Combined Heat Transfer Mechanisms in the Porous Char Layer Formed from the Intumescent Coatings under Fire
Abstract
1. Introduction
2. Problem Statement
2.1. Physical Description
2.2. Governing Equations
2.3. Boundary Conditions
2.4. Surface Radiation
3. Numerical Solution and Code Validation
4. Results and Discussions
4.1. The Effect of the Rayleigh Number
4.2. The Effect of the Thermal Conductivity Ratio of Solid to Air
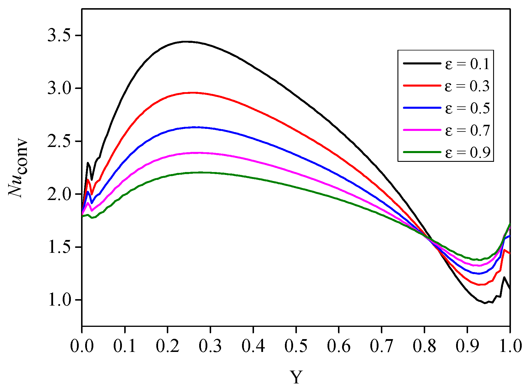
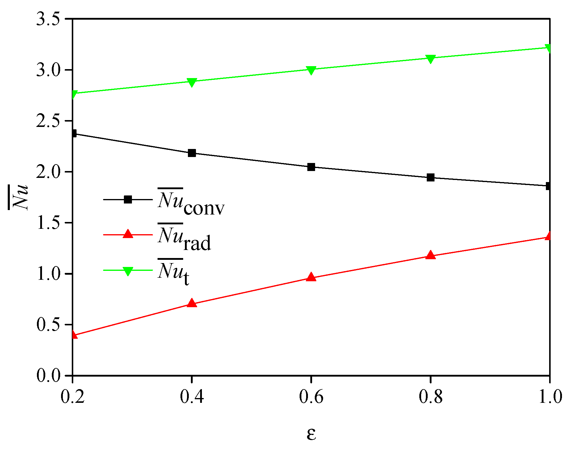
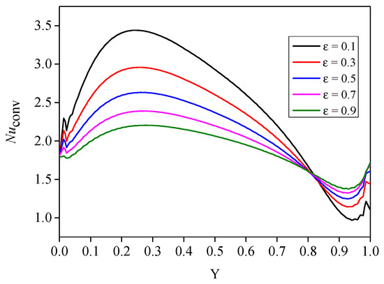
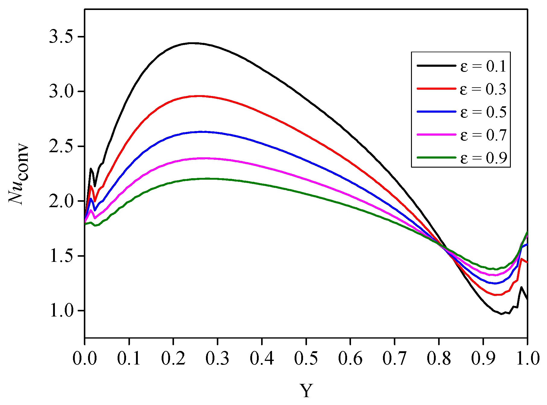
4.3. The Effect of Emissivity
4.4. The Effect of the Radiation to Conduction Number
4.5. The Effect of Void Fraction
4.6. The Effect of Heating Mode
5. Conclusions
- The Rayleigh number and the conductivity ratio have a positive effect on natural convection. As Ra increases, the air flow in the cavity is much stronger and the natural convection heat transfer is strengthened due to the increase in buoyancy force. The increase in the conductivity ratio results in an increase in the walls’ temperature difference. Then, natural convection, which is driven by the temperature difference, is strengthened. In addition, the effect of Kr on the heat transfer always has a limit when it reaches a high level.
- The emissivity and radiation–conduction number have a significant effect on the total heat transfer when the temperature ratio is a constant. With increasing ε and Nr, surface radiation is enhanced. This leads to a decrease in the walls’ temperature difference, which will certainly inhabit natural convection in the cavity. In addition, Nr plays a more important role in a certain range, and the impact on the heat transfer will be limited when Nr is too low or too high.
