APTES Modification of Molybdenum Disulfide to Improve the Corrosion Resistance of Waterborne Epoxy Coating
Abstract
1. Introduction
2. Experiment
2.1. Materials
2.2. Preparation of MoS2-APTES
2.3. Fabrication of MoS2-APTES Composite Coating
2.4. Characterization
2.5. Corrosion Measurements
2.5.1. Electrochemical Test
2.5.2. Salt Spray Test
3. Results and Discussion
3.1. Characterization
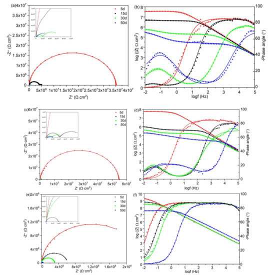
3.2. EIS Test
3.3. Salt Spray Test
3.4. The Corrosion Protection Mechanism
4. Conclusions
Author Contributions
Funding
Data Availability Statement
Conflicts of Interest
References
- Ding, J.; Zhao, H.; Shao, Z.; Yu, H. Bioinspired Smart Anticorrosive Coatings with an Emergency-Response Closing Function. ACS Appl. Mater. Interfaces 2019, 11, 42646–42653. [Google Scholar] [CrossRef] [PubMed]
- Li, Y.; Yang, Z.; Qiu, H.; Dai, Y.; Zheng, Q.; Li, J.; Yang, J. Self-aligned graphene as anticorrosive barrier in waterborne polyurethane composite coatings. J. Mater. Chem. A 2014, 2, 14139–14145. [Google Scholar] [CrossRef]
- Ramezanzadeh, B.; Haeri, Z. A facile route of making silica nanoparticles-covered graphene oxide nanohybrids (SiO2-GO); Fabrication of SiO2-GO/epoxy composite coating with superior barrier and corrosion protection performance. Chem. Eng. J. 2016, 303, 511–528. [Google Scholar] [CrossRef]
- Ramezanzadeh, B.; Niroumandrad, S.; Ahmadi, A.; Mahdavian, M.; Moghadam, M.M. Enhancement of barrier and corrosion protection performance of an epoxy coating through wet transfer of amino functionalized graphene oxide. Corros. Sci. 2016, 103, 283–304. [Google Scholar] [CrossRef]
- Cui, M.J.; Ren, S.M.; Zhao, H.C.; Xue, Q.J.; Wang, L.P. Polydopamine coated graphene oxide for anticorrosive rein-forcement of water-borne epoxy coating. Chem. Eng. J. 2018, 335, 255–266. [Google Scholar] [CrossRef]
- Cui, M.J.; Ren, S.M.; Chen, J.; Liu, S.; Zhang, G.G.; Zhao, H.C.; Wang, L.P.; Xue, Q.J. Anticorrosive performance of wa-terborne epoxy coatings containing water-dispersible hexagonal boron nitride (h-BN) nanosheets. Appl. Surf. Sci. 2017, 397, 77–86. [Google Scholar] [CrossRef]
- Ding, J.; Rahman, O.U.; Peng, W.; Dou, H.; Yu, H. A novel hydroxyl epoxy phosphate monomer enhancing the anticorrosive performance of waterborne Graphene/Epoxy coatings. Appl. Surf. Sci. 2018, 427, 981–991. [Google Scholar] [CrossRef]
- Chen, C.L.; Xiao, G.Q.; He, Y.; Zhong, F.; Li, H.J.; Wu, Y.Q.; Chen, J.Y. Bio-inspired superior barrier self-healing coating: Self-assemble of graphene oxide and polydopamine-coated halloysite nanotubes for enhancing corrosion resistance of waterborne epoxy coating. Prog. Org. Coat. 2020, 139, 105462. [Google Scholar] [CrossRef]
- Wu, Y.; He, Y.; Zhou, T.; Chen, C.; Zhong, F.; Xia, Y.; Xie, P.; Zhang, C. Synergistic functionalization of h-BN by mechanical exfoliation and PEI chemical modification for enhancing the corrosion resistance of waterborne epoxy coating. Prog. Org. Coat. 2020, 142, 105541. [Google Scholar] [CrossRef]
- Zhong, F.; He, Y.; Wang, P.Q.; Chen, C.L.; Yu, H.; Li, H.J.; Chen, J.Y. Graphene/V2O5@polyaniline ternary composites enable waterborne epoxy coating with robust corrosion resistance. React. Funct. Polym. 2020, 151, 104567. [Google Scholar] [CrossRef]
