Friction, Wear and Corrosion Behavior of Environmentally-Friendly Fatty Acid Ionic Liquids
Abstract
1. Introduction
2. Materials and Methods
2.1. Ionic Liquids and Materials
2.2. Corrosion Study
2.3. Tribological Tests
2.4. Surface Analysis
3. Results and Discussion
3.1. Corrosion Study
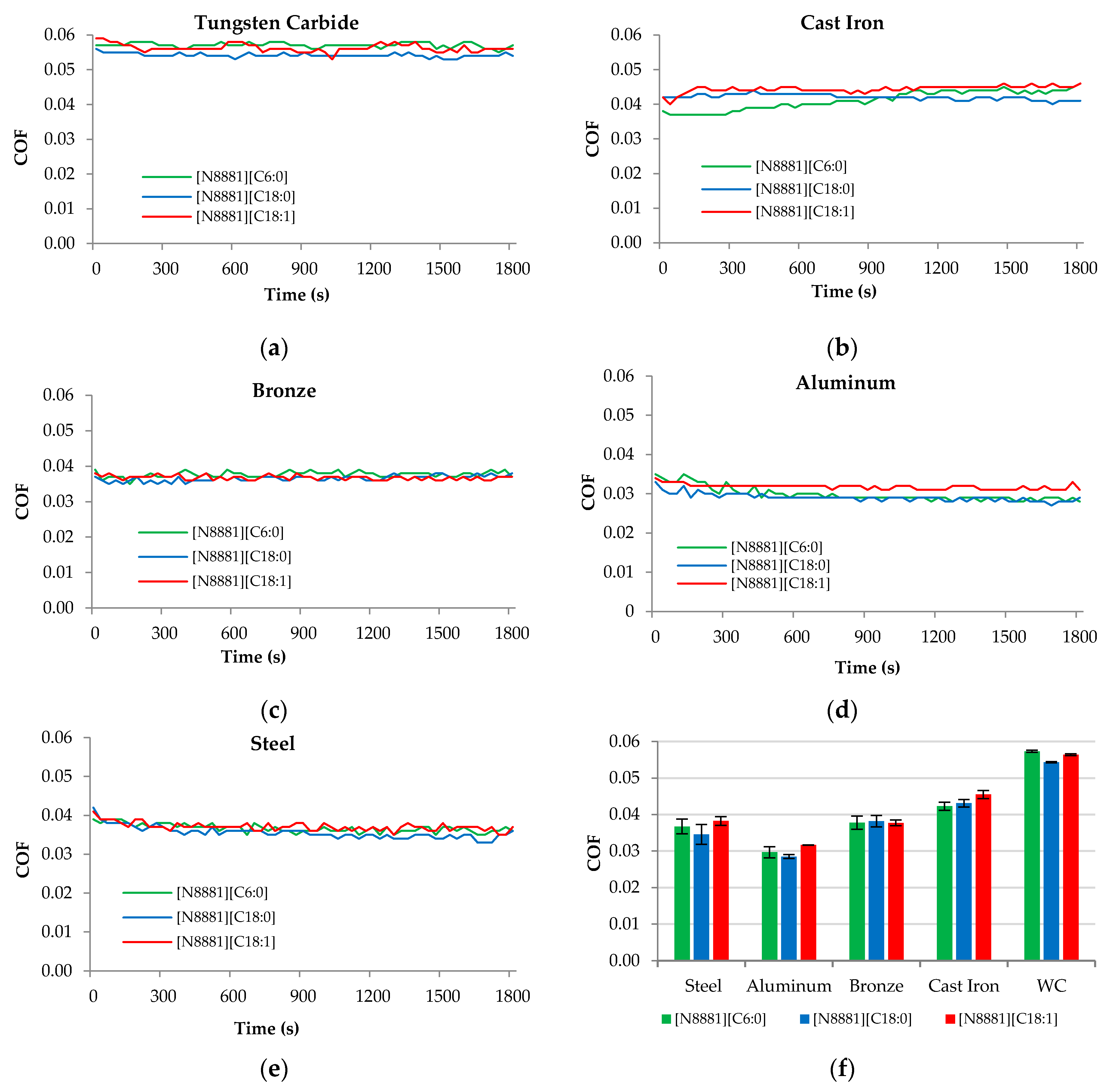
3.2. Tribological Test
3.3. Surface Analysis
4. Conclusions
- A corrosion phenomenon could be observed in the bronze surface in the presence of the three FAILs. However, for the rest of the materials, no surface modification appeared after corrosion tests.
- The three FAILs presented similar tribological behavior, without notable differences in friction and wear values registered, when used as lubricant with each tested material pair.
- The low wear recorded for the tungsten carbide–steel pair is more related to its hardness than to its interaction with FAILs. The higher friction values found in this case are linked to its higher contact pressure.
- For the aluminum–steel pair, a low coefficient of friction was recorded as a result of the low contact pressure that favored better lubrication.
- The XPS analysis indicated that the behavior of the three FAILs in each material pair was similar, with low chemical interaction with the surfaces.
