Optics of Inhomogeneous Thin Films with Defects: Application to Optical Characterization
Abstract
1. Introduction
2. Theory
2.1. Inhomogeneous thin Films without Defects
2.1.1. Wentzel–Kramers–Brillouin–Jeffreys (WKBJ) Method
2.1.2. Approximate Method Based on Using Multilayer Systems
2.1.3. Approximate Method Based on Modification of Recursive Formulae of Multilayer Systems
2.1.4. Approximate Method Based on Multiple-Beam Interference Model
2.2. Inhomogeneous Thin Films with Defects
2.2.1. Transition Layers and Overlayers
2.2.2. Thickness Nonuniformity
2.2.3. Random Roughness of Film Boundaries
2.2.4. Uniaxial Anisotropy
3. Examples of Optical Characterization
3.1. Optical Characterization of the Transition Layer
3.2. Optical Characterization of the Inhomogeneous SiOCH Thin Film
3.2.1. Sample Preparation and Experimental Arrangement
3.2.2. Dispersion Model
3.2.3. Data Processing
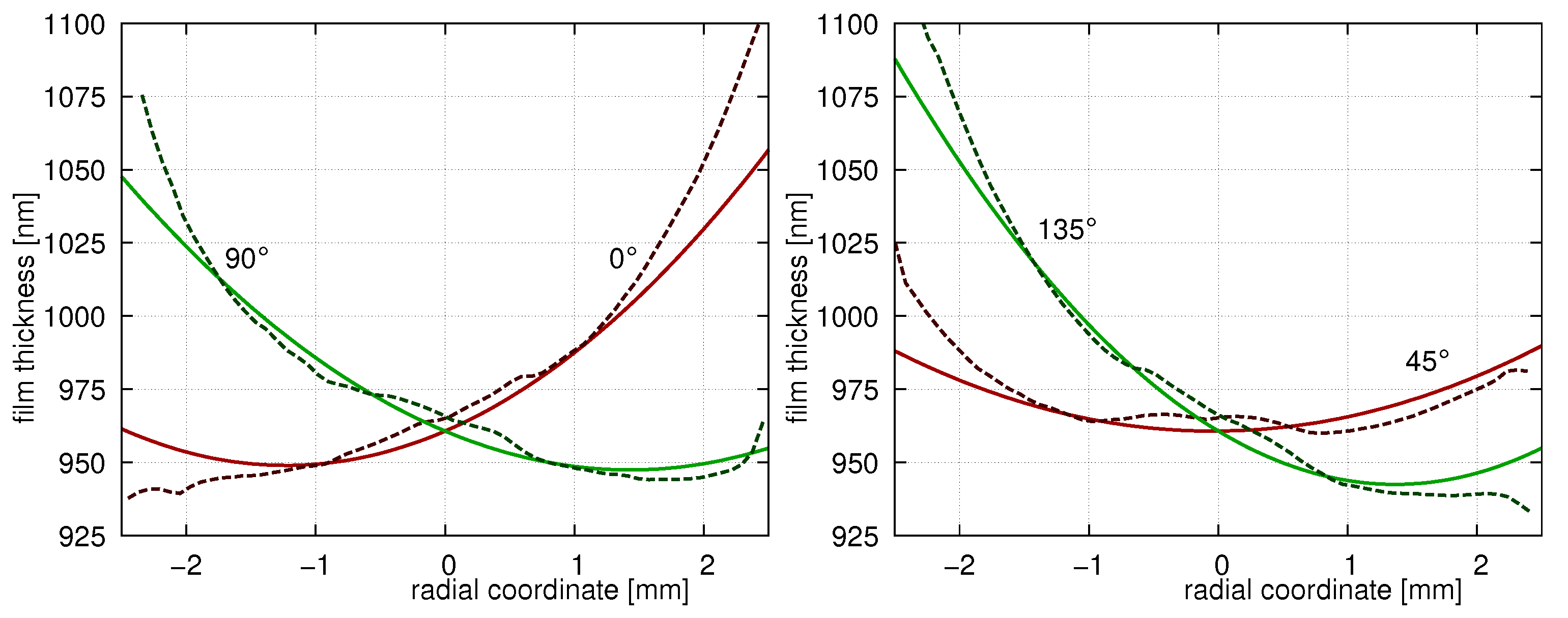
3.2.4. Results and Discussion
3.3. Optical Characterization of the Inhomogeneous SiN Thin Films
3.3.1. Sample Preparation and Experimental Arrangements
3.3.2. Influence of Boundary Roughness
3.3.3. Dispersion Model
3.3.4. Data Processing
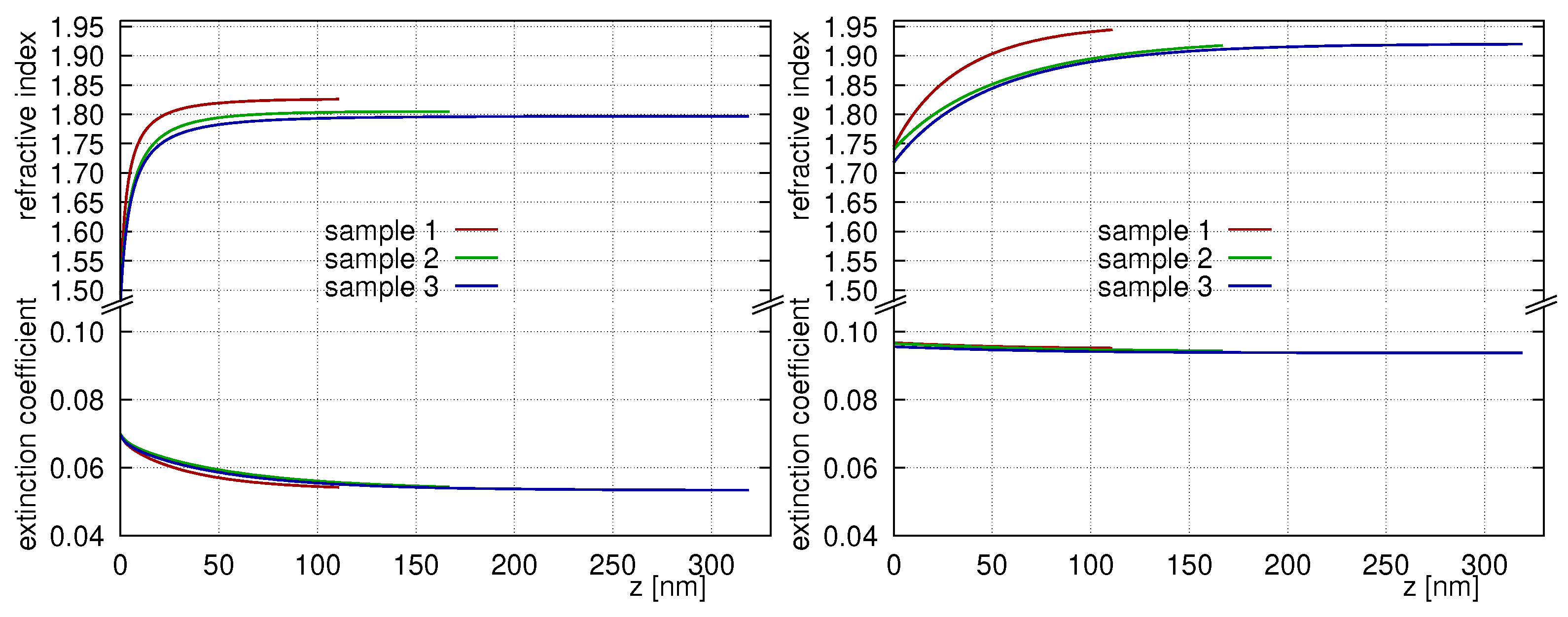
3.3.5. Results and Discussion
4. Conclusions
Author Contributions
Funding
Institutional Review Board Statement
Informed Consent Statement
Data Availability Statement
Conflicts of Interest
References
- Lohner, T.; Kumar, K.J.; Petrik, P.; Subrahmanyam, A.; Bársony, I. Optical analysis of room temperature magnetron sputtered ITO films by reflectometry and spectroscopic ellipsometry. J. Mater. Res. 2014, 29, 1528–1536. [Google Scholar] [CrossRef]
- Vašiček, A. Polarimetric Methods for the Determination of the Refractive Index and the Thickness of Thin Films on Glass. J. Opt. Soc. Am. 1947, 37, 145–153. [Google Scholar] [CrossRef] [PubMed]
- Heavens, O.S.; Liddell, H.M. Influence of Absorption on Measurement of Refractive Index of Films. Appl. Opt. 1965, 4, 629–630. [Google Scholar] [CrossRef]
- Vedam, K.; Knausenberger, W.; Lukes, F. Ellipsometric Method for the Determination of All the Optical Parameters of the System of an Isotropic Nonabsorbing Film on an Isotropic Absorbing Substrate. Optical Constants of Silicon. J. Opt. Soc. Am. 1969, 59, 64–71. [Google Scholar] [CrossRef]
- Ritter, E. Optical film materials and their applications. Appl. Opt. 1976, 15, 2318–2327. [Google Scholar] [CrossRef] [PubMed]
- Pulker, H.K.; Paesold, G.; Ritter, E. Refractive indices of TiO2 films produced by reactive evaporation of various titanium–oxygen phases. Appl. Opt. 1976, 15, 2986–2991. [Google Scholar] [CrossRef] [PubMed]
- Bennett, J.M.; Pelletier, E.; Albrand, G.; Borgogno, J.P.; Lazarides, B.; Carniglia, C.K.; Schmell, R.A.; Allen, T.H.; Tuttle-Hart, T.; Guenther, K.H.; et al. Comparison of the properties of titanium dioxide films prepared by various techniques. Appl. Opt. 1989, 28, 3303–3317. [Google Scholar] [CrossRef]
- Ohlídal, I.; Navrátil, K.; Schmidt, E. Simple method for the complete optical analysis of very thick and weakly absorbing films: Application to magnetic garnet-films. Appl. Phys. A 1982, 29, 157–162. [Google Scholar] [CrossRef]