- The void fraction of the structure also affects the total heat transfer. The change in ϕ will cause a change of both the temperature difference and characteristic length. Natural convection and surface radiation are strengthened by the combined effect of temperature difference and characteristic length with the increasing void fraction.
- The heating mode has a remarkable effect on the total heat transfer. Proper use of the heating mode (which means the proper direction of the heat flow in this study) is able to cause stronger air flows. As a result, natural convection in the cavity will be strengthened but surface radiation among the walls will, as a result, be suppressed.
Author Contributions
Funding
Institutional Review Board Statement
Informed Consent Statement
Data Availability Statement
Conflicts of Interest
Nomenclature
| Fsk-sj | view factor between surface k and j |
| G | temperature ratio (Th/Tc) |
| Nu | local Nusselt number |
| J | dimensionless radiosity |
| k | thermal conductivity |
| kr | solid to air conductivity ratio |
| L | length of the structure |
| l | length of the cavity |
| Nr | radiation to conduction number |
| P | dimensionless pressure |
| Pr | Prandtl number (νf/αf) |
| Q | dimensionless net radiative heat flux |
| q | net radiative heat flux |
| Ra | Rayleigh number |
| T | absolute temperature (K) |
| (u, v) | velocity (m/s) |
| (U, V) | dimensionless velocity |
| W | W2 = U2 + V2 |
| (x, y) | Cartesian coordinates |
| (X, Y) | dimensionless Cartesian coordinates |
| Greek Symbols | |
| α | thermal diffusivity (m2/s) |
| β | thermal expansion coefficient (K−1) |
| ε | emissivity of the interface |
| ρ | density (Kg/m3) |
| σ | Stephan–Boltzmann constant |
| ϕ | void fraction of the structure |
| ν | kinematic viscosity (m2/s) |
| θ | dimensionless temperature |
| Subscripts | |
| conv | convection |
| f | air |
| j.k | jth and kth subdivisions |
| rad | radiation |
| s | solid |
| t | total |
| h, c | hot and cold |
References
- Mariappan, T. Recent developments of intumescent fire protection coatings for structural steel: A review. J. Fire Sci. 2016, 34, 120–163. [Google Scholar] [CrossRef]
- Yasir, M.; Ahmad, F.; Yusoff, P.S.M.M.; Ullah, S.; Jimenez, M. Latest trends for structural steel protection by using intumescent fire protective coatings: A review. Surf. Eng. 2019, 36, 334–363. [Google Scholar] [CrossRef]
- Chuang, Y.J.; Chuang, Y.H.; Lin, C.Y. Fire tests to study heat insulation scenario of galvanized rolling shutters sprayed with intumescent coatings. Mater. Des. 2009, 30, 2576–2583. [Google Scholar] [CrossRef]
- Reshetnikov, I.; Antonov, A.; Rudakova, T.; Aleksjuk, G.; Khalturinskij, N.A. Some aspects of intumescent fire retardant systems. Polym. Degrad. Stab. 1996, 54, 137–141. [Google Scholar] [CrossRef]
- Reshetnikov, I.; Yablokova, M.Y.; Potapova, E.; Khalturinskij, N.A.; Chernyh, V.Y.; Mashlyakovskii, L.N. Mechanical stability of intumescent chars. J. Appl. Polym. Sci. 1998, 67, 1827–1830. [Google Scholar] [CrossRef]
- Reshetnikov, I.; Garashchenko, A.; Strakhov, V. Experimental investigation into mechanical destruction of intumescent chars. Polym. Adv. Technol. 2000, 11, 392–397. [Google Scholar] [CrossRef]
- Gottfried, S. Intumescent Fire-Retardant Composition for High Temperature and Long Duration Protection. U.S. Patent 5,723,515, 3 March 1998. [Google Scholar]