Author Contributions
Funding
Acknowledgments
Conflicts of Interest
References
- Walden, P. Molecular weights and electrical conductivity of several fused salts. Bull. Imp.Acad. Sci. (St. Petersburg) 1914, 8, 405–422. [Google Scholar]
- Chum, H.L.; Koch, V.; Miller, L.; Osteryoung, R. Electrochemical scrutiny of organometallic iron complexes and hexamethylbenzene in a room temperature molten salt. J. Am. Chem. Soc. 1975, 97, 3264–3265. [Google Scholar] [CrossRef]
- Wilkes, J.S.; Levisky, J.A.; Wilson, R.A.; Hussey, C.L. Dialkylimidazolium chloroaluminate melts: A new class of room- temperature ionic liquids for electrochemistry, spectroscopy and synthesis. Inorg. Chem. 1982, 21, 1263–1264. [Google Scholar] [CrossRef]
- Wilkes, J.S.; Zaworotko, M.J. Air and water stable 1-ethyl-3-methylimidazolium based ionic liquids. Chem. Commun. 1992, 13, 965–967. [Google Scholar] [CrossRef]
- Wassercheid, P.; Welton, T. Ionic Liquid in Synthesis, 2nd ed; Wiley: Weinheim, Germany, 2008. [Google Scholar]
- Olivier, H. Recent developments in the use of non-aqueous ionic liquids for two- phase catalysis. J. Mol. Catal. A Chem. 1999, 146, 285–289. [Google Scholar] [CrossRef]
- Hagiwara, R.; Ito, Y. Room temperature ionic liquids of alkylimidazolium cations and fluoroanions. J. Fluor. Chem. 2000, 105, 221–227. [Google Scholar] [CrossRef]
- Welton, T. Room-temperature ionic liquids, solvents for synthesis and catalysis. Chem. Rev. 1999, 99, 2071–2084. [Google Scholar] [CrossRef]
- Keskin, S.; Kayrak-Talay, D.; Akman, U.; Hortaçsu, Ö. A review of ionic liquids towards supercritical fluid applications. J. Supercrit. Fluids 2007, 43, 150–180. [Google Scholar] [CrossRef]
- Berthod, A.; Angel, M.J.R.; Carda-Broch, S. Ionic liquids in separation techniques. J. Chromatogr. A 2008, 1184, 6–18. [Google Scholar] [CrossRef]
- Zhou, F.; Liang, Y.; Liu, W. Ionic liquid lubricants: Designed chemistry for engineering applications. Chem. Soc. Rev. 2009, 38, 2590–2599. [Google Scholar] [CrossRef]
- Ye, C.F.; Liu, W.M.; Chen, Y.X.; Yu, L.G. Room-temperature ionic liquids: A novel versatile lubricant. Chem Commun (Cambridge) 2001, 21, 2244–2245. [Google Scholar] [CrossRef] [PubMed]
- Minami, I. Ionic liquids in tribology. Molecules 2009, 14, 2286–2305. [Google Scholar] [CrossRef] [PubMed]
- Bermúdez, M.D.; Jiménez, A.E.; Sanes, J.; Carrión, F.J. Ionic liquids as advanced lubricant fluids. Molecules 2009, 14, 2888–2908. [Google Scholar] [CrossRef] [PubMed]
- Somers, A.; Howlett, P.; MacFarlane, D.; Forsyth, M. A review of ionic liquid lubricants. Lubricants 2013, 1, 3–21. [Google Scholar] [CrossRef]
- Palacio, M.; Bhushan, B. A review of ionic liquids for green molecular lubrication in nanotechnology. Tribol. Lett. 2010, 40, 247–268. [Google Scholar] [CrossRef]
- Liu, W.; Ye, C.; Gong, Q.; Wang, H.; Wang, P. Tribological performance of room-temperature ionic liquids as lubricant. Tribol. Lett. 2002, 13, 81–85. [Google Scholar] [CrossRef]
- Chen, Y.M.; Zeng, Z.X.; Yang, S.R.; Zhang, J.Y. The tribological performance of BCN films under ionic liquids lubrication. Diam. Relat. Mater. 2009, 18, 20–26. [Google Scholar] [CrossRef]
- Sanes, J.; Carrión, F.J.; Bermúdez, M.D.; Martínez-Nicolás, G. Ionic liquids as lubricants of polystyrene and polyamide 6-steel contacts. Preparation and properties of new polymer-ionic liquid dispersions. Tribol. Lett. 2006, 21, 121. [Google Scholar] [CrossRef]
- Kamimura, H.; Kubo, T.; Minami, I.; Mori, S. Effect and mechanism of additives for ionic liquids as new lubricants. Tribol. Int. 2007, 40, 620–625. [Google Scholar] [CrossRef]
- Qu, J.; Truhan, J.J.; Dai, S.; Luo, H.; Blau, P.J. Ionic liquids with ammonium cations as lubricants or additives. Tribol. Lett. 2006, 22, 207–214. [Google Scholar] [CrossRef]
- Jiménez, A.E.; Bermúdez, M.D.; Iglesias, P.; Carrión, F.J.; Martínez-Nicolás, G. 1-N-alkyl -3-methylimidazolium ionic liquids as neat lubricants and lubricant additives in steel–aluminium contacts. Wear 2006, 260, 766–782. [Google Scholar] [CrossRef]