- Franta, D.; Ohlídal, I.; Petrýdes, D. Optical characterization of TiO2 thin films by the combined method of spectroscopic ellipsometry and spectroscopic photometry. Vacuum 2005, 80, 159–162. [Google Scholar] [CrossRef]
- Franta, D.; Ohlídal, I.; Buršíková, V.; Zajíčková, L. Optical properties of diamond-like carbon films containing SiOx studied by the combined method of spectroscopic ellipsometry and spectroscopic reflectometry. Thin Solid Films 2004, 455–456, 393–398. [Google Scholar] [CrossRef]
- Ohlídal, I.; Franta, D.; Pinčík, E.; Ohlídal, M. Complete Optical Characterization of the SiO2/Si System by Spectroscopic Ellipsometry Spectroscopic Reflectometry and Atomic Force Microscopy. Surf. Interface Anal. 1999, 28, 240–244. [Google Scholar] [CrossRef]
- Franta, D.; Ohlídal, I.; Frumar, M.; Jedelský, J. Optical Characterization of Chalcogenide Thin Films. Appl. Surf. Sci. 2001, 175–176, 555–561. [Google Scholar] [CrossRef]
- Borgogno, J.P.; Pelletier, E. Determination of the extinction coefficient of dielectric thin films from spectrophotometric measurements. Appl. Opt. 1989, 28, 2895–2901. [Google Scholar] [CrossRef] [PubMed]
- Lukeš, F.; Knausenberger, W.; Vedam, K. Ellipsometric liquid immersion method for the determination of all the optical parameters of the system: Nonabsorbing film on an absorbing substrate. Surf. Sci. 1969, 16, 112–125. [Google Scholar] [CrossRef]
- Lukěs, F.; Schmidt, E. Another method for the determination of silicon oxide thickness. Solid-State Electron. 1967, 10, 264–266. [Google Scholar] [CrossRef]
- Hacskaylo, M. Determination of the Refractive Index of Thin Dielectric Films. J. Opt. Soc. Am. 1964, 54, 198–203. [Google Scholar] [CrossRef]
- Manifacier, J.C.; Gasiot, J.; Fillard, J.P. A simple method for the determination of the optical constants n, k and the thickness of a weakly absorbing thin film. J. Phys. E Sci. Instrum. 1976, 9, 1002–1004. [Google Scholar] [CrossRef]
- Lukeš, F. Oxidation of Si and GaAs in air at room temperature. Surf. Sci. 1972, 30, 91–100. [Google Scholar] [CrossRef]
- Stenzel, O.; Wilbrandt, S.; Kaiser, N.; Vinnichenko, M.; Munnik, F.; Kolitsch, A.; Chuvilin, A.; Kaiser, U.; Ebert, J.; Jakobs, S.; et al. The correlation between mechanical stress, thermal shift and refractive index in HfO2, Nb2O5, Ta2O5 and SiO2 layers and its relation to the layer porosity. Thin Solid Films 2009, 517, 6058–6068. [Google Scholar] [CrossRef]
- Jacobsson, R. Matching a Multilayer Stack to a High-Refractive Index Substrate by Means of an Inhomogeneous Layer. J. Opt. Soc. Am. 1964, 54, 422–423. [Google Scholar] [CrossRef]
- Charmet, J.C.; de Gennes, P.G. Ellipsometric formulas for an inhomogeneous layer with arbitrary refractive-index profile. J. Opt. Soc. Am. 1983, 73, 1777–1784. [Google Scholar] [CrossRef]
- Carniglia, C.K. Ellipsometric calculations for nonabsorbing thin films with linear refractive-index gradients. J. Opt. Soc. Am. A 1990, 7, 848–856. [Google Scholar] [CrossRef]
- Sheldon, B.; Haggerty, J.S.; Emslie, A.G. Exact computation of the reflectance of a surface layer of arbitrary refractive-index profile and an approximate solution of the inverse problem. J. Opt. Soc. Am. 1982, 72, 1049–1055. [Google Scholar] [CrossRef]