- Xia, Y.; He, Y.; Chen, C.; Wu, Y.; Zhong, F.; Chend, J. Co-modification of polydopamine and KH560 on g-C3N4 nanosheets for enhancing the corrosion protection property of waterborne epoxy coating. React. Funct. Polym. 2020, 146, 104405. [Google Scholar] [CrossRef]
- Zhong, F.; He, Y.; Wang, P.; Chen, C.; Lin, Y.; Wu, Y.; Chen, J. Self-assembled graphene oxide-graphene hybrids for enhancing the corrosion resistance of waterborne epoxy coating. Appl. Surf. Sci. 2019, 488, 801–812. [Google Scholar] [CrossRef]
- Chang, C.-H.; Huang, T.-C.; Peng, C.-W.; Yeh, T.-C.; Lu, H.-I.; Hung, W.-I.; Weng, C.-J.; Yang, T.-I.; Yeh, J.-M. Novel anticorrosion coatings prepared from polyaniline/graphene composites. Carbon 2012, 50, 5044–5051. [Google Scholar] [CrossRef]
- Zhang, C.L.; He, Y.; Li, F.; Di, H.H.; Zhang, L.; Zhan, Y.Q. h-BN decorated with Fe3O4 nanoparticles through mus-sel-inspired chemistry of dopamine for reinforcing anticorrosion performance of epoxy coatings. J. Alloys Compd. 2016, 685, 743–751. [Google Scholar] [CrossRef]
- Shi, H.; Liu, W.; Liu, C.; Yang, M.; Xie, Y.; Wang, S.; Zhang, F.; Liang, L.; Pi, K. Polyethylenimine-assisted exfoliation of h-BN in aqueous media for anticorrosive reinforcement of waterborne epoxy coating. Prog. Org. Coat. 2020, 142, 105591. [Google Scholar] [CrossRef]
- Li, Y.; Wang, H.; Xie, L.; Liang, Y.; Hong, G.; Dai, H. MoS2Nanoparticles Grown on Graphene: An Advanced Catalyst for the Hydrogen Evolution Reaction. J. Am. Chem. Soc. 2011, 133, 7296–7299. [Google Scholar] [CrossRef]
- Xiang, Q.; Yu, J.; Jaroniec, M. Synergetic Effect of MoS2and Graphene as Cocatalysts for Enhanced Photocatalytic H2Production Activity of TiO2Nanoparticles. J. Am. Chem. Soc. 2012, 134, 6575–6578. [Google Scholar] [CrossRef]
- Lopez-Sanchez, O.; Lembke, D.; Kayci, M.; Radenovic, A.; Kis, A. Ultrasensitive photodetectors based on monolayer MoS2. Nat. Nanotechnol. 2013, 8, 497–501. [Google Scholar] [CrossRef]
- Lee, Y.-H.; Zhang, X.Q.; Zhang, W.; Chang, M.-T.; Lin, C.-T.; Chang, K.-D.; Yu, Y.-C.; Wang, J.T.-W.; Chang, C.-S.; Li, L.-J.; et al. Synthesis of Large-Area MoS2Atomic Layers with Chemical Vapor Deposition. Adv. Mater. 2012, 24, 2320–2325. [Google Scholar] [CrossRef]
- Zhao, X.; Zhang, B.; Jin, Z.; Chen, C.; Zhu, Q.; Hou, B. Epoxy coating modified by 2D MoS2/SDBS: Fabrication, anticorrosion behaviour and inhibition mechanism. RSC Adv. 2016, 6, 97512–97522. [Google Scholar] [CrossRef]
- Xia, Z.; Liu, G.; Dong, Y.; Zhang, Y. Anticorrosive epoxy coatings based on polydopamine modified molybdenum disulfide. Prog. Org. Coat. 2019, 133, 154–160. [Google Scholar] [CrossRef]
- Jing, Y.; Wang, P.; Yang, Q.; He, Y.; Bai, Y. Molybdenum disulfide with poly(dopamine) and epoxy groups as an efficiently anticorrosive reinforcers in epoxy coating. Synth. Met. 2020, 259, 116249. [Google Scholar] [CrossRef]
- Ding, J.; Zhao, H.; Zhao, X.; Xu, B.; Yu, H. How semiconductor transition metal dichalcogenides replaced graphene for enhancing anticorrosion. J. Mater. Chem. A 2019, 7, 13511–13521. [Google Scholar] [CrossRef]
- Zhou, K.; Liu, C.; Gao, R. Polyaniline: A novel bridge to reduce the fire hazards of epoxy composites. Compos. Part A Appl. Sci. Manuf. 2018, 112, 432–443. [Google Scholar] [CrossRef]
