Low-Fluorine Ba-Deficient Solutions for High-Performance Superconducting YBCO Films
Abstract
1. Introduction
2. Materials and Methods
3. Results and Discussion
3.1. Morphological Characterization
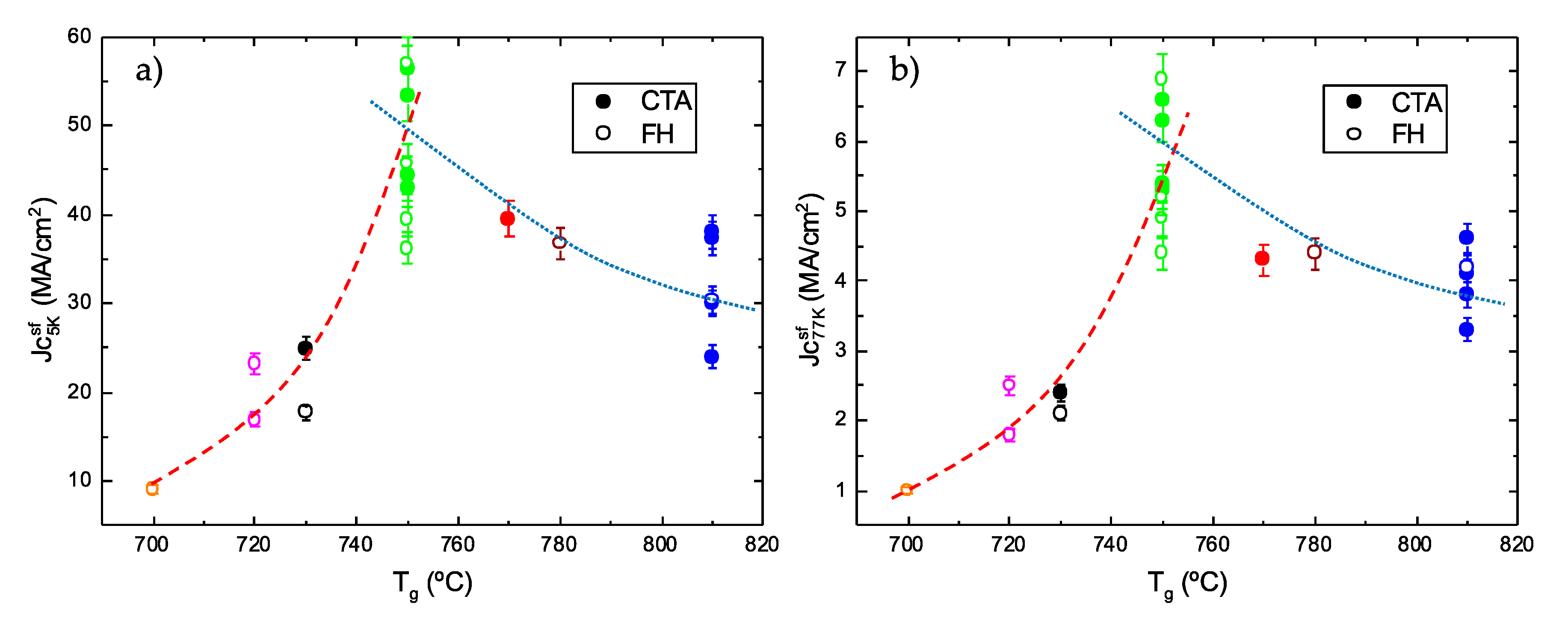
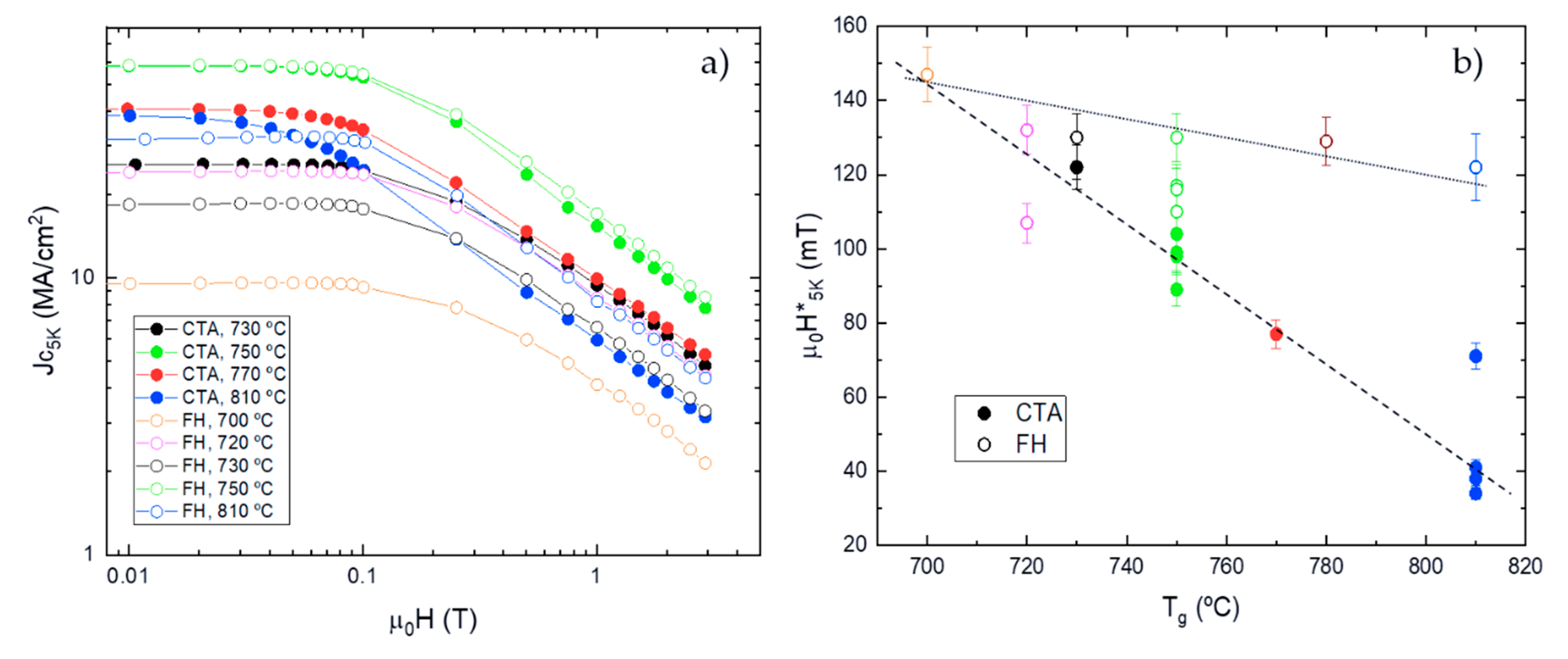
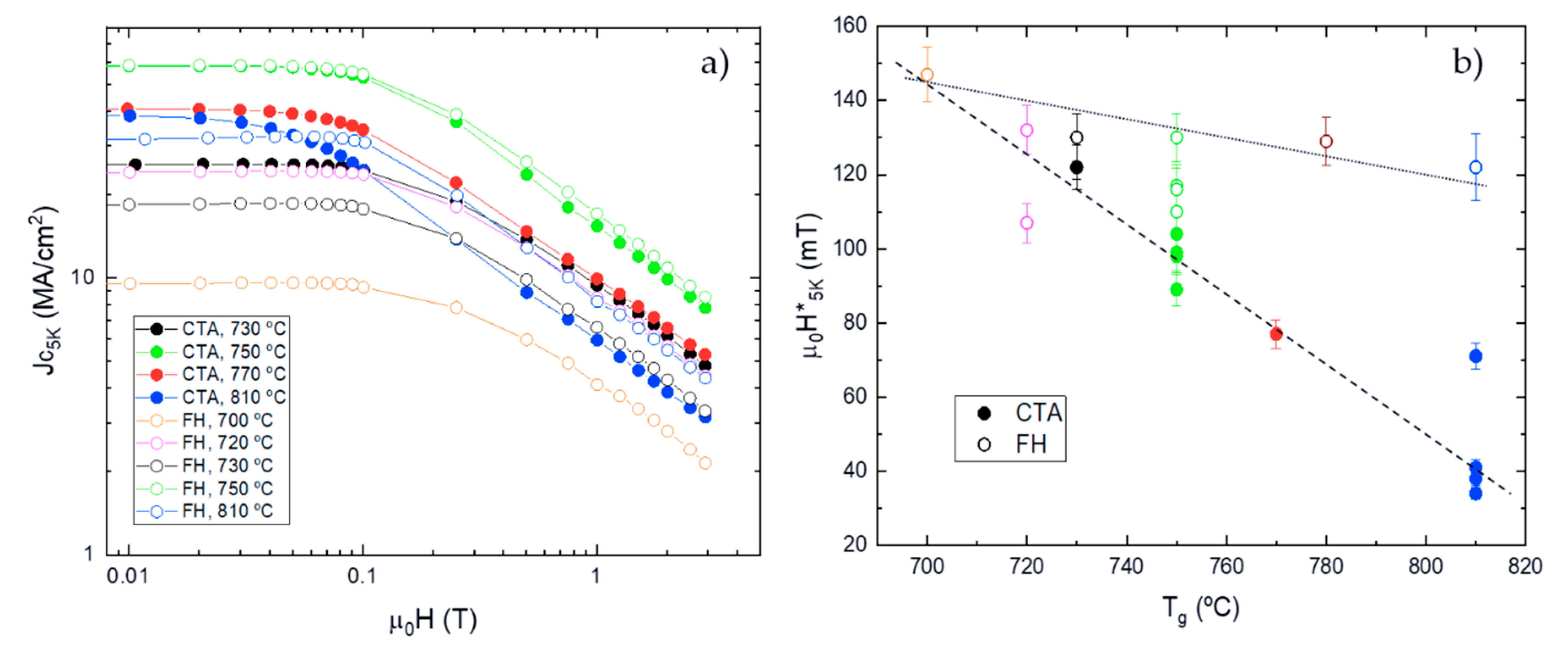
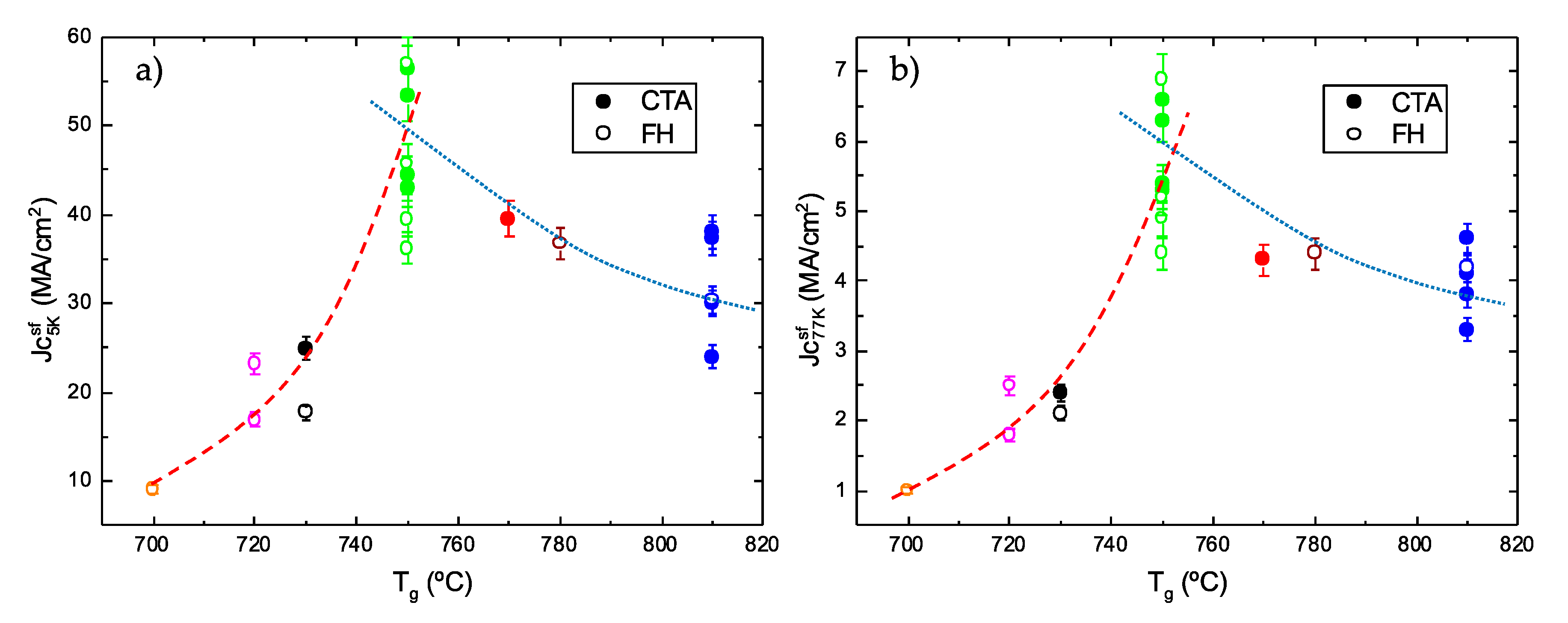
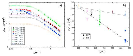
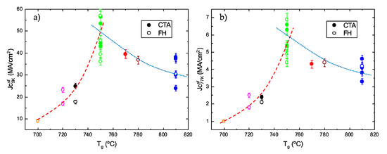
3.2. Superconducting Performance
4. Conclusions
Author Contributions
Funding
Data Availability Statement
Acknowledgments
Conflicts of Interest
References
- Muller, K.A.; Bednorz, J.G. Possible high Tc superconductivity in the Ba-La-Cu-O system. Z. Phys. B 1986, 64, 189. [Google Scholar]
- Larbalestier, D.; Gurevich, A.; Feldmann, D.M.; Polyanskii, A. High-Tc superconducting materials for electric power applications. Nature 2001, 414, 368–377. [Google Scholar] [CrossRef] [PubMed]
- Obradors, X.; Puig, T.; Pomar, A.; Sandiumenge, F.; Mestres, N.; Coll, M.; Cavallaro, A.; Romà, N.; Gázquez, J.; González, J.C.; et al. Progress towards all-chemical superconducting YBa2Cu3O7-coated conductors. Supercond. Sci. Technol. 2006, 19, S13. [Google Scholar] [CrossRef]
- Singh, R.K.; Kumar, D. Pulsed laser deposition and characterization of high-Tc YBa2Cu3O7−x superconducting thin films. Mater. Sci. Eng. R Rep. 1998, 22, 113–185. [Google Scholar] [CrossRef]
- List, F.A.; Clem, P.G.; Heatherly, L.; Dawley, J.T.; Leonard, K.J.; Lee, D.F.; Goyal, A. Low-pressure conversion studies for YBCO precursors derived by PVD and MOD methods. IEEE Trans. Appl. Supercond. 2005, 15, 2656–2658. [Google Scholar] [CrossRef]
- Pratap, R.; Majkic, G.; Galstyan, E.; Mohanasundaram, G.; Chakradhar, S.; Selvamanickam, V. Growth of High-Performance Thick Film REBCO Tapes Using Advanced MOCVD. IEEE Trans. Appl. Supercond. 2019, 29, 1–5. [Google Scholar] [CrossRef]
