Effect of Annealing on the Characteristics of CoFeBY Thin Films
Abstract
1. Introduction
2. Materials and Methods
3. Results
3.1. Structure Property
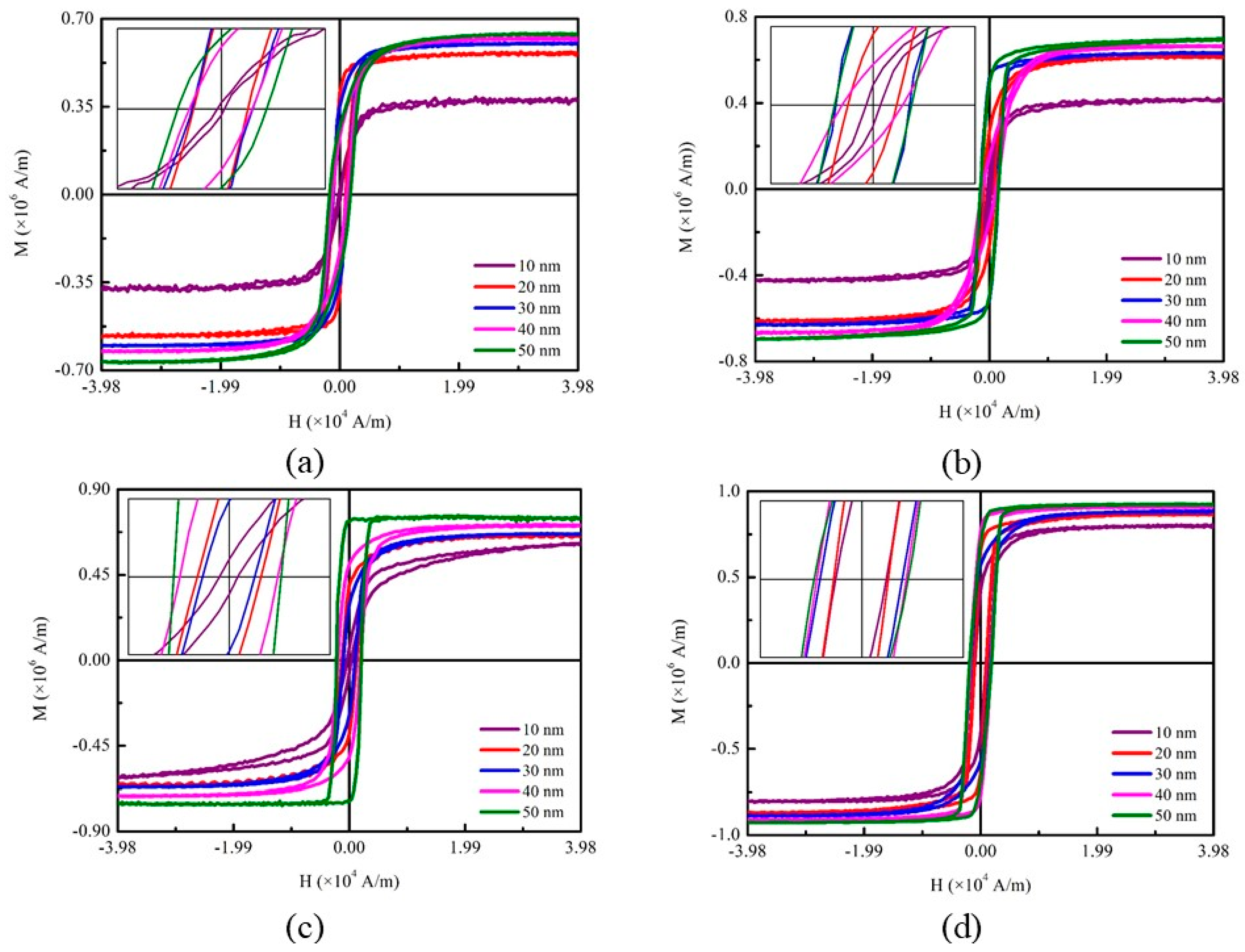
3.2. Magnetic Properties
3.3. Surface Morphology
3.4. Analysis of Surface Energy and Adhesion
3.5. Analysis of Optical Properties
4. Conclusions
Author Contributions
Funding
Data Availability Statement
Conflicts of Interest
References
- Elmen, G.W. Magnetic alloys of iron, nickel, and cobalt. J. Frankl. Inst. 1929, 207, 583–617. [Google Scholar] [CrossRef]
- Ogasawara, T.; Oogane, M.; Mahdawi, M.A.; Tsunoda, M.; Ando, Y. Effect of second-order magnetic anisotropy on non-linearity of conductance in CoFeB/MgO/CoFeB magnetic tunnel junction for magnetic sensor devices. Sci. Rep. 2019, 9, 1–9. [Google Scholar] [CrossRef]
- Devolder, T.; Couet, S.; Swerts, J.; Mertens, S.; Rao, S.; Kar, G.S. Effect of Tantalum Spacer Thickness and Deposition Con-ditions on the Properties of MgO/CoFeB/Ta/CoFeB/MgO Free Layers. IEEE Mag. Lett. 2019, 10, 1–4. [Google Scholar] [CrossRef]
- Honjo, H.; Ikeda, S.; Sato, H.; Nishioka, K.; Watanabe, T.; Miura, S.; Nasuno, T.; Noguchi, Y.; Yasuhira, M.; Tanigawa, T.; et al. Impact of Tungsten Sputtering Condition on Magnetic and Transport Properties of Double-MgO Magnetic Tunneling Junction With CoFeB/W/CoFeB Free Layer. IEEE Trans. Mag. 2017, 53, 1–4. [Google Scholar] [CrossRef]
- Manos, O.; Bougiatioti, P.; Dyck, D.; Huebner, T.; Rott, K.; Schmalhorst, J.M.; Reiss, G. Correlation of tunnel magnetore-sistance with the magnetic properties in perpendicular CoFeB-based junctions with exchange bias. J. Appl. Phys. 2019, 125, 1–6. [Google Scholar] [CrossRef]
- Lv, H.; Fidalgo, J.; Silva, A.V.; Leitao, D.C.; Kampfe, T.; Riedel, S.; Langer, J.; Wrona, J.; Ocker, B.; Freitas, P.P.; et al. Assessment of conduction mechanisms through MgO ultrathin barriers in CoFeB/MgO/CoFeB perpendicular magnetic tunnel junctions. Appl. Phys. Lett. 2019, 114, 102402. [Google Scholar] [CrossRef]
- Iwata-Harms, J.M.; Jan, G.; Serrano-Guisan, S.; Thomas, L.; Liu, H.; Zhu, J.; Lee, Y.-J.; Le, S.; Tong, R.-Y.; Patel, S.; et al. Ultrathin perpendicular magnetic anisotropy CoFeB free layers for highly efficient, high speed writing in spin-transfer-torque magnetic random access memory. Sci. Rep. 2019, 9, 1–7. [Google Scholar] [CrossRef] [PubMed]
- Ramazanov, M.A.; Maharramov, A.M.; Sultanova, C.R. Magnetoresistance effect in PP + Fe based nanocomposite system. Integr. Ferroelectr. 2018, 192, 141–145. [Google Scholar] [CrossRef]
- Albisetti, E.; Scaramuzzi, G.; Rinaldi, C.; Cantoni, M.; Bertacco, R.; Petti, D. Temperature dependence of the magnetic properties of IrMn/CoFeB/Ru/CoFeB exchange biased synthetic antiferromagnets. Materials 2020, 13, 387. [Google Scholar] [CrossRef]