- Monaco, S.F. Reflectance of an Inhomogeneous Thin Film. J. Opt. Soc. Am. 1961, 51, 280–282. [Google Scholar] [CrossRef]
- Adamson, P. Reflection of light in a long-wavelength approximation from an N-layer system of inhomogeneous dielectric films and optical diagnostics of ultrathin layers. II. Transparent substrate. J. Opt. Soc. Am. B 2004, 21, 645–654. [Google Scholar] [CrossRef]
- Debieu, O.; Nalini, R.P.; Cardin, J.; Portier, X.; Perrière, J.; Gourbilleau, F. Structural and optical characterization of pure Si-rich nitride thin films. Nanoscale Res. Lett. 2013, 8, 31. [Google Scholar] [CrossRef] [PubMed]
- Bovard, B.G. Rugate filter design: The modified Fourier transform technique. Appl. Opt. 1990, 29, 24–30. [Google Scholar] [CrossRef]
- Boivin, G.; St.-Germain, D. Synthesis of gradient-index profiles corresponding to spectral reflectance derived by inverse Fourier transform. Appl. Opt. 1987, 26, 4209–4213. [Google Scholar] [CrossRef]
- Franta, D.; Ohlídal, I.; Klapetek, P.; Pokorný, P.; Ohlídal, M. Analysis of Inhomogeneous Thin Films of ZrO2 by the Combined Optical Method and Atomic Force Microscopy. Surf. Interface Anal. 2001, 32, 91–94. [Google Scholar] [CrossRef]
- Nečas, D.; Franta, D.; Ohlídal, I.; Poruba, A.; Wostrý, P. Ellipsometric characterization of inhomogeneous non-stoichiometric silicon nitride films. Surf. Interface Anal. 2013, 45, 1188–1192. [Google Scholar] [CrossRef]
- Kildemo, M. Real-Time Monitoring and Growth Control of Si-Gradient-Index Structures by Multiwavelength Ellipsometry. Appl. Opt. 1998, 37, 113–124. [Google Scholar] [CrossRef] [PubMed]
- Kildemo, M.; Brenot, R.; Drévillon, B. Spectroellipsometric method for process monitoring semiconductor thin films and interfaces. Appl. Opt. 1998, 37, 5145–5149. [Google Scholar] [CrossRef] [PubMed]
- Vohánka, J.; Ohlídal, I.; Ženíšek, J.; Vašina, P.; Čermák, M.; Franta, D. Use of the Richardson extrapolation in optics of inhomogeneous layers: Application to optical characterization. Surf. Interface Anal. 2018, 50, 757–765. [Google Scholar] [CrossRef]
- Li, D.; Goullet, A.; Carette, M.; Granier, A.; Landesman, J.P. Effect of growth interruptions on TiO2 films deposited by plasma enhanced chemical vapour deposition. Mater. Chem. Phys. 2016, 182, 409–417. [Google Scholar] [CrossRef]
- Ohlídal, I.; Lukeš, F. Ellipsometric Parameters of Rough Surfaces and of a System Substrate-Thin Film with Rough Boundaries. Opt. Acta 1972, 19, 817–843. [Google Scholar] [CrossRef]
- Ohlídal, I.; Navrátil, K.; Lukeš, F. Reflection of Light by a System of Nonabsorbing Isotropic Film–Nonabsorbing Isotropic Substrate with Randomly Rough Boundaries. J. Opt. Soc. Am. 1971, 61, 1630–1639. [Google Scholar] [CrossRef]
- Morris, I.L.; Jenkins, T.E. The effect of long-correlation-length surface roughness on the ellipsometric parameters of reflected light. Europhys. Lett. 1996, 34, 55–61. [Google Scholar] [CrossRef]
- Carniglia, C.K. Scalar scattering theory for multilayer optical coatings. Opt. Eng. 1979, 18, 104–115. [Google Scholar] [CrossRef]