- Galstyan, E.; Pratap, R.; Majkic, G.; Kochat, M.; Abraimov, D.; Jaroszynski, J.; Selvamanickam, V. In-field critical current and pinning mechanisms at 4.2 K of Zr-Added REBCO coated conductors. Supercond. Sci. Technol. 2020, 33, 12. [Google Scholar] [CrossRef]
- Obradors, X.; Puig, T.; Ricart, S.; Coll, M.; Gazquez, J.; Palau, A.; Granados, X. Growth, nanostructure and vortex pinning in superconducting YBa2Cu3O7 thin films based on trifluoroacetate solutions. Supercond. Sci. Technol. 2012, 25, 123001. [Google Scholar] [CrossRef]
- Albiss, B.A.; Obaidat, I.M. Applications of YBCO-coated conductors: A focus on the chemical solution deposition method. J. Mater. Chem. 2010, 20, 1836–1845. [Google Scholar] [CrossRef]
- Izumi, T.; Nakaoka, K. Control of artificial pinning centers in REBCO coated conductors derived from the trifluoroacetate metal-organic deposition process. Supercond. Sci. Technol. 2018, 31, 034008. [Google Scholar] [CrossRef]
- Malič, B.; Glinšek, S.; Schneller, T.; Kosec, M. Mixed metallo-organic precursor systems. In Chemical Solution Deposition of Functional Oxide Thin Films; Springer: Wien, Austria, 2013; Volume 9783211993, pp. 51–69. ISBN 9783211993118. [Google Scholar]
- Schwartz, R.W.; Schneller, T.; Waser, R. Chemical solution deposition of electronic oxide films. Comptes Rendus Chim. 2004, 7, 433–461. [Google Scholar] [CrossRef]
- Vermeir, P.; Cardinael, I.; Bäcker, M.; Schaubroeck, J.; Schacht, E.; Hoste, S.; Driessche, I. Van Fluorine-free water-based sol–gel deposition of highly epitaxial YBa2Cu3O7−δ films. Supercond. Sci. Technol. 2009, 22, 075009. [Google Scholar] [CrossRef]
- Palmer, X.; Pop, C.; Eloussifi, H.; Villarejo, B.; Roura, P.; Farjas, J.; Calleja, A.; Palau, A.; Obradors, X.; Puig, T.; et al. Solution design for low-fluorine trifluoroacetate route to YBa2Cu3O7 films. Supercond. Sci. Technol. 2016, 29, 24002. [Google Scholar] [CrossRef]