- Hernández Battez, A.; González, R.; Viesca, J.L.; Blanco, D.; Asedegbega, E.; Osorio, A. Tribological behaviour of two imidazolium ionic liquids as lubricant additives for steel/steel contacts. Wear 2009, 266, 1224–1228. [Google Scholar] [CrossRef]
- Phillips, B.S.; John, G.; Zabinski, J.S. Surface chemistry of fluorine containing ionic liquids on steel substrates at elevated temperature using Mössbauer spectroscopy. Tribol. Lett. 2007, 26, 85–91. [Google Scholar] [CrossRef]
- Mu, Z.; Liu, W.; Zhang, S.; Zhou, F. Functional room-temperature ionic liquids as lubricants for an aluminum-on-steel system. Chem. Lett. 2004, 33, 524–525. [Google Scholar] [CrossRef]
- Torimoto, T.; Tsuda, T.; Okazaki, K.I.; Kuwabata, S. New frontiers in materials science opened by ionic liquids. Adv. Mater. 2010, 22, 1196–1221. [Google Scholar] [CrossRef]
- García, A.; González, R.; Hernández Battez, A.; Viesca, J.L.; Monge, R.; Fernández-González, A.; Hadfield, M. Ionic liquids as a neat lubricant applied to steel-steel contacts. Tribol. Int. 2014, 72, 42–50. [Google Scholar] [CrossRef]
- Uerdingen, M.; Treber, C.; Balser, M.; Schmitt, G.; Werner, C. Corrosion behaviour of ionic liquids. Green Chem. 2005, 7, 321. [Google Scholar] [CrossRef]
- Freire, M.G.; Neves, C.M.S.S.; Marrucho, I.M.; Coutinho, J.A.P.; Fernandes, A.M. Hydrolysis of tetrafluoroborate and hexafluorophosphate counter ions in imidazolium-based ionic liquids. J. Phys. Chem. A 2009, 114, 3744–3749. [Google Scholar] [CrossRef]
- González, R.; Hernández Battez, A.; Blanco, D.; Viesca, J.L.; Fernández-González, A. Lubrication of TiN, CrN and DLC PVD coatings with 1-butyl-1- methylpyrrolidinium tris(pentafluoroethyl)trifluorophosphate. Tribol. Lett. 2010, 40, 269–277. [Google Scholar] [CrossRef]
- Blanco, D.; González, R.; Hernández Battez, A.; Viesca, J.L.; Fernández-Gonzlez, A. Use of ethyl-dimethyl-2-methoxyethylammonium tris(pentafluoroethyl) trifluorophosphate as base oil additive in the lubrication of TiN PVD coating. Tribol. Int. 2011, 44, 645–650. [Google Scholar] [CrossRef]
- Blanco, D.; Battez, A.H.; Viesca, J.L.; González, R.; Fernández-González, A. Lubrication of CrN coating with ethyl-dimethyl-2-methoxyethylammonium tris(pentafluoroethyl)trifluorophosphate ionic liquid as additive to PAO 6. Tribol. Lett. 2011, 41, 295–302. [Google Scholar] [CrossRef]
- Viesca, J.L.; García, A.; Hernández Battez, A.; González, R.; Monge, R.; Fernández-González, A.; Hadfield, M. FAP- anion ionic liquids used in the lubrication of a steel-steel contact. Tribol. Lett. 2013, 52, 431–437. [Google Scholar] [CrossRef]
- Minami, I.; Kita, M.; Kubo, T.; Nanao, H.; Mori, S. The tribological properties of ionic liquids composed of trifluorotris(pentafluoroethyl) phosphate as a hydrophobic anion. Tribol. Lett. 2008, 30, 215–223. [Google Scholar] [CrossRef]
- Otero, I.; López, E.R.; Reichelt, M.; Fernández, J. Friction and anti-wear properties of two tris(pentafluoroethyl) trifluorophosphate ionic liquids as neat lubricants. Tribol. Int. 2014, 70, 104–111. [Google Scholar] [CrossRef]
- Viesca, J.L.; Hernández Battez, A.; González, R.; Reddyhoff, T.; Torres Pérez, A.; Spikes, H.A. Assessing boundary film formation of lubricant additivised with 1-hexyl-3-methylimidazolium tetrafluoroborate using ECR as qualitative indicator. Wear 2010, 269, 112–117. [Google Scholar] [CrossRef]
- Hernández Battez, A.; González, R.; Viesca, J.L.; Fernández-González, A.; Hadfield, M. Lubrication of PVD coatings with ethyl-dimethyl-2-methoxyethylammonium tris(pentafluoroethyl)trifluorophosphate. Tribol. Int. 2013, 58, 71–78. [Google Scholar] [CrossRef]
- Somers, A.E.; Biddulph, S.M.; Howlett, P.C.; Sun, J.; MacFarlane, D.R.; Forsyth, M. A comparison of phosphorus and fluorine containing IL lubricants for steel on aluminium. Phys. Chem. Chem. Phys. 2012, 14, 8224. [Google Scholar] [CrossRef]
- Viesca, J.L.; Anand, M.; Blanco, D.; Fernández-González, A.; García, A.; Hadfield, M. Tribological behaviour of PVD coatings lubricated with a FAP− anion-based ionic liquid used as an additive. Lubricants 2016, 4, 8. [Google Scholar] [CrossRef]
