You are currently viewing a new version of our website. To view the old version click .
Antibiotics
  • This is an early access version, the complete PDF, HTML, and XML versions will be available soon.
  • Systematic Review
  • Open Access

19 December 2025

A Systematic Review of the Current Evidence of the Effectiveness and Safety of Immunoprophylaxis Using Sublingual Dead Whole Bacteria to Prevent Recurrent Urinary Tract Infections (rUTIs)

,
,
and
1
Department of Urology, Hospital Universitario 12 de Octubre Imas12 & Universidad Complutense de Madrid, 28040 Madrid, Spain
2
Department of Urology, Klinikum Wels-Grieskirchen, 4710 Wels, Austria
3
Department of Urology, University College London Hospitals, London NW1 2BU, UK
4
Division of Surgery and Interventional Science, University College London, London WC1E 6BT, UK
This article belongs to the Section Novel Antimicrobial Agents

Abstract

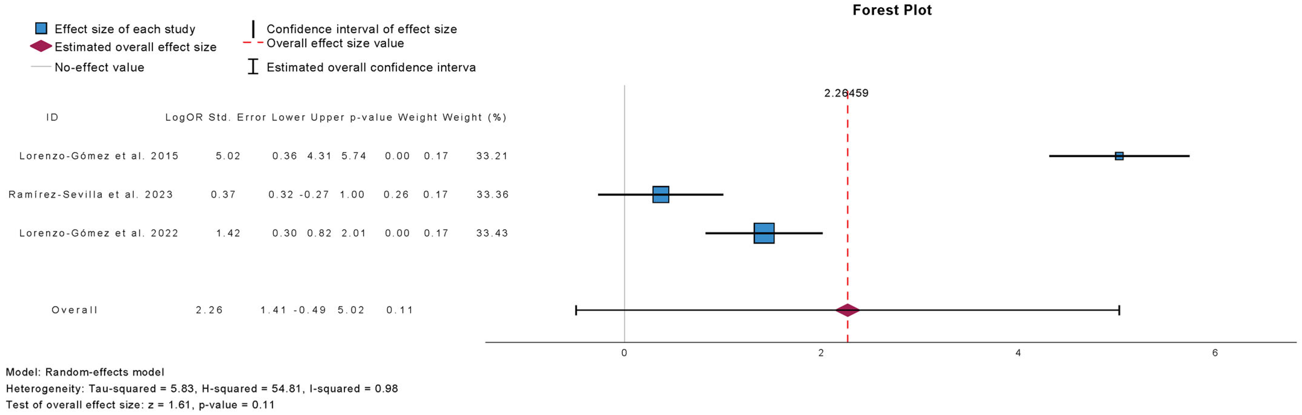
Background/Objectives: Recurrent urinary tract infections (rUTIs) remain a major clinical challenge, but sublingual immunoprophylaxis with inactivated whole bacteria is a promising alternative to antibiotic prophylaxis. The objective of this systematic review was to assess the efficacy and safety of sublingual bacterial vaccines. Methods: We searched MEDLINE, Cochrane CENTRAL, and Embase (January 1979–August 2025) for English-language studies evaluating bacterial vaccines for rUTI prevention. Eligible studies included adults receiving sublingual immunoprophylaxis with heat-inactivated whole bacteria. Outcomes were UTI recurrence, infection-free interval, and adverse events. Both MV140 and autovaccines were assessed. Results: Of the 262 records identified, 14 studies met the inclusion criteria (4 comparatives, including 1 randomized trial, and 10 observational studies). UTI incidence decreased from 3.2–6.8 to 0–1.5 episodes/year at 12 months. The proportion of UTI-free patients ranged from 9.8 to 90% with immunoprophylaxis versus 0 to 25% with antibiotics or placebo. At 12 months, UTI-free rates were 10–49% with autovaccines and 9.7–60% with MV140. Patients with ≥3 UTIs ranged from 14.3 to 60.2% and 20 to 56.1% with autovaccines and MV140, respectively. The RCT reported adverse events in 0–40.8% of treated patients and 50% of placebo patients, predominantly mild. Conclusions: Although the available evidence is heterogeneous and largely derived from observational studies, sublingual immunoprophylaxis with heat-inactivated whole-bacteria—either standardized (MV140) or tailored to urine culture results—appears to be an effective and safe strategy for reducing the frequency of rUTI and prolonging infection-free intervals. However, larger randomized trials are required to confirm these findings.

Article Metrics

Citations

Article Access Statistics

Multiple requests from the same IP address are counted as one view.