- Zavislan, J.M. Angular scattering from optical interference coatings: Scalar scattering predictions and measurements. Appl. Opt. 1991, 30, 2224–2244. [Google Scholar] [CrossRef]
- Bauer, J. Optical properties, band gap, and surface roughness of Si3N4. Phys. Status Solidi A 1977, 39, 411–418. [Google Scholar] [CrossRef]
- Bauer, J.; Biste, L.; Bolze, D. Optical properties of aluminium nitride prepared by chemical and plasmachemical vapour deposition. Phys. Status Solidi A 1977, 39, 173–181. [Google Scholar] [CrossRef]
- Nagata, K.; Nishiwaki, J. Reflection of Light from Filmed Rough Surface: Determination of Film Thickness and rms Roughness. Jpn. J. Appl. Phys. 1967, 6, 251–257. [Google Scholar] [CrossRef]
- Ohlídal, I.; Vižďa, F.; Ohlídal, M. Optical analysis by means of spectroscopic reflectometry of single and double layers with correlated randomly rough boundaries. Opt. Eng. 1995, 34, 1761–1768. [Google Scholar]
- Ohlídal, I.; Lukeš, F.; Navrátil, K. Rough silicon surfaces studied by optical methods. Surf. Sci. 1974, 45, 91–116. [Google Scholar] [CrossRef]
- Eastman, J.M. Scattering by all-dielectric multilayer bandpass filters and mirrors for lasers. In Physics of Thin Films; Hass, G., Francombe, M.H., Eds.; Academic Press: New York, NY, USA, 1978; Volume 10, pp. 167–226. [Google Scholar]
- Ohlídal, I.; Franta, D.; Nečas, D. Improved combination of scalar diffraction theory and Rayleigh-Rice theory and its application to spectroscopic ellipsometry of randomly rough surfaces. Thin Solid Films 2014, 571, 695–700. [Google Scholar] [CrossRef]
- Amra, C.; Apfel, J.H.; Pelletier, E. Role of interface correlation in light scattering by a multiplayer. Appl. Opt. 1992, 31, 3134–3151. [Google Scholar] [CrossRef]
- Ohlídal, I.; Franta, D. Matrix Formalism for Imperfect Thin Films. Acta Phys. Slov. 2000, 50, 489–500. [Google Scholar]
- Pisarkiewicz, T. Reflection spectrum for a thin film with non-uniform thickness. J. Phys. D Appl. Phys. 1994, 27, 160–164. [Google Scholar] [CrossRef]
- Pisarkiewicz, T.; Stapinski, T.; Czternastek, H.; Rava, P. Inhomogeneity of amorphous silicon thin films from optical transmission and reflection measurements. J. Non-Cryst. Solids 1991, 137, 619–622. [Google Scholar] [CrossRef]
- Nečas, D.; Ohlídal, I.; Franta, D. The reflectance of non-uniform thin films. J. Opt. A Pure Appl. Opt. 2009, 11, 045202. [Google Scholar] [CrossRef]
- Nečas, D.; Ohlídal, I.; Franta, D. Variable-angle spectroscopic ellipsometry of considerably non-uniform thin films. J. Opt. 2011, 13, 085705. [Google Scholar] [CrossRef]
- Ohlídal, I.; Ohlídal, M.; Nečas, D.; Franta, D.; Buršíková, V. Optical characterisation of SiOxCyHz thin films non-uniform in thickness using spectroscopic ellipsometry, spectroscopic reflectometry and spectroscopic imaging reflectometry. Thin Solid Films 2011, 519, 2874–2876. [Google Scholar] [CrossRef]
- Vohánka, J.; Franta, D.; Čermák, M.; Homola, V.; Buršíková, V.; Ohlídal, I. Ellipsometric characterization of highly non-uniform thin films with the shape of thickness non-uniformity modeled by polynomials. Opt. Express 2020, 28, 5492–5506. [Google Scholar] [CrossRef] [PubMed]