- Sun, J.Z.; Trouilloud, P.L.; Lauer, G.P.; Hashemi, P. , Bias dependent conductance in CoFeB-MgO-CoFeB magnetic tunnel junctions as an indicator for electrode magnetic condition at barrier interfaces. AIP Adv. 2019, 9, 1–6. [Google Scholar] [CrossRef]
- Ota1, S.; Ono, M.; Matsumoto, H.; Ando, A.; Sekitani, T.; Kohno, R.; Iguchi, S.; Koyama, T.; Chiba, D. CoFeB/MgO-based magnetic tunnel junction directly formed on a flexible substrate. Appl. Phys. Express 2019, 12, 1–4. [Google Scholar] [CrossRef]
- Lee, D.-Y.; Hong, S.-H.; Lee, S.-E.; Park, J.-G. Dependency of Tunneling-Magnetoresistance Ratio on Nanoscale Spacer Thickness and Material for Double MgO Based Perpendicular-Magnetic-Tunneling-Junction. Sci. Rep. 2016, 6, 38125. [Google Scholar] [CrossRef]
- Rylkov, V.V.; Nikolaev, S.N.; Demin, V.A.; Emelyanov, A.V.; Sitnikov, A.V.; Nikiruy, K.E.; Levanov, V.A.; Presnyakov, M.Y.; Taldenkov, A.N.; Vasiliev, A.L.; et al. Transport, magnetic, and memristive properties of a nanogranular (CoFeB)x (LiNbOy)100−x composite material. J. Exp. Theor. Phys. 2018, 126, 353–367. [Google Scholar] [CrossRef]
- Sui, Y.; Liu, X.; Liu, C. Room temperature ferromagnetic property of Fe-Y (Fe: Y-6.5) composite oxide nano-cluster via an extremely easy and scalable method. J. Rare Earths 2020. [Google Scholar] [CrossRef]
- Zhang, T.; Li, D. Effect of alloying yttrium on corrosion–erosion behavior of 27Cr cast white iron in different corrosive slurries. Mater. Sci. Eng. A 2002, 325, 87–97. [Google Scholar] [CrossRef]
- Luo, T.; Yang, Y.; Li, Y.; Dong, X. Influence of rare earth Y on the corrosion behavior of as-cast AZ91 alloy. Electrochim. Acta 2009, 54, 6433–6437. [Google Scholar] [CrossRef]
- KSaksl; Bednarcčík, J.; Nicula, R.; Burkel, E.; Roth, S.; Franz, H. The influence of short-time ball-milling on the stability of amorphous CoFeB alloys. J. Phys. Condens. Matter 2007, 19, 1–14. [Google Scholar]
- Chrobak, A.; Nosenko, V.; Haneczok, G.; Boichyssyn, L.; Karolus, M.; Kotur, B. Influence of rare earth elements on crystal-lization of Fe82Nb2B14RE2 (RE = Y, Gd, Tb, and Dy) amorphous alloys. J. Non Cryst. Solids. 2011, 357, 4–9. [Google Scholar] [CrossRef]
- Chrobak, A.; Nosenko, V.K.; Haneczok, G.; Boichyshyn, L.; Kotur, B.; Bajorek, A.; Životský, O.; Hendrych, A. Effect of rare earth additions on magnetic properties of Fe82Nb2B14RE2 (RE = Y, Gd, Tb and Dy) amorphous alloys. Mater. Chem. Phys. 2011, 130, 603–608. [Google Scholar] [CrossRef]
- Mao, Y.; Zhu, Z.; Zhao, H. Microstructures and soft magnetic properties of Fe73.5Cu1Nb3−xSi13.5B9Yx (x = 0–1.5) alloys. J. Rare Earths 2020. [Google Scholar] [CrossRef]