- Kheireddin, B.A.; Lu, W.; Chen, I.C.; Akbulut, M. Inorganic nanoparticle-based ionic liquid lubricants. Wear 2013, 303, 185–190. [Google Scholar] [CrossRef]
- Pisarova, L.; Gabler, C.; Dörr, N.; Pittenauer, E.; Allmaier, G. Thermo-oxidative stability and corrosion properties of ammonium based ionic liquids. Tribol. Int. 2012, 46, 73–83. [Google Scholar] [CrossRef]
- Cai, M.; Liang, Y.; Yao, M.; Xia, Y.; Zhou, F.; Liu, W. Imidazolium ionic liquids as antiwear and antioxidant additive in poly(ethylene glycol) for steel/steel contacts. ACS Appl. Mater. Interfaces 2010, 2, 870–876. [Google Scholar] [CrossRef] [PubMed]
- Gabler, C.; Dörr, N.; Allmaier, G. Influence of cationic moieties on the tribolayer constitution shown for bis(trifluoromethylsulfonyl)imide based ionic liquids studied by X-ray photoelectron spectroscopy. Tribol. Int. 2014, 80, 90–97. [Google Scholar] [CrossRef]
- Monge, R.; González, R.; Hernández Battez, A.; Fernández-González, A.; Viesca, J.L.; García, A.; Hadfield, M. Ionic liquids as an additive in fully formulated wind turbine gearbox oils. Wear 2015, 328–329, 50–63. [Google Scholar] [CrossRef]
- Somers, A.E.; Howlett, P.C.; Sun, J.; MacFarlane, D.R.; Forsyth, M. Transition in wear performance for ionic liquid lubricants under increasing load. Tribol. Lett. 2010, 40, 279–284. [Google Scholar] [CrossRef]
- Murakami, T.; Kaneda, K.; Nakano, M.; Korenaga, A.; Mano, H.; Sasaki, S. Tribological properties of Fe7Mo6-based alloy under two ionic liquid lubrications. Tribol. Int. 2008, 41, 1083–1089. [Google Scholar] [CrossRef]
- Bandeira, P.; Monteiro, J.; Baptista, A.M.; Magalhães, F.D. Tribological performance of PTFE-based coating modified with microencapsulated [HMIM][NTf2] ionic liquid. Tribol. Lett. 2015, 59, 13. [Google Scholar] [CrossRef]
- Somers, A.E.; Khemchandani, B.; Howlett, P.C.; Sun, J.; Macfarlane, D.R.; Forsyth, M. Ionic liquids as antiwear additives in base oils: Influence of structure on miscibility and antiwear performance for steel on aluminum. ACS Appl. Mater. Interfaces 2013, 5, 11544–11553. [Google Scholar] [CrossRef]
- Minami, I.; Inada, T.; Sasaki, R.; Nanao, H. Tribo-chemistry of phosphonium-derived ionic liquids. Tribol. Lett. 2010, 40, 225–235. [Google Scholar] [CrossRef]
- Amiril, S.A.S.; Rahim, E.A.; Syahrullail, S. A review on ionic liquids as sustainable lubricants in manufacturing and engineering: Recent research, performance, and applications. J. Clean. Prod. 2017, 168, 1571–1589. [Google Scholar] [CrossRef]
- Qu, J.; Bansal, D.G.; Yu, B.; Howe, J.Y.; Luo, H.; Dai, S.; Li, H.; Blau, P.J.; Bunting, B.G.; Mordukhovich, G.; et al. Antiwear performance and mechanism of an oil-miscible ionic liquid as a lubricant additive. ACS Appl. Mater. Interfaces 2012, 4, 997–1002. [Google Scholar] [CrossRef]
- Barnhill, W.C.; Qu, J.; Luo, H.; Meyer, H.M.; Ma, C.; Chi, M.; Papke, B.L. Phosphonium-organophosphate ionic liquids as lubricant additives: Effects of cation structure on physicochemical and tribological characteristics. ACS Appl. Mater. Interfaces 2014, 6, 22585–22593. [Google Scholar] [CrossRef] [PubMed]
- Anand, M.; Hadfield, M.; Viesca, J.L.; Thomas, B.; Hernández Battez, A.; Austen, S. Ionic liquids as tribological performance improving additive for in-service and used fully-formulated diesel engine lubricants. Wear 2015, 334–335, 67–74. [Google Scholar] [CrossRef]
- Otero, I.; López, E.R.; Reichelt, M.; Villanueva, M.; Salgado, J.; Fernández, J. Ionic liquids based on phosphonium cations as neat lubricants or lubricant additives for a steel/steel contact. ACS Appl. Mater. Interf. 2014, 6, 13115–13128. [Google Scholar] [CrossRef] [PubMed]
- Qu, J.; Luo, H.; Chi, M.; Ma, C.; Blau, P.J.; Dai, S.; Viola, M.B. Comparison of an oil-miscible ionic liquid and ZDDP as a lubricant anti-wear additive. Tribol. Int. 2014, 71, 88–97. [Google Scholar] [CrossRef]
- Totolin, V.; Minami, I.; Gabler, C.; Brenner, J.; Dörr, N. Lubrication mechanism of phosphonium phosphate ionic liquid additive in alkylborane-imidazole complexes. Tribol. Lett. 2014, 53, 421–432. [Google Scholar] [CrossRef]