- Wang, D.; Song, L.; Zhou, K.Q.; Yu, X.J.; Hu, Y.; Wang, J. Anomalous nano-barrier effects of ultrathin molybdenum di-sulfide nanosheets for improving the flame retardance of polymer nanocomposites. J. Mater. Chem. A 2015, 3, 14307–14317. [Google Scholar] [CrossRef]
- Zhou, K.; Jiang, S.; Bao, C.; Song, L.; Wang, B.; Tang, G.; Hu, Y.; Gui, Z. Preparation of poly(vinyl alcohol) nanocomposites with molybdenum disulfide (MoS2): Structural characteristics and markedly enhanced properties. RSC Adv. 2012, 2, 11695–11703. [Google Scholar] [CrossRef]
- Pourhashem, S.; Rashidi, A.; Vaezi, M.R.; Bagherzadeh, M.R. Excellent corrosion protection performance of epoxy composite coatings filled with amino-silane functionalized graphene oxide. Surf. Coat. Technol. 2017, 317, 1–9. [Google Scholar] [CrossRef]
- Pourhashem, S.; Vaezi, M.R.; Rashidi, A.; Bagherzadeh, M.R. Distinctive roles of silane coupling agents on the corrosion inhibition performance of graphene oxide in epoxy coatings. Prog. Org. Coat. 2017, 111, 47–56. [Google Scholar] [CrossRef]
- Zhou, K.; Gao, R.; Qian, X. Self-assembly of exfoliated molybdenum disulfide (MoS 2 ) nanosheets and layered double hydroxide (LDH): Towards reducing fire hazards of epoxy. J. Hazard. Mater. 2017, 338, 343–355. [Google Scholar] [CrossRef]
- Asadi, N.; Naderi, R.; Mahdavian, M. Doping of zinc cations in chemically modified halloysite nanotubes to improve protection function of an epoxy ester coating. Corros. Sci. 2019, 151, 69–80. [Google Scholar] [CrossRef]
- Karekar, S.E.; Pinjari, D.V. Sonochemical synthesis and characterization of molybdenum sulphide nanoparticles: Effect of calcination temperature. Chem. Eng. Process. Process. Intensif. 2017, 120, 268–275. [Google Scholar] [CrossRef]
- Knorr, D.B.; Tran, N.T.; Gaskell, K.J.; Orlicki, J.A.; Woicik, J.C.; Jaye, C.; Fischer, D.A.; Lenhart, J.L. Synthesis and Char-acterization of Aminopropyltriethoxysilane-Polydopamine Coatings. Langmuir 2016, 32, 4370–4381. [Google Scholar] [CrossRef] [PubMed]
- Xu, G.M.; Xu, G.N.; Chang, W.G.; Wang, H.Y. Fabrication of microsphere-like nano-MoO2 modified with silane coupling agent KH550. Mater. Res. Express. 2019, 6. [Google Scholar] [CrossRef]
- Tanhaei, M.; Ren, Y.; Yang, M.; Bussolotti, F.; Cheng, J.J.W.; Pan, J.; Chiam, S.Y. Direct control of defects in molybdenum oxide and understanding their high CO2 sorption performance. J. Mater. Chem. A 2020, 8, 12576–12585. [Google Scholar] [CrossRef]
- Chen, C.; He, Y.; Xiao, G.; Zhong, F.; Xia, Y.; Wu, Y. Graphic C3N4-assisted dispersion of graphene to improve the corrosion resistance of waterborne epoxy coating. Prog. Org. Coat. 2020, 139, 105448. [Google Scholar] [CrossRef]
- Hong, M.-S.; Park, Y.; Kim, J.-G.; Kim, K. Effect of Incorporating MoS2 in Organic Coatings on the Corrosion Resistance of 316L Stainless Steel in a 3.5% NaCl Solution. Coatings 2019, 9, 45. [Google Scholar] [CrossRef]
- Zuo, S.X.; Chen, Y.; Liu, W.J.; Yao, C.; Li, Y.R.; Ma, J.Q.; Kong, Y.; Mao, H.H.; Li, Z.Y.; Fu, Y.S. Polyaniline/g-C3N4 com-posites as novel media for anticorrosion coatings. J Coat. Technol. Res. 2017, 14, 1307–1314. [Google Scholar] [CrossRef]
