Machine Learning-Identified Potent Antimicrobial Peptides Against Multidrug-Resistant Bacteria and Skin Infections
Abstract
1. Introduction
2. Results
2.1. Selection of CalcAMP-Predicted Antimicrobial Peptides
2.2. Bactericidal Activity and Cytotoxicity of GDST-038 and GDST-045
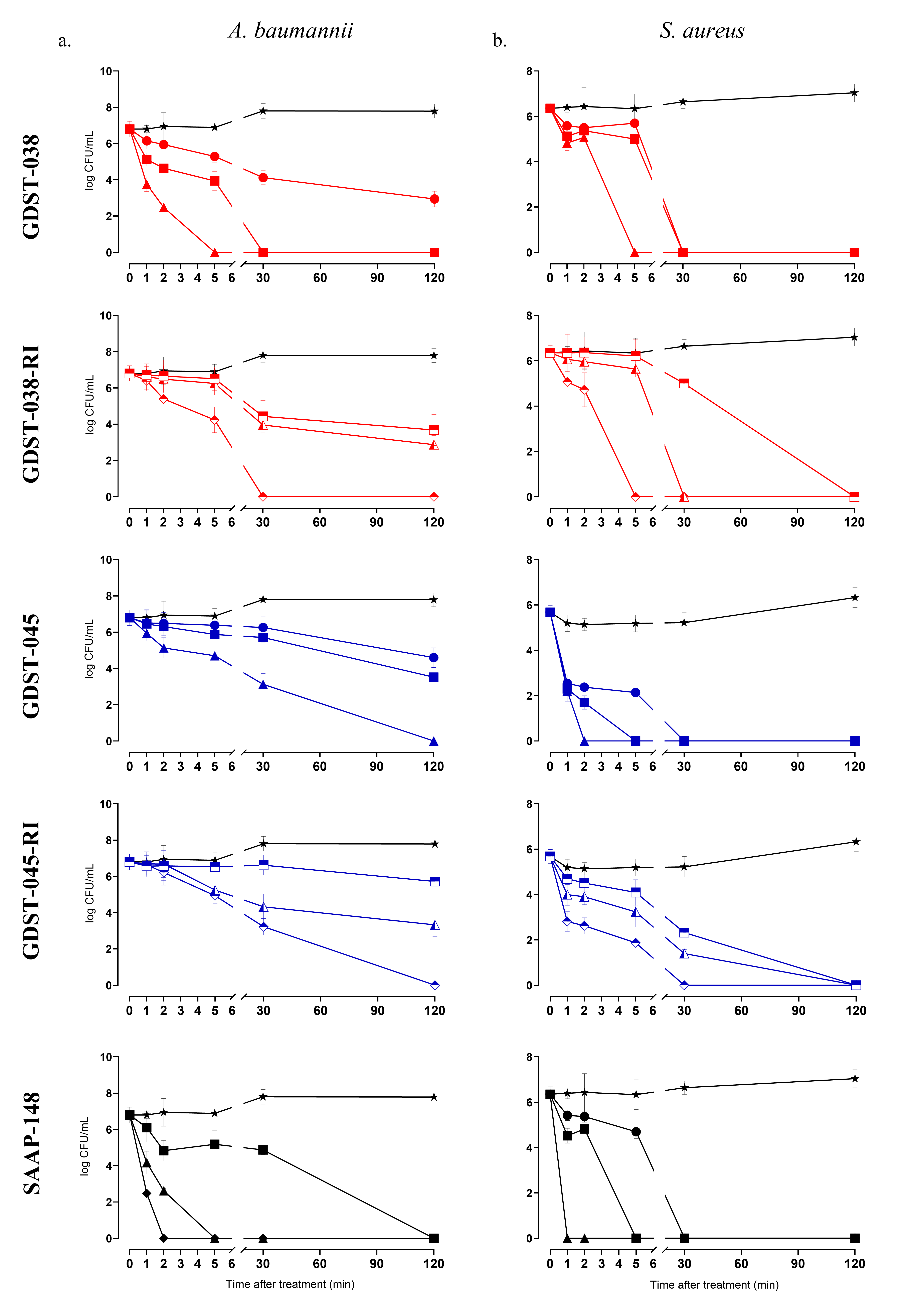
2.3. Time–Kill Kinetics of GDST Peptides Against A. baumannii and S. aureus
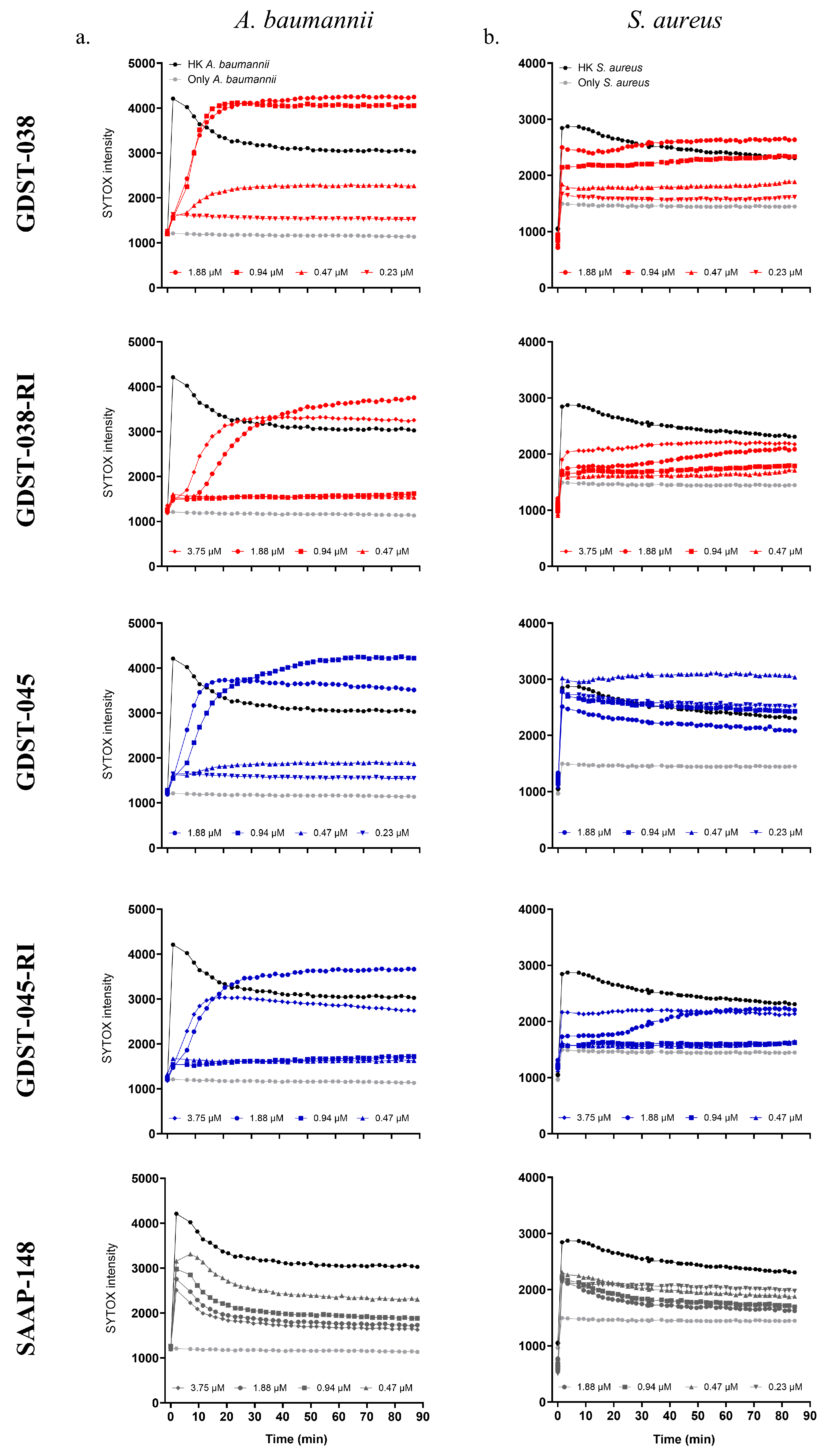
2.4. Membrane Permeabilization of A. baumannii and S. aureus by GDST Peptides
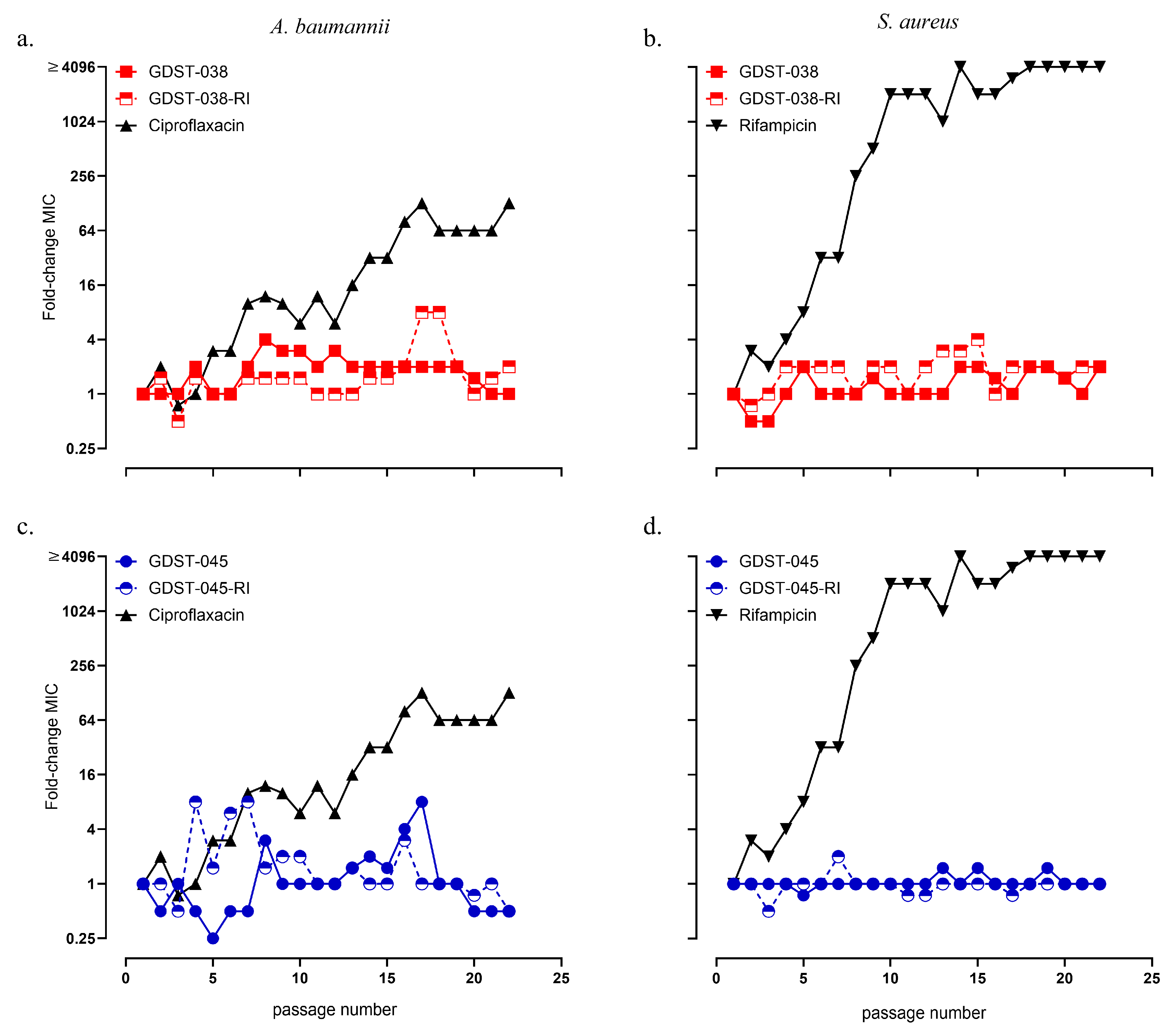
2.5. Resistance Evolution to GDST Peptides
2.6. Biofilm-Killing Capacity of GDST Peptides
2.7. GDST Peptides Effectively Eradicate Non-Adherent and Adherent S. aureus in a 3D Human Skin Equivalent Infection Model
3. Discussion
4. Materials and Methods
4.1. Peptides
4.1.1. Study Strategy
4.1.2. Peptide Synthesis
4.2. Microorganisms and Culture
4.3. Bactericidal Activity
4.4. Time–Kill Analysis
4.5. SYTOX Green Assay
4.6. Resistance Evolution
4.7. Biofilm Killing
4.8. Cytotoxicity Assessment
4.8.1. Haemolytic Activity
4.8.2. Cytotoxicity for Human Skin Fibroblasts
4.9. D Human Skin Equivalents
4.10. Statistics
Supplementary Materials
Author Contributions
Funding
Institutional Review Board Statement
Informed Consent Statement
Data Availability Statement
Acknowledgments
Conflicts of Interest
Abbreviations
| AMP(s) | Antimicrobial peptide(s) |
| AMR | Antimicrobial resistance |
| BHI | Brain heart infusion broth |
| BP2 | Bactericidal peptide 2 |
| CFU | Colony-forming unit |
| DMSO | Dimethyl sulfoxide |
| ESKAPE | Enterococcus faecium, Staphylococcus aureus, Klebsiella pneumoniae, Acinetobacter baumannii, Pseudomonas aeruginosa, Enterobacter spp. |
| Fmoc | 9H-fluorenylmethyloxycarbonyl |
| GDST | Guided Designed Smart antimicrobial Therapeutic |
| HSE | Human skin equivalent |
| HK | Heat-killed |
| LDH | Lactate dehydrogenase |
| LC99.9 | Lethal concentration killing 99.9% of bacteria |
| MDR | Multidrug resistant |
| MIC | Minimum inhibitory concentration |
| ML | Machine learning |
| PBS | Phosphate-buffered saline |
| RI | Retro-inverso |
| RPMI | Roswell Park Memorial Institute 1640 medium |
| SAAP-148 | Synthetic antimicrobial and antibiofilm peptide 148 |
| SPS | Sodium polyanethol sulfonate |
| TSB | Tryptic soy broth |
| WST-1 | Water-soluble tetrazolium salt |
References
- Christaki, E.; Marcou, M.; Tofarides, A. Antimicrobial Resistance in Bacteria: Mechanisms, Evolution, and Persistence. J. Mol. Evol. 2020, 88, 26–40. [Google Scholar]
- Gjodsbol, K.; Skindersoe, M.E.; Skov, R.L.; Krogfelt, K.A. Cross-contamination: Comparison of Nasal and Chronic Leg Ulcer Staphylococcus aureus Strains Isolated from the Same Patient. Open Microbiol. J. 2013, 7, 6–8. [Google Scholar] [CrossRef]
- Martinengo, L.; Olsson, M.; Bajpai, R.; Soljak, M.; Upton, Z.; Schmidtchen, A.; Car, J.; Jarbrink, K. Prevalence of chronic wounds in the general population: Systematic review and meta-analysis of observational studies. Ann. Epidemiol. 2019, 29, 8–15. [Google Scholar] [CrossRef]
- Thaarup, I.C.; Iversen, A.K.S.; Lichtenberg, M.; Bjarnsholt, T.; Jakobsen, T.H. Biofilm Survival Strategies in Chronic Wounds. Microorganisms 2022, 10, 775. [Google Scholar] [CrossRef]