- Vohánka, J.; Šustek, Š.; Buršíková, V.; Šklíbová, V.; Šulc, V.; Homola, V.; Franta, D.; Čermák, M.; Ohlídal, M.; Ohlídal, I. Determining shape of thickness non-uniformity using variable-angle spectroscopic ellipsometry. Appl. Surf. Sci. 2020, 534, 147625. [Google Scholar] [CrossRef]
- Pittal, S.; Snyder, P.G.; Ianno, N.J. Ellipsometry study of non-uniform lateral growth of ZnO thin films. Thin Solid Films 1993, 233, 286–288. [Google Scholar] [CrossRef]
- Richter, U. Application of the degree of polarization to film thickness gradients. Thin Solid Films 1998, 313–314, 102–107. [Google Scholar] [CrossRef]
- Ohlídal, M.; Ohlídal, I.; Klapetek, P.; Nečas, D.; Majumdar, A. Measurement of the thickness distribution and optical constants of non-uniform thin films. Meas. Sci. Technol. 2011, 22, 085104. [Google Scholar] [CrossRef]
- Ohlídal, M.; Ohlídal, I.; Franta, D.; Králík, T.; Jákl, M.; Eliáš, M. Optical characterization of thin films non-uniform in thickness by a multiple-wavelength reflectance method. Surf. Interface Anal. 2002, 34, 660–663. [Google Scholar] [CrossRef]
- Nečas, D.; Čudek, V.; Vodák, J.; Ohlídal, M.; Klapetek, P.; Benedikt, J.; Rügner, K.; Zajíčková, L. Mapping of properties of thin plasma jet films using imaging spectroscopic reflectometry. Meas. Sci. Technol. 2014, 25, 115201. [Google Scholar] [CrossRef]
- Ohlídal, M.; Vodák, J.; Nečas, D. Optical Characterization of Thin Films by Means of Imaging Spectroscopic Reflectometry. In Optical Characterization of Thin Solid Films; Stenzel, O., Ohlídal, M., Eds.; Springer International Publishing: Cham, Switzerland, 2018; pp. 107–141. [Google Scholar]
- Taft, E.; Cordes, L. Optical Evidence for a Silicon-Silicon Oxide Interlayer. J. Electrochem. Soc. 1979, 126, 131–134. [Google Scholar] [CrossRef]
- Aspnes, D.E.; Theeten, J.B. Dielectric function of Si-SiO2 and Si-Si3N4 mixtures. J. Appl. Phys. 1979, 50, 4928–4935. [Google Scholar] [CrossRef]
- Ohlídal, M.; Ohlídal, I.; Lukeš, F. Ellipsometric studies of polished silicon surfaces. Surf. Sci. 1976, 55, 467–476. [Google Scholar] [CrossRef]
- Ohlídal, I.; Franta, D.; Nečas, D. Ellipsometric and reflectometric characterization of thin films exhibiting thickness non-uniformity and boundary roughness. Appl. Surf. Sci. 2017, 421, 687–696. [Google Scholar] [CrossRef]
- Ohlídal, I.; Vohánka, J.; Buršíková, V.; Ženíšek, J.; Vašina, P.; Čermák, M.; Franta, D. Optical characterization of inhomogeneous thin films containing transition layers using the combined method of spectroscopic ellipsometry and spectroscopic reflectometry based on multiple-beam interference model. J. Vac. Sci. Technol. B 2019, 37, 062921. [Google Scholar] [CrossRef]
- Vohánka, J.; Ohlídal, I.; Ohlídal, M.; Šustek, V.; Čermák, M.; Šulc, V.; Vašina, P.; Ženíšek, J.; Franta, D. Optical Characterization of Non-Stoichiometric Silicon Nitride Films Exhibiting Combined Defects. Coatings 2019, 9, 416. [Google Scholar] [CrossRef]
- Ohlídal, I.; Vohánka, J.; Buršíková, V.; Franta, D.; Čermák, M. Spectroscopic ellipsometry of inhomogeneous thin films exhibiting thickness non-uniformity and transition layers. Opt. Express 2020, 28, 160–174. [Google Scholar] [CrossRef]