- Zhang, S.; Hu, L.; Qiao, D.; Feng, D.; Wang, H. Vacuum tribological performance of phosphonium-based ionic liquids as lubricants and lubricant additives of multialkylated cyclopentanes. Tribol. Int. 2013, 66, 289–295. [Google Scholar] [CrossRef]
- Barnhill, W.C.; Luo, H.; Meyer, H.M.; Ma, C.; Chi, M.; Papke, B.L. Tertiary and quaternary ammonium-phosphate ionic liquids as lubricant additives. Tribol. Lett. 2016, 63, 22. [Google Scholar] [CrossRef]
- Qu, J.; Barnhill, W.C.; Luo, H.; Meyer, H.M.; Leonard, D.N.; Landauer, A.K.; Kheireddin, B.; Gao, H.; Papke, B.L.; Dai, S. Synergistic effects between phosphonium-alkylphosphate ionic liquids and zinc dialkyldithiophosphate (ZDDP) as lubricant additives. Adv. Mater. 2015, 27, 4767–4774. [Google Scholar] [CrossRef]
- González, R.; Bartolomé, M.; Blanco, D.; Viesca, J.L.; Fernández-González, A.; Battez, A.H. Effectiveness of phosphonium cation-based ionic liquids as lubricant additive. Tribol. Int. 2016, 98, 82–93. [Google Scholar] [CrossRef]
- Lu, Q.; Wang, H.; Ye, C.; Liu, W.; Xue, Q. Room temperature ionic liquid 1-ethyl-3-hexylimidazoliumbis(trifluoromethylsulfonyl)-imide as lubricant for steel/steel contact. Tribol. Int. 2004, 37, 547–552. [Google Scholar] [CrossRef]
- Hernández Battez, A.; Bartolomé, M.; Blanco, D.; Viesca, J.L.; Fernández-González, A.; González, R. Phosphonium cation-based ionic liquids as neat lubricants: Physicochemical and tribological performance. Tribol. Int. 2016, 95, 118–131. [Google Scholar] [CrossRef]
- Otero, I.; López, E.R.; Reichelt, M.; Fernández, J. Tribo-chemical reactions of anion in pyrrolidinium salts for steel-steel contact. Tribol. Int. 2014, 77, 160–170. [Google Scholar] [CrossRef]
- Hernández Battez, A.; Blanco, D.; Fernández-González, A.; Mallada, M.T.; González, R.; Viesca, J.L. Friction, wear and tribofilm formation with a [NTf2] anion-based ionic liquid as neat lubricant. Tribol. Int. 2016, 103, 73–86. [Google Scholar] [CrossRef]
- Itoga, M.; Aoki, S.; Suzuki, A.; Yoshida, Y.; Fujinami, Y.; Masuko, M. Toward resolving anxiety about the accelerated corrosive wear of steel lubricated with the fluorine-containing ionic liquids at elevated temperature. Tribol. Int. 2016, 93, 640–650. [Google Scholar] [CrossRef]
- Qu, J.; Blau, P.J.; Dai, S.; Luo, H.; Meyer, H.M., III; Truhan, J.J. Tribological characteristics of aluminum alloys sliding against steel lubricated by ammonium and imidazolium ionic liquids. Wear 2009, 267, 1226–1231. [Google Scholar] [CrossRef]
- Zhang, H.; Xia, Y.; Yao, M.; Jia, Z.; Liu, Z. The influences of methyl group at C2 position in imidazoleium ring on tribological properties. Tribol. Lett. 2009, 36, 105–111. [Google Scholar] [CrossRef]
- Jiménez, A.E.; Bermúdez, M.D.; Carrión, F.J.; Martínez-Nicolás, G. Room temperature ionic liquids as lubricant additives in steel- aluminium contacts: Influence of sliding velocity, normal load and temperature. Wear 2006, 261, 347–359. [Google Scholar] [CrossRef]
- Mo, Y.; Zhao, W.; Zhu, M.; Bai, M. Nano/microtribological properties of ultrathin functionalized imidazolium wear-resistant ionic liquid films on single crystal silicon. Tribol. Lett. 2008, 32, 143–151. [Google Scholar] [CrossRef]
- Iglesias, P.; Bermúdez, M.D.; Carrión, F.J.; Martínez-Nicolás, G. Friction and wear of aluminium–steel contacts lubricated with ordered fluids-neutral and ionic liquid crystals as oil additives. Wear 2004, 256, 386–392. [Google Scholar] [CrossRef]
- Han, Y.; Qiao, D.; Zhang, L.; Feng, D. Study of tribological performance and mechanism of phosphonate ionic liquids for steel / aluminum contact. Tribol. Int. 2015, 84, 71–80. [Google Scholar] [CrossRef]
- Zeng, Z.; Chen, Y.; Wang, D.; Zhang, J. Tribological behaviors of amorphous Cr coatings electrodeposited from Cr (III) baths under ionic liquid lubrication. Electrochem. Solid State Lett. 2007, 10, D85–D87. [Google Scholar] [CrossRef]