- Darvishi, S.; Tavakoli, S.; Kharaziha, M.; Girault, H.H.; Kaminski, C.F.; Mela, I. Advances in the Sensing and Treatment of Wound Biofilms. Angew. Chem. Int. Ed. Engl. 2022, 61, e202112218. [Google Scholar] [CrossRef] [PubMed]
- Singer, A.C.; Kirchhelle, C.; Roberts, A.P. (Inter)nationalising the antibiotic research and development pipeline. Lancet Infect. Dis. 2020, 20, e54–e62. [Google Scholar] [CrossRef]
- Moretta, A.; Scieuzo, C.; Petrone, A.M.; Salvia, R.; Manniello, M.D.; Franco, A.; Lucchetti, D.; Vassallo, A.; Vogel, H.; Sgambato, A.; et al. Antimicrobial Peptides: A New Hope in Biomedical and Pharmaceutical Fields. Front. Cell Infect. Microbiol. 2021, 11, 668632. [Google Scholar] [CrossRef]
- Saikia, K.; Sravani, Y.D.; Ramakrishnan, V.; Chaudhary, N. Highly potent antimicrobial peptides from N-terminal membrane-binding region of E. coli MreB. Sci. Rep. 2017, 7, 42994. [Google Scholar] [CrossRef] [PubMed]
- Yao, T.; Lu, J.; Ye, L.; Wang, J. Molecular characterization and immune analysis of a defensin from small abalone, Haliotis diversicolor. Comp. Biochem. Physiol. B Biochem. Mol. Biol. 2019, 235, 1–7. [Google Scholar] [CrossRef] [PubMed]
- Buda De Cesare, G.; Cristy, S.A.; Garsin, D.A.; Lorenz, M.C. Antimicrobial Peptides: A New Frontier in Antifungal Therapy. mBio 2020, 11, e02123-20. [Google Scholar] [CrossRef]
- Rivas, L.; Luque-Ortega, J.R.; Andreu, D. Amphibian antimicrobial peptides and Protozoa: Lessons from parasites. Biochim. Biophys. Acta 2009, 1788, 1570–1581. [Google Scholar] [CrossRef]
- Ahmed, A.; Siman-Tov, G.; Hall, G.; Bhalla, N.; Narayanan, A. Human Antimicrobial Peptides as Therapeutics for Viral Infections. Viruses 2019, 11, 704. [Google Scholar] [CrossRef]
- Gaspar, D.; Veiga, A.S.; Castanho, M.R.B. From antimicrobial to anticancer peptides. A review. Front. Microbiol. 2013, 4, 294. [Google Scholar] [CrossRef] [PubMed]
- Mangoni, M.L.; McDermott, A.M.; Zasloff, M. Antimicrobial peptides and wound healing: Biological and therapeutic considerations. Exp. Dermatol. 2016, 25, 167–173. [Google Scholar] [CrossRef]
- Ganguly, D.; Chamilos, G.; Lande, R.; Gregorio, J.; Meller, S.; Facchinetti, V.; Homey, B.; Barrat, F.J.; Zal, T.; Gilliet, M. Self-RNA-antimicrobial peptide complexes activate human dendritic cells through TLR7 and TLR8. J. Exp. Med. 2009, 206, 1983–1994. [Google Scholar] [CrossRef] [PubMed]
- Taniguchi, M.; Saito, K.; Aida, R.; Ochiai, A.; Saitoh, E.; Tanaka, T. Wound healing activity and mechanism of action of antimicrobial and lipopolysaccharide-neutralizing peptides from enzymatic hydrolysates of rice bran proteins. J. Biosci. Bioeng. 2019, 128, 142–148. [Google Scholar] [CrossRef]
- Speck-Planche, A.; Kleandrova, V.V.; Ruso, J.M.; Cordeiro, M.N.D.S. First Multitarget Chemo-Bioinformatic Model To Enable the Discovery of Antibacterial Peptides against Multiple Gram-Positive Pathogens. J. Chem. Inf. Model. 2016, 56, 588–598. [Google Scholar] [CrossRef]
- Vishnepolsky, B.; Gabrielian, A.; Rosenthal, A.; Hurt, D.E.; Tartakovsky, M.; Managadze, G.; Grigolava, M.; Makhatadze, G.I.; Pirtskhalava, M. Predictive Model of Linear Antimicrobial Peptides Active against Gram-Negative Bacteria. J. Chem. Inf. Model. 2018, 58, 1141–1151. [Google Scholar] [CrossRef]