- McIntyre, P.C.; Cima, M.J.; Ng, M.F.; Chiu, R.C.; Rhine, W.E. Texture development in Ba2YCu307–x films from trifluoroacetate precursors. J. Mater. Res. 1990, 5, 2771–2779. [Google Scholar] [CrossRef]
- Gupta, A.; Jagannathan, R.; Cooper, E.I.; Giess, E.A.; Landman, J.I.; Hussey, B.W. Superconducting oxide films with high transition temperature prepared from metal trifluoroacetate precursors. Appl. Phys. Lett. 1988, 52, 2077–2079. [Google Scholar] [CrossRef]
- Chen, Y.; Wu, C.; Zhao, G.; You, C. An advanced low-fluorine solution route for fabrication of high-performance YBCO superconducting films. Supercond. Sci. Technol. 2012, 25, 069501. [Google Scholar] [CrossRef][Green Version]
- Araki, T.; Hirabayashi, I. Review of a chemical approach to YBa2Cu3O7−x-coated superconductors—Metalorganic deposition using trifluoroacetates. Supercond. Sci. Technol. 2003, 16, R71. [Google Scholar] [CrossRef]
- Soler, L.; Jareño, J.; Banchewski, J.; Rasi, S.; Chamorro, N.; Guzman, R.; Yáñez, R.; Mocuta, C.; Ricart, S.; Farjas, J.; et al. Ultrafast transient liquid assisted growth of high current density superconducting films. Nat. Commun. 2020, 11, 1–8. [Google Scholar] [CrossRef]
- Ciontea, L.; Angrisani, A.; Celentano, G.; Petrisor, T.; Rufoloni, A.; Vannozzi, A.; Augieri, A.; Galuzzi, V.; Mancini, A.; Petrisor, T. Metal propionate synthesis of epitaxial YBa2Cu3O7−x films. J. Phys. Conf. Ser. 2008, 97, 012302. [Google Scholar] [CrossRef]
- Erbe, M.; Hänisch, J.; Freudenberg, T.; Kirchner, A.; Mönch, I.; Kaskel, S.; Schultz, L.; Holzapfel, B. Improved REBa2Cu3O7-x (RE = Y, Gd) structure and superconducting properties by addition of acetylacetone in TFA-MOD precursor solutions. J. Mater. Chem. A 2014, 2, 4932–4944. [Google Scholar] [CrossRef]