- Fan, X.; Chen, K.; Guo, S.; Chen, R.; Lee, D.; Yan, A.; You, C. Core-shell Y-substituted Nd-Ce-Fe-B sintered magnets with enhanced coercivity and good thermal stability. Appl. Phys. Lett. 2017, 110, 1–4. [Google Scholar] [CrossRef]
- Zhang, C.H.; Luo, Y.; Yu, D.B.; Quan, N.T.; Wu, G.Y.; Dou, Y.K.; Hu, Z.; Wang, Z.L. , Permanent magnetic properties of Nd–Fe–B melt-spun ribbons with Y substitution. Rare Metals 2020, 39, 55–61. [Google Scholar] [CrossRef]
- Huang, X.M.; Wang, X.D.; Jiang, J.Z. Origin of high glass forming ability of Y- containing FeB-based alloys. J. Alloys Compd. 2009, 485, L35–L38. [Google Scholar] [CrossRef]
- Liu, S.; Cao, Q.; Wang, X.; Zhang, D.; Su, Q.; Du, G.; Jiang, J. Effects of thickness on structure and magnetic property of Fe-Y-B thin films. Thin Solid Films 2016, 616, 608–617. [Google Scholar] [CrossRef]
- Jimbo, M.; Komiyama, K.; Shirota, Y.; Fujiwara, Y.; Tsunashima, S.; Matsuura, M. Thermal stability of spin valves using amorphous CoFeB. J. Magn. Magn. Mater. 1997, 165, 308–311. [Google Scholar] [CrossRef]
- Ma, K.; Chung, T.S.; Good, R.J. Surface energy of thermotropic liquid crystalline polyesters and polyesteramide. J. Polym. Sci. 1998, 36, 2327–2337. [Google Scholar] [CrossRef]
- Owens, D.K.; Wendt, R.C. Estimation of the surface free energy of polymers. J. Appl. Polym. Sci. 1969, 13, 1741–1747. [Google Scholar] [CrossRef]
- Kaelble, D.H.; Uy, K.C. A Reinterpretation of Organic Liquid-Polytetrafluoroethylene Surface Interactions. J. Adhes. 1970, 2, 50–60. [Google Scholar] [CrossRef]
- Chen, Y.-T.; Chang, C. Effect of grain size on magnetic and nanomechanical properties of Co60Fe20B20 thin films. J. Alloy. Compd. 2010, 498, 113–117. [Google Scholar] [CrossRef]
- Liu, T.; Shen, H.; Wang, C.; Chou, W. Structure evolutionofY2O3 nanoparticle/Fe composite during mechanicalmillin-gandannealing. Prog. Nat. Sci. 2019, 23, 434–439. [Google Scholar] [CrossRef]
- Cullity, B.D.; Weymouth, J.W. Elements of X-Ray Diffraction. Am. J. Phys. 1957, 25, 394–395. [Google Scholar] [CrossRef]
- Jen, S.U.; Yao, Y.D.; Chen, Y.T.; Wu, J.M.; Lee, C.C.; Tsai, T.L.; Chang, Y.C. Magnetic and electrical properties of amorphous CoFeB films. J. Appl. Phys. 2006, 99, 053701. [Google Scholar] [CrossRef]
- Noce, R.D.; Benedetti, A.V.; Magnani, M.; Passamani, E.C.; Kumar, H.; Cornejo, D.R.; Ospina, C.A. , Structural, morpho-logical and magnetic characterization of electrodeposited Co–Fe–W alloys. J. Alloys Compd. 2014, 611, 243–248. [Google Scholar] [CrossRef]
- R. C. O’Handley. Modern Magnetic Materials; J. Wiley & Sons Inc.: New York, NY, USA, 2000. [Google Scholar]