- Pirtskhalava, M.; Amstrong, A.A.; Grigolava, M.; Chubinidze, M.; Alimbarashvili, E.; Vishnepolsky, B.; Gabrielian, A.; Rosenthal, A.; Hurt, D.E.; Tartakovsky, M. DBAASP v3: Database of antimicrobial/cytotoxic activity and structure of peptides as a resource for development of new therapeutics. Nucleic Acids Res. 2021, 49, D288–D297. [Google Scholar] [CrossRef] [PubMed]
- Kang, X.Y.; Dong, F.Y.; Shi, C.; Liu, S.C.; Sun, J.; Chen, J.X.; Li, H.Q.; Xu, H.M.; Lao, X.Z.; Zheng, H. DRAMP 2.0, an updated data repository of antimicrobial peptides. Sci. Data 2019, 6, 1–10. [Google Scholar] [CrossRef]
- Torres, M.D.T.; Chen, T.; Wan, F.; Chatterjee, P.; de la Fuente-Nunez, C. Generative latent diffusion language modeling yields anti-infective synthetic peptides. bioRxiv 2025, 1, 100183. [Google Scholar] [CrossRef]
- Bournez, C.; Riool, M.; de Boer, L.; Cordfunke, R.A.; de Best, L.; van Leeuwen, R.; Drijfhout, J.W.; Zaat, S.A.J.; van Westen, G.J.P. CalcAMP: A New Machine Learning Model for the Accurate Prediction of Antimicrobial Activity of Peptides. Antibiotics 2023, 12, 725. [Google Scholar] [CrossRef]
- Lucana, M.C.; Arruga, Y.; Petrachi, E.; Roig, A.; Lucchi, R.; Oller-Salvia, B. Protease-Resistant Peptides for Targeting and Intracellular Delivery of Therapeutics. Pharmaceutics 2021, 13, 2065. [Google Scholar] [CrossRef] [PubMed]
- de Breij, A.; Riool, M.; Cordfunke, R.A.; Malanovic, N.; de Boer, L.; Koning, R.I.; Ravensbergen, E.; Franken, M.; van der Heijde, T.; Boekema, B.K.; et al. The antimicrobial peptide SAAP-148 combats drug-resistant bacteria and biofilms. Sci. Transl. Med. 2018, 10, eaan4044. [Google Scholar] [CrossRef]
- Draenert, R.; Seybold, U.; Grützner, E.; Bogner, J.R. Novel antibiotics: Are we still in the pre-post-antibiotic era? Infection 2015, 43, 145–151. [Google Scholar] [CrossRef]
- Wong, F.L.; de la Fuente-nunez, C.; Collins, J.J. Leveraging artificial intelligence in the fight against infectious diseases. Science 2023, 381, 164–170. [Google Scholar] [CrossRef] [PubMed]
- Wan, F.P.; de la Fuente-Nunez, C. Mining for antimicrobial peptides in sequence space. Nat. Biomed. Eng. 2023, 7, 707–708. [Google Scholar] [CrossRef]
- Deb, R.; Torres, M.D.T.; Boudny, M.; Koberská, M.; Cappiello, F.; Popper, M.; Bendová, K.D.; Drabinová, M.; Hanácková, A.; Jeannot, K.; et al. Computational Design of Pore-Forming Peptides with Potent Antimicrobial and Anticancer Activities. J. Med. Chem. 2024, 67, 14040–14061. [Google Scholar] [CrossRef]
- Johansson, J.; Gudmundsson, G.H.; Rottenberg, M.E.; Berndt, K.D.; Agerberth, B. Conformation-dependent antibacterial activity of the naturally occurring human peptide LL-37. J. Biol. Chem. 1998, 273, 3718–3724. [Google Scholar] [CrossRef]
- Kwakman, P.H.S.; Velde, A.A.T.; Vandenbroucke-Grauls, C.M.J.E.; Van Deventer, S.J.H.; Zaat, S.A.J. Treatment and prevention of experimental biomaterial-associated infection by bactericidal peptide 2. Antimicrob. Agents Chemother. 2006, 50, 3977–3983. [Google Scholar] [CrossRef]
- Ge, Y.G.; MacDonald, D.L.; Holroyd, K.J.; Thornsberry, C.; Wexler, H.; Zasloff, M. In vitro antibacterial properties of pexiganan, an analog of magainin. Antimicrob. Agents Chemother. 1999, 43, 782–788. [Google Scholar] [CrossRef]
