 2022).
- Keyhanpour, A.; Mohaghegh, S.M.S.; Jamshidi, A. Electropolymerization and characterization of polyaniline, poly(2-anilinoethanol) and poly(aniline-co-2-anilinoethanol). Iran. Polym. J. 2012, 21, 307–315. [Google Scholar] [CrossRef]
- Mishra, S.; Kumar, A.; Venkatesan, M.; Pigani, L.; Pasquali, L.; Fontanesi, C. Exchange Interactions Drive Supramolecular Chiral Induction in Polyaniline. Small Methods 2020, 4, 2000617. [Google Scholar] [CrossRef]
- Mishra, S.; Fontanesi, C. Combined effect of organic-inorganic heterostructure to enhance electrochemical capacitance. Mater. Chem. Phys. 2019, 238, 121943. [Google Scholar] [CrossRef]
- Özyılmaz, A.; Erbil, M.; Yazıcı, B. The influence of polyaniline (PANI) top coat on corrosion behaviour of nickel plated copper. Appl. Surf. Sci. 2005, 252, 2092–2100. [Google Scholar] [CrossRef]
- Koysuren, O.; Du, C.; Pan, N.; Bayram, G. Preparation and comparison of two electrodes for supercapacitors: Pani/CNT/Ni and Pani/Alizarin-treated nickel. J. Appl. Polym. Sci. 2009, 113, 1070–1081. [Google Scholar] [CrossRef]
- Salmimies, R.; Mannila, M.; Juha, J.; Häkkinen, A. Acidic Dissolution of Magnetite: Experimental Study on The Effects of Acid Concentration and Temperature. Clays Clay Miner. 2011, 59, 136–146. [Google Scholar] [CrossRef]
- Han, J.-J.; Zhang, N.; Liu, D.-L.; Ma, H.; Han, T.; Sun, D.-D. Cyclic voltammetry for the determination of the selectivity of PANI-HClO4 sensor to different acids. Ionics 2019, 26, 1029–1038. [Google Scholar] [CrossRef]
- Giurlani, W.; Innocenti, M.; Lavacchi, A. X-ray Microanalysis of Precious Metal Thin Films: Thickness and Composition Determination. Coatings 2018, 8, 84. [Google Scholar] [CrossRef]










Publisher’s Note: MDPI stays neutral with regard to jurisdictional claims in published maps and institutional affiliations. |
© 2022 by the authors. Licensee MDPI, Basel, Switzerland. This article is an open access article distributed under the terms and conditions of the Creative Commons Attribution (CC BY) license (https://creativecommons.org/licenses/by/4.0/).
Share and Cite
Stefani, A.; Fonollosa, N.T.; Giurlani, W.; Giovanardi, R.; Fontanesi, C. PANI-Based Stacked Ferromagnetic Systems: Electrochemical Preparation and Characterization. Coatings 2022, 12, 1518. https://doi.org/10.3390/coatings12101518
Stefani A, Fonollosa NT, Giurlani W, Giovanardi R, Fontanesi C. PANI-Based Stacked Ferromagnetic Systems: Electrochemical Preparation and Characterization. Coatings. 2022; 12(10):1518. https://doi.org/10.3390/coatings12101518
Chicago/Turabian StyleStefani, Andrea, Natàlia Tanaka Fonollosa, Walter Giurlani, Roberto Giovanardi, and Claudio Fontanesi. 2022. "PANI-Based Stacked Ferromagnetic Systems: Electrochemical Preparation and Characterization" Coatings 12, no. 10: 1518. https://doi.org/10.3390/coatings12101518
APA StyleStefani, A., Fonollosa, N. T., Giurlani, W., Giovanardi, R., & Fontanesi, C. (2022). PANI-Based Stacked Ferromagnetic Systems: Electrochemical Preparation and Characterization. Coatings, 12(10), 1518. https://doi.org/10.3390/coatings12101518