- Jimenez, M.; Duquesne, S.; Bourbigot, S. Characterization of the performance of an intumescent fire protective coating. Surf. Coat. Technol. 2006, 201, 979–987. [Google Scholar] [CrossRef]
- Wang, Z.; Han, E.; Ke, W. Influence of expandable graphite on fire resistance and water resistance of flame-retardant coatings. Corros. Sci. 2007, 49, 2237–2253. [Google Scholar] [CrossRef]
- Koo, J.; Pilato, L. Thermal Properties and Microstructures of Polymer Nanostructured Materials. In Nanoengineering of Structural, Functional and Smart Materials; Schulz, M.J., Ed.; CRC: Boca Raton, FL, USA, 2005. [Google Scholar]
- Camino, G.; Fina, A. New perspectives in fire retardant coatings. Pitture E Vernic. Eur. Coat. 2008, 7, 1–6. [Google Scholar]
- Cagliostro, D.E.; Riccitiello, S.R.; Clark, K.J.; Shimizu, A.B. Intumescent coating modeling. J. Fire Flammabl. 1975, 6, 205–221. [Google Scholar]
- Anderson, C.E.; Dziuk, J.; Mallow, W.A.; Buckmaster, J. Intumescent reaction mechanisms. J. Fire Sci. 1985, 3, 161–194. [Google Scholar] [CrossRef]
- Buckmaster, J.; Anderson, C.; Nachman, A. A model for intumescent paints. Int. J. Eng. Sci. 1986, 24, 263–276. [Google Scholar] [CrossRef]
- Butler, K.M.; Baum, H.R.; Kashiwagi, T. Three-dimensional modeling of intumescent behavior in fires. Fire Saf. Sci. 1997, 5, 523–534. [Google Scholar] [CrossRef][Green Version]
- Blasi, C.D.; Branca, C. Mathematical model for the nonsteady decomposition of intumescent coatings. AIChE J. 2001, 47, 2359–2370. [Google Scholar] [CrossRef]
- Blasi, C.D. Modeling the effects of high radiative heat fluxes on intumescent material decomposition. J. Anal. Appl. Pyrolysis 2004, 71, 721–737. [Google Scholar] [CrossRef]
- Zhang, Y.; Wang, Y.C.; Bailey, C.; Taylor, A.P. Global modelling of fire protection performance of intumescent coating under different cone calorimeter heating conditions. Fire Saf. J. 2012, 50, 51–62. [Google Scholar] [CrossRef]
- Zhang, Y.; Wang, Y.C.; Bailey, C.G.; Taylor, A.P. Global modelling of fire protection performance of an intumescent coating under different furnace fire conditions. J. Fire Sci. 2013, 31, 51–72. [Google Scholar] [CrossRef]
- Yuan, J.F. Intumescent Coating Performance on Steel Structures under Realistic Fire Conditions; Manchester Univ. Press: Manchester, UK, 2009. [Google Scholar]
- Yuan, J.F.; Wang, Y.C. Efficient modelling of temperatures in steel plates protected by intumescent coating in fire. In Fire Retardancy of Polymers: New Strategies and Mechanisms; Hull, T.R., Kandola, B.K., Eds.; RSC: Cambridge, UK, 2009. [Google Scholar]
- Staggs, J.E.J.; Crewe, R.J.; Butler, R. A theoretical and experimental investigation of intumescent behavior in protective coatings for structural steel. Chem. Eng. Sci. 2012, 71, 239–251. [Google Scholar] [CrossRef]
- Cirpici, B.K.; Wang, Y.C.; Rogers, B. Assessment of the thermal conductivity of intumescent coatings in fire. Fire Saf. J. 2016, 81, 74–84. [Google Scholar] [CrossRef]
- Cirpici, B.K.; Wang, Y.C.; Rogers, B.D.; Bourbigot, S. A theoretical model for quantifying expansion of intumescent coating under different heating conditions. Polym. Eng. Sci. 2016, 56, 798–809. [Google Scholar] [CrossRef]
- Amon, M.; Denson, C.D. A study of the dynamics of foam growth: Analysis of the growth of closely spaced spherical bubbles. Polym. Eng. Sci. 2010, 24, 1026–1034. [Google Scholar] [CrossRef]