- Omardien, S.; Drijfhout, J.W.; Vaz, F.M.; Wenzel, M.; Hamoen, L.W.; Zaat, S.A.J.; Brul, S. Bactericidal activity of amphipathic cationic antimicrobial peptides involves altering the membrane fluidity when interacting with the phospholipid bilayer. Bba-Biomembranes 2018, 1860, 2404–2415. [Google Scholar] [CrossRef]
- Lenci, E.; Trabocchi, A. Peptidomimetic toolbox for drug discovery. Chem. Soc. Rev. 2020, 49, 3262–3277. [Google Scholar] [CrossRef]
- Bucataru, C.; Ciobanasu, C. Antimicrobial peptides: Opportunities and challenges in overcoming resistance. Microbiol. Res. 2024, 286, 127822. [Google Scholar] [CrossRef]
- Hollmann, A.; Martinez, M.; Maturana, P.; Semorile, L.C.; Maffia, P.C. Antimicrobial Peptides: Interaction with Model and Biological Membranes and Synergism With Chemical Antibiotics. Front. Chem. 2018, 6, 204. [Google Scholar] [CrossRef] [PubMed]
- van Gent, M.E.; Klodzinska, S.N.; Drijfhout, J.W.; Nielsen, H.M.; Nibbering, P.H. Encapsulation in oleyl-modified hyaluronic acid nanogels substantially improves the clinical potential of the antimicrobial peptides SAAP-148 and Ab-Cath. Eur. J. Pharm. Biopharm. 2023, 193, 254–261. [Google Scholar] [CrossRef]
- Dijksteel, G.S.; Ulrich, M.M.; Nibbering, P.H.; Cordfunke, R.A.; Drijfhout, J.W.; Middelkoop, E.; Boekema, B.K. The functional stability, bioactivity and safety profile of synthetic antimicrobial peptide SAAP-148. J. Microbiol. Antimicrob. 2020, 12, 70–80. [Google Scholar] [CrossRef]
- Atif, M.; Babuççu, G.; Riool, M.; Zaat, S.; Jonas, U. Antimicrobial Peptide SAAP-148-Functionalized Hydrogels from Photocrosslinkable Polymers with Broad Antibacterial Activity. Macromol. Rapid Comm. 2024, 45, e2400785. [Google Scholar] [CrossRef]
- Olaru, I.; Stefanache, A.; Gutu, C.; Lungu, I.I.; Mihai, C.; Grierosu, C.; Calin, G.; Marcu, C.; Ciuhodaru, T. Combating Bacterial Resistance by Polymers and Antibiotic Composites. Polymers 2024, 16, 3247. [Google Scholar] [CrossRef] [PubMed]
- Martinez-Perez, D.; Guarch-Perez, C.; Purbayanto, M.A.K.; Choinska, E.; Riool, M.; Zaat, S.A.J.; Wojciech, S. 3D-printed dual drug delivery nanoparticle- loaded hydrogels to combat antibiotic-resistant bacteria. Int. J. Bioprint. 2023, 9, 683. [Google Scholar] [CrossRef]
- Silva, J.P.; Goncalves, C.; Costa, C.; Sousa, J.; Silva-Gomes, R.; Castro, A.G.; Pedrosa, J.; Appelberg, R.; Gama, F.M. Delivery of LLKKK18 loaded into self-assembling hyaluronic acid nanogel for tuberculosis treatment. J. Control Release 2016, 235, 112–124. [Google Scholar] [CrossRef] [PubMed]
- D’Angelo, I.; Casciaro, B.; Miro, A.; Quaglia, F.; Mangoni, M.L.; Ungaro, F. Overcoming barriers in Pseudomonas aeruginosa lung infections: Engineered nanoparticles for local delivery of a cationic antimicrobial peptide. Colloids Surf. B Biointerfaces 2015, 135, 717–725. [Google Scholar] [CrossRef]
- Braun, K.; Pochert, A.; Linden, M.; Davoudi, M.; Schmidtchen, A.; Nordstrom, R.; Malmsten, M. Membrane interactions of mesoporous silica nanoparticles as carriers of antimicrobial peptides. J. Colloid Interface Sci. 2016, 475, 161–170. [Google Scholar] [CrossRef] [PubMed]
- Xuan, J.Q.; Feng, W.G.; Wang, J.Y.; Wang, R.C.; Zhang, B.W.; Bo, L.T.; Chen, Z.S.; Yang, H.; Sun, L.M. Antimicrobial peptides for combating drug-resistant bacterial infections. Drug Resist. Update 2023, 68, 100954. [Google Scholar] [CrossRef] [PubMed]