- Yang, S.; Chieh, J.; Wang, W.; Yu, C.; Hing, N.; Horng, H.; Hong, C.-Y.; Yang, H.; Chang, C.; Lin, H. Magnetic nanoparticles for high-sensitivity detection on nucleic acids via superconducting-quantum-interference-device-based immunomagnetic reduction assay. J. Magn. Magn. Mater. 2011, 323, 681–685. [Google Scholar] [CrossRef]
- Chen, Y.T.; Xie, S.M.; Jheng, H.Y. The low-frequency alternative-current magnetic susceptibility and electrical properties of Si(100)/Fe40Pd40B20(X Å)/ZnO(500 Å) and Si(100)/ZnO(500 Å)/Fe40Pd40B20(Y Å) systems. J. Appl. Phys. 2013, 113, 1–3. [Google Scholar] [CrossRef]
- Zhang, J.; Li, Y.-X.; Wang, F.; Shen, B.-G.; Sun, J.-R. Coercivity mechanism of nanocomposite Sm-Co/Fe multilayer films. J. Appl. Phys. 2010, 107, 43911. [Google Scholar] [CrossRef]
- Bendavid, A.; Martin, P.; Wieczorek, L. Morphology and optical properties of gold thin films prepared by filtered arc deposition. Thin Solid Films 1999, 354, 169–175. [Google Scholar] [CrossRef]
- Xu, S.T.; Ma, Y.Q.; Zheng, G.H.; Dai, Z.X. Simultaneous effects of surface spins: Rarely large coercivity, high remanence magnetization and jumps in the hysteresis loops observed in CoFe2O4 nanoparticles. Nanoscale 2015, 7, 6520–6526. [Google Scholar] [CrossRef]
- Muroi, M.; Street, R.; McCormick, P.G.; Amighian, J. Magnetic properties of ultrafine MnFe2O4 powders prepared by mechanochemical processing. Phys. Rev. B 2001, 63, 1–7. [Google Scholar] [CrossRef]
- Jonsson, T.; Nordblad, P.; Svedlindh, P. Dynamic study of dipole-dipole interaction effects in a magnetic nanoparticle system. Phys. Rev. B 1997, 57, 497–504. [Google Scholar] [CrossRef]
- Kong, S.H.; Okamoto, T.; Nakagawa, S. [Ni-Fe/Si] double seedlayer with low surface energy for Fe-Co-B soft magnetic underlayer with high Hk for perpendicular magnetic recording media. IEEE Trans. Magn. 2004, 40, 2389–2391. [Google Scholar] [CrossRef]
- Tavakoli, M.M.; Dastjerdi, H.T.; Zhao, J.; Shulenberger, K.E.; Carbonera, C.; Po, R.; Cominetti, A.; Bianchi, G.; Klein, N.D.; Bawendi, M.G.; et al. Light Management in Organic Photovoltaics Processed in Ambient Conditions Using ZnO Nanowire and Antireflection Layer with Nanocone Array. Small 2019, 15, e1900508. [Google Scholar] [CrossRef] [PubMed]
- Erdem, T.; Yang, L.; Xu, P.; Altıntas, Y.; O’Neil, T.; Caciagli, A.; Ducati, C.; Mutlugun, E.; Scherman, O.A.; Eiser, E.; et al. Transparent Films Made of Highly Scattering Particles. Langmuir 2020, 36, 911–918. [Google Scholar] [CrossRef] [PubMed]









| Thickness (nm) | RT (Oe) | After Annealing at 100 °C (Oe) | After Annealing at 200 °C (Oe) | After Annealing at 300 °C (Oe) |
|---|---|---|---|---|
| 10 | 1.5 | 3.5 | 4.5 | 12.5 |
| 20 | 12.3 | 12.0 | 15.8 | 13.4 |
| 30 | 12.0 | 18.0 | 12.9 | 20.3 |
| 40 | 15.1 | 15.1 | 24.1 | 21.9 |