- Nakaoka, K.; Yoshizumi, M.; Usui, Y.; Izumi, T.; Shiohara, Y. Effect of solution composition on superconducting properties of YBCO derived from TFA-MOD process. IEEE Trans. Appl. Supercond. 2013, 23, 6600404. [Google Scholar] [CrossRef]
- Nakaoka, K.; Matsuda, J.; Kitoh, Y.; Goto, T.; Yamada, Y.; Izumi, T.; Shiohara, Y. Influence of starting solution composition on superconducting properties of YBCO coated conductors by advanced TFA-MOD process. Phys. C Supercond. Its Appl. 2007, 463–465, 519–522. [Google Scholar] [CrossRef]
- Tada, K.; Yoshida, J.; Mori, N.; Yamada, K.; Teranishi, R.; Mukaida, M.; Kiss, T.; Inoue, M.; Shiohara, Y.; Izumi, T.; et al. Growth process of Ba-poor YBCO film fabricated by TFA-MOD process. Phys. C Supercond. Its Appl. 2008, 468, 1554–1558. [Google Scholar] [CrossRef]
- Araki, T.; Kato, T.; Muroga, T.; Niwa, T.; Yuasa, T.; Kurosaki, H.; Iijima, Y.; Yamada, Y.; Hirayama, T.; Saitoh, T.; et al. Carbon expelling scheme and required conditions for obtaining high- Jc YBa2Cu3O7−x film by metalorganic deposition using trifluoroacetates. IEEE Trans. Appl. Supercond. 2003, 13, 2803–2808. [Google Scholar] [CrossRef]
- Calleja, A.; Ricart, S.; Palmer, X.; Luccas, R.F.; Puig, T.; Obradors, X. Water determination of precursor solutions with oxidant cations by the Karl Fischer method: The YBCO-TFA case. J. Sol-Gel Sci. Technol. 2010, 53, 347–352. [Google Scholar] [CrossRef]
- Puig, T.; González, J.C.; Pomar, A.; Mestres, N.; Castaño, O.; Coll, M.; Gázquez, J.; Sandiumenge, F.; Piñol, S.; Obradors, X. The influence of growth conditions on the microstructure and critical currents of TFA-MOD YBa2Cu3O7 films. Supercond. Sci. Technol. 2005, 18, 1141. [Google Scholar] [CrossRef]
- Cayado, P.; Mundet, B.; Eloussifi, H.; Vallés, F.; Coll, M.; Ricart, S.; Gázquez, J.; Palau, A.; Roura, P.; Farjas, J.; et al. Epitaxial superconducting GdBa2Cu3O7−δ/Gd2O3 nanocomposite thin films from advanced low-fluorine solutions. Supercond. Sci. Technol. 2017, 30, 125010. [Google Scholar] [CrossRef]