- Ramirez-Larrota, J.S.; Eckhard, U. An Introduction to Bacterial Biofilms and Their Proteases, and Their Roles in Host Infection and Immune Evasion. Biomolecules 2022, 12, 306. [Google Scholar] [CrossRef]
- Fjell, C.D.; Hiss, J.A.; Hancock, R.E.W.; Schneider, G. Designing antimicrobial peptides: Form follows function. Nat. Rev. Drug Discov. 2012, 11, 37–51. [Google Scholar] [CrossRef]
- de la Fuente-Núñez, C.; Reffuveille, F.; Mansour, S.C.; Reckseidler-Zenteno, S.L.; Hernández, D.; Brackman, G.; Coenye, T.; Hancock, R.E.W. D-Enantiomeric Peptides that Eradicate Wild-Type and Multidrug-Resistant Biofilms and Protect against Lethal Pseudomonas aeruginosa Infections. Chem. Biol. 2015, 22, 1280–1282. [Google Scholar] [CrossRef]
- Schulze, A.; Mitterer, F.; Pombo, J.P.; Schild, S. Biofilms by bacterial human pathogens: Clinical relevance-development, composition and regulation-therapeutical strategies. Microb. Cell 2021, 8, 28–56. [Google Scholar] [CrossRef] [PubMed]
- Groeber, F.; Holeiter, M.; Hampel, M.; Hinderer, S.; Schenke-Layland, K. Skin tissue engineering—In vivo and in vitro applications. Adv. Drug Deliv. Rev. 2011, 63, 352–366. [Google Scholar] [CrossRef]
- Popov, L.; Kovalski, J.; Grandi, G.; Bagnoli, F.; Amieva, M.R. Three-Dimensional Human Skin Models to Understand Staphylococcus aureus Skin Colonization and Infection. Front. Immunol. 2014, 5, 41. [Google Scholar] [CrossRef]
- Pfalzgraff, A.; Brandenburg, K.; Weindl, G. Antimicrobial Peptides and Their Therapeutic Potential for Bacterial Skin Infections and Wounds. Front. Pharmacol. 2018, 9, 281. [Google Scholar] [CrossRef]
- Nibbering, P.H.; de Breij, A.; Cordfunke, R.A.; Zaat, S.A.J.; Drijfhout, J.W. Antimicrobial Peptide and Uses Thereof. U.S. Patent WO2015088344, 2015. [Google Scholar]
- Hiemstra, H.S.; Duinkerken, G.; Benckhuijsen, W.E.; Amons, R.; deVries, R.R.P.; Roep, B.O.; Drijfhout, J.W. The identification of CD4+ T cell epitopes with dedicated synthetic peptide libraries. Proc. Natl. Acad. Sci. USA 1997, 94, 10313–10318. [Google Scholar] [CrossRef]
- Campoccia, D.; Montanaro, L.; Moriarty, T.F.; Richards, R.G.; Ravaioli, S.; Arciola, C.R. The selection of appropriate bacterial strains in preclinical evaluation of infection-resistant biomaterials. Int. J. Artif. Organs 2008, 31, 841–847. [Google Scholar] [CrossRef]
- Dijkshoorn, L.; Aucken, H.; GernerSmidt, P.; Janssen, P.; Kaufmann, M.E.; Garaizar, J.; Ursing, J.; Pitt, T.L. Comparison of outbreak and nonoutbreak Acinetobacter baumannii strains by genotypic and phenotypic methods. J. Clin. Microbiol. 1996, 34, 1519–1525. [Google Scholar] [CrossRef]
- Schwab, U.; Gilligan, P.; Jaynes, J.; Henke, D. In vitro activities of designed antimicrobial peptides against multidrug-resistant cystic fibrosis pathogens. Antimicrob. Agents Chemother. 1999, 43, 1435–1440. [Google Scholar] [CrossRef]
- de Breij, A.; Riool, M.; Kwakman, P.H.S.; de Boer, L.; Cordfunke, R.A.; Drijfhout, J.W.; Cohen, O.; Emanuel, N.; Zaat, S.A.J.; Nibbering, P.H.; et al. Prevention of biomaterial-associated infections using a polymer-lipid coating containing the antimicrobial peptide OP-145. J. Control Release 2016, 222, 1–8. [Google Scholar] [CrossRef] [PubMed]