- Jacobsson, R. Inhomogeneous and Coevaporated Homogeneous Films for Optical Applications. In Physics of Thin Films; Hass, G., Francombe, M.H., Hoffman, R.W., Eds.; Academic Press: New York, NY, USA, 1975; Volume 8, pp. 51–98. [Google Scholar]
- Ohlídal, I.; Čermák, M.; Vohánka, J. Optical Characterization of Thin Films Exhibiting Defects. In Optical Characterization of Thin Solid Films; Stenzel, O., Ohlídal, M., Eds.; Springer International Publishing: Cham, Switzerland, 2018; pp. 271–313. [Google Scholar]
- Lekner, J. Exact reflection amplitudes for the Rayleigh profile. Phys. A 1982, 116, 235–247. [Google Scholar] [CrossRef]
- Vašíček, A. Optics of Thin Films; North–Holland: Amsterdam, The Netherlands, 1960. [Google Scholar]
- Knittl, Z. Optics of Thin Films; Wiley: London, UK, 1976. [Google Scholar]
- Stenzel, O. The Physics of Thin Film Optical Spectra; Surface Sciences; Springer: Berlin/Heidelberg, Germany, 2005. [Google Scholar]
- Kildemo, M.; Hunderi, O.; Drévillon, B. Approximation of reflection coefficients for rapid real-time calculation of inhomogeneous films. J. Opt. Soc. Am. A 1997, 14, 931–939. [Google Scholar] [CrossRef]
- Ohlídal, I.; Vohánka, J.; Mistrík, J.; Čermák, M.; Vižďa, F.; Franta, D. Approximations of reflection and transmission coefficients of inhomogeneous thin films based on multiple-beam interference model. Thin Solid Films 2019, 692, 137189. [Google Scholar] [CrossRef]
- Ohlídal, I.; Vohánka, J.; Čermák, M.; Franta, D. Ellipsometry of Layered Systems. In Optical Characterization of Thin Solid Films; Stenzel, O., Ohlídal, M., Eds.; Springer International Publishing: Cham, Switzerland, 2018; pp. 233–267. [Google Scholar]
- Azzam, R.M.A. Mueller-matrix ellipsometry: A review. In Polarization: Measurement, Analysis, and Remote Sensing, Proceedings of the SPIE, San Diego, CA, USA, 27 July 1997; SPIE: Bellingham, WA, USA, 1997; Volume 3121, pp. 396–405. [Google Scholar]
- Garcia-Caurel, E.; Ossikovski, R.; Foldyna, M.; Pierangelo, A.; Drévillon, B.; De Martino, A. Advanced Mueller Ellipsometry Instrumentation and Data Analysis. In Ellipsometry at the Nanoscale; Losurdo, M., Hingerl, K., Eds.; Springer: Berlin/Heidelberg, Germany, 2013; Chapter 2; pp. 31–143. [Google Scholar]
- Goldstein, D. Polarized Light, Revised and Expanded; Dekker: New York, NY, USA, 2003. [Google Scholar]
- Forcht, K.; Gombert, A.; Joerger, R.; Köhl, M. Incoherent superposition in ellipsometric measurements. Thin Solid Films 1997, 302, 43–50. [Google Scholar] [CrossRef]
- Ossikovski, R.; Kildemo, M.; Stchakovsky, M.; Mooney, M. Anisotropic Incoherent Reflection Model for Spectroscopic Ellipsometry of a Thick Semitransparent Anisotropic Substrate. Appl. Opt. 2000, 39, 2071–2077. [Google Scholar] [CrossRef] [PubMed]
- Stroud, A.H.; Secrest, D. Gaussian Quadrature Formulas; Prentice-Hall Series in Automatic Computation; Prentice-Hall: Englewood Cliffs, NJ, USA, 1966. [Google Scholar]
- Ohlídal, I.; Franta, D. Ellipsometry of Thin Film Systems. In Progress in Optics; Wolf, E., Ed.; Elsevier: Amsterdam, The Netherlands, 2000; Volume 41, pp. 181–282. [Google Scholar]