- Li, Z.; Coll, M.; Mundet, B.; Chamorro, N.; Vallès, F.; Palau, A.; Gazquez, J.; Ricart, S.; Puig, T.; Obradors, X. Control of nanostructure and pinning properties in solution deposited YBa2Cu3O7−x nanocomposites with preformed perovskite nanoparticles. Sci. Rep. 2019, 9, 1–14. [Google Scholar]
- Li, Z.; Coll, M.; Mundet, B.; Palau, A.; Puig, T.; Obradors, X. Accelerated growth by flash heating of high critical current trifluoroacetate solution derived epitaxial superconducting YBa2Cu3O7 films. J. Mater. Chem. C 2019, 7, 4748–4759. [Google Scholar] [CrossRef]
- Bean, C.P. Magnetization of hard superconductors. Phys. Rev. Lett. 1962, 8, 250–253. [Google Scholar] [CrossRef]
- Bean, C.P. Magnetization of high-field superconductors. Rev. Mod. Phys. 1964, 36, 31–39. [Google Scholar] [CrossRef]
- Coll, M.; Gázquez, J.; Pomar, A.; Puig, T.; Sandiumenge, F.; Obradors, X. Stress-induced spontaneous dewetting of heteroepitaxial YBa2Cu3O7 thin films. Phys. Rev. B Condens. Matter Mater. Phys. 2006, 73, 1–8. [Google Scholar] [CrossRef]
- Obradors, X.; Martínez-Julián, F.; Zalamova, K.; Vlad, V.R.; Pomar, A.; Palau, A.; Llordés, A.; Chen, H.; Coll, M.; Ricart, S.; et al. Nucleation and mesostrain influence on percolating critical currents of solution derived YBa2Cu3O7 superconducting thin films. Phys. C Supercond. 2012, 482, 58–67. [Google Scholar] [CrossRef]
- Park, I.; Oh, W.J.; Lee, J.H.; Moon, S.H.; Yoo, S.I. Stability Phase Diagram of GdBa2Cu3O7−δ for the Nominal Composition of Gd:Ba:Cu = 1:1:2.5 in Low Oxygen Pressures. IEEE Trans. Appl. Supercond. 2018, 28, 1–5. [Google Scholar]
- Wong-Ng, W.; Cook, L.P. Liquidus Diagram of the Ba-Y-Cu-O System in the Vicinity of the Ba2YCu3O6+x Phase Field. J. Res. Natl. Inst. Stand. Technol. 1998, 103, 379–403. [Google Scholar] [CrossRef]