- Dankert, J.; van der Werff, J.; Zaat, S.A.; Joldersma, W.; Klein, D.; Hess, J. Involvement of bactericidal factors from thrombin-stimulated platelets in clearance of adherent viridans streptococci in experimental infective endocarditis. Infect. Immun. 1995, 63, 663–671. [Google Scholar] [CrossRef] [PubMed]
- Habets, M.G.J.L.; Brockhurst, M.A. Therapeutic antimicrobial peptides may compromise natural immunity. Biol. Letters 2012, 8, 416–418. [Google Scholar] [CrossRef]
- Allkja, J.; van Charante, F.; Aizawa, J.; Reigada, I.; Guarch-Pérez, C.; Vazquez-Rodriguez, J.A.; Cos, P.; Coenye, T.; Fallarero, A.; Zaat, S.A.J.; et al. Interlaboratory study for the evaluation of three microtiter plate-based biofilm quantification methods. Sci. Rep. 2021, 11, 1–10. [Google Scholar] [CrossRef]
- Boelens, J.J.; Dankert, J.; Murk, J.L.; Weening, J.J.; van der Poll, T.; Dingemans, K.P.; Koole, L.; Laman, J.D.; Zaat, S.A.J. Biomaterial-associated persistence of Staphylococcus epidermidis in pericatheter macrophages. J. Infect. Dis. 2000, 181, 1337–1349. [Google Scholar] [CrossRef] [PubMed]
- van Gent, M.E.; van der Reijden, T.J.K.; Lennard, P.R.; de Visser, A.W.; Schonkeren-Ravensbergen, B.; Dolezal, N.; Cordfunke, R.A.; Drijfhout, J.W.; Nibbering, P.H. Synergism between the Synthetic Antibacterial and Antibiofilm Peptide (SAAP)-148 and Halicin. Antibiotics 2022, 11, 673. [Google Scholar] [CrossRef] [PubMed]





| Gram-Negative | Gram-Positive | Haemolysis | ||||||
|---|---|---|---|---|---|---|---|---|
| Prediction | A. baumannii | Prediction | S. aureus | |||||
| Peptide | Sequence | Active | RPMI | 50% Plasma | Active | RPMI | 50% Plasma | >30% |
| GDST-021 | ARLVKILKRWWRYL | 0.758 | 10 | 10 | 0.858 | ≤1 | 100 | 100 |
| GDST-022 | KALVKILKRWWRYL | 0.753 | ≤1 | 10 | 0.851 | 10 | 100 | 100 |
| GDST-023 | KRAVKILKRWWRYL | 0.775 | 10 | ≤1 | 0.890 | ≤1 | 100 | 100 |
| GDST-024 | KRLAKILKRWWRYL | 0.761 | ≤1 | 10 | 0.891 | 10 | 100 | 100 |
| GDST-025 | KRLVAILKRWWRYL | 0.734 | 10 | 10 | 0.841 | ≤1 | 100 | 100 |
| GDST-026 | KRLVKALKRWWRYL | 0.800 | ≤1 | 10 | 0.878 | ≤1 | 100 | 100 |
| GDST-027 | KRLVKIAKRWWRYL | 0.784 | ≤1 | ≤1 | 0.863 | ≤1 | 100 | 100 |
| GDST-028 | KRLVKILARWWRYL | 0.763 | ≤1 | 10 | 0.863 | ≤1 | 100 | 100 |
| GDST-029 | KRLVKILKAWWRYL | 0.776 | ≤1 | 10 | 0.859 | ≤1 | 100 | 100 |
| GDST-030 | KRLVKILKRAWRYL | 0.781 | 10 | ≤1 | 0.849 | ≤1 | 10 | 100 |
| GDST-031 | KRLVKILKRWARYL | 0.773 | ≤1 | ≤1 | 0.825 | 10 | 100 | 100 |
| GDST-032 | KRLVKILKRWWAYL | 0.702 | ≤1 | 10 | 0.806 | ≤1 | 100 | 100 |
| GDST-033 | KRLVKILKRWWRAL | 0.837 | ≤1 | 10 | 0.788 | ≤1 | >100 | 100 |
| GDST-034 | KRLVKILKRWWRYA | 0.744 | ≤1 | 10 | 0.746 | ≤1 | 10 | 100 |
| Gram-Negative | Gram-Positive | Haemolysis | ||||||
| Prediction | A. baumannii | Prediction | S. aureus | |||||
| Peptide | Sequence | Active | RPMI | 50% Plasma | Active | RPMI | 50% Plasma | >30% |
| GDST-035 | KRWVKILKKAWRWL | 0.912 | 10 | 10 | 0.965 | ≤1 | 10 | 100 |
| GDST-036 | KRWVKILKKWWRAL | 0.909 | ≤1 | 10 | 0.838 | ≤1 | 100 | 100 |
| GDST-037 | KRWVKILKKAWRFL | 0.907 | 10 | ≤1 | 0.959 | ≤1 | 100 | 100 |
| GDST-038 | KRWVKIAKKWWRLL | 0.899 | ≤1 | ≤1 | 0.960 | ≤1 | 10 | 100 |
| GDST-039 | KRWVKILKRAWRWL | 0.898 | 10 | 10 | 0.959 | 10 | 10 | 100 |