- Rayleigh, J.W.S.B. The Theory of Sound; Macmillan and Company: London, UK, 1878. [Google Scholar]
- Rice, S.O. Reflection of Electromagnetic Waves from Slightly Rough Surfaces. Commun. Pure Appl. Math. 1951, 4, 351–378. [Google Scholar] [CrossRef]
- Franta, D.; Ohlídal, I. Ellipsometric parameters and reflectances of thin films with slightly rough boundaries. J. Mod. Opt. 1998, 45, 903–934. [Google Scholar] [CrossRef]
- Čermák, M.; Vohánka, J.; Ohlídal, I.; Franta, D. Optical quantities of multi-layer systems with randomly rough boundaries calculated using the exact approach of the Rayleigh-Rice theory. J. Mod. Opt. 2018, 65, 1720–1736. [Google Scholar] [CrossRef]
- Vohánka, J.; Čermák, M.; Franta, D.; Ohlídal, I. Efficient method to calculate the optical quantities of multi-layer systems with randomly rough boundaries using the Rayleigh–Rice theory. Phys. Scr. 2019, 94, 045502. [Google Scholar] [CrossRef]
- Franta, D.; Ohlídal, I.; Nečas, D. Influence of cross-correlation effects on the optical quantities of rough films. Opt. Express 2008, 16, 7789–7803. [Google Scholar] [CrossRef]
- Ohlídal, I.; Vohánka, J.; Čermák, M.; Franta, D. Combination of spectroscopic ellipsometry and spectroscopic reflectometry with including light scattering in the optical characterization of randomly rough silicon surfaces covered by native oxide layers. Surf. Topogr. Metrol. Prop. 2019, 7, 045004. [Google Scholar] [CrossRef]
- Nečas, D.; Ohlídal, I.; Franta, D.; Ohlídal, M.; Vodák, J. Simultaneous determination of optical constants, local thickness and roughness of ZnSe thin films by imaging spectroscopic reflectometry. J. Opt. 2016, 18, 015401. [Google Scholar] [CrossRef]
- Nečas, D.; Ohlídal, I. Consolidated series for efficient calculation of the reflection and transmission in rough multilayers. Opt. Express 2014, 22, 4499–4515. [Google Scholar] [CrossRef]
- Yeh, P. Optics of anisotropic layered media: A new 4 × 4 matrix algebra. Surf. Sci. 1980, 96, 41–53. [Google Scholar] [CrossRef]
- Franta, D.; Dubroka, A.; Wang, C.; Giglia, A.; Vohánka, J.; Franta, P.; Ohlídal, I. Temperature-dependent dispersion model of float zone crystalline silicon. Appl. Surf. Sci. 2017, 421, 405–419. [Google Scholar] [CrossRef]
- Pierce, D.T.; Spicer, W.E. Electronic Structure of Amorphous Si from Photoemission and Optical Studies. Phys. Rev. B 1972, 5, 3017–3029. [Google Scholar] [CrossRef]
- Franta, D.; Nečas, D.; Ohlídal, I.; Giglia, A. Dispersion model for optical thin films applicable in wide spectral range. Optical Systems Design 2015: Optical Fabrication, Testing, and Metrology V. Proc. SPIE 2015, 9628, 96281U. [Google Scholar]
- Campi, D.; Coriasso, C. Prediction of Optical Properties of Amorphous Tetrahedrally Bounded Materials. J. Appl. Phys. 1988, 64, 4128–4134. [Google Scholar] [CrossRef]
- Franta, D.; Vohánka, J.; Čermák, M. Universal Dispersion Model for Characterisation of Thin Films Over Wide Spectral Range. In Optical Characterization of Thin Solid Films; Stenzel, O., Ohlídal, M., Eds.; Springer International Publishing: Cham, Switzerland, 2018; pp. 31–82. [Google Scholar]