- Ramezanzadeh, B.; Moghadam, M.H.M.; Shohani, N.; Mandavian, M. Effects of highly crystalline and conductive poly-aniline/graphene oxide composites on the corrosion protection performance of a zinc-rich epoxy coating. Chem. Eng. J. 2017, 320, 363–375. [Google Scholar] [CrossRef]
- Zheng, H.; Shao, Y.; Wang, Y.; Meng, G.; Liu, B. Reinforcing the corrosion protection property of epoxy coating by using graphene oxide–poly(urea–formaldehyde) composites. Corros. Sci. 2017, 123, 267–277. [Google Scholar] [CrossRef]
- Wang, H.H.; Qin, S.D.; Yang, X.F.; Fei, G.Q.; Tian, M.; Shao, Y.M.; Zhu, K. A waterborne uniform gra-phene-poly(urethane-acrylate) complex with enhanced anticorrosive properties enabled by ionic interaction. Chem. Eng. J. 2018, 351, 939–951. [Google Scholar] [CrossRef]











| Sample. | Time | CPEc | Rc (Ω·cm2) | CPEdl | Rct (Ω·cm2) | ||
|---|---|---|---|---|---|---|---|
| Y0 (ohm−1 cm−2sn) | ncoat | Y0 (ohm−1 cm−2sn) | ndl | ||||
| Epoxy | 5 d | 1.736 × 10−9 | 0.953 | 3.517 × 107 | - | - | - |
| 15 d | 2.043 × 10−8 | 0.945 | 4.355 × 106 | 2.145 × 10−6 | 0.73 | 1.19 × 106 | |
| 30 d | 1.4 × 10−8 | 0.795 | 1.911 × 105 | 6.552 × 10−6 | 0.68 | 5.572 × 105 | |
| 50 d | 1.369 × 10−5 | 0.67 | 4.448 × 105 | 1.779 × 10−5 | 0.62 | 2.543 × 105 | |
| MoS2 | 5 d | 1.808 × 10−9 | 0.94 | 5.476 × 107 | - | - | - |
| 15 d | 3.036 × 10−8 | 0.92 | 4.05 × 106 | 4.258 × 10−6 | 0.78 | 3.688 × 106 | |
| 30 d | 2.155 × 10−8 | 0.78 | 1.763 × 105 | 7.106 × 10−6 | 0.73 | 3.225 × 105 | |
| 50 d | 1.614 × 10−5 | 0.663 | 2.272 × 104 | 6.049 × 10−5 | 0.64 | 2.929 × 105 | |
| MoS2-APTES | 5 d | 3.59 × 10−10 | 0.968 | 2.738 × 109 | - | - | - |
| 15 d | 3.757 × 10−9 | 0.96 | 6.387 × 108 | - | - | - | |
| 30 d | 3.565 × 10−9 | 0.958 | 3.091 × 108 | - | - | - | |
| 50 d | 1.63 × 10−9 | 0.925 | 3.647 × 107 | - | - | - |
Publisher’s Note: MDPI stays neutral with regard to jurisdictional claims in published maps and institutional affiliations. |
© 2021 by the authors. Licensee MDPI, Basel, Switzerland. This article is an open access article distributed under the terms and conditions of the Creative Commons Attribution (CC BY) license (http://creativecommons.org/licenses/by/4.0/).
Share and Cite
Liu, Y.; Zhang, S.; He, Y.; Chen, C.; Zhang, C.; Xie, P.; Zhong, F.; Li, H.; Chen, J.; Li, Z. APTES Modification of Molybdenum Disulfide to Improve the Corrosion Resistance of Waterborne Epoxy Coating. Coatings 2021, 11, 178. https://doi.org/10.3390/coatings11020178
Liu Y, Zhang S, He Y, Chen C, Zhang C, Xie P, Zhong F, Li H, Chen J, Li Z. APTES Modification of Molybdenum Disulfide to Improve the Corrosion Resistance of Waterborne Epoxy Coating. Coatings. 2021; 11(2):178. https://doi.org/10.3390/coatings11020178
Chicago/Turabian StyleLiu, Yang, Shihong Zhang, Yi He, Chunlin Chen, Chen Zhang, Peng Xie, Fei Zhong, Hongjie Li, Jingyu Chen, and Zhenyu Li. 2021. "APTES Modification of Molybdenum Disulfide to Improve the Corrosion Resistance of Waterborne Epoxy Coating" Coatings 11, no. 2: 178. https://doi.org/10.3390/coatings11020178
APA StyleLiu, Y., Zhang, S., He, Y., Chen, C., Zhang, C., Xie, P., Zhong, F., Li, H., Chen, J., & Li, Z. (2021). APTES Modification of Molybdenum Disulfide to Improve the Corrosion Resistance of Waterborne Epoxy Coating. Coatings, 11(2), 178. https://doi.org/10.3390/coatings11020178