| GDST-040 | KRWVKILKKWWRLL | 0.898 | ≤1 | 100 | 0.964 | ≤1 | 10 | 100 |
| GDST-041 | KRWVKILKRAWRFL | 0.894 | 10 | ≤1 | 0.953 | ≤1 | 10 | 100 |
| GDST-042 | KRWVKILKKWWRFL | 0.893 | 10 | 100 | 0.958 | 10 | 10 | 10 |
| GDST-043 | KRIVKILKKWWRFL | 0.893 | ≤1 | 10 | 0.955 | ≤1 | 100 | 100 |
| GDST-044 | KRFVKILKKAWRWL | 0.892 | 10 | ≤1 | 0.959 | ≤1 | 100 | 100 |
| GDST-045 | KRWVKILKKVWRFL | 0.892 | ≤1 | ≤1 | 0.937 | ≤1 | 10 | 100 |
| GDST-046 | KRFVKILKKWWRLL | 0.892 | ≤1 | 10 | 0.961 | ≤1 | 100 | 100 |
| GDST-047 | KRWVKIAKRWWRLL | 0.891 | 10 | ≤1 | 0.951 | ≤1 | 100 | 100 |
| GDST-048 | KRIVKILKKWWRWL | 0.890 | 10 | 10 | 0.963 | 10 | 100 | 100 |
| A. baumannii RUH875 | S. aureus JAR060131 | Cytotoxicity | ||||||||
|---|---|---|---|---|---|---|---|---|---|---|
| RPMI | 50% Plasma | RPMI | 50% Plasma | LDH Leakage | Metabolic Activity | |||||
| Peptide | 2 h | 18 h | 2 h | 18 h | 2 h | 18 h | 2 h | 18 h | >30% | <70% |
| GDST-038 | 0.94 | 0.47 | 0.94 | 0.47 | 0.94 | 0.94 | 1.88 | 0.94 | 3.75 | 3.75 |
| (0.47–0.94) | (0.47–0.94) | (0.47–0.94) | (0.47–0.94) | (0.47–0.94) | ||||||
| GDST-038-RI | 1.88 | 0.94 | 1.88 | 0.94 | 1.88 | 0.94 | 3.75 | 3.75 | 3.75 | 3.75 |
| (0.94–1.88) | (1.88–3.75) | (0.94–3.75) | (0.94–3.75) | |||||||
| GDST-045 | 0.94 | 0.94 | 1.88 | 0.94 | 0.94 | 0.94 | 3.75 | 1.88 | 3.75 | 3.75 |
| (0.94–3.75) | (0.94–1.88) | (0.47–0.94) | (0.47–0.94) | (0.47–0.94) | (0.94–1.88) | |||||
| GDST-045-RI | 1.88 | 0.94 | 1.88 | 0.94 | 1.88 | 0.94 | 3.75 | 1.88 | 3.75 | 3.75 |
| (1.88–3.75) | (0.94–1.88) | (3.75–7.5) | (0.94–1.88) | |||||||
| LL-37 | 1.88 | 1.88 | 60 | 60 | >120 | >120 | >120 | >120 | 7.5 | 15 |
| (0.94–1.88) | (0.94–1.88) | |||||||||
| BP2 | 0.47 | 0.47 | 0.47 | 0.47 | 0.47 | 0.47 | 15 | 1.88 | 1.88 | 0.47 |
| (0.23–0.47) | ||||||||||
| Pexiganan | 0.23 | 0.47 | 0.23 | 0.47 | 0.47 | 0.23 | 7.50 | 0.94 | 1.88 | 0.94 |
| (0.23–0.47) | (0.47–0.94) | (0.94–1.88) | ||||||||
| SAAP-148 | 1.88 | 0.94 | 1.88 | 0.94 | 0.94 | 0.47 | 3.75 | 1.88 | 1.88 | 3.75 |
| (0.47–1.88) | (0.94–1.88) | (0.47–0.94) | (0.23–0.94) | (0.47–3.75) | ||||||
| TC84 | 3.75 | 3.75 | 3.75 | 7.5 | 7.5 | 7.5 | 7.5 | 7.5 | 15 | 15 |
| (1.88–7.5) | (3.75–7.5) | (7.5–15) | ||||||||
| GDST-038 | GDST-038-RI | |||||||||||
|---|---|---|---|---|---|---|---|---|---|---|---|---|
| RPMI | 50% Plasma | RPMI | 50% Plasma | |||||||||
| Species | 2 h | 18 h | 2 h | 18 h | 2 h | 18 h | 2 h | 18 h | ||||
| E. faecium LUH15122 | 1.88 | 0.94 | 1.88 | 7.5 | 3.75 | 0.94 | 1.88 | 3.75 | ||||
| (0.94–1.88) | ||||||||||||
| S. aureus LUH14616 | 0.94 | 0.94 | 7.5 | 0.94 | 1.88 | 0.47 | 30 | 1.88 | ||||
| K. pneumoniae LUH15104 | 3.75 | 3.75 | 7.5 | 3.75 | 15 | 7.5 | 15 | 3.75 | ||||
| (15–30) | (7.5–15) | |||||||||||
| A. baumannii RUH875 | 0.94 | 0.47 | 0.94 | 0.47 | 1.88 | 0.94 | 1.88 | 0.94 | ||||
| (0.47–0.94) | (0.47–0.94) | (0.47–0.94) | (0.94–1.88) | (1.88–3.75) | ||||||||
| P. aeruginosa LUH15103 | 7.5 | 3.75 | 15 | 15 | 15 | 7.5 | 30 | 15 | ||||
| (7.5–15) | (3.75–15) | (3.75–7.5) | ||||||||||
| E. cloacae LUH15114 | 3.75 | 1.88 | 60 | 1.88 | 30 | 1.88 | 60 | 1.88 | ||||
| (1.88–3.75) | ||||||||||||
| E. coli LUH15117 | 0.94 | 1.88 | - | - | 3.75 | 0.94 | - | - | ||||
| (0.94–1.88) | (0.94–1.88) | (0.94–1.88) | ||||||||||
| GDST-045 | GDST-045-RI | SAAP-148 | ||||||||||