- Franta, D.; Nečas, D.; Ohlídal, I. Universal dispersion model for characterization of optical thin films over wide spectral range: Application to hafnia. Appl. Opt. 2015, 54, 9108–9119. [Google Scholar] [CrossRef]
- Franta, D.; Nečas, D.; Zajíčková, L.; Ohlídal, I.; Stuchlík, J.; Chvostová, D. Application of sum rule to the dispersion model of hydrogenated amorphous silicon. Thin Solid Films 2013, 539, 233–244. [Google Scholar] [CrossRef]
- Franta, D.; Zajíčková, L.; Ohlídal, I.; Janča, J.; Veltruská, K. Optical characterization of diamond like carbon films using multi-sample modification of variable angle spectroscopic ellipsometry. Diam. Relat. Mat. 2002, 11, 105–117. [Google Scholar] [CrossRef]
- Franta, D.; Nečas, D.; Zajíčková, L. Application of Thomas–Reiche–Kuhn sum rule to construction of advanced dispersion models. Thin Solid Films 2013, 534, 432–441. [Google Scholar] [CrossRef]
- Franta, D.; Ohlídal, I. Analysis of thin films by optical multi-sample methods. Acta Phys. Slov. 2000, 50, 411–421. [Google Scholar]
- Ohlídal, I.; Vohánka, J.; Čermák, M.; Franta, D. Optical characterization of randomly microrough surfaces covered with very thin overlayers using effective medium approximation and Rayleigh–Rice theory. Appl. Surf. Sci. 2017, 419, 942–956. [Google Scholar] [CrossRef]
- Franta, D.; Ohlídal, I.; Klapetek, P.; Ohlídal, M. Characterization of thin oxide films on GaAs substrates by optical methods and atomic force microscopy. Surf. Interface Anal. 2004, 36, 1203–1206. [Google Scholar] [CrossRef]












| Ellipsometry | ISR | ||||
|---|---|---|---|---|---|
| [nm] | WKBJ | 5.813 | |||
| [nm] | with term 1 | 5.419 | |||
| [nm] | with terms 1 + 2 | 5.418 | |||
| [nm] | with terms 1 + 2 + 3 | 5.418 | |||
| [nm] | wedge | 5.807 | |||
| [nm] |
| Sample 1 | Sample 2 | Sample 3 | |||
|---|---|---|---|---|---|
| deposition time | t | [min] | 30 | 45 | 90 |
| thickness ellipsometry | [nm] | ||||
| thickness reflectance | [nm] | ||||
| roughness (rms) | [nm] | ||||
| profile parameter | [nm] |
Publisher’s Note: MDPI stays neutral with regard to jurisdictional claims in published maps and institutional affiliations. |
© 2020 by the authors. Licensee MDPI, Basel, Switzerland. This article is an open access article distributed under the terms and conditions of the Creative Commons Attribution (CC BY) license (http://creativecommons.org/licenses/by/4.0/).
Share and Cite
Ohlídal, I.; Vohánka, J.; Čermák, M. Optics of Inhomogeneous Thin Films with Defects: Application to Optical Characterization. Coatings 2021, 11, 22. https://doi.org/10.3390/coatings11010022
Ohlídal I, Vohánka J, Čermák M. Optics of Inhomogeneous Thin Films with Defects: Application to Optical Characterization. Coatings. 2021; 11(1):22. https://doi.org/10.3390/coatings11010022
Chicago/Turabian StyleOhlídal, Ivan, Jiří Vohánka, and Martin Čermák. 2021. "Optics of Inhomogeneous Thin Films with Defects: Application to Optical Characterization" Coatings 11, no. 1: 22. https://doi.org/10.3390/coatings11010022
APA StyleOhlídal, I., Vohánka, J., & Čermák, M. (2021). Optics of Inhomogeneous Thin Films with Defects: Application to Optical Characterization. Coatings, 11(1), 22. https://doi.org/10.3390/coatings11010022