- Espinosa, T.; Sanes, J.; Jiménez, A.E.; Bermúdez, M.D. Protic ammonium carboxylate ionic liquid lubricants of OFHC copper. Wear 2013, 303, 495–509. [Google Scholar] [CrossRef]
- Xia, Y.; Sasaki, S.; Murakami, T.; Nakano, M.; Shi, L.; Wang, H. Ionic liquid lubrication of electrodeposited nickel-Si3N4 composite coatings. Wear 2007, 262, 765–771. [Google Scholar] [CrossRef]
- Kondo, Y.; Koyama, T.; Tsuboi, R.; Nakano, M.; Miyake, K.; Sasaki, S. Tribological performance of halogen-free ionic liquids as lubricants of hard coatings and ceramics. Tribol. Lett. 2013, 51, 243–249. [Google Scholar] [CrossRef]
- Jiménez, A.E.; Bermúdez, M.D. Ionic liquids as lubricants of titanium–steel contact. Tribol. Lett. 2009, 33, 111–126. [Google Scholar] [CrossRef]
- Liu, W.; Ye, C.; Chen, Y.; Ou, Z.; Sun, D.C. Tribological behavior of sialon ceramics sliding against steel lubricated by fluorine-containing oils. Tribol. Int. 2002, 35, 503–509. [Google Scholar] [CrossRef]
- Smiglak, M.; Metlen, A.; Rogers, R.D. The second evolution of ionic liquids: From solvents and separations to advanced materials—energetic examples from the ionic liquid cookbook. Acc. Chem. Res. 2007, 40, 1182–1192. [Google Scholar] [CrossRef]
- Costa, S.P.F.; Azevedo, A.M.O.; Pinto, P.C.A.G.; Saraiva, M.L.M.F.S. Environmental impact of ionic liquids: Recent advances in (eco)toxicology and (bio)degradability. ChemSusChem 2017, 10, 2321–2347. [Google Scholar] [CrossRef]
- Reeves, C.J.; Garvey, S.; Menezes, P.L.; Dietz, M.; Jen, T.C.; Lovell, M.R. Tribological performance of environmentally friendly ionic liquid lubricants. Am. Soc. Mech. Eng. Tribol. Div. TRIB. 2012, 355–357. [Google Scholar] [CrossRef]
- Wang, A.; Chen, L.; Jiang, D.; Zeng, H.; Yan, Z. Vegetable oil-based ionic liquid microemulsion biolubricants: Effect of integrated surfactants. Ind. Crops Prod. 2014, 62, 515–521. [Google Scholar] [CrossRef]
- Syahir, A.Z.; Zulkifli, N.W.M.; Masjuki, H.H.; Kalam, M.A.; Alabdulkarem, A.; Gulzar, M.; Khuong, L.S.; Harith, M.H. A review on bio-based lubricants and their applications. J. Clean. Prod. 2017, 168, 9971016. [Google Scholar] [CrossRef]
- Adawiyah, N.; Hawatulaila, S.; Aini, A.; Vijaya, A.; Ibrahim, M.; Moniruzzaman, M. Synthesis, characterization, ecotoxicity and biodegradability evaluations of novel bio- compatible surface active lauroyl sarcosinate ionic liquids. Chemosphere 2019, 229, 349–357. [Google Scholar] [CrossRef]
- Parmentier, D.; Metz, S.J.; Kroon, M.C. Tetraalkylammonium oleate and linoleate based ionic liquids: Promising extractants for metal salts. Green Chem. 2013, 15, 205–209. [Google Scholar] [CrossRef]
- Rocha, M.A.A.; Bruinhorst, A.V.D.; Schröer, W.; Rathke, B.; Kroon, M.C. Physico-chemical properties of fatty acid based ionic liquids. J. Chem. Thermodyn. 2016, 100, 156–164. [Google Scholar] [CrossRef]
- Gusain, R.; Dhingra, S.; Khatri, O.P. Fatty-acid-constituted halogen-free ionic liquids as renewable, environmentally friendly, and high-performance lubricant additives. Ind. Eng. Chem. Res. 2016, 55, 856–865. [Google Scholar] [CrossRef]
- Gusain, R.; Khatri, O.P. Fatty acid ionic liquids as environmentally friendly lubricants for low friction and wear. RSC Adv. 2016, 6, 3462–3469. [Google Scholar] [CrossRef]
- Mezzetta, A.; Guazzelli, L.; Seggiani, M.; Pomelli, C.S.; Puccini, M.; Chiappe, C. A general environmentally friendly access to long chain fatty acid ionic liquids (LCFA-ILs). Green Chem. 2017, 19, 3103–3111. [Google Scholar] [CrossRef]
- Fan, M.; Ma, L.; Zhang, C.; Wang, Z.; Ruan, J.; Han, M.; Ren, Y.; Zhang, C.; Yang, D.; Zhou, F.; et al. Biobased green lubricants: Physicochemical, tribological and toxicological properties of fatty acid ionic liquids. Tribol. Trans. 2017, 61, 195–206. [Google Scholar] [CrossRef]
- Khatri, P.K.; Aathira, M.S.; Thakre, G.D.; Jain, S.L. Synthesis and tribological behavior of fatty acid constituted tetramethylguanidinium (TMG) ionic liquids for a steel/steel contact. Mater. Sci. Eng. C 2018, 91, 208–217. [Google Scholar] [CrossRef]