- Pop, C.; Villarejo, B.; Pino, F.; Mundet, B.; Ricart, S.; De Palau, M.; Puig, T.; Obradors, X. Growth of all-chemical high critical current YBa2Cu3O7−δ thick films and coated conductors. Supercond. Sci. Technol. 2019, 32, 015004. [Google Scholar] [CrossRef]
- Palau, A.; Puig, T.; Gutierrez, J.; Obradors, X.; De La Cruz, F. Pinning regimes of grain boundary vortices in YBa2Cu3O7−x coated conductors. Phys. Rev. B Condens. Matter Mater. Phys. 2006, 73, 132508. [Google Scholar] [CrossRef]
- Bhosle, S.; Friedrich, C.R. Rapid heat treatment for anatase conversion of titania nanotube orthopedic surfaces. Nanotechnology 2017, 28, 405603. [Google Scholar] [CrossRef]
- Darapaneni, P.; Moura, N.S.; Harry, D.; Cullen, D.A.; Dooley, K.M.; Dorman, J.A. Effect of Moisture on Dopant Segregation in Solid Hosts. J. Phys. Chem. C 2019, 123, 12234. [Google Scholar] [CrossRef]
- Palau, A.; Valles, F.; Rouco, V.; Coll, M.; Li, Z.; Pop, C.; Mundet, B.; Gazquez, J.; Guzman, R.; Gutierrez, J.; et al. Disentangling vortex pinning landscape in chemical solution deposited superconducting YBa2Cu3O7−x films and nanocomposites. Supercond. Sci. Technol. 2018, 31, 034004. [Google Scholar] [CrossRef]
- Nelson, D.R.; Vinokur, V.M. Boson localization and correlated pinning of superconducting vortex arrays. Phyisical Rev. B 1993, 48, 13060. [Google Scholar] [CrossRef] [PubMed]
- Blatter, G.; Feigel’man, M.V.; Geshkenbeinn, V.B.; Larkin, A.I.; Vinokur, V.M. Vortices in high-temperature superconductors. Rev. Mod. Phys. 1994, 66, 1125. [Google Scholar] [CrossRef]
- Llordes, A.; Palau, A.; Gazquez, J.; Coll, M.; Vlad, R.; Pomar, A.; Arbiol, J.; Guzman, R.; Ye, S.; Rouco, V.; et al. Nanoscale strain-induced pair suppression as a vortex-pinning mechanism in high-temperature superconductors. Nat. Mater. 2012, 11, 329–336. [Google Scholar] [CrossRef] [PubMed]