| RPMI | 50% Plasma | RPMI | 50% Plasma | RPMI | 50% Plasma | |||||||
| Species | 2 h | 18 h | 2 h | 18 h | 2 h | 18 h | 2 h | 18 h | 2 h | 18 h | 2 h | 18 h |
| E. faecium LUH15122 | 0.94 | 0.94 | 0.94 | 3.75 | 0.94 | 0.94 | 1.88 | 3.75 | 0.47 | 0.47 | 30 | 3.75 |
| (0.94–1.88) | (0.47–0.94) | (0.47–0.94) | ||||||||||
| S. aureus LUH14616 | 0.94 | 0.94 | 15 | 1.88 | 0.94 | 0.94 | 15 | 1.88 | 0.47 | 0.47 | 30 | 3.75 |
| (0.94–1.88) | ||||||||||||
| K. pneumoniae LUH15104 | 0.94 | 1.88 | 15 | 7.5 | 15 | 7.5 | 15 | 7.5 | 30 | 1.88 | 60 | 1.88 |
| (7.5–15) | (1.88–3.75) | |||||||||||
| A. baumannii RUH875 | 0.94 | 0.94 | 1.88 | 0.94 | 1.88 | 0.94 | 1.88 | 0.94 | 1.88 | 0.94 | 1.88 | 0.94 |
| (0.94–3.75) | (0.94–1.88) | (0.47–0.94) | (1.88–3.75) | (0.94–1.88) | (0.47–1.88) | (0.94–1.88) | ||||||
| P. aeruginosa LUH15103 | 1.88 | 3.75 | 60 | 30 | 3.75 | 3.75 | 30 | 30 | 0.47 | 1.88 | 30 | 30 |
| (3.75–7.5) | (3.75–7.5) | |||||||||||
| E. cloacae LUH15114 | 1.88 | 1.88 | 60 | 30 | 15 | 3.75 | 120 | 30 | >120 | 3.75 | >120 | 0.94 |
| (3.75–7.55) | (0.94–1.88) | |||||||||||
| E. coli LUH15117 | 0.94 | 0.94 | - | - | 3.75 | 1.88 | - | - | 1.88 | 1.88 | - | - |
| (1.88–3.75) | (1.88–3.75) | |||||||||||
Disclaimer/Publisher’s Note: The statements, opinions and data contained in all publications are solely those of the individual author(s) and contributor(s) and not of MDPI and/or the editor(s). MDPI and/or the editor(s) disclaim responsibility for any injury to people or property resulting from any ideas, methods, instructions or products referred to in the content. |
© 2025 by the authors. Licensee MDPI, Basel, Switzerland. This article is an open access article distributed under the terms and conditions of the Creative Commons Attribution (CC BY) license (https://creativecommons.org/licenses/by/4.0/).
Share and Cite
Babuççu, G.; Vavilthota, N.; Bournez, C.; de Boer, L.; Cordfunke, R.A.; Nibbering, P.H.; van Westen, G.J.P.; Drijfhout, J.W.; Zaat, S.A.J.; Riool, M. Machine Learning-Identified Potent Antimicrobial Peptides Against Multidrug-Resistant Bacteria and Skin Infections. Antibiotics 2025, 14, 1172. https://doi.org/10.3390/antibiotics14111172
Babuççu G, Vavilthota N, Bournez C, de Boer L, Cordfunke RA, Nibbering PH, van Westen GJP, Drijfhout JW, Zaat SAJ, Riool M. Machine Learning-Identified Potent Antimicrobial Peptides Against Multidrug-Resistant Bacteria and Skin Infections. Antibiotics. 2025; 14(11):1172. https://doi.org/10.3390/antibiotics14111172
Chicago/Turabian StyleBabuççu, Gizem, Nikitha Vavilthota, Colin Bournez, Leonie de Boer, Robert A. Cordfunke, Peter H. Nibbering, Gerard J. P. van Westen, Jan W. Drijfhout, Sebastian A. J. Zaat, and Martijn Riool. 2025. "Machine Learning-Identified Potent Antimicrobial Peptides Against Multidrug-Resistant Bacteria and Skin Infections" Antibiotics 14, no. 11: 1172. https://doi.org/10.3390/antibiotics14111172
APA StyleBabuççu, G., Vavilthota, N., Bournez, C., de Boer, L., Cordfunke, R. A., Nibbering, P. H., van Westen, G. J. P., Drijfhout, J. W., Zaat, S. A. J., & Riool, M. (2025). Machine Learning-Identified Potent Antimicrobial Peptides Against Multidrug-Resistant Bacteria and Skin Infections. Antibiotics, 14(11), 1172. https://doi.org/10.3390/antibiotics14111172