- Bartholmai, M.; Schriever, R.; Schartel, B. Influence of external heat flux and coating thickness on the thermal insulation properties of two different intumescent coatings using cone calorimeter and numerical analysis. Fire Mater. 2003, 27, 151–162. [Google Scholar] [CrossRef]
- Staggs, J.E.J. Thermal conductivity estimates of intumescent chars by direct numerical simulation. Fire Saf. J. 2010, 45, 228–237. [Google Scholar] [CrossRef]
- Li, G.-Q.; Han, J.; Lou, G.-B.; Wang, Y.C. Predicting intumescent coating protected steel temperature in fire using constant thermal conductivity. Thin-Walled Struct. 2016, 98, 177–184. [Google Scholar] [CrossRef]
- Jamal, B.; Boukendil, M.; Abdelbaki, A.; Zrikem, Z. Numerical simulation of coupled heat transfer through double solid walls separated by an air layer. Int. J. Therm. Sci. 2020, 156, 106461. [Google Scholar] [CrossRef]
- Yang, G.; Wu, J.Y. Effect of natural convection, wall thermal conduction, and thermal radiation on heat transfer uniformity at a heated plate located at the bottom of a three-dimensional rectangular enclosure. Numer. Heat Transf. Part A Appl. 2016, 69, 589–606. [Google Scholar] [CrossRef]
- Kang, S.; Choi, J.; Choi, S. Mechanism of heat transfer through porous media of inorganic intumescent coating in cone calorimeter testing. Polymers 2019, 11, 221. [Google Scholar] [CrossRef] [PubMed]
- Barak, G.; Mitsoulis, E.; Assimacopoulos, D. Natural convection flow in a square cavity revisited: Laminar and turbulent models with wall functions. Int. J. Numer. Methods Fluids 2010, 18, 695–719. [Google Scholar] [CrossRef]




















| Nu | |||
|---|---|---|---|
| Ra | Current Work | Ref. [1] | Diff (%) |
| 103 | 1.1178 | 1.114 | 0.34 |
| 104 | 2.2453 | 2.245 | 0.13 |
| 105 | 4.5230 | 4.51 | 0.29 |
| 106 | 8.8418 | 8.806 | 0.41 |
| Grids Level (Number) | Nu |
|---|---|
| Normal (1680) | 4.5375 |
| Fine (2233) | 4.5360 |
| Finer (3024) | 4.5230 |
| extra fine (9625) | 4.5230 |
| extremely fine (29,700) | 4.5218 |
Publisher’s Note: MDPI stays neutral with regard to jurisdictional claims in published maps and institutional affiliations. |
© 2021 by the authors. Licensee MDPI, Basel, Switzerland. This article is an open access article distributed under the terms and conditions of the Creative Commons Attribution (CC BY) license (http://creativecommons.org/licenses/by/4.0/).
Share and Cite
Zhang, L.; Hu, Y.; Li, M. Combined Heat Transfer Mechanisms in the Porous Char Layer Formed from the Intumescent Coatings under Fire. Coatings 2021, 11, 200. https://doi.org/10.3390/coatings11020200
Zhang L, Hu Y, Li M. Combined Heat Transfer Mechanisms in the Porous Char Layer Formed from the Intumescent Coatings under Fire. Coatings. 2021; 11(2):200. https://doi.org/10.3390/coatings11020200
Chicago/Turabian StyleZhang, Lingyun, Yupeng Hu, and Minghai Li. 2021. "Combined Heat Transfer Mechanisms in the Porous Char Layer Formed from the Intumescent Coatings under Fire" Coatings 11, no. 2: 200. https://doi.org/10.3390/coatings11020200
APA StyleZhang, L., Hu, Y., & Li, M. (2021). Combined Heat Transfer Mechanisms in the Porous Char Layer Formed from the Intumescent Coatings under Fire. Coatings, 11(2), 200. https://doi.org/10.3390/coatings11020200