- Bartolomé, E.; Alcalà, J.; Vallès, F.; Puig, T.; Obradors, X.; Pompeo, N.; Alimenti, A.; Torokhtii, K.; Rizzo, F.; Augieri, A.; et al. Vortex pinning properties at dc and microwave frequencies of YBa2Cu3O7−x films with nanorods and nanoparticles. Supercond. Sci. Technol. 2020, 33, 074006. [Google Scholar] [CrossRef]








Publisher’s Note: MDPI stays neutral with regard to jurisdictional claims in published maps and institutional affiliations. |
© 2021 by the authors. Licensee MDPI, Basel, Switzerland. This article is an open access article distributed under the terms and conditions of the Creative Commons Attribution (CC BY) license (http://creativecommons.org/licenses/by/4.0/).
Share and Cite
Ternero, P.; Alcalà, J.; Piperno, L.; Pop, C.; Ricart, S.; Mestres, N.; Obradors, X.; Puig, T.; Sotgiu, G.; Celentano, G.; et al. Low-Fluorine Ba-Deficient Solutions for High-Performance Superconducting YBCO Films. Coatings 2021, 11, 199. https://doi.org/10.3390/coatings11020199
Ternero P, Alcalà J, Piperno L, Pop C, Ricart S, Mestres N, Obradors X, Puig T, Sotgiu G, Celentano G, et al. Low-Fluorine Ba-Deficient Solutions for High-Performance Superconducting YBCO Films. Coatings. 2021; 11(2):199. https://doi.org/10.3390/coatings11020199
Chicago/Turabian StyleTernero, Pau, Jordi Alcalà, Laura Piperno, Cornelia Pop, Susagna Ricart, Narcis Mestres, Xavier Obradors, Teresa Puig, Giovanni Sotgiu, Giuseppe Celentano, and et al. 2021. "Low-Fluorine Ba-Deficient Solutions for High-Performance Superconducting YBCO Films" Coatings 11, no. 2: 199. https://doi.org/10.3390/coatings11020199
APA StyleTernero, P., Alcalà, J., Piperno, L., Pop, C., Ricart, S., Mestres, N., Obradors, X., Puig, T., Sotgiu, G., Celentano, G., & Palau, A. (2021). Low-Fluorine Ba-Deficient Solutions for High-Performance Superconducting YBCO Films. Coatings, 11(2), 199. https://doi.org/10.3390/coatings11020199