- Zheng, G.; Ding, T.; Huang, Y.; Zheng, L.; Ren, T. Fatty acid based phosphite ionic liquids as multifunctional lubricant additives in mineral oil and refined vegetable oil. Tribol. Int. 2018, 123, 316–324. [Google Scholar] [CrossRef]
- Blanco, D.; Rivera, N.; Oulego, P.; Díaz, M.; González, R.; Battez, A.H. Novel fatty acid anion-based ionic liquids: Contact angle, surface tension, polarity fraction and spreading parameter. J. Mol. Liq. 2019, 288, 110995. [Google Scholar] [CrossRef]
- Rivera, N.; Blanco, D.; Viesca, J.L.; Fernández-González, A.; González, R.; Battez, A.H. Tribological performance of three fatty acid anion-based ionic liquids (FAILs) used as lubricant additive. J. Mol. Liq. 2019, 296, 111881. [Google Scholar] [CrossRef]
- Khan, A.; Gusain, R.; Sahai, M.; Khatri, O.P. Fatty acids-derived protic ionic liquids as lubricant additive to synthetic lube base oil for enhancement of tribological properties. J. Mol. Liq. 2019, 293, 111444. [Google Scholar] [CrossRef]
- Rivera, N.; García, A.; Fernández-González, A.; Blanco, D.; González, R.; Battez, A.H. Tribological behavior of three fatty acid ionic liquids in the lubrication of different material pairs. J. Mol. Liq. 2019, 296, 111858. [Google Scholar] [CrossRef]
- Ali, K.; Moshikur, R.; Wakabayashi, R.; Tahara, Y. Synthesis and characterization of choline—Fatty-acid-based ionic liquids: A new biocompatible surfactant. J. Colloid. Interface Sci. 2019, 551, 72–80. [Google Scholar] [CrossRef]
- Oulego, P.; Faes, J.; González, R.; Viesca, J.L.; Blanco, D.; Battez, A.H. Relationships between the physical properties and biodegradability and bacteria toxicity of fatty acid-based ionic liquids. J. Mol. Liq. 2019, 292, 111451. [Google Scholar] [CrossRef]
- Gundolf, T.; Weyhing-Zerrer, N.; Sommer, J.; Kalb, R.; Schoder, D.; Rossmanith, P.; Mester, P. Biological impact of ionic liquids based on sustainable fatty acid anions examined with a tripartite test system. ACS Sustain. Chem. Eng. 2019, 7, 15865–15873. [Google Scholar] [CrossRef]
- Gusain, R.; Khan, A.; Khatri, O.P. Fatty acid-derived ionic liquids as renewable lubricant additives: Effect of chain length and unsaturation. J. Mol. Liq. 2020, 301, 112322. [Google Scholar] [CrossRef]
- Sernaglia, M.; Blanco, D.; Hernández Battez, A.; Viesca, J.L.; González, R.; Bartolomé, M. Two fatty acid anion-based ionic liquids—Part I: Physicochemical properties and tribological behavior as neat lubricants. J. Mol. Liq. 2020, 305, 112827. [Google Scholar] [CrossRef]
- Reeves, C.J.; Menezes, P.L.; Jen, T.C.; Lovell, M.R. The influence of fatty acids on tribo- logical and thermal properties of natural oils as sustainable biolubricants. Tribol. Int. 2015, 90, 123–134. [Google Scholar] [CrossRef]
- Saurin, N.; Minami, I.; Sanes, J.; Bermúdez, M.D. Study of the effect of tribo-materials and surface finish on the lubricant performance of new halogen-free ionic liquids. Appl. Surf. Sci. 2016, 366, 464–474. [Google Scholar] [CrossRef]
- Gusain, R.; Panda, S.; Bakshi, P.S.; Gardas, R.L.; Khatri, O.P. Thermophysical properties of trioctylalkylammonium bis(salicylate)borate ionic liquids: Effect of alkyl chain length. J. Mol. Liq. 2018, 269, 540–546. [Google Scholar] [CrossRef]
- Battez, A.H.; Rivera, N.; Blanco, D.; Oulego, P.; Viesca, J.L.; González, R. Physicochemical, traction and tribofilm formation properties of three octanoate-, laurate- and palmitate-anion based ionic liquids. J. Mol. Liq. 2019, 284, 639–646. [Google Scholar] [CrossRef]
- Sernaglia, M.; Blanco, D.; Hernández Battez, A.; González, R.; Fernández-González, A.; Bartolomé, M. Two fatty acid anion-based ionic liquids—Part II: Effectiveness as an additive to a polyol ester. J. Mol. Liq. 2020, 310, 113158. [Google Scholar] [CrossRef]
- Liu, Y.; Ma, C.; Men, S.; Jin, Y. An investigation of trioctylmethylammonium ionic liquids by X-ray photoelectron spectroscopy: The cation-anion interaction. J. Electron Spectrosc. Relat. Phenom. 2018, 223, 79–83. [Google Scholar] [CrossRef]
- Jiang, Y.; Zhang, X.; Al Mehedi, A.; Yang, M.; Wang, J.P. A method to evaluate α″-Fe16N2 volume ratio in FeN bulk material by XPS. Mater. Res. Express 2015, 2, 116103. [Google Scholar] [CrossRef]