| 50 | 12.5 | 18.8 | 24.8 | 23.1 |
| Thickness (nm) | RT (Hz) | After Annealing at 100 °C (Hz) | After Annealing at 200 °C (Hz) | After Annealing at 300 °C (Hz) |
|---|---|---|---|---|
| 10 | 50 | 50 | 50 | 50 |
| 20 | 50 | 50 | 50 | 50 |
| 30 | 50 | 50 | 50 | 50 |
| 40 | 50 | 100 | 100 | 50 |
| 50 | 50 | 50 | 50 | 50 |
| Co40Fe40B10Y10 (10–50 nm) | Contact Angle (θ) with DI Water as Test Liquid | Contact Angle (θ) with Glycerol as Test Liquid |
|---|---|---|
| 10 nm | 81.7° | 78.4° |
| 20 nm | 81.1° | 78.2° |
| 30 nm | 80.9° | 78.8° |
| 40 nm | 81.3° | 80.8° |
| 50 nm | 81.0° | 79.5° |
| Co40Fe40B10Y10 (10–50 nm) | Contact Angle (θ) with DI Water as Test Liquid | Contact Angle (θ) with Glycerol as Test Liquid |
|---|---|---|
| 10 nm | 79.4° | 77.8° |
| 20 nm | 79.3° | 76.9° |
| 30 nm | 79.4° | 77.6° |
| 40 nm | 81.0° | 79.7° |
| 50 nm | 80.8° | 80.0° |
| Co40Fe40B10Y10 (10–50 nm) | Contact Angle (θ) with DI Water as Test Liquid | Contact Angle (θ) with Glycerol as Test Liquid |
|---|---|---|
| 10 nm | 77.6° | 74.0° |
| 20 nm | 78.3° | 73.2° |
| 30 nm | 78.0° | 77.2° |
| 40 nm | 79.5° | 79.2° |
| 50 nm | 79.7° | 79.5° |
| Co40Fe40B10Y10 (10–50 nm) | Contact Angle (θ) with DI Water as Test Liquid | Contact Angle (θ) with Glycerol as Test Liquid |
|---|---|---|
| 10 nm | 78.1° | 75.9° |
| 20 nm | 78.0° | 77.0° |
| 30 nm | 76.8° | 75.8° |
| 40 nm | 72.9° | 72.7° |
| 50 nm | 71.7° | 71.6° |
Publisher’s Note: MDPI stays neutral with regard to jurisdictional claims in published maps and institutional affiliations. |
© 2021 by the authors. Licensee MDPI, Basel, Switzerland. This article is an open access article distributed under the terms and conditions of the Creative Commons Attribution (CC BY) license (http://creativecommons.org/licenses/by/4.0/).
Share and Cite
Liu, W.-J.; Chang, Y.-H.; Chen, Y.-T.; Chiang, Y.-C.; Tsai, D.-Y.; Wu, T.-H.; Chi, P.-W. Effect of Annealing on the Characteristics of CoFeBY Thin Films. Coatings 2021, 11, 250. https://doi.org/10.3390/coatings11020250
Liu W-J, Chang Y-H, Chen Y-T, Chiang Y-C, Tsai D-Y, Wu T-H, Chi P-W. Effect of Annealing on the Characteristics of CoFeBY Thin Films. Coatings. 2021; 11(2):250. https://doi.org/10.3390/coatings11020250
Chicago/Turabian StyleLiu, Wen-Jen, Yung-Huang Chang, Yuan-Tsung Chen, Yi-Chen Chiang, Ding-Yang Tsai, Te-Ho Wu, and Po-Wei Chi. 2021. "Effect of Annealing on the Characteristics of CoFeBY Thin Films" Coatings 11, no. 2: 250. https://doi.org/10.3390/coatings11020250
APA StyleLiu, W.-J., Chang, Y.-H., Chen, Y.-T., Chiang, Y.-C., Tsai, D.-Y., Wu, T.-H., & Chi, P.-W. (2021). Effect of Annealing on the Characteristics of CoFeBY Thin Films. Coatings, 11(2), 250. https://doi.org/10.3390/coatings11020250