- Wang, C.; Tao, Q.; Li, Y.; Ma, S.; Dong, S.; Cui, T.; Zhu, P. Excellent mechanical properties of metastable c-WN fabricated at high pressure and high temperature. Int. J. Refract. Met. Hard Mater. 2017, 66, 63–67. [Google Scholar] [CrossRef]
- Wanner, S.; Hilaire, L.; Wehrer, P.; Hindermann, J.P.; Maire, G. Obtaining tungsten carbides from tungsten bipyridine complexes via low temperature thermal treatment. Appl. Catal. A Gen. 2000, 203, 55–70. [Google Scholar] [CrossRef]
- Lisowski, W.; van den Berg, A.H.J.; Kip, G.A.M.; Hanekamp, L.J. Characterization of tungsten tips for STM by SEM/AES/XPS. Fresenius J. Anal Chem. 1991, 341, 196–199. [Google Scholar] [CrossRef]











| IUPAC Name | Acronym | Empirical Formula | pH | Chemical Structures |
|---|---|---|---|---|
| Methyltrioctylammonium hexanoate | [N8,8,8,1][C6:0] | C31H65NO2 | 8–9 | ![]() |
| Methyltrioctylammonium octadecanoate | [N8,8,8,1][C18:0] | C43H89NO2 | 8–9 | ![]() |
| Methyltrioctylammonium octadec-9-enoate | [N8,8,8,1][C18:1] | C43H87NO2 | 8–9 | ![]() |
| Material | Chemical Composition (%) |
|---|---|
| Tungsten Carbide TWC6Co | WC: 94; Co: 6. |
| Cast iron BS1452 | C: 2.90–3.65; Si: 1.80–2.90; Mn:0.40–0.70; S: 0.10; P: 0.30; Fe: balance |
| Bronze PB1 BS 1400 | Sn: 10–12; Zn: 0.05; Ni: 0.10; Pb: 0.25; P: 0.5–1.2; Al 0.005; Fe: 0.10; Cu: balance |
| Aluminum 6082 T6 | Mn: 0.40–1.00; Fe: 0.0–0.50; Mg: 0.60–1.20; Si: 0.70–1.30; Cu: 0.0–0.10; Zn: 0.0–0.20; Ti: 0.0–0.10; Cr: 0.0–0.25; Al: balance |
| AISI 52100 Steel | C: 0.93–1.05; Mn: 0.25–0.45; P: 0.015; Si: 0.15–0.35; Ni: 0.25; Cr: 1.35–1.60; Cu: 0.30; Mo: 0.10 |
| Corrosion Tests | C | O | Cu | Sn | Total | |
|---|---|---|---|---|---|---|
| Before | Clean | 19.84 | - | 75.45 | 4.71 | 100.00 |
| After (21 days) | [N8,8,8,1][C18:0] | 22.56 | 19.76 | 47.63 | 10.05 | 100.00 |
| [N8,8,8,1][C18:1] | 19.58 | 26.44 | 38.38 | 15.60 | 100.00 | |
| FAIL | [N8,8,8,1][C6:0] | [N8,8,8,1][C18:0] | [N8,8,8,1][C18:1] | |||
|---|---|---|---|---|---|---|
| Surface | Average Value | Standard Deviation | Average Value | Standard Deviation | Average Value | Standard Deviation |
| WC | 0.275168 | 0.009613 | 0.078149 | 0.009957 | 0.214120 | 0.010297 |
| Cast Iron | 9.205816 | 0.018750 | 8.198145 | 1.045135 | 7.871593 | 1.150991 |
| Bronze | 8.957983 | 0.774445 | 9.277544 | 0.967261 | 7.536865 | 0.834904 |
| Aluminum | 8.235090 | 0.557433 | 6.949583 | 0.002316 | 7.763727 | 0.037912 |
| Steel | 6.472298 | 0.146255 | 6.558970 | 0.075222 | 7.036670 | 0.086427 |
Publisher’s Note: MDPI stays neutral with regard to jurisdictional claims in published maps and institutional affiliations. |
© 2020 by the authors. Licensee MDPI, Basel, Switzerland. This article is an open access article distributed under the terms and conditions of the Creative Commons Attribution (CC BY) license (http://creativecommons.org/licenses/by/4.0/).
Share and Cite
Faes, J.; González, R.; Hernández Battez, A.; Blanco, D.; Fernández-González, A.; Viesca, J.L. Friction, Wear and Corrosion Behavior of Environmentally-Friendly Fatty Acid Ionic Liquids. Coatings 2021, 11, 21. https://doi.org/10.3390/coatings11010021
Faes J, González R, Hernández Battez A, Blanco D, Fernández-González A, Viesca JL. Friction, Wear and Corrosion Behavior of Environmentally-Friendly Fatty Acid Ionic Liquids. Coatings. 2021; 11(1):21. https://doi.org/10.3390/coatings11010021
Chicago/Turabian StyleFaes, Javier, Rubén González, Antolin Hernández Battez, David Blanco, Alfonso Fernández-González, and José Luis Viesca. 2021. "Friction, Wear and Corrosion Behavior of Environmentally-Friendly Fatty Acid Ionic Liquids" Coatings 11, no. 1: 21. https://doi.org/10.3390/coatings11010021
APA StyleFaes, J., González, R., Hernández Battez, A., Blanco, D., Fernández-González, A., & Viesca, J. L. (2021). Friction, Wear and Corrosion Behavior of Environmentally-Friendly Fatty Acid Ionic Liquids. Coatings, 11(1), 21. https://doi.org/10.3390/coatings11010021